Application of Data Analytics Techniques to Establish Geometallurgical Relationships to Bond Work Index at the Paracutu Mine, Minas Gerais, Brazil
Abstract
:1. Introduction
2. Paracatu Mine
3. Analytical Procedure
3.1. Data Collection and Pre-Processing
3.2. Compositional Data Analysis
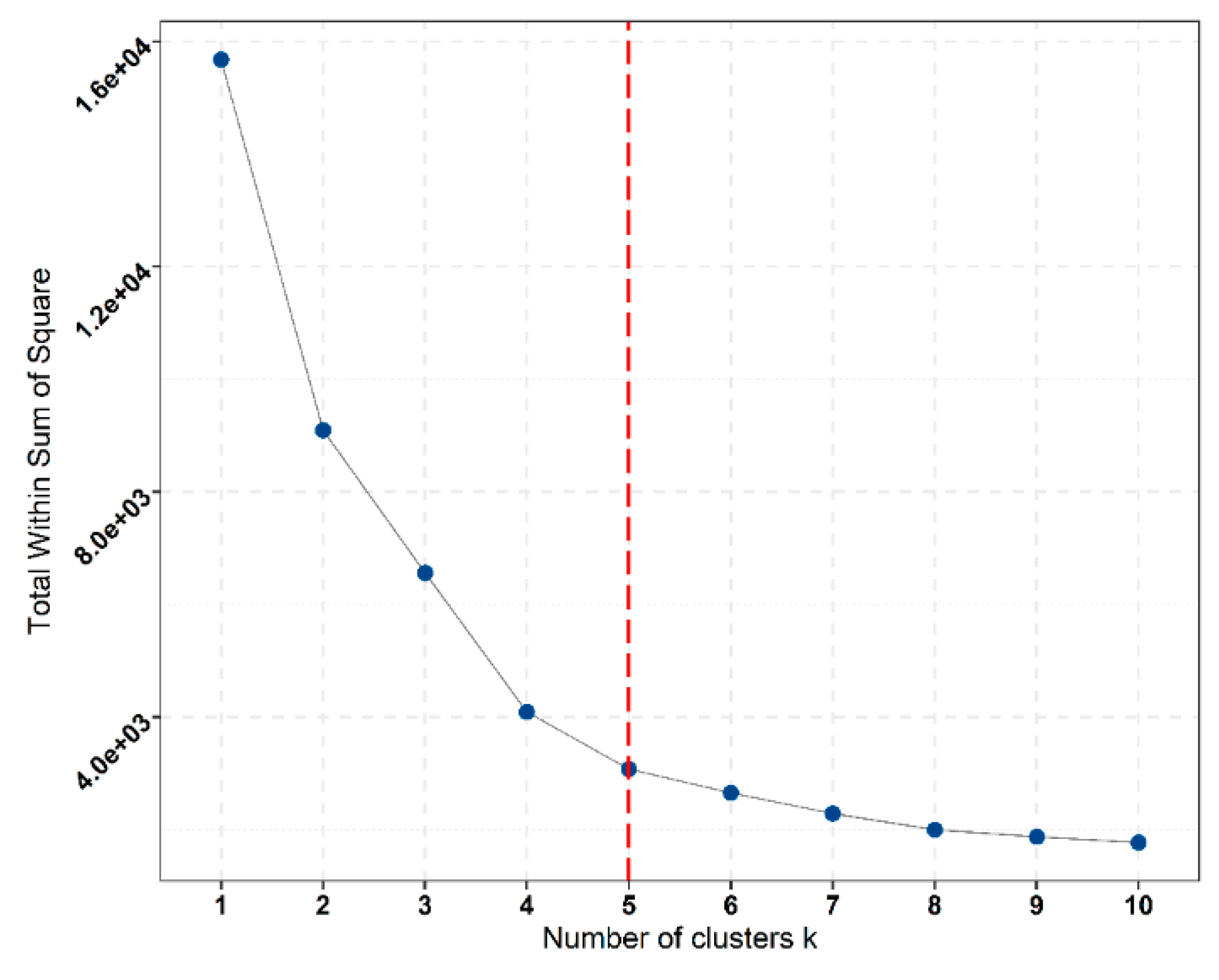
3.3. Unsupervised Learning
3.4. Supervised Learning with Random Forests
4. Results and Discussion
4.1. Analysis of Weathered and Fresh Bed Rock Observations
4.2. Analysis of Fresh Bedrock Observations Subset
5. Conclusions
Author Contributions
Funding
Acknowledgments
Conflicts of Interest
Appendix A. Variation Matrices
| Element | Al | As | Au | Ba | Ca | Co | Cr | Cu | Fe | K | Mg | Mn | Ni | P | Pb | S | Sr | V | Zn | Zr |
|---|---|---|---|---|---|---|---|---|---|---|---|---|---|---|---|---|---|---|---|---|
| Al | 3.62 | 4.03 | 0.58 | 1.06 | 0.52 | 0.39 | 0.49 | 0.48 | 0.54 | 0.79 | 0.76 | 0.70 | 0.59 | 2.01 | 1.62 | 0.81 | 0.14 | 0.94 | 0.54 | |
| As | 3.62 | 1.28 | 2.08 | 3.34 | 2.18 | 4.45 | 2.20 | 2.16 | 1.98 | 3.24 | 2.08 | 2.45 | 2.54 | 2.18 | 2.22 | 2.65 | 3.56 | 2.67 | 2.24 | |
| Au | 4.03 | 1.28 | 2.35 | 3.69 | 2.55 | 4.81 | 2.48 | 2.47 | 2.28 | 3.51 | 2.36 | 2.77 | 2.75 | 2.69 | 2.52 | 3.09 | 3.82 | 3.12 | 2.61 | |
| Ba | 0.58 | 2.08 | 2.35 | 1.14 | 0.27 | 0.97 | 0.19 | 0.18 | 0.04 | 0.86 | 0.34 | 0.49 | 0.42 | 1.10 | 1.11 | 0.68 | 0.45 | 0.72 | 0.27 | |
| Ca | 1.06 | 3.34 | 3.69 | 1.14 | 0.84 | 1.53 | 1.05 | 0.83 | 1.01 | 0.42 | 0.81 | 0.73 | 0.54 | 2.20 | 1.16 | 0.37 | 1.08 | 1.09 | 0.97 | |
| Co | 0.52 | 2.18 | 2.55 | 0.27 | 0.84 | 0.95 | 0.19 | 0.12 | 0.22 | 0.42 | 0.24 | 0.13 | 0.32 | 1.26 | 0.74 | 0.60 | 0.45 | 0.44 | 0.30 | |
| Cr | 0.39 | 4.45 | 4.81 | 0.97 | 1.53 | 0.95 | 0.91 | 0.92 | 0.94 | 1.27 | 1.30 | 1.13 | 1.06 | 2.47 | 2.21 | 1.26 | 0.31 | 1.40 | 0.96 | |
| Cu | 0.49 | 2.20 | 2.48 | 0.19 | 1.05 | 0.19 | 0.91 | 0.11 | 0.18 | 0.71 | 0.32 | 0.36 | 0.33 | 1.18 | 0.93 | 0.68 | 0.40 | 0.63 | 0.29 | |
| Fe | 0.48 | 2.16 | 2.47 | 0.18 | 0.83 | 0.12 | 0.92 | 0.11 | 0.13 | 0.47 | 0.22 | 0.22 | 0.24 | 1.21 | 0.85 | 0.55 | 0.39 | 0.47 | 0.25 | |
| K | 0.54 | 1.98 | 2.28 | 0.04 | 1.01 | 0.22 | 0.94 | 0.18 | 0.13 | 0.75 | 0.30 | 0.41 | 0.37 | 1.11 | 1.01 | 0.60 | 0.43 | 0.67 | 0.20 | |
| Mg | 0.79 | 3.24 | 3.51 | 0.86 | 0.42 | 0.42 | 1.27 | 0.71 | 0.47 | 0.75 | 0.48 | 0.29 | 0.47 | 1.98 | 0.81 | 0.60 | 0.78 | 0.60 | 0.76 | |
| Mn | 0.76 | 2.08 | 2.36 | 0.34 | 0.81 | 0.24 | 1.30 | 0.32 | 0.22 | 0.30 | 0.48 | 0.32 | 0.35 | 1.32 | 0.79 | 0.60 | 0.71 | 0.61 | 0.41 | |
| Ni | 0.70 | 2.45 | 2.77 | 0.49 | 0.73 | 0.13 | 1.13 | 0.36 | 0.22 | 0.41 | 0.29 | 0.32 | 0.36 | 1.42 | 0.64 | 0.62 | 0.63 | 0.38 | 0.49 | |
| P | 0.59 | 2.54 | 2.75 | 0.42 | 0.54 | 0.32 | 1.06 | 0.33 | 0.24 | 0.37 | 0.47 | 0.35 | 0.36 | 1.43 | 0.91 | 0.43 | 0.53 | 0.68 | 0.46 | |
| Pb | 2.01 | 2.18 | 2.69 | 1.10 | 2.20 | 1.26 | 2.47 | 1.18 | 1.21 | 1.11 | 1.98 | 1.32 | 1.42 | 1.43 | 1.78 | 1.65 | 1.85 | 1.04 | 1.38 | |
