Constraining Mantle Heterogeneity beneath the South China Sea: A New Perspective on Magma Water Content
Abstract
1. Introduction
2. Geological Background
3. Data Sources and Quality Control
4. Results
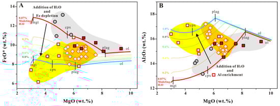
4.1. CA Characteristics and Fe Depletion in SCS Basalt
4.2. Geochemical Variation along the FSR
5. Discussions
5.1. Mantle Melting
5.2. Plagioclase Assimilation/Accumulation
5.3. Magma Water Content Variation along the FSR
- (1)
- Notice that even though the 117° E–N basalt has slightly lower 87Sr/86Sr, 206Pb/204Pb and higher 143Nd/144Nd isotope composition than the surrounding basalt, as a result of the weaker influence of the Hainan mantle plume (Figure 8). However, there is no other mantle contamination displayed here. Hence, we suggest that the lavas in these two groups have similar mantle source isotope compositions to that of SCS normal lava. This is an important prerequisite for comparison of their magma water contents.
- (2)
- The lava from FSR 117° E–C shows high Fe depletion, which reflects additional water content in the magma there, while that of the FSR 117° E–N does not (Figure 7).
- (3)
- The FSR 117° E–C basalt exhibits the lowest degree of melting and highest initial melting depth, which are consistent with the results for additional water in the mantle. In contrast, the FSR 117° E–N basalt shows the highest melting degree and lowest initial melting depth.
- (4)
- As mentioned in Section 5.1, the concentrations of different incompatible elements depend on the different degree of melting or on the mantle source. Therefore, based on the degree of melting revealed from the trace elements melting model (Figure 7, the 117° E–C basalt 5–10%; the 117° E–N basalt > 25%; and the SCS normal basalt 6–20%), and specifically the basalt Ce concentration (for the 117° E–C basalt 75–201 ppm; the 117° E–N basalt 5.3–19.1 ppm; the SCS normal basalt 13.9–149 ppm), we used the batch melting equation and DCe (0.01; Johnson et al., [77]) to calculate the Ce concentration of the mantle source. The reason why we use the F value revealed from the trace elements melting model is not due to the F value being more accurate than the result calculated from TiO2(Fo90). If the Ce concentration of the mantle source remains high under the calculation of overestimated F, then it would be more able to explain that the mantle source should be “wet”. The results show that the average Ce in the mantle source is about 9.6 ± 3.0 ppm for the 117° E–C basalt, 2.4 ± 1.1 ppm for the 117° E–N basalt, and 7.8 ± 1.5 ppm for the SCS normal basalt group. Since Ce has mineral and bulk mantle/melt partition coefficients similar to those of water [70,78], the highest Ce concentration in the 117° E–C mantle source suggests that the mantle should be “wet”.
5.4. Constraining Mantle Heterogeneity
5.4.1. The Hainan Mantle Plume
5.4.2. Carbonated Silicate Melts
5.4.3. Mantle Contamination beneath the 114.9–115.0° E Basalts
6. Conclusions
Supplementary Materials
Author Contributions
Funding
Acknowledgments
Conflicts of Interest
References
- Taylor, B.; Hayes, D.E. The tectonic evolution of the South China Basin. In The Tectonic and Geologic Evolution of Southeast Asian Seas and Islands, Part 1; Hayes, D.E., Ed.; American Geophysical Union: Washington, DC, USA, 1980; pp. 89–104. [Google Scholar]
