Sm–Nd Isochron Age Constraints of Au and Sb Mineralization in Southwestern Guizhou Province, China
Abstract
1. Introduction
2. Geological Setting
3. Samples and Analytic Methods
4. Results
5. Interpretations and Discussion
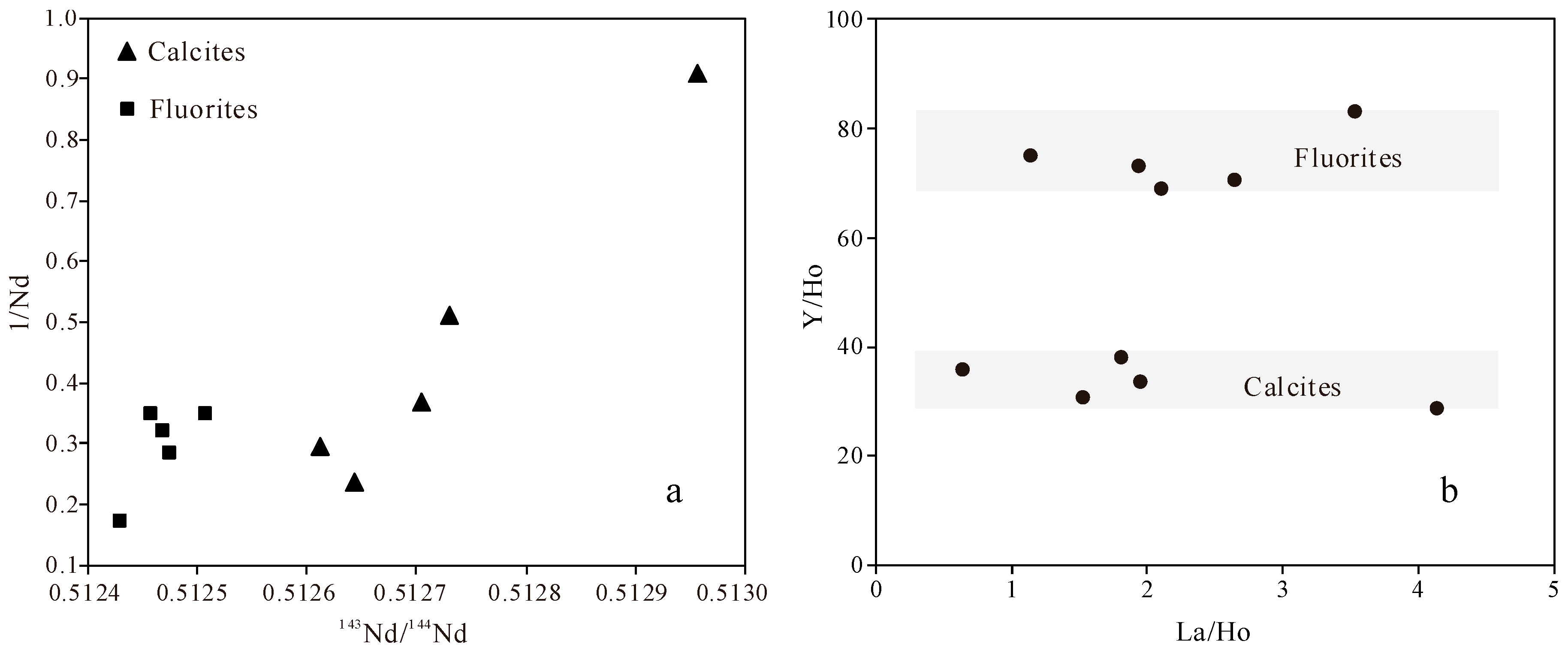
5.1. REE Features in Calcite and Fluorite
5.2. Au and Sb Metallogenic Age in Southwestern Guizhou
6. Conclusions
Author Contributions
Funding
Institutional Review Board Statement
Informed Consent Statement
Data Availability Statement
Acknowledgments
Conflicts of Interest
References
- Li, J.; Hu, R.; Xiao, J.; Zhuo, Y.; Yan, J.; Oyebamiji, A. Genesis of gold and antimony deposits in the Youjiang metallogenic province, SW China: Evidence from in situ oxygen isotopic and trace element compositions of quartz. Ore Geol. Rev. 2020, 116, 103257. [Google Scholar] [CrossRef]
- Jin, X.-Y.; Hofstra, A.H.; Hunt, A.G.; Liu, J.-Z.; Yang, W.; Li, J.-W. Noble gases fingerprint the source and evolution of ore-forming fluids of Carlin-type gold deposits in the golden triangle, south China. Econ. Geol. 2020, 115, 455–469. [Google Scholar] [CrossRef]
- Yan, J.; Hu, R.Z.; Liu, S.; Lin, Y.T.; Zhang, J.C.; Fu, S.L. NanoSIMS element mapping and sulfur isotope analysis of Au-bearing pyrite from Lannigou Carlin-type Au deposit in SW China: New insights into the origin and evolution of Au-bearing fluids. Ore Geol. Rev. 2018, 92, 29–41. [Google Scholar] [CrossRef]
- Xie, Z.J.; Xia, Y.; Cline, J.S.; Pribil, M.J.; Koenig, A.; Tan, Q.P.; Wei, D.T.; Wang, Z.P.; Yan, J. Magmatic origin for sediment-hosted Au deposits, Guizhou Province, China: In situ chemistry and sulfur isotope composition of pyrites, Shuiyindong and Jinfeng deposits. Econ. Geol. 2018, 113, 1627–1652. [Google Scholar] [CrossRef]
- Chen, J.; Yang, R.-D.; Du, L.-J.; Zheng, L.-L.; Gao, J.-B.; Lai, C.-K.; Wei, H.-R.; Yuan, M.-G. Mineralogy, geochemistry and fluid inclusions of the Qinglong Sb-(Au) deposit, Youjiang basin (Guizhou, SW China). Ore Geol. Rev. 2018, 92, 1–18. [Google Scholar] [CrossRef]
- Wei, D.-T.; Xia, Y.; Gregory, D.D.; Steadman, J.A.; Tan, Q.-P.; Xie, Z.-J.; Liu, X.-J. Multistage pyrites in the Nibao disseminated gold deposit, southwestern Guizhou Province, China: Insights into the origin of Au from textures, in situ trace elements, and sulfur isotope analyses. Ore Geol. Rev. 2020, 122, 103446. [Google Scholar] [CrossRef]
- Wei, D.; Xia, Y.; Steadman, J.; Xie, Z.; Liu, X.; Tan, Q.; Bai, L.A. Tennantite-Tetrahedrite-Series minerals and related pyrite in the Nibao Carlin-type gold deposit, Guizhou, SW China. Minerals 2020, 11, 2. [Google Scholar] [CrossRef]