| S | 1.62 | 2.22 | 2.52 | 1.11 | 1.16 | 0.74 | 2.21 | 0.93 | 0.85 | 1.01 | 0.81 | 0.79 | 0.64 | 0.91 | 1.78 | 1.09 | 1.56 | 0.97 | 1.12 | |
| Sr | 0.81 | 2.65 | 3.09 | 0.68 | 0.37 | 0.60 | 1.26 | 0.68 | 0.55 | 0.60 | 0.60 | 0.60 | 0.62 | 0.43 | 1.65 | 1.09 | 0.80 | 0.91 | 0.63 | |
| V | 0.14 | 3.56 | 3.82 | 0.45 | 1.08 | 0.45 | 0.31 | 0.40 | 0.39 | 0.43 | 0.78 | 0.71 | 0.63 | 0.53 | 1.85 | 1.56 | 0.80 | 0.89 | 0.48 | |
| Zn | 0.94 | 2.67 | 3.12 | 0.72 | 1.09 | 0.44 | 1.40 | 0.63 | 0.47 | 0.67 | 0.60 | 0.61 | 0.38 | 0.68 | 1.04 | 0.97 | 0.91 | 0.89 | 0.76 | |
| Zr | 0.54 | 2.24 | 2.61 | 0.27 | 0.97 | 0.30 | 0.96 | 0.29 | 0.25 | 0.20 | 0.76 | 0.41 | 0.49 | 0.46 | 1.38 | 1.12 | 0.63 | 0.48 | 0.76 |
| Element | Al | As | Au | Ba | Ca | Co | Cr | Cu | Fe | K | Mg | Mn | Ni | P | Pb | S | Sr | V | Zn | Zr |
|---|---|---|---|---|---|---|---|---|---|---|---|---|---|---|---|---|---|---|---|---|
| Al | 4.04 | 4.39 | 0.53 | 0.57 | 0.46 | 0.40 | 0.47 | 0.46 | 0.53 | 0.39 | 0.68 | 0.49 | 0.52 | 1.83 | 1.39 | 0.71 | 0.12 | 0.68 | 0.54 | |
| As | 4.04 | 1.34 | 2.42 | 2.84 | 2.38 | 5.12 | 2.54 | 2.42 | 2.28 | 2.89 | 2.26 | 2.46 | 2.69 | 2.52 | 1.94 | 2.65 | 4.05 | 2.69 | 2.52 | |
| Au | 4.39 | 1.34 | 2.69 | 3.12 | 2.73 | 5.45 | 2.78 | 2.69 | 2.58 | 3.11 | 2.54 | 2.72 | 2.84 | 3.05 | 2.22 | 3.08 | 4.29 | 3.09 | 2.88 | |
| Ba | 0.53 | 2.42 | 2.69 | 0.38 | 0.14 | 1.03 | 0.16 | 0.11 | 0.04 | 0.20 | 0.23 | 0.15 | 0.24 | 1.04 | 0.68 | 0.43 | 0.44 | 0.35 | 0.24 | |
| Ca | 0.57 | 2.84 | 3.12 | 0.38 | 0.32 | 1.03 | 0.37 | 0.27 | 0.31 | 0.18 | 0.37 | 0.31 | 0.31 | 1.39 | 0.89 | 0.29 | 0.51 | 0.55 | 0.39 | |
| Co | 0.46 | 2.38 | 2.73 | 0.14 | 0.32 | 0.95 | 0.12 | 0.07 | 0.12 | 0.14 | 0.21 | 0.06 | 0.20 | 1.09 | 0.63 | 0.42 | 0.38 | 0.31 | 0.20 | |
| Cr | 0.40 | 5.12 | 5.45 | 1.03 | 1.03 | 0.95 | 1.00 | 0.97 | 1.02 | 0.83 | 1.32 | 0.95 | 1.05 | 2.45 | 2.06 | 1.19 | 0.32 | 1.16 | 1.04 | |
| Cu | 0.47 | 2.54 | 2.78 | 0.16 | 0.37 | 0.12 | 1.00 | 0.08 | 0.16 | 0.17 | 0.24 | 0.11 | 0.19 | 1.09 | 0.60 | 0.47 | 0.40 | 0.35 | 0.26 | |
| Fe | 0.46 | 2.42 | 2.69 | 0.11 | 0.27 | 0.07 | 0.97 | 0.08 | 0.08 | 0.08 | 0.18 | 0.06 | 0.15 | 1.07 | 0.60 | 0.40 | 0.37 | 0.28 | 0.19 | |
| K | 0.53 | 2.28 | 2.58 | 0.04 | 0.31 | 0.12 | 1.02 | 0.16 | 0.08 | 0.17 | 0.22 | 0.11 | 0.22 | 1.04 | 0.64 | 0.39 | 0.44 | 0.34 | 0.19 | |
| Mg | 0.39 | 2.89 | 3.11 | 0.20 | 0.18 | 0.14 | 0.83 | 0.17 | 0.08 | 0.17 | 0.25 | 0.14 | 0.19 | 1.30 | 0.78 | 0.39 | 0.30 | 0.36 | 0.24 | |
| Mn | 0.68 | 2.26 | 2.54 | 0.23 | 0.37 | 0.21 | 1.32 | 0.24 | 0.18 | 0.22 | 0.25 | 0.23 | 0.28 | 1.21 | 0.68 | 0.48 | 0.65 | 0.47 | 0.32 | |
| Ni | 0.49 | 2.46 | 2.72 | 0.15 | 0.31 | 0.06 | 0.95 | 0.11 | 0.06 | 0.11 | 0.14 | 0.23 | 0.19 | 1.08 | 0.64 | 0.42 | 0.39 | 0.32 | 0.21 | |
| P | 0.52 | 2.69 | 2.84 | 0.24 | 0.31 | 0.20 | 1.05 | 0.19 | 0.15 | 0.22 | 0.19 | 0.28 | 0.19 | 1.21 | 0.74 | 0.46 | 0.44 | 0.44 | 0.36 | |
| Pb | 1.83 | 2.52 | 3.05 | 1.04 | 1.39 | 1.09 | 2.45 | 1.09 | 1.07 | 1.04 | 1.30 | 1.21 | 1.08 | 1.21 | 1.39 | 1.34 | 1.71 | 0.67 | 1.26 | |