- Taylor, B.; Hayes, D.E. Origin and history of the South China Sea basin. In The Tectonic and Geologic Evolution of Southeast Asian Seas and Islands, Part 2; Hayes, D.E., Ed.; American Geophysical Union: Washington, DC, USA, 1983; pp. 23–56. [Google Scholar]
- Morley, C.K. A tectonic model for the Tertiary evolution of strike-slip faults and rift basins in SE Asia. Tectonophysics 2002, 347, 189–215. [Google Scholar] [CrossRef]
- Sun, Z.; Zhou, D.; Zhong, Z.H.; Xia, B.; Qiu, X.L.; Zeng, Z.X.; Jiang, J.Q. Research on the dynamics of the South China Sea opening: Evidence from analogue modeling. Sci. China (Ser. D) 2006, 49, 1053–1069. [Google Scholar] [CrossRef]
- Sun, Z.; Zhong, Z.H.; Keep, M.; Zhou, D.; Cai, D.S.; Li, X.S.; Wu, S.M.; Jiang, J.Q. 3D analogue modeling of the South China Sea: A discussion on breakup pattern. J. Asian Earth Sci. 2009, 34, 544–556. [Google Scholar] [CrossRef]
- Xia, B.; Zhang, Y.; Cui, X.J.; Liu, B.M.; Xie, J.H.; Zhang, S.L.; Lin, G. Understanding of the geological and geodynamic controls on the formation of the South China Sea: A numerical modelling approach. J. Geodyn. 2006, 42, 63–84. [Google Scholar] [CrossRef]
- Xu, Y.G.; Wei, J.X.; Qiu, H.N.; Zhang, H.H.; Huang, X.L. Opening and evolution of the South China Sea constrained by studies on volcanic rocks: Preliminary results and a research design. Chin. Sci. Bull. 2012, 57, 3150–3164. [Google Scholar] [CrossRef]
- Sun, W.D. Initiation and evolution of the South China Sea: An overview. Acta Geochim. 2016, 35, 215–225. [Google Scholar] [CrossRef]
- Zhang, G.L.; Chen, L.H.; Jackson, M.G.; Hofmann, A.W. Evolution of carbonated melt to alkali basalt in the South China Sea. Nat. Geosci. 2017, 10, 229–235. [Google Scholar] [CrossRef]
- Tu, K.; Flower, M.; Carlson, R.W.; Xie, G.; Chen, C.Y.; Zhang, M. Magmatism in the South China Basin: 1. Isotopic and trace-element evidence for an endogenous Dupal mantle component. Chem. Geol. 1992, 97, 47–63. [Google Scholar] [CrossRef]
- Yan, Q.S.; Shi, X.F.; Wang, K.S.; Pu, W.R.; Xiao, L. The study of major, trace and Sr-Nd-Pb isotope composition of Cenozoic alkaline basalt in the South China Sea. Sci. China 2008, 38, 56–71. [Google Scholar]
- Li, C.F.; Lin, J.; Dadd, K.A. Site U1431-1343. Proc. Int. Ocean Discov. Program. 2015, 349, 1–22. [Google Scholar]
- Zhang, G.L.; Luo, Q.; Zhao, J.; Jackson, M.G.; Guo, L.S.; Zhong, L.F. Geochemical nature of sub-ridge mantle and opening dynamics of the South China Sea. Earth Planet. Sci. Lett. 2018, 489, 145–155. [Google Scholar] [CrossRef]
- Dupré, B.; Allègre, C.J. Pb–Sr isotope variation in Indian Ocean basalts and mixing phenomena. Nature 1983, 303, 142–146. [Google Scholar] [CrossRef]
- Zou, H.; Fan, Q. U-Th isotopes in Hainan basalts: Implications for sub-asthenospheric origin of EM2 mantle endmember and the dynamics of melting beneath Hainan Island. Lithos 2010, 116, 145–152. [Google Scholar] [CrossRef]
- Li, N.; Yan, Q.; Chen, Z.; Shi, X. Geochemistry and petrogenesis of Quaternary volcanism from the islets in the eastern Beibu Gulf: Evidence for Hainan plume. Acta Oceanol. Sin. 2013, 32, 40–49. [Google Scholar] [CrossRef]
- Wang, Z.L.; Xu, D.R.; Wu, C.J.; Fu, W.W.; Wang, L.; Wu, J. Discovery of the Late Paleozoic ocean island basalts (OIB) in Hainan Island and their geodynamic implications. Acta Oceanol. Sin. 2013, 29, 875–886. [Google Scholar]
- Yan, Q.S.; Shi, X.F. Hainan mantle plume and the formation and evolution of the South China Sea. Geol. J. China Univ. 2007, 13, 311–322. [Google Scholar]