- Wang, J.; Chang, J.; Li, C.; Han, Z.; Wang, T.; Han, H. Significance of calcite trace elements contents and C-O isotopic compositions for ore-Forming fluids and gold prospecting in the Zhesang Carlin-Like gold deposit of Southeastern Yunnan, China. Minerals 2020, 10, 338. [Google Scholar] [CrossRef]
- Su, W.C.; Dong, W.D.; Zhang, X.C.; Shen, N.P.; Hu, R.Z.; Hofstra, A.H.; Cheng, L.Z.; Xia, Y.; Yang, K.Y. Carlin-Type gold deposits in the Dian-Qian-Gui “golden triangle” of Southwest China. In Diversity of Carlin-Style Gold Deposits, Reviews in Economic Geology; Muntean, J.L., Ed.; Society of Economic Geologists, Inc.: Littleton, CO, USA, 2018; Volume 20, pp. 157–185. [Google Scholar]
- Hu, R.Z.; Fu, S.L.; Huang, Y.; Zhou, M.F.; Fu, S.H.; Zhao, C.H.; Wang, Y.J.; Bi, X.W.; Xiao, J.F. The giant South China Mesozoic low-temperature metallogenic domain: Reviews and a new geodynamic model. J. Asian Earth Sci. 2017, 137, 9–34. [Google Scholar] [CrossRef]
- Muntean, J.L.; Cline, J.S.; Simon, A.C.; Longo, A.A. Magmatic-Hydrothermal origin of Nevada’s Carlin-type gold deposits. Nat. Geosci. 2011, 4, 122–127. [Google Scholar] [CrossRef]
- Cline, J.S.; Hofstra, A.H.; Muntean, J.L.; Tosdal, R.M.; Hickey, K.A. Carlin-Type gold deposits in Nevada: Critical geologic characteristics and viable models. In Economic Geology 100th Anniversary Volume; Society of Economic Geologists, Inc.: Littleton, CO, USA, 2005; pp. 451–484. [Google Scholar]
- Cline, J.S. Nevada’s Carlin-type gold deposits: What we’ve learned during the past 10 to 15 years. In Diversity of Carlin-Style Gold Deposits, Reviews in Economic Geology; Muntean, J.L., Ed.; Society of Economic Geologists, Inc.: Littleton, CO, USA, 2018; Volume 20, pp. 7–37. [Google Scholar]
- Chen, M.H.; Mao, J.W.; Li, C.; Zhang, Z.Q.; Dang, Y. Re-Os isochron ages for arsenopyrite from Carlin-like gold deposits in the Yunnan–Guizhou–Guangxi “golden triangle”, southwestern China. Ore Geol. Rev. 2015, 64, 316–327. [Google Scholar] [CrossRef]
- Chen, M.H.; Huang, Q.W.; Hu, Y.; Chen, Z.Y.; Zhang, W. Genetic type of Phyllosilicate (Micas) and its Ar-Ar dating in Lannigou gold deposit, Guizhou Province, China. Acta Mineral. Sin. 2009, 29, 353–362, (In Chinese with English abstract). [Google Scholar]
- Chen, M.H.; Bagas, L.; Liao, X.; Zhang, Z.Q.; Li, Q.L. Hydrothermal apatite SIMS ThPb dating: Constraints on the timing of low-temperature hydrothermal Au deposits in Nibao, SW China. Lithos 2019, 324–325, 418–428. [Google Scholar] [CrossRef]