| S | 1.39 | 1.94 | 2.22 | 0.68 | 0.89 | 0.63 | 2.06 | 0.60 | 0.60 | 0.64 | 0.78 | 0.68 | 0.64 | 0.74 | 1.39 | 0.94 | 1.30 | 0.89 | 0.78 | |
| Sr | 0.71 | 2.65 | 3.08 | 0.43 | 0.29 | 0.42 | 1.19 | 0.47 | 0.40 | 0.39 | 0.39 | 0.48 | 0.42 | 0.46 | 1.34 | 0.94 | 0.67 | 0.62 | 0.48 | |
| V | 0.12 | 4.05 | 4.29 | 0.44 | 0.51 | 0.38 | 0.32 | 0.40 | 0.37 | 0.44 | 0.30 | 0.65 | 0.39 | 0.44 | 1.71 | 1.30 | 0.67 | 0.59 | 0.49 | |
| Zn | 0.68 | 2.69 | 3.09 | 0.35 | 0.55 | 0.31 | 1.16 | 0.35 | 0.28 | 0.34 | 0.36 | 0.47 | 0.32 | 0.44 | 0.67 | 0.89 | 0.62 | 0.59 | 0.47 | |
| Zr | 0.54 | 2.52 | 2.88 | 0.24 | 0.39 | 0.20 | 1.04 | 0.26 | 0.19 | 0.19 | 0.24 | 0.32 | 0.21 | 0.36 | 1.26 | 0.78 | 0.48 | 0.49 | 0.47 |
Appendix B. Isometric Log Ratio Variable Definition of Fresh Rock Observations
| Ilr Variable | Binary Partition |
|---|---|
| ilr1 | [ As, Au| Cr, Al, V, Mn, P, Zr, Ba, K, Cu, Fe, Co, Ni, Mg, Zn, Sr, Ca, Pb, S ] |
| ilr2 | [ As| Au ] |
| ilr3 | [ Cr| Al, V, Mn, P, Zr, Ba, K, Cu, Fe, Co, Ni, Mg, Zn, Sr, Ca, Pb, S ] |
| ilr4 | [ Al, V| Mn, P, Zr, Ba, K, Cu, Fe, Co, Ni, Mg, Zn, Sr, Ca, Pb, S ] |
| ilr5 | [ Al| V ] |
| ilr6 | [ Mn, P, Zr, Ba, K, Cu, Fe, Co, Ni, Mg, Zn, Sr, Ca | Pb, S ] |
| ilr7 | [ Mn, P, Zr, Ba, K, Cu, Fe, Co, Ni | Mg, Zn, Sr, Ca ] |
| ilr8 | [ Mn| P, Zr, Ba, K, Cu, Fe, Co, Ni ] |
| ilr9 | [ P, Zr | Ba, K, Cu, Fe, Co, Ni ] |
| ilr10 | [ P| Zr ] |
| ilr11 | [ Ba, K | Cu, Fe, Co, Ni ] |
| ilr12 | [ Ba| K ] |
| ilr13 | [ Cu| Fe, Co, Ni ] |
| ilr14 | [ Fe| Co, Ni ] |
| ilr15 | [ Co| Ni ] |
| ilr16 | [ Mg | Zn, Sr, Ca ] |
| ilr17 | [ Zn| Sr, Ca ] |
| ilr18 | [ Sr| Ca ] |
| ilr19 | [ Pb| S ] |
References
- Dominy, S.C.; O’Connor, L.; Parbhakar-Fox, A.; Glass, H.J.; Purevgerel, S. Geometallurgy—A Route to More Resilient Mine Operations. Minerals 2018, 8, 560. [Google Scholar] [CrossRef]
- Hunt, J.A.; Berry, R.F. Economic geology models 3. Geological contributions to geometallurgy: A review. Geosci. Can. 2017, 44, 103–118. [Google Scholar] [CrossRef]
- Deutsch, C.V. Geostatistical Modelling of Geometallurgical Variables—Problems and Solutions. In Proceedings of the 2nd AusIMM GeoMet Conference, Brisbane, Australia, 30 September–2 October 2013; Dominy, S., Ed.; AusIMM: Melbourne, Australia, 2013; pp. 7–15. [Google Scholar]
- van den Boogaart, K.G.; Tolosana-Delgado, R. Predictive geometallurgy: An interdisciplinary key challenge for mathematical geosciences. In Handbook of Mathematical Geoscience; Daya Sagar, B., Cheng, Q., Agterberg, F., Eds.; Springer: Berlin, Germany, 2018; pp. 673–686. [Google Scholar] [CrossRef]
- Keeney, L.; Walters, S.G.; Kojovic, T. Geometallurgical Mapping and Modelling of Comminution Performance at the Cadia East Porphyry Deposit. In Proceedings of the 1st AusIMM GeoMet Conference, Brisbane, Australia, 5–7 September 2011; Dominy, S., Ed.; AusIMM: Melbourne, Australia, 2011; pp. 73–83. [Google Scholar]
- Newton, M.J.; Graham, J.M. Spatial Modelling and Optimisation of Geometallurgical Indices. In Proceedings of the 1st AusIMM GeoMet Conference, Brisbane, Australia, 5–7 September 2011; Dominy, S., Ed.; AusIMM: Melbourne, Australia, 2011; pp. 247–261. [Google Scholar]