- Hirth, G.; Kohlstedt, D.L. Water in the oceanic upper mantle: Implications for rheology, melt extraction and the evolution of the lithosphere. J. Earth Planet. Sci. Lett. 1996, 144, 93–108. [Google Scholar] [CrossRef]
- Sobolev, A.V.; Chaussidon, M. H2O concentrations in primary melts from supra-subduction zones and mid-ocean ridges: Implications for H2O storage and recycling in the mantle. J. Earth Planet. Sci. Lett. 1996, 137, 45–55. [Google Scholar] [CrossRef]
- Thompson, A.B. Water in the Earth’s upper mantle. Nature 1992, 358, 295–302. [Google Scholar] [CrossRef]
- Michael, P.J. Regionally distinctive sources of depleted MORB: Evidence from trace elements and H2O. Earth Planet. Sci. Lett. 1995, 131, 301–320. [Google Scholar] [CrossRef]
- Dixon, J.E. Volatiles in Basaltic Glasses from Loihi Seamount, Hawaii: Evidence for a Relatively Dry Plume Component. J. Petrol. 2001, 42, 627–654. [Google Scholar] [CrossRef]
- Plank, T.; Kelley, K.A.; Zimmer, M.M.; Hauri, E.H.; Wallace, P.J. Why do mafic arc magmas contain—4 wt. % water on average? Earth Planet. Sci. Lett. 2013, 364, 168–179. [Google Scholar] [CrossRef]
- O’Leary, J.A.; Gaetani, G.A.; Hauri, E.H. The effect of tetrahedral Al3+ on the partitioning of water between clinopyroxene and silicate melt. Earth Planet. Sci. Lett. 2010, 297, 111–120. [Google Scholar] [CrossRef]
- Wade, J.A.; Plank, T.; Hauri, E.H.; Kelley, K.A.; Roggensack, K.; Zimmer, M. Prediction of magmatic water contents via measurement of H2O in clinopyroxene phenocrysts. Geology 2008, 36, 799–802. [Google Scholar] [CrossRef]
- Xia, Q.K.; Liu, J.; Liu, S.C.; Kovacs, I.; Feng, M.; Dang, L. High water content in Mesozoic primitive basalts of the North China Craton and implications on the destruction of cratonic mantle lithosphere. Earth Planet. Sci. Lett. 2013, 361, 85–97. [Google Scholar] [CrossRef]
- Yan, J.Y.; Li, X.P.; Yan, Q.S. Geochemical characteristics and geological implications of clinopyroxenes in Cenozoic basalts from the South China Sea. Geol. Rev. 2014, 60, 824–838. [Google Scholar]
- Yan, Q.S.; Shi, X.F.; Wang, Q.S.; Bu, R.W. Mineral chemistry and its genetic significance of olivine in Cenozoic basalts from the South China Sea. Acta Petrol. Sin. 2007, 21, 2981–2989. [Google Scholar]
- Kinzler, R.J. Melting of mantle peridotite at pressures approaching the spinel to garnet transition: Application to mid-ocean ridge basalt petrogenesis. J. Geophys. Res. 1997, 102, 853–874. [Google Scholar] [CrossRef]
- Bédard, J.H. Parameterization of the Fe = Mg exchange coefficient (Kd) between clinopyroxene and silicate melts. Chem. Geol. 2010, 274, 169–176. [Google Scholar] [CrossRef]
- Danyushevsky, L.V. The effect of small amounts of H2O on crystallisation of mid-ocean ridge and backarc basin magmas. J. Volcan. Geoth. Res. 2001, 110, 265–280. [Google Scholar] [CrossRef]
- Green, T.H.; Ringwood, A.E. Crystallization of basalt and andesite under high pressure hydrous conditions. Earth Planet. Sci. Lett. 1967, 3, 481–489. [Google Scholar] [CrossRef]
- Sisson, T.W.; Grove, T.L. Experimental investigations of the role of H2O in calc-alkaline differentiation and subduction zone magmatism. Contrib. Mineral. Petrol. 1993, 113, 143–166. [Google Scholar] [CrossRef]
- Langmuir, C.H.; Hanson, G.N.; O’Hara, M.J. An Evaluation of Major Element Heterogeneity in the Mantle Sources of Basalts. Philos. Trans. R. Soc. Lond. 1980, 297, 383–407. [Google Scholar] [CrossRef]
- Grove, T.L.; Bryan, W.B. Fractionation of pyroxene-phyric MORB at low pressure: An experimental study. Contrib. Mineral. Petrol. 1983, 84, 293–309. [Google Scholar] [CrossRef]