- Zheng, L.L.; Yang, R.D.; Gao, J.B.; Chen, J.; Liu, J.Z.; Li, D.P. Quartz Rb-Sr isochron ages of two type orebodies from the Nibao Carlin-Type gold deposit, Guizhou, China. Minerals 2019, 9, 399. [Google Scholar] [CrossRef]
- Su, W.C.; Hu, R.Z.; Xia, B.; Xia, Y.; Liu, Y.P. Calcite Sm-Nd isochron age of the Shuiyindong Carlin-type gold deposit, Guizhou, China. Chem. Geol. 2009, 258, 269–274. [Google Scholar] [CrossRef]
- Tan, Q.; Xia, Y.; Xie, Z.; Wang, Z.; Wei, D.; Zhao, Y.; Yan, J.; Li, S. Two hydrothermal events at the Shuiyindong Carlin-Type gold deposit in Southwestern China: Insight from Sm-Nd dating of fluorite and calcite. Minerals 2019, 9, 230. [Google Scholar] [CrossRef]
- Peng, J.T.; Hu, R.Z.; Jiang, G.H. Samarium-Neodymium isotope system of fluorites from the Qinglong antimony deposit, Guizhou Province: Constrains on the mineralizing age and ore-forming materials’ sources. Acto Petrol. Sin. 2003, 19, 785–791, (In Chinese with English abstract). [Google Scholar]
- Zhang, F.; Yang, K.Y. Mineralization time of fission track in disseminated gold deposits in Southwest Guizhou. Chin. Sci. Bull. 1992, 37, 1593–1595, (In Chinese with English abstract). [Google Scholar]
- Su, W.C.; Yang, K.Y.; Hu, R.Z.; Chen, F. Fluid inclusion chronological study of the Carlin-type gold deposits in southwestern China: As exemplified by the Lannigou gold deposit, Guizhou province. Acta Mineral. Sin. 1998, 18, 359–362, (In Chinese with English abstract). [Google Scholar]
- Peng, J.T.; Hu, R.Z.; Burnard, P.G. Samarium-Neodymium isotope systematics of hydrothermal calcites from the Xikuangshan antimony deposit (Hunan, China): The potential of calcite as a geochronometer. Chem. Geol. 2003, 200, 129–136. [Google Scholar] [CrossRef]
- Zou, Z.C.; Hu, R.Z.; Bi, X.W.; Wu, L.Y.; Feng, C.X.; Tang, Y.Y. Absolute and relative dating of Cu and Pb-Zn mineralization in the Baiyangping area, Yunnan Province, SW China: Sm-Nd geochronology of calcite. Geochem. J. 2015, 49, 103–112. [Google Scholar] [CrossRef][Green Version]
- Wang, J.S.; Wen, H.J.; Fan, H.F.; Zhu, J.J. Sm-Nd geochronology, REE geochemistry and C and O isotope characteristics of calcites and stibnites from the Banian antimony deposit, Guizhou Province, China. Geochem. J. 2012, 46, 393–407. [Google Scholar] [CrossRef]
- Uysal, I.T.; Zhao, J.X.; Golding, S.D.; Lawrence, M.G.; Glikson, M.; Collerson, K.D. Sm-Nd dating and rare-earth element tracing of calcite: Implications for fluid-flow events in the Bowen Basin, Australia. Chem. Geol. 2007, 238, 63–71. [Google Scholar] [CrossRef]