- Sepúlveda, E.; Dowd, P.; Xu, C.; Addo, E. Multivariate modelling of geometallurgical variables by projection pursuit. Math. Geosci. 2017, 49, 121–143. [Google Scholar] [CrossRef]
- Deutsch, J.; Palmer, K.; Deutsch, C.V.; Szymanski, J.; Etsell, T.H. Spatial modeling of geometallurgical properties: Techniques and a case study. Nat. Resour. Res. 2016, 25, 161–181. [Google Scholar] [CrossRef]
- Rossi, M.; Deutsch, C.V. Mineral Resource Estimation; Springer: Berlin, Germany, 2014. [Google Scholar] [CrossRef]
- Lishchuk, V.; Lund, C.; Lambert, P.; Miroshnikova, E. Simulation of a mining value chain with a synthetic ore body model: Iron ore example. Minerals 2018, 8, 536. [Google Scholar] [CrossRef]
- Ordóñez-Calderón, J.C.; Gelcich, S.; Oliveira, J.F. Applied Data Analytics on Multi-Element Geochemistry for Pre-Mining Characterization of Geological and Geometallurgical Attributes: Examples from the Rosemont Cu-Mo-Ag Skarn Deposit, Tucson, Arizona. In Proceedings of the 7th CoDaWork Conference, Abbadia San Salvatore Siena, Italy, 5–9 June 2017; Hron, K., Tolosana Delgado, R., Eds.; CoDa Association: Girona, Spain, 2017; pp. 181–194. [Google Scholar]
- McCoy, J.; Auret, L. Machine learning applications in minerals processing: A review. Min. Eng. 2019, 132, 95–109. [Google Scholar] [CrossRef]
- Boisvert, J.; Rossi, M.; Ehrig, K.; Deutsch, C.V. Geometallurgical modelling at Olympic Dam mine, South Australia. Math. Geosci. 2013, 45, 901–925. [Google Scholar] [CrossRef]
- Bhuiyan, M.; Esmaieli, K. Investigating Geometallurgical Relationships by Principal Component Analysis of Compositional and Non-Compositional Data. In Proceedings of the 1st SAIMM Geometallurgy Conference, Cape Town, South Africa, 6–8 August 2018; pp. 193–204. [Google Scholar]
- Rincon, J.; Gaydardzhiev, S.; Stamenov, L. Coupling comminution indices and mineralogical features as an approach to a geometallurgical characterization of a copper ore. Miner. Eng. 2019, 130, 57–66. [Google Scholar] [CrossRef]
- Rajabinasab, B.; Asghari, O. Geometallurgical domaining by cluster analysis: Iron ore deposit case study. Nat. Resour. Res. 2018, 1–20. [Google Scholar] [CrossRef]
- Sepúlveda, E.; Dowd, P.; Xu, C. Fuzzy clustering with spatial correction and its application to geometallurgical domaining. Math. Geosci. 2018, 50, 895–928. [Google Scholar] [CrossRef]
- Breiman, L. Random forests. Mach. Learn. 2001, 45, 5–32. [Google Scholar] [CrossRef]
- Strobl, C.; Malley, J.; Tutz, G. An introduction to recursive partitioning: Rationale, application and characteristics of classification and regression trees, bagging and random forests. Psychol. Methods 2009, 14, 323–348. [Google Scholar] [CrossRef]
- Couët, F.; Goudreau, S.; Makni, S.; Brissette, M.; Longuépée, H.; Gagnon, G.; Rochefort, C. A New Methodology for Geometallurgical Mapping of Ore Hardness. In Proceedings of the 6th SAG Conference, Vancouver, BC, Canada, 20–23 September 2015; Department of Mining and Mineral Process Engineering, University of British Columbia: Vancouver, BC, Canada, 2015. [Google Scholar]