- Langmuir, C.H.; Klein, E.M.; Plank, T. Petrological systematics of mid-Ocean ridge basalts: Constraints on melt generation beneath ocean ridges. Mantle Flow Melt Gener. Mid-Ocean. Ridges 1992, 71, 183–280. [Google Scholar]
- Zimmer, M.M.; Plank, T.; Hauri, E.H.; Yogodzinski, G.M.; Stelling, P.; Larsen, J.; Singer, B.; Jicha, B.; Mandeville, C.; Nye, C.J. The Role of Water in Generating the Calc-alkaline Trend: New Volatile Data for Aleutian Magmas and a New Tholeiitic Index. J. Petrol. 2010, 51, 2411–2444. [Google Scholar] [CrossRef]
- Asimow, P.D.; Langmuir, C.H. The importance of water to oceanic mantle melting regimes. Nature 2003, 421, 815–820. [Google Scholar] [CrossRef]
- Cande, S.C.; Kent, D.V. Revised calibration of the geomagnetic polarity timescale for the Late Cretaceous and Cenozoic. J. Geophys. Res. 1995, 100, 6093–6095. [Google Scholar] [CrossRef]
- Hsu, S.K.; Yeh, Y.C.; Doo, W.B.; Tsai, C.H. New Bathymetry and Magnetic Lineations Identifications in the Northernmost South China Sea and their Tectonic Implications. Mar. Geophys. Res. 2004, 25, 29–44. [Google Scholar] [CrossRef]
- Briais, A. Updated Interpretation of Magnetic Anomalies and Seafloor Spreading Stages in the South China Sea: Implications for the Tertiary Tectonics of Southeast Asia. J. Geophys. Res. Solid Earth 2011, 98, 6299–6328. [Google Scholar] [CrossRef]
- Li, C.; Xu, X.; Lin, J.; Song, T. Ages and magnetic structures of the South China Sea constrained by deep tow magnetic surveys and IODP Expedition 349. Geochem. Geophys. Geosyst. 2014, 15, 4958–4983. [Google Scholar] [CrossRef]
- Braitenberg, C.; Wienecke, S.; Wang, Y. Basement structures from satellite-derived gravity field: South China Sea ridge. J. Geophys. Res. 2006, 111, B05407. [Google Scholar] [CrossRef]
- Lebedev, S.; Nolet, G. Upper mantle beneath Southeast Asia from S velocity tomography. J. Geophys. Res. Solid Earth 2003, 108, 1–21. [Google Scholar] [CrossRef]
- Nolet, G.; Allen, R.; Zhao, D. Mantle plume tomography. Chem. Geol. 2007, 241, 248–263. [Google Scholar] [CrossRef]
- Hoàng, N.; Flower, M.F.J.; Carlson, R.W. Major, trace element, and isotopic compositions of Vietnamese basalts: Interaction of hydrous EM1-rich asthenosphere with thinned Eurasian lithosphere. Geochim. Cosmochim. Acta 1996, 60, 4329–4351. [Google Scholar] [CrossRef]
- Zhou, P.; Mukasa, S.B. Nd-Sr-Pb isotopic, and major and trace-element geochemistry of Cenozoic lavas from the Khorat Plateau, Thailand: Sources and petrogenesis. Chem. Geol. 1997, 137, 175–193. [Google Scholar] [CrossRef]
- Li, Z.G.; Chu, F.Y.; Dong, Y.H.; Liu, J.-Q.; Chen, L. Geochemical constraints on the contribution of Louisville seamount materials to magmagenesis in the Lau back-arc basin, SW Pacific. Int. Geol. Rev. 2015, 57, 978–997. [Google Scholar] [CrossRef]
- Yan, Q.S.; Castillo, P.; Shi, X.; Wang, L.; Liao, L.; Ren, J. Geochemistry and petrogenesis of volcanic rocks from Daimao Seamount (South China Sea) and their tectonic implications. Lithos 2015, 218–219, 117–126. [Google Scholar] [CrossRef]
- Yang, S.; Fang, N. Geochemical variation of volcanic rocks from the South China Sea and neighboring land: Implication for magmatic process and mantle structure. Acta Oceanol. Sin. 2015, 34, 112–124. [Google Scholar] [CrossRef]