- Anglin, C.D.; Jonasson, I.R.; Franklin, J.M. Sm-Nd dating of scheelite and tourmaline; Implications for the genesis of Archean gold deposits, Val d’Or, Canada. Econ. Geol. 1996, 91, 1372–1382. [Google Scholar] [CrossRef]
- Roberts, S.; Palmer, M.R.; Waller, L. Sm-Nd and REE characteristics of tourmaline and scheelite from the Bjorkdal gold deposit, northern Sweden: Evidence of an intrusion-related gold deposit? Econ. Geol. 2006, 101, 1415–1425. [Google Scholar] [CrossRef]
- Bell, K.; Anglin, C.; Franklin, J. Sm-Nd and Rb-Sr isotope systematics of scheelites: Possible implications for the age and genesis of vein-hosted gold deposits. Geology 1989, 17, 500–504. [Google Scholar] [CrossRef]
- Chesley, J.T.; Halliday, A.N.; Kyser, T.K.; Spry, P.G. Direct dating of Mississippi valley-type mineralization; use of Sm-Nd in fluorite. Econ. Geol. 1994, 89, 1192–1199. [Google Scholar] [CrossRef]
- Munoz, M.; Premo, W.; Courjault-Rade, P. Sm-Nd dating of fluorite from the worldclass Montroc fluorite deposit, southern Massif Central, France. Miner. Depos. 2005, 39, 970–975. [Google Scholar] [CrossRef]
- Xu, W.G.; Fan, H.R.; Hu, F.F.; Santosh, M.; Yang, K.F.; Lan, T.G.; Wen, B.J. Geochronology of the Guilaizhuang gold deposit, Luxi Block, eastern North China Craton: Constraints from zircon U-Pb and fluorite-calcite Sm-Nd dating. Ore Geol. Rev. 2015, 65, 390–399. [Google Scholar] [CrossRef]
- Tan, Q.P.; Xia, Y.; Wang, X.Q.; Xie, Z.J.; Wei, D.T. Carbon-Oxygen isotopes and rare earth elements as an exploration vector for Carlin-type gold deposits: A case study of the Shuiyindong gold deposit, Guizhou Province, SW China. J. Asian Earth Sci. 2017, 148, 1–12. [Google Scholar] [CrossRef]
- Du, Y.; Huang, H.; Yang, J.; Huang, H.; Tao, P.; Huang, Z.; Hu, L.; Xie, X. The basin translation from late Paleozoic to Triassic of the Youjiang basin and its tectonic signification. Geol. Rev. 2013, 59, 1–11, (In Chinese with English abstract). [Google Scholar]
- Huang, Y.; Hu, R.Z.; Bi, X.W.; Fu, S.L.; Peng, K.Q.; Gao, W.; Oyebamiji, A.; Zhaanbaeva, A. Low-Temperature thermochronology of the Carlin-type gold deposits in southwestern Guizhou, China: Implications for mineralization age and geological thermal events. Ore Geol. Rev. 2019, 115, 103178. [Google Scholar] [CrossRef]
- Guizhou Institute of Geological Survey. The Regional Geology of China, Guizhou Province; Geological Publishing House: Beijing, China, 2017; (In Chinese with English abstract).