- Escolme, A.J. Geology, Geochemistry and Geometallurgy of the Productora Cu-Au-Mo deposit, Chile. Ph.D. Thesis, University of Tasmania, Tasmania, Australia, 2016. [Google Scholar]
- Tiu, G. Classification of Drill Core Textures for Process Simulation in Geometallurgy. Master’s Thesis, Lulea University of Technology, Luleå, Sweden, 2017. [Google Scholar]
- Kinross Gold Corporation Annual Information Form for the Year Ended December 31, 2018. Available online: https://s2.q4cdn.com/496390694/files/doc_financials/annual/2019/2018-Annual-Information-Form.pdf (accessed on 29 March 2019).
- Dardenne, M.A. The Brasília Fold Belt. In Proceedings of the 31st International Geological Congress: Tectonic Evolution of South America, Rio de Janeiro, Brazil, 6–17 August 2000; Cordani, U.G., Milani, E.J., Thomaz Filho, A., Campos, D.A., Eds.; FINEP, Fundo Setorial de Petróleo e Gás Natural: Rio de Janeiro, Brazil, 2000; pp. 231–263. [Google Scholar]
- Pimentel, M.M.; Rodrigues, J.B.; DellaGiustina, M.E.S.; Junges, S.; Matteini, M.; Armstrong, R. The tectonic evolution of the Neoproterozoic Brasília Belt, central Brazil, based on SHRIMP and LA-ICPMS U-Pb sedimentary provenance data: A review. J. S. Am. Earth Sci. 2011, 31, 345–357. [Google Scholar] [CrossRef]
- Oliver, N.H.S.; Thomson, B.; Freitas-Silva, F.H.; Holcombe, R.J.; Rusk, B.; Almeida, B.S.; Faure, K.; Davidson, G.R.; Esper, E.L.; Guimãraes, P.J.; Dardenne, M.A. Local and regional mass transfer during thrusting, veining and boudinage in the genesis of the giant shale-hosted Paracatu gold deposit, Minas Gerais, Brazil. Econ. Geol. 2015, 110, 1803–1834. [Google Scholar] [CrossRef]
- Rodrigues, J.B.; Pimentel, M.M.; Dardenne, M.A.; Armstrong, R.A. Age, provenance and tectonic setting of the Canastra and Ibia Groups (Brasília Belt, Brazil): Implications for the age of a Neoproterozoic glacial event in central Brazil. J. S. Am. Earth Sci. 2010, 29, 512–521. [Google Scholar] [CrossRef]
- Sims, J. Paracatu Project Brazil National Instrument 43-101 Technical Report; Kinross Gold Corporation: Toronto, ON, Canada, 2014. [Google Scholar]
- Esper, E.; Rugolo, R.; Moller, J.; Akiti, Y.; Pains, A. Morro do Ouro Geological Model with a Metallurgical View. In Proceedings of the 2nd AusIMM GeoMet Conference, Brisbane, Australia, 30 September–2 October 2013; Dominy, S., Ed.; AusIMM: Melbourne, Australia, 2013; pp. 67–74. [Google Scholar]
- Almeida, B. Geoquímica dos Filitos Carbonosos do Depósito Morro do Ouro, Paracatu, Minas Gerais. Master’s Thesis, Universidade de Brasília, Brasília, Brazil, 2009. [Google Scholar]
- R Core Team. R: A Language and Environment for Statistical Computing, R Version 3.5.1—“Feather Spray”; R Foundation for Statistical Computing: Vienna, Austria. Available online: https://www.R-project.org (accessed on 12 May 2019).