- Wang, X.C.; Li, Z.X.; Li, X.H.; Li, J.; Liu, Y.; Long, W.G.; Zhou, J.B.; Wang, F. Temperature, Pressure, and Composition of the Mantle Source Region of Late Cenozoic Basalts in Hainan Island, SE Asia: A Consequence of a Young Thermal Mantle Plume close to Subduction Zones? J. Petrol. 2012, 53, 177–233. [Google Scholar] [CrossRef]
- Han, J.W.; Xiong, X.L.; Zhu, Z.Y. Geochemistry of late-Cenozoic basalts from Leiqiong area: The origin of EM2 and the contribution from sub-continental lithosphere mantle. Acta Petrol. Sin. 2009, 25, 3208–3220. [Google Scholar]
- Hora, J.M.; Singer, B.S.; Worner, G.; Beard, B.L.; Jicha, B.R.; Johnson, C.M. Shallow and deep crustal control on differentiation of calc-alkaline and tholeiitic magma. Earth Planet. Sci. Lett. 2009, 285, 75–86. [Google Scholar] [CrossRef]
- Ashchepkov, I.V.; Travin, S.V.; Saprykin, A.I.; Andre, L.; Gerasimov, P.A.; Khmel’nikova, O.S. Age of xenolith-bearing basalts and mantle evolution in the Baikal rift zone. Russ. Geol. Geophys. 2003, 44, 1160–1188. [Google Scholar]
- Herzberg, C.; Asimow, P.D. PRIMELT3 MEGA.XLSM software for primary magma calculation: Peridotite primary magma MgO contents from the liquidus to the solidus. Geochem. Geophys. Geosyst. 2015, 16, 563–578. [Google Scholar] [CrossRef]
- Mryashiro, A. Volcanic rock series in island arcs and active continental margins. Am. J. Sci. 1974, 274, 321–355. [Google Scholar] [CrossRef]
- Arculus, R.J. Use and abuse of the terms calcalkaline and calcalkalic. J. Petrol. 2003, 44, 929–935. [Google Scholar] [CrossRef]
- Gale, A.; Dalton, C.A.; Langmuir, C.H.; Su, Y.; Schilling, J.-G. The mean composition of ocean ridge basalts. Geochem. Geophys. Geosyst. 2013, 14, 489–518. [Google Scholar] [CrossRef]
- Lehnert, K.; Su, Y.; Langmuir, C.H.; Sarbas, B.; Nohl, U. A global geochemical database structure for rocks. Geochem. Geophys. Geosyst. 2000, 1, 1–14. [Google Scholar] [CrossRef]
- Hart, S.R. A large-scale isotope anomaly in the Southern Hemisphere mantle. Nature 1984, 309, 753–757. [Google Scholar] [CrossRef]
- Klein, E.M.; Langmuir, C.H. Global correlations of ocean ridge basalt chemistry with axial depth and crustal thickness. J. Geophys. Res. Atmos. 1987, 92, 8089–8115. [Google Scholar] [CrossRef]
- Pearce, J.A.; Parkinson, I.J. Trace element models for mantle melting: Application to volcanic arc petrogenesis. Geol. Soc. Lond. Spec. Public. 1993, 76, 373–403. [Google Scholar] [CrossRef]
- Kelley, K.A.; Plank, T.; Grove, T.L.; Stolper, E.M.; Newman, S.; Hauri, E. Mantle melting as a function of water content beneath back-arc basins. J. Geophys. Res. 2006, 111, 1–27. [Google Scholar] [CrossRef]
- Workman, R.K.; Hart, S.R. Major and trace element composition of the depleted MORB mantle (DMM). Earth Planet. Sci. Lett. 2005, 231, 53–72. [Google Scholar] [CrossRef]
- Stolper, E.; Newman, S. The role of water in the petrogenesis of Mariana trough magmas. Earth Planet. Sci. Lett. 1994, 121, 293–325. [Google Scholar] [CrossRef]
- Shibata, K. Geochronology of Pre-Silurian Basement Rocks in the Japanese Islands, with Special Reference to Age Determinations on Orthoquartzite Clasts; Basement of Japanese Islands, Memorial volume of Prof. Kano H.; Akita University: Akita, Japan, 1979; pp. 625–639. [Google Scholar]
- Blundy, J.D.; Robinson, J.A.C.; Wood, B.J. Heavy REE are compatible in clinopyroxene on the spinel lherzolite solidus. Earth Planet. Sci. Lett. 1998, 160, 493–504. [Google Scholar] [CrossRef]
- Xu, Y.G.; Ma, J.L.; Frey, F.A.; Feigenson, M.D.; Liu, J.F. Role of lithosphere–asthenosphere interaction in the genesis of Quaternary alkali and tholeiitic basalts from Datong, western North China Craton. Chem. Geol. 2005, 224, 247–271. [Google Scholar] [CrossRef]