- Chen, J.; Huang, Z.-L.; Yang, R.-D.; Du, L.-J.; Liao, M.-Y. Gold and antimony metallogenic relations and ore-forming process of Qinglong Sb(Au) deposit in Youjiang basin, SW China: Sulfide trace elements and sulfur isotopes. Geosci. Front. 2020, 12, 605–623. [Google Scholar] [CrossRef]
- Liu, J.; Yang, C.; Xia, Y.; Chen, S.; Chen, F.E.; You, B.; Fu, Z. SBT study and ideas in patform lithofaices area in the Southwest Guizhou. Guizhou Geol. 2010, 27, 178–184, (In Chinese with English abstract). [Google Scholar]
- Tan, Q.P.; Xia, Y.; Xie, Z.J.; Yan, J. Migration paths and precipitation mechanisms of ore-forming fluids at the Shuiyindong Carlin-type gold deposit, Guizhou, China. Ore Geol. Rev. 2015, 69, 140–156. [Google Scholar] [CrossRef]
- Qi, L.; Hu, J.; Gregoire, D.C. Determination of trace elements in granites by inductively coupled plasma mass spectrometry. Talanta 2000, 51, 507–513. [Google Scholar]
- Zhang, J.R.; Wen, H.J.; Qiu, Y.Z.; Zhang, Y.X.; Li, C. Ages of sediment-hosted Himalayan Pb-Zn-Cu-Ag polymetallic deposits in the Lanping basin, China: Re-Os geochronology of molybdenite and Sm-Nd dating of calcite. J. Asian Earth Sci. 2013, 73, 284–295. [Google Scholar] [CrossRef]
- Ludwig, R.K. ISOPLOT: A Plotting and Regression Program for Radiogenic Isotope Data (Version 2.9); U.S. Geological Survey: Washington, DC, USA, 1996; pp. 91–445. [Google Scholar]
- Sun, S.S.; McDonough, W.F. Chemical and isotopic systematics of oceanic basalts: Implications for mantle composition and processes. Geol. Soc. Lond. Spec. Publ. 1989, 42, 313–345. [Google Scholar] [CrossRef]
- Wang, J.; Han, Z.; Li, C.; Gao, Z.; Yang, Y.; Zhou, G. REE, Fe and Mn contents of calcites and their prospecting significance for the Banqi Carlin-type gold deposit in Southwestern China. Geotecton. Metallog. 2018, 42, 494–504, (In Chinese with English abstract). [Google Scholar]
- Johannesson, K.H.; Lyons, W.B.; Yelken, M.A.; Gaudette, H.E.; Stetzenbach, K.J. Geochemistry of the rare-earth elements in hypersaline and dilute acidic natural terrestrial waters: Complexation behavior and middle rare-earth element enrichments. Chem. Geol. 1996, 133, 125–144. [Google Scholar] [CrossRef]
- Johannesson, K.H.; Lyons, W.B. Rare-Earth element geochemistry of Colour Lake, an acidic freshwater lake on Axel Heiherg Island, Northwest Territories, Canada. Chem. Geol. 1995, 119, 209–223. [Google Scholar] [CrossRef]
- Bau, M.; Möller, P. Rare earth element fractionation in metamorphogenic hydrothermal calcite, magnesite and siderite. Mineral. Petrol. 1992, 45, 231–246. [Google Scholar] [CrossRef]