- Bhuiyan, M.; Esmaeili, K.; Eden, D. The Influence of Rock Foliation on the Correlation Between the Point Load Strength Index and Comminution Indices at Kinross Tasiast Mine. In Proceedings of the US Rock Mechanics/Geomechanics Symposium, Houston, TX, USA, 26–29 June 2016; ARMA: Alexandria, VA, USA, 2016. [Google Scholar]
- Tondo, L.A.; Valery, W.; Peroni, R.; La Rosa, D.; Silva, A.; Jankovic, A.; Colacioppo, J. Kinross’ Rio Paracatu Mineracao (RPM) Mining and Milling Optimisation of the Existing and New SAG Mill Circuit. In Proceedings of the 4th SAG Conference, Vancouver, BC, Canada, 23–27 September 2006; Department of Mining and Mineral Process Engineering, University of British Columbia: Vancouver, BC, Canada, 2006; Volume 2, pp. 301–313. [Google Scholar]
- Semlali, B. Caractérisation et Modélisation Spatiale de la Broyabilité des Massifs Rocheux: Cas de la mine Troilus. Ph.D. Thesis, Universite Laval, Quebec City, QC, Canada, 2007. [Google Scholar]
- Vatandoost, A. Petrophysical Characterization of Comminution Behavior. Ph.D. Thesis, University of Tasmania, Tasmania, Australia, 2010. [Google Scholar]
- Ordóñez-Calderón, J.C. Applications of Machine Learning to Model 3D Geological Attributes of Mineral Deposits Using Multi-element Geochemical Data. In Proceedings of the PACRIM 2019 – Mineral Systems of the Pacific Rim Congress, Auckland, New Zealand, 3–5 April 2019; AusIMM: Melbourne, Australia, 2019; pp. 40–42. [Google Scholar]
- Hunt, J.; Kojovic, T.; Berry, R. Estimating Comminution Indices from Ore Mineralogy, Chemistry and Drill Core Logging. In Proceedings of the 2nd AusIMM GeoMet Conference, Brisbane, Australia, 30 September–2 October 2013; Dominy, S., Ed.; AusIMM: Melbourne, Australia, 2013; pp. 173–176. [Google Scholar]
- Schouwstra, R.; De Vaux, D.; Muzondo, T.; Prins, C. A Geometallurgical Approach at Anglo American Platinum’s Mogalakwena Operation. In Proceedings of the 2nd AusIMM GeoMet Conference, Brisbane, Australia, 30 September–2 October 2013; Dominy, S., Ed.; AusIMM: Melbourne, Australia, 2013; pp. 85–92. [Google Scholar]
- Ordóñez-Calderón, J.C.; Gelcich, S.; Fiaz, F. Lithogeochemistry and chemostratigraphy of the Rosemont Cu-Mo-Ag skarn deposit, SE Tucson Arizona: A simplicial geometry approach. J. Geochem. Explor. 2017, 180, 35–51. [Google Scholar] [CrossRef]
- Palarea-Albaladejo, J.; Martín-Fernández, J.A. Values below detection limit in compositional chemical data. Anal. Chim. Acta 2013, 764, 32–43. [Google Scholar] [CrossRef]
- Palarea-Albaladejo, J.; Martín-Fernández, J.A.; Buccianti, A. Compositional methods for estimating elemental concentrations below the limit of detection in practice using R. J. Geochem. Explor. 2014, 141, 71–77. [Google Scholar] [CrossRef]
- Palarea-Albaladejo, J.; Martín-Fernández, J.A. zCompositions—R package for multivariate imputation of left-censored data under a compositional approach. Chemometr. Intell. Lab. 2015, 143, 85–96. [Google Scholar] [CrossRef]
- Palarea-Albaladejo, J.; Martín-Fernández, J.A. zCompositions: Treatment of Zeros, Left-Censored and Missing Values in Compositional Data Sets. R Package Version 1.1.2. Available online: https://CRAN.R-project.org/package=zCompositions (accessed on 12 May 2019).
- Aitchison, J. The Statistical Analysis of Compositional Data; Chapman & Hall: London, UK, 1986. [Google Scholar]
- Egozcue, J.J.; Pawlowsky-Glahn, V. Simplicial geometry for compositional data. In Compositional Data Analysis in the Geosciences: From Theory to Practice; Special Publication 264; Buccianti, A., Matue-Figueras, G., Pawlowsky-Glahn, V., Eds.; Geological Society of London: London, UK, 2006; pp. 145–159. [Google Scholar]
- Egozcue, J.J.; Pawlowsky-Glahn, V. Groups of parts and their balances in compositional data analysis. Math. Geol. 2005, 37, 795–828. [Google Scholar] [CrossRef]
- Kynčlová, P.; Filzmoser, P.; Hron, K. Compositional biplots including external non-compositional variables. Statistics 2016, 50, 1132–1148. [Google Scholar] [CrossRef]
- Grunsky, E. The interpretation of geochemical survey data. Geochem. Explor. Env. A 2010, 10, 27–74. [Google Scholar] [CrossRef]
- Pawlowsky-Glahn, V.; Egozcue, J.J.; Tolosano-Delgado, R. Modeling and Analysis of Compositional Data; John Wiley & Sons: London, UK, 2015. [Google Scholar]
- Garrett, R.G. rgr: Applied Geochemistry EDA. R Package Version 1.1.15. Available online: https://CRAN.R-project.org/package=rgr (accessed on 12 May 2019).
- Galili, T. dendextend: an R package for visualizing, adjusting and comparing trees of hierarchical clustering. Bioinformatics 2015, 31, 3718–3720. [Google Scholar] [CrossRef]
- Galili, T.; Jefferis, G. dendextend: Extending ‘dendrogram’ Functionality in R. R Package Version 1.9.0. Available online: https://cran.r-project.org/package=dendextend (accessed on 12 May 2019).
