Microcrack Evolution and Associated Deformation and Strength Properties of Sandstone Samples Subjected to Various Strain Rates
Abstract
1. Introduction
2. Experimental Procedure
2.1. Sample Preparation and Characterization
2.1.1. Sample Preparation
2.1.2. Mineral Morphology
2.2. Testing Method and Testing Equipment
2.2.1. Conventional Uniaxial Compressive Strength (UCS) Tests
2.2.2. Creep Tests
2.2.3. Intermediate Strain Rate Tests
2.2.4. Microscope Observation of the Thin Sections
3. Experimental Results
3.1. Conventional UCS Tests
3.2. Creep Tests
3.2.1. Axial Strain and AE Events—Time Curves
3.2.2. Microscopy Observation
3.3. UCS Tests after Cyclic Creep Tests
3.4. Intermediate Strain Rate Tests
3.4.1. Lateral Direction in Microscopy
3.4.2. Axial Direction in Microscopy
4. Discussion
4.1. Comparison of the Microscopy Results of the Cyclic Creep Tests and the Conventional UCS Tests
4.2. Crack Evolution under Different Directions and Strain Rates
4.3. Relationship between Cracks and Mineral Component
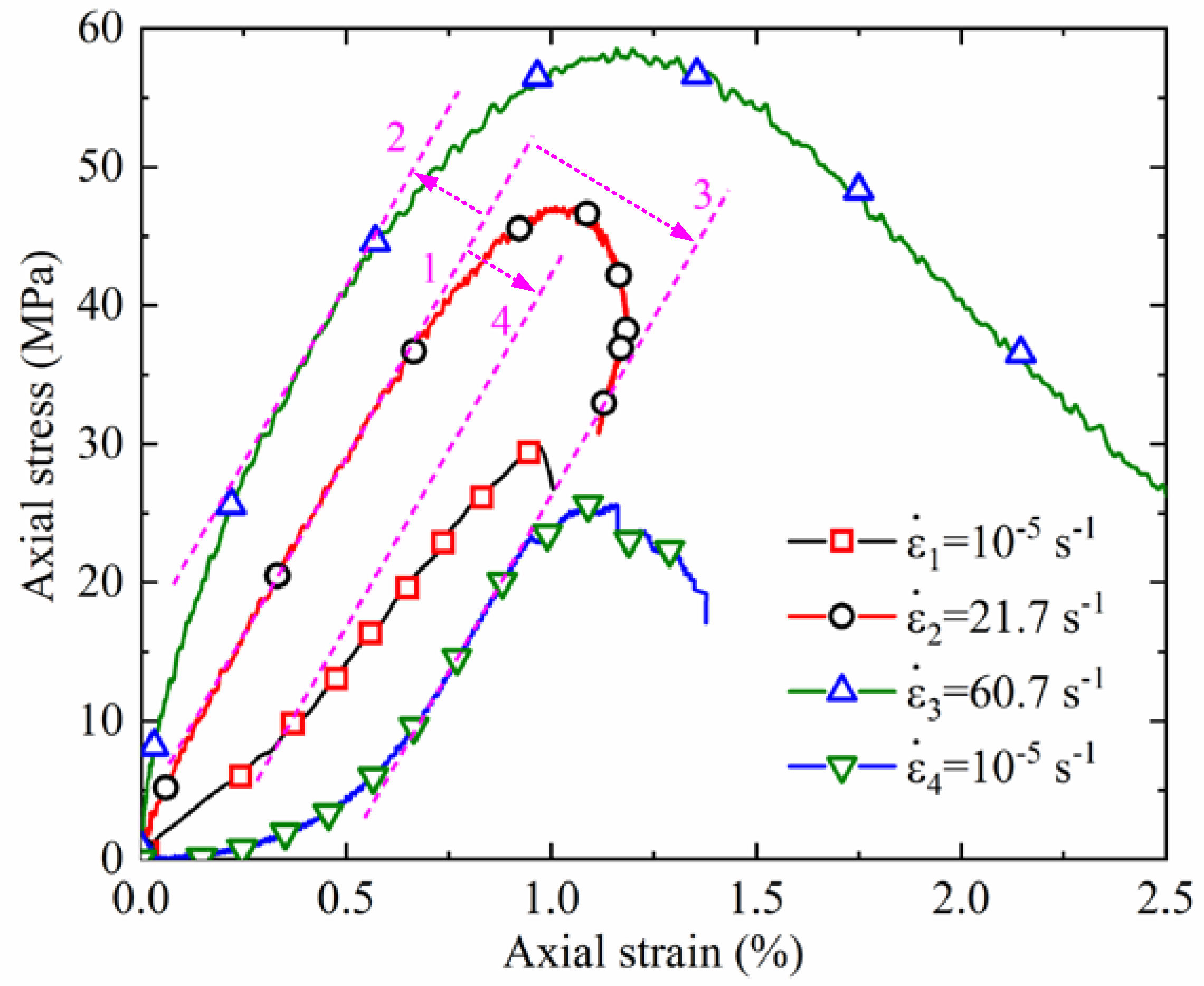
4.4. Comparison of Stress–Strain Curves
5. Conclusions
- (1)
- Inter-granular cracks appeared mainly around the quartz and most of the punctured grains were quartz grains in the sandstone, regardless of strain rates.