- Aubaud, C.; Hauri, E.H.; Hirschmann, M.M. Hydrogen partition coefficients between nominally anhydrous minerals and basaltic melts. Geophys. Res. Lett. 2004, 31, 235–241. [Google Scholar] [CrossRef]
- Hirschmann, M.M.; Tenner, T.; Aubaud, C.; Withers, A.C.; Pepi, J. Dehydration melting of nominally anhydrous mantle: The primacy of partitioning. Phys. Earth Planet. Int. 2009, 176, 54–68. [Google Scholar] [CrossRef]
- Lee, J.; Stern, R.J. Glass inclusions in Mariana Arc phenocrysts: A new perspective on magmatic evolution in a typical intra-oceanic arc. J. Geol. 1998, 106, 19–34. [Google Scholar] [CrossRef]
- Meen, J.K.; Stern, R.J.; Bloomer, S.H. Evidence for magma mixing in the Mariana arc system. Isl. Arc 1998, 7, 443–459. [Google Scholar] [CrossRef]
- Danyushevsky, L.V.; Plechov, P. Petrolog3: Integrated software for modeling crystallization processes. Geochem. Geophys. Geosyst. 2011, 12, 1–32. [Google Scholar] [CrossRef]
- Weaver, J.S.; Langmuir, C.H. Calculation of phase equilibrium in mineral-melt systems. Comput. Geosci. 1990, 16, 1–19. [Google Scholar] [CrossRef]
- Ariskin, A.A.; Barmina, G.S. An empirical model for the calculation of spinel-melt equilibria in mafic igneous systems at atmospheric pressure: 2. Fe-Ti oxides. Contrib. Mineral. Petrol. 1999, 134, 251–263. [Google Scholar] [CrossRef]
- Johnson, K.T.M.; Dick, H.J.B.; Shimizu, N. Melting in the oceanic upper mantle: An ion microprobe study of diopsides in abyssal peridotites. J. Geophys. Res. 1990, 95, 2661–2678. [Google Scholar] [CrossRef]
- Hauri, E.H.; Gaetani, G.A.; Green, T.H. Partitioning of water during melting of the Earth’s upper mantle at H2O-undersaturated conditions. Earth Planet. Sci. Lett. 2006, 248, 715–734. [Google Scholar] [CrossRef]
- Dixon, J.E.; Leist, L.; Langmuir, C.; Schilling, J.G. Recycled dehydrated lithosphere observed in plume-influenced mid-ocean ridge basalt. Nature 2002, 420, 385–389. [Google Scholar] [CrossRef]
- Chung, S.; Hai, C.; Jahn, B.; O’Reilly, S.Y.; Bingquan, Z. Major and trace element, and Sr-Nd isotope constraints on the origin of Paleogene volcanism in South China prior to the South China Sea opening. Lithos 1997, 40, 203–220. [Google Scholar] [CrossRef]
- Hoàng, N.; Flower, M.F.J.; Xuân, P.T.; Quý, H.V.; Sơm, T.T. Collision-induced basalt eruptions at Pleiku and Buôn Mê Thuột, south-central Viet Nam. J. Geodyn. 2013, 69, 65–83. [Google Scholar] [CrossRef]
- Yu, M.; Yan, Y.; Huang, C.Y.; Zhang, X.; Tian, Z.; Chen, W.; Santosh, M. Opening of the South China Sea and upwelling of the Hainan plume. Geophys. Res. Lett. 2018, 45, 2600–2609. [Google Scholar] [CrossRef]
- Gu, X.Y.; Wang, P.Y.; Kuritani, T.; Hanski, E.; Xia, Q.; Wang, Q. Low water content in the mantle source of the Hainan plume as a factor inhibiting the formation of a large igneous province. Earth Planet. Sci. Lett. 2019, 515, 221–230. [Google Scholar] [CrossRef]
- Yang, X.; Liu, D.; Xia, Q. CO2-induced small water solubility in olivine and implications for properties of the shallow mantle. Earth Planet. Sci. Lett. 2014, 403, 37–47. [Google Scholar] [CrossRef]
- Zou, H.; Zindler, A.; Xu, X.; Qi, Q. Major, trace element, and Nd, Sr and Pb isotope studies of Cenozoic basalts in SE China: Mantle sources, regional variations, and tectonic significance. Chem. Geol. 2000, 171, 33–47. [Google Scholar] [CrossRef]