- Ordóñez-Calderón, J.C.; Gelcich, S. Machine learning strategies for classification and prediction of alteration facies: Examples from the Rosemont Cu-Mo-Ag skarn deposit, SE Tucson Arizona. J. Geochem. Explor. 2018, 194, 167–188. [Google Scholar] [CrossRef]
- van den Boogaart, K.G.; Tolosana-Delgado, R. Analyzing Compositional Data with R; Gentleman, R., Hornik, K., Parmigiani, G.G., Eds.; Springer: Berlin, Germany, 2013. [Google Scholar] [CrossRef]
- van den Boogaart, K.G.; Tolosana-Delgado, R.; Bren, M. compositions: Compositional Data Analysis. R Package Version 1.40-1. Available online: https://CRAN.R-project.org/package=compositions (accessed on 12 May 2019).
- Templ, M.; Hron, K.; Filzmoser, P. robCompositions: An R-package for Robust Statistical Analysis of Compositional Data. R Package Version 2.0.6. Available online: https://CRAN.R-project.org/package=robCompositions (accessed on 12 May 2019).
- Templ, M.; Hron, K.; Filzmoser, P. robCompositions: an R-package for robust statistical analysis of compositional data. In Compositional Data Analysis: Theory and Applications; Buccianti, A., Pawlowsky-Glahn, V., Eds.; John Wiley & Sons: Chichester, UK, 2011; pp. 341–355. [Google Scholar]
- Hotelling, H. Analysis of a complex of statistical variables into principal components. J. Educ. Psychol. 1933, 24, 417–441. [Google Scholar] [CrossRef]
- Jolliffe, I.T. Principal Component Analysis, 2nd ed.; Springer: Berlin, Germany, 2011. [Google Scholar] [CrossRef]
- Johnson, R.A.; Wichern, D.W. Applied Multivariate Statistical Analysis, 6th ed.; Pearson Prentice Hall: Upper Saddle River, NJ, USA, 2007. [Google Scholar]
- Gower, J.C.; Hand, D.J. Biplots; Chapman and Hall: London, UK, 1996. [Google Scholar]
- MacQueen, J. Some Methods for Classification and Analysis of Multivariate Observations. In Proceedings of the 5th Berkeley Symposium on Mathematical Statistics and Probability, Berkeley, CA, USA, 21 June–18 July 1967; University of California Press: Berkeley, CA, USA, 1967; pp. 281–297. [Google Scholar]
- Hartigan, J.A.; Wong, M.A. A K-means clustering algorithm. J. R. Stat. Soc. Ser. C Appl. Stat. 1979, 28, 100–108. [Google Scholar]
- Hastie, T.; Tibshirani, R.; Friedman, J. The Elements of Statistical Learning: Data Mining, Inference and Prediction, 2nd ed.; Springer: Berlin, Germany, 2009. [Google Scholar] [CrossRef]
- James, G.; Witten, D.; Hastie, T.; Tibshirani, R. An Introduction to Statistical Learning with Applications in R; Springer: Berlin, Germany, 2013. [Google Scholar] [CrossRef]
- Kassambara, A.; Mundt, F. factoextra: Extract and Visualize the Results of Multivariate Data Analyses. R Package Version 1.0.5. Available online: https://CRAN.R-project.org/package=factoextra (accessed on 22 August 2017).
- Wickham, H. ggplot2: Elegant Graphics for Data Analysis, 2nd ed.; Springer: New York, NY, USA, 2016. [Google Scholar]
- Wickham, H. ggplot2: Create Elegant Data Visualisations Using the Grammar of Graphics. R Package Version 3.1.0. Available online: https://CRAN.R-project.org/package=ggplot2 (accessed on 12 May 2019).
- Xiao, N. ggsci: Scientific Journal and Sci-Fi Themed Color Palettes for ‘ggplot2’. R package Version 2.9. Available online: https://CRAN.R-project.org/package=ggsci (accessed on 12 May 2019).
- Breiman, L.; Friedman, J.H.; Olshen, R.A.; Stone, C.J. Classification and Regression Trees; Chapman & Hall: London, UK, 1984. [Google Scholar]
- Breiman, L.; Cutler, A.; Liaw, A.; Wiener, M. Package ‘randomForest’: Breiman and Cutler’s Random Forests for Classification and Regression. R Package Version 4.6-1.4. Available online: https://cran.r-project.org/web/packages/randomForest/index.html (accessed on 12 May 2019).
- Kuhn, M. Building predictive models in R using the caret package. J. Stat. Softw. 2008, 28, 1–26. [Google Scholar] [CrossRef]
- Kuhn, M.; Wing, J.; Weston, S.; Williams, A.; Keefer, C.; Engelhardt, A.; Cooper, T.; Mayer, Z.; Kenkel, B.; Benesty, M.; Lescarbeau, R.; Ziem, A.; Scrucca, L.; Tang, Y.; Candan, C.; Hunt, T.; R Core Team. Package ‘caret’: Classification and Regression Training. R Package Version 6.0-81. Available online: https://CRAN.R-project.org/package=caret (accessed on 12 May 2019).