- (2)
- At a creep loading rate, most cracks were inter-granular in the lateral direction and occurred near the quartz grains. Although some of the inter-granular cracks also appeared in the axial direction, some trans-granular cracks occurred in the samples at locations of high stress concentration.
- (3)
- At a higher strain rate, most of the cracks were inter-granular in the lateral direction, but some transgranular cracks were also observed. The trans-granular cracks developed from the intergranular cracks at higher strain rates, however their numbers were very small. In the axial direction, the transgranular cracks were colliding with the intergranular cracks, which facilitated the rapid energy release in a short time.
- (4)
- As the strain rate increased, the peak strength and Young’s modulus increased as well. The peak strength values that were obtained after the creep tests were much lower than those of the intermediate strain rate tests. The stress–strain curve at a strain rate of 10−5 s−1 exhibited a crack compaction phase, whereas the stress–strain curve at a higher strain rate had no apparent crack compaction phase.
- (5)
- Furthermore, considering the evolution of the cracks and the increase in the peak strength and Young’s modulus with increasing strain rate, we have conclude that the generation of the transgranular cracks released more energy than that of the intergranular cracks. The failure of a rock with a large number of trans-granular cracks resulted in the absorption of more energy than that with more intergranular cracks. As a result, the increase in the strain rates increased the strength and the Young’s modulus of the rock.
Author Contributions
Acknowledgments
Conflicts of Interest
References
- Li, X.H.; Wang, H.T.; Jia, J.Q.; Yang, C.H.; Guo-Zhong, H.U.; Xue, Z.X. Ultimate displacement discrimination of stability and reliability analysis of surrounding rocks of tunnel and underground engineering. Rock Soil Mech. 2005, 26, 850–854. [Google Scholar]
- Li, S.C.; Wang, Q.; Wang, H.T.; Jiang, B.; Wang, D.C.; Zhang, B.; Li, Y.; Ruan, G.Q. Model test study on surrounding rock deformation and failure mechanisms of deep roadways with thick top coal. Tunn. Undergr. Space Technol. 2015, 47, 52–63. [Google Scholar] [CrossRef]
- Yu, W.; Zhai, S.; Gao, Q. Stability evaluation indexes of deep stope pillar and roadway surrounding rock. Dis. Adv. 2012, 5, 120–126. [Google Scholar]
- Qian, D.; Zhang, N.; Shimada, H.; Wang, C.; Sasaoka, T.; Zhang, N. Stability of goaf-side entry driving in 800-m-deep island longwall coal face in underground coal mine. Arab. J. Geosci. 2016, 9, 1–28. [Google Scholar] [CrossRef]
- Watson, B.P.; Kuijpers, J.S.; Henry, G.; Palmer, C.E.; Ryder, J.A. Nonlinear rock behaviour and its implications for deeper level platinum mining. J. S. Afr. Inst. Min. Metall. 2009, 109, 5–13. [Google Scholar]
- Ghosh, R.; Schunnesson, H.; Gustafson, A. Monitoring of drill system behavior for water-powered in-the-hole (ith) drilling. Minerals 2017, 7, 121. [Google Scholar] [CrossRef]
- Chen, S.H.; Hu, S.W.; Zhang, Z.H.; Jian, W. Propagation characteristics of vibration waves induced in surrounding rock by tunneling blasting. J. Mt. Sci. 2017, 14, 2620–2630. [Google Scholar] [CrossRef]
- Malbasic, V.; Stojanovic, L. Determination of seismic safety zones during the surface mining operation development in the case of the “buvac” open pit. Minerals 2018, 8, 71. [Google Scholar] [CrossRef]