- Hauri, E.H.; Whitehead, J.A.; Hart, S.R. Fluid dynamic and geochemical aspects of entrainment in mantle plumes. J. Geophys. Res. 1994, 99, 24275–24300. [Google Scholar] [CrossRef]
- Hanan, B.B.; Graham, D.W. Lead and Helium Isotope Evidence from Oceanic Basalts for a Common Deep Source of Mantle Plumes. Science 1996, 272, 991–995. [Google Scholar] [CrossRef] [PubMed]
- Allègre, C.J.; Hofmann, A.; O’Nions, K. The argon constraints on mantle structure. Geophys. Res. Lett. 1996, 23, 3555–3557. [Google Scholar] [CrossRef]
- Yang, X.Z.; Deloule, E.; Xia, Q.K.; Fan, Q.; Feng, M. Water contrast between Precambrian and Phanerozoic continental lower crust in eastern China. J. Geophys. Res. 2008, 113, 1–12. [Google Scholar] [CrossRef]
- Yang, G.C.; Yang, X.Z.; Hao, Y.T.; Xia, Q.K. Water content difference between continental lower crust and lithospheric mantle: Granulite and periditite xenoliths hosted in basalts from Junan, Shandong Province. Acta Petrol. Mineral. 2012, 31, 691–700. [Google Scholar]
- Bell, D.R.; Rossman, G.R. Water in Earth’s Mantle: The Role of Nominally Anhydrous Minerals. Science 1992, 255, 1391–1397. [Google Scholar] [CrossRef] [PubMed]
- Escrig, S.; Capmas, F.; Dupré, B.; Allègre, C.J. Osmium isotopic constraints on the nature of the DUPAL anomaly from Indian mid-ocean-ridge basalts. Nature 2004, 431, 59–63. [Google Scholar] [CrossRef] [PubMed]
- Armienti, P.; Gasperini, D. Do we really need mantle components to define mantle composition? J. Petrol. 2007, 48, 693–709. [Google Scholar] [CrossRef]









| Location | Data Source | ||
|---|---|---|---|
| Major Element | Trace Element | Pb Isotope | |
| FSR | Zhang et al. [9], Tu et al. [10], Yan et al. [11], Li et al. [12], Zhang et al. [13]. | Zhang et al. [9], Tu et al. [10], Yan et al. [11], Zhang et al. [13]. | Zhang et al. [9], Tu et al. [10], Yan et al. [11], Zhang et al. [13]. |
| NFSR | Yan et al. [11], Yan et al. [50], Yang and Fang [51]. | Yan et al. [11], Yan et al. [50], Yang and Fang [51]. | Yan et al. [11], Yan et al. [50], Yang and Fang [51]. |
| Hainan OIBs | Wang et al. [17], Wang et al. [52]. | Wang et al. [17], Wang et al. [52]. | Zou and Fan, [15], Li et al. [16], Wang et al. [52], Han et al. [53]. |
© 2019 by the authors. Licensee MDPI, Basel, Switzerland. This article is an open access article distributed under the terms and conditions of the Creative Commons Attribution (CC BY) license (http://creativecommons.org/licenses/by/4.0/).
Share and Cite
Wang, W.; Chu, F.; Wu, X.; Li, Z.; Chen, L.; Li, X.; Yan, Y.; Zhang, J. Constraining Mantle Heterogeneity beneath the South China Sea: A New Perspective on Magma Water Content. Minerals 2019, 9, 410. https://doi.org/10.3390/min9070410
Wang W, Chu F, Wu X, Li Z, Chen L, Li X, Yan Y, Zhang J. Constraining Mantle Heterogeneity beneath the South China Sea: A New Perspective on Magma Water Content. Minerals. 2019; 9(7):410. https://doi.org/10.3390/min9070410
Chicago/Turabian StyleWang, Wei, Fengyou Chu, Xichang Wu, Zhenggang Li, Ling Chen, Xiaohu Li, Yuanzi Yan, and Jie Zhang. 2019. "Constraining Mantle Heterogeneity beneath the South China Sea: A New Perspective on Magma Water Content" Minerals 9, no. 7: 410. https://doi.org/10.3390/min9070410
APA StyleWang, W., Chu, F., Wu, X., Li, Z., Chen, L., Li, X., Yan, Y., & Zhang, J. (2019). Constraining Mantle Heterogeneity beneath the South China Sea: A New Perspective on Magma Water Content. Minerals, 9(7), 410. https://doi.org/10.3390/min9070410