- Wang, Z.P.; Xia, Y.; Song, X.Y.; Liu, J.Z.; Yang, C.F.; Yan, B.W. Study on the evolution of ore-formation fluids for Au-Sb ore deposits and the mechanism of Au-Sb paragenesis and differentiation in the southwestern part of Guizhou Province, China. Chin. J. Geochem. 2013, 32, 56–68. [Google Scholar] [CrossRef]
- Sverjensky, D.A. Europium redox equilibria in aqueous solution. Earth Planet. Sci. Lett. 1984, 67, 70–78. [Google Scholar] [CrossRef]
- Rollinson, H.R. Using Geochemical Data: Evaluation, Presentation, Interpretation; Longman Scientific and Technical: London, UK, 1993. [Google Scholar]
- Chung, S.-L.; Jahn, B.-M. Plume-Lithosphere interaction in generation of the Emeishan flood basalts at the Permian-Triassic boundary. Geology 1995, 23, 889–892. [Google Scholar] [CrossRef]
- Wang, Z. Affirmation of the Jurassic in Longtoushan of Zhenfeng, Guizhou and its geological significance. Guizhou Geol. 1997, 13, 201–203, (In Chinese with English abstract). [Google Scholar]
- Chen, M.H.; Zhang, Y.; Meng, Y.; Lu, G.; Liu, S. Determination of upper limit of metallogenic epoch of Liaotun gold deposit in western Guangxi and its implications for chronology of Carlin-type gold deposits in Yunnan-Guizhou-Gangxi golden triangle area. Miner. Depos. 2014, 33, 1–13. [Google Scholar]
- Xie, Z.J.; Xia, Y.; Cline, J.S.; Koenig, A.; Wei, D.T.; Tan, Q.P.; Wang, Z.P. Are there Carlin-type gold deposits in China? A comparison of the Guizhou, China, deposits with Nevada, USA, deposits. In Diversity of Carlin-Style Gold Deposits, Reviews in Economic Geology; Muntean, J.L., Ed.; Society of Economic Geologists, Inc.: Littleton, CO, USA, 2018; Volume 20, pp. 187–233. [Google Scholar]
- Zhu, J.J.; Hu, R.Z.; Richards, J.P.; Bi, X.-W.; Stern, R.; Lu, G. No genetic link between Late Cretaceous felsic dikes and Carlin-type Au deposits in the Youjiang basin, Southwest China. Ore Geol. Rev. 2017, 84, 328–337. [Google Scholar] [CrossRef]
- Zhao, J.; Liang, J.; Li, J.; Huang, Y.; Liu, X.; Zhang, J.; Hao, J.; Sun, W.; Li, J.; Xie, J. Gold and sulfur sources of the Taipingdong Carlin-type gold deposit: Constraints from simultaneous determination of sulfur isotopes and trace elements in pyrite using nanoscale secondary ion mass spectroscopy. Ore Geol. Rev. 2020, 117, 1–11. [Google Scholar] [CrossRef]