- Wills, B.A.; Finch, J. Wills’ Mineral Processing Technology, 8th ed.; Butterworth-Heinemann: Oxford, UK, 2015. [Google Scholar]
- Mwanga, A.; Rosenkranz, J.; Lamberg, P. Testing of ore comminution behavior in the geometallurgical context—A review. Minerals 2015, 5, 276–297. [Google Scholar] [CrossRef]



















| Geometallurgical Variable | Units | Number of Records | Downhole Interval of Representation | Min | 25th Percentile | Median | 75th Percentile | Max | Mean | Std. Dev. |
|---|---|---|---|---|---|---|---|---|---|---|
| Axial point load strength index (PLSI_AX) | MPa 1 | 945 | 4 m | 0.1 | 3.9 | 7.5 | 9.4 | 16.7 | 6.8 | 3.5 |
| Rock quality designation (RQD) | % | 796 | Ranges from 1 to 3 m | 0 | 81 | 94 | 99 | 100 | 84 | 24 |
| Magnetic susceptibility (MAGSUSC) | Unitless | 3562 | 1 m | 0.01 | 0.32 | 0.72 | 1.41 | 7.5 | 0.96 | 0.84 |
| Multielement geochemistry | % 2; ppm 3 | 3562 | 1 m | See Table 2. | ||||||
| Bond ball mill work index (BWI) | kWh/t 4 | 977 | Ranges from 6 m to 12 m | 2.0 | 12.0 | 14.1 | 15.4 | 23.1 | 13.1 | 3.5 |
| Geochemical Element | Unit | LDL 1 | Mean | Std. Dev. | Min | 25th Percentile | Median | 75th Percentile | Max |
|---|---|---|---|---|---|---|---|---|---|
| Fe | % | 0.01 | 4.25 | 0.93 | 0.01 | 3.9 | 4.3 | 4.7 | 15 |
| Pb | ppm | 3 | 54 | 115 | 3 | 13 | 23 | 48 | 1987 |
| As | ppm | 5 | 1537 | 1735 | 5 | 401 | 995 | 1995 | 10,616 |
| Sr | ppm | 1 | 22 | 22 | 1 | 17 | 22 | 28 | 1143 |
| Ba | ppm | 1 | 30 | 10 | 1 | 23 | 28 | 35 | 149 |
| Zn | ppm | 1 | 98 | 103 | 1 | 59 | 80 | 103 | 1818 |
| Mn | % | 0.01 | 0.05 | 0.02 | 0.01 | 0.04 | 0.05 | 0.06 | 0.16 |
| Au | ppm | 0.002 2 | 0.33 | 0.34 | 0.001 | 0.11 | 0.25 | 0.44 | 6.75 |
| Cu | ppm | 1 | 39 | 20 | 1 | 31 | 37 | 45 | 930 |
| K | % | 0.01 | 0.21 | 0.06 | 0.01 | 0.16 | 0.2 | 0.24 | 0.62 |
| S | % | 0.01 | 0.89 | 0.42 | 0.01 | 0.59 | 0.88 | 1.18 | 2.38 |
| P | % | 0.01 | 0.06 | 0.02 | 0.01 | 0.04 | 0.06 | 0.07 | 0.2 |
| Co | ppm | 3 | 16 | 5 | 3 | 13 | 15 | 18 | 90 |
| Ni | ppm | 1 | 29 | 13 | 1 | 26 | 29 | 32 | 191 |
| Mg | % | 0.01 | 0.55 | 0.37 | 0.01 | 0.47 | 0.55 | 0.64 | 12.5 |
| Al | % | 0.01 | 0.88 | 0.64 | 0.01 | 0.39 | 0.68 | 1.20 | 4.40 |
| Zr | ppm | 1 | 10.07 | 4.16 | 1 | 7.3 | 9.6 | 12 | 32 |
| Ca | % | 0.01 | 0.37 | 0.46 | 0.01 | 0.25 | 0.36 | 0.46 | 15 |
| V | ppm | 3 | 9 | 7 | 3 | 4 | 6 | 10 | 77 |
| Cr | ppm | 1 | 8 | 11 | 1 | 3 | 4 | 11 | 159 |
| Classification | True Class | |
|---|---|---|
| Predicted Class | ≤14.36 kWh/t | >14.36 kWh/t |
| ≤14.36 kWh/t | 572 | 284 |
| >14.36 kWh/t | 531 | 1363 |
| True Class Total | 1103 | 1647 |
| Predicted Class Total | 856 | 1894 |
| Precision | 67% | 72% |
| Sensitivity | 52% | 83% |
| Overall Accuracy | 70% | |
© 2019 by the authors. Licensee MDPI, Basel, Switzerland. This article is an open access article distributed under the terms and conditions of the Creative Commons Attribution (CC BY) license (http://creativecommons.org/licenses/by/4.0/).
Share and Cite
Bhuiyan, M.; Esmaieli, K.; Ordóñez-Calderón, J.C. Application of Data Analytics Techniques to Establish Geometallurgical Relationships to Bond Work Index at the Paracutu Mine, Minas Gerais, Brazil. Minerals 2019, 9, 302. https://doi.org/10.3390/min9050302
Bhuiyan M, Esmaieli K, Ordóñez-Calderón JC. Application of Data Analytics Techniques to Establish Geometallurgical Relationships to Bond Work Index at the Paracutu Mine, Minas Gerais, Brazil. Minerals. 2019; 9(5):302. https://doi.org/10.3390/min9050302
Chicago/Turabian StyleBhuiyan, Mahadi, Kamran Esmaieli, and Juan C. Ordóñez-Calderón. 2019. "Application of Data Analytics Techniques to Establish Geometallurgical Relationships to Bond Work Index at the Paracutu Mine, Minas Gerais, Brazil" Minerals 9, no. 5: 302. https://doi.org/10.3390/min9050302
APA StyleBhuiyan, M., Esmaieli, K., & Ordóñez-Calderón, J. C. (2019). Application of Data Analytics Techniques to Establish Geometallurgical Relationships to Bond Work Index at the Paracutu Mine, Minas Gerais, Brazil. Minerals, 9(5), 302. https://doi.org/10.3390/min9050302