- Liang, J.; Li, J.; Liu, X.; Zhai, W.; Huang, Y.; Zhao, J.; Sun, W.; Song, M.; Li, J. Multiple element mapping and in-situ S isotopes of Au-carrying pyrite of Shuiyindong gold deposit, southwestern China using NanoSIMS: Constraints on Au sources, ore fluids, and mineralization processes. Ore Geol. Rev. 2020, 123, 103576. [Google Scholar] [CrossRef]
- Tan, Q.P.; Xia, Y.; Xie, Z.J.; Yan, J.; Wei, D.T. S, C, O, H, and Pb isotopic studies for the Shuiyindong Carlin-type gold deposit, Southwest Guizhou, China: Constraints for ore genesis. Chin. J. Geochem. 2015, 34, 525–539. [Google Scholar] [CrossRef]
- Yin, R.; Deng, C.; Lehmann, B.; Sun, G.; Lepak, R.F.; Hurley, J.P.; Zhao, C.; Xu, G.; Tan, Q.; Xie, Z.; et al. Magmatic-Hydrothermal origin of mercury in Carlin-style and epithermal gold deposits in China: Evidence from mercury stable isotopes. ACS Earth Space Chem. 2019, 3, 1631–1639. [Google Scholar] [CrossRef]
- Hu, R.Z.; Zhou, M.F. Multiple Mesozoic mineralization events in South China—An introduction to the thematic issue. Miner. Depos. 2012, 47, 579–588. [Google Scholar] [CrossRef]
- Li, Z.X.; Li, X.H. Formation of the 1300-km-wide intracontinental orogen and postorogenic magmatic province in Mesozoic South China: A flat-slab subduction model. Geology 2007, 35, 179–182. [Google Scholar] [CrossRef]







| Sample No. | La | Ce | Pr | Nd | Sm | Eu | Gd | Tb | Dy | Ho | Er | Tm | Yb | Lu | ΣREE | Y | δEu | δCe |
|---|---|---|---|---|---|---|---|---|---|---|---|---|---|---|---|---|---|---|
| ZMD-03 | 0.91 | 2.93 | 0.55 | 3.31 | 1.61 | 0.76 | 2.07 | 0.27 | 1.33 | 0.22 | 0.40 | 0.04 | 0.20 | 0.02 | 14.6 | 6.17 | 1.27 | 0.99 |
| ZMD-04 | 0.43 | 1.60 | 0.35 | 2.58 | 1.52 | 0.81 | 2.11 | 0.29 | 1.34 | 0.22 | 0.42 | 0.05 | 0.21 | 0.03 | 12.0 | 7.38 | 1.38 | 0.95 |
| ZMD-25 | 0.51 | 1.48 | 0.28 | 1.78 | 1.20 | 0.70 | 2.22 | 0.35 | 1.76 | 0.28 | 0.59 | 0.07 | 0.34 | 0.05 | 11.6 | 10.6 | 1.29 | 0.96 |
| ZMD-26 | 0.15 | 0.53 | 0.14 | 0.98 | 1.03 | 0.59 | 1.93 | 0.30 | 1.45 | 0.23 | 0.48 | 0.06 | 0.32 | 0.04 | 8.21 | 8.19 | 1.27 | 0.82 |
| ZMD-28 | 0.75 | 3.05 | 0.72 | 4.73 | 2.53 | 1.29 | 3.99 | 0.59 | 2.99 | 0.49 | 0.86 | 0.08 | 0.38 | 0.04 | 22.5 | 15.0 | 1.24 | 0.93 |
| DC-02 | 1.60 | 2.69 | 0.65 | 4.09 | 1.88 | 1.14 | 4.84 | 1.00 | 6.35 | 1.39 | 3.15 | 0.34 | 1.64 | 0.19 | 31.0 | 104 | 1.10 | 0.65 |
| DC-06 | 1.50 | 2.79 | 0.61 | 3.58 | 1.59 | 0.76 | 3.30 | 0.58 | 3.41 | 0.77 | 1.67 | 0.18 | 0.88 | 0.1 | 21.7 | 56.3 | 1.00 | 0.72 |
| DC-07 | 2.13 | 3.40 | 0.79 | 4.64 | 1.95 | 0.92 | 4.29 | 0.73 | 4.48 | 1.01 | 2.39 | 0.27 | 1.33 | 0.16 | 28.5 | 69.6 | 0.94 | 0.64 |
| DC-10 | 3.43 | 5.99 | 1.31 | 7.61 | 2.61 | 1.15 | 4.68 | 0.76 | 4.30 | 0.97 | 2.17 | 0.25 | 1.19 | 0.16 | 36.6 | 80.9 | 0.99 | 0.69 |
| DC-15 | 2.23 | 3.48 | 0.77 | 4.36 | 1.70 | 0.79 | 3.47 | 0.61 | 3.61 | 0.84 | 2.08 | 0.22 | 1.15 | 0.14 | 25.5 | 59.2 | 0.97 | 0.65 |
| Sample No. | Deposits/Occurrence | Sm (μg/g) | Nd (μg/g) | Sm/Nd | 147Sm/144Nd | 143Nd/144Nd(2δ) | εNd |
|---|---|---|---|---|---|---|---|
| ZMD-03 | 1.7307 | 3.3831 | 0.51 | 0.3093 | 0.512612 ± 8 | −2.5 | |
| ZMD-04 | Zimudang | 1.7147 | 2.7122 | 0.63 | 0.3822 | 0.512699 ± 9 | −2.2 |
| ZMD-25 | Cal + Rlg + Orp | 1.3471 | 1.9572 | 0.69 | 0.4161 | 0.512734 ± 19 | −2.1 |
| ZMD-26 | 1.1104 | 1.0996 | 1.01 | 0.6105 | 0.512956 ± 8 | −1.3 | |
| ZMD-28 | 2.3163 | 4.2144 | 0.55 | 0.3323 | 0.512642 ± 7 | −2.4 | |
| DC-02 | 1.3930 | 2.8706 | 0.49 | 0.2934 | 0.512507 ± 8 | −4.3 | |
| DC-06 | Dachang | 1.3047 | 3.1282 | 0.42 | 0.2522 | 0.512468 ± 10 | −4.3 |
| DC-07 | Fl + Stb | 1.5371 | 3.5324 | 0.44 | 0.2631 | 0.512475 ± 3 | −4.4 |
| DC-10 | 2.0384 | 5.8439 | 0.35 | 0.2109 | 0.512429 ± 8 | −4.3 | |
| DC-15 | 1.1420 | 2.8716 | 0.40 | 0.2404 | 0.512457 ± 15 | −4.3 |
Publisher’s Note: MDPI stays neutral with regard to jurisdictional claims in published maps and institutional affiliations. |
© 2021 by the authors. Licensee MDPI, Basel, Switzerland. This article is an open access article distributed under the terms and conditions of the Creative Commons Attribution (CC BY) license (http://creativecommons.org/licenses/by/4.0/).
Share and Cite
Wang, Z.; Tan, Q.; Xia, Y.; Liu, J.; Yang, C.; Li, S.; Li, J.; Chen, F.; Wang, X.; Pan, Q.; et al. Sm–Nd Isochron Age Constraints of Au and Sb Mineralization in Southwestern Guizhou Province, China. Minerals 2021, 11, 100. https://doi.org/10.3390/min11020100
Wang Z, Tan Q, Xia Y, Liu J, Yang C, Li S, Li J, Chen F, Wang X, Pan Q, et al. Sm–Nd Isochron Age Constraints of Au and Sb Mineralization in Southwestern Guizhou Province, China. Minerals. 2021; 11(2):100. https://doi.org/10.3390/min11020100
Chicago/Turabian StyleWang, Zepeng, Qinping Tan, Yong Xia, Jianzhong Liu, Chengfu Yang, Songtao Li, Junhai Li, Faen Chen, Xiaoyong Wang, Qiquan Pan, and et al. 2021. "Sm–Nd Isochron Age Constraints of Au and Sb Mineralization in Southwestern Guizhou Province, China" Minerals 11, no. 2: 100. https://doi.org/10.3390/min11020100
APA StyleWang, Z., Tan, Q., Xia, Y., Liu, J., Yang, C., Li, S., Li, J., Chen, F., Wang, X., Pan, Q., & Wang, D. (2021). Sm–Nd Isochron Age Constraints of Au and Sb Mineralization in Southwestern Guizhou Province, China. Minerals, 11(2), 100. https://doi.org/10.3390/min11020100