- Kontogianni, V.A.; Stiros, S.C. Induced deformation during tunnel excavation: Evidence from geodetic monitoring. Eng. Geol. 2005, 79, 115–126. [Google Scholar] [CrossRef]
- Yang, H.Y.; Cao, S.G.; Li, Y.; Fan, Y.C.; Wang, S.A.; Chen, X.Z. Assessment of excavation broken zone around gateways under various geological conditions: A case study in sichuan province, China. Minerals 2016, 6, 72. [Google Scholar] [CrossRef]
- Brady, B.H.; Brown, E.T. Rock Mechanics: For Underground Mining, 3rd ed.; Springer Science & Business Media: Berlin, Germany, 2005. [Google Scholar]
- Xue, G.H.; Cheng, J.J.; Guan, J.; Zhang, G.F.; Wu, M. Surrounding rock pressure of deep roadway and influences on advance support. In Proceedings of the 3rd International Conference on Computer Science and Mechanical Automation, Wuhan, China, 10–12 November 2017; pp. 368–374. [Google Scholar]
- Gao, M.S.; Dou, L.M.; Xie, Y.S.; Gao, J.; Zhang, L.S. Latest progress on study of stability control of roadway surrounding rocks subjected to rock burst. Procedia Earth Planet. Sci. 2009, 1, 409–413. [Google Scholar] [CrossRef][Green Version]
- Heap, M.; Baud, P.; Meredith, P.; Bell, A.; Main, I. Time-dependent brittle deformation in darley dale sandstone. J. Geophys. Res. Solid Earth 2009, 114. [Google Scholar] [CrossRef]
- Fujii, Y.; Kiyama, T.; Ishijima, Y.; Kodama, J. Circumferential strain behavior during creep tests of brittle rocks. Int. J. Rock Mech. Min. Sci. 1999, 36, 323–337. [Google Scholar] [CrossRef]
- Brantut, N.; Heap, M.J.; Baud, P.; Meredith, P.G. Rate- and strain-dependent brittle deformation of rocks. J. Geophys. Res. Solid Earth 2014, 119, 1818–1836. [Google Scholar] [CrossRef]
- Xu, T.; Zhou, G.; Heap, M.J.; Yang, S.; Konietzky, H.; Baud, P. The modeling of time-dependent deformation and fracturing of brittle rocks under varying confining and pore pressures. Rock Mech. Rock Eng. 2018, 1–23. [Google Scholar] [CrossRef]
- Zhang, Q.; Zhao, J. Quasi-static and dynamic fracture behaviour of rock materials: Phenomena and mechanisms. Int. J. Fract. 2014, 189, 1–32. [Google Scholar] [CrossRef]
- Zhang, Q.; Zhao, J. Effect of loading rate on fracture toughness and failure micromechanisms in marble. Eng. Fract. Mech. 2013, 102, 288–309. [Google Scholar] [CrossRef]
- Ulusay, R.; Türeli, K.; Ider, M.H. Prediction of engineering properties of a selected litharenite sandstone from its petrographic characteristics using correlation and multivariate statistical techniques. Eng. Geol. 1994, 38, 135–157. [Google Scholar] [CrossRef]
- Koncagül, E.C.; Santi, P.M. Predicting the unconfined compressive strength of the breathitt shale using slake durability, shore hardness and rock structural properties. Int. J. Rock Mech. Min. Sci. 1999, 36, 139–153. [Google Scholar] [CrossRef]
- Heap, M.J.; Wadsworth, F.B.; Xu, T.; Chen, C.-F. The strength of heterogeneous volcanic rocks: A 2d approximation. J. Volcanol. Geotherm. Res. 2016, 319, 1–11. [Google Scholar] [CrossRef]
- Přikryl, R. Some microstructural aspects of strength variation in rocks. Int. J. Rock Mech. Min. Sci. 2001, 38, 671–682. [Google Scholar] [CrossRef]
- Fahy, M.P.; Guccione, M.J. Estimating strength of sandstone using petrographic thin-section data. Environ. Eng. Geosci. 1979, 16, 467–485. [Google Scholar] [CrossRef]
- Zorlu, K.; Gokceoglu, C.; Ocakoglu, F.; Nefeslioglu, H.A.; Acikalin, S. Prediction of uniaxial compressive strength of sandstones using petrography-based models. Eng. Geol. 2008, 96, 141–158. [Google Scholar] [CrossRef]
- Sprunt, E.C.S. Scanning electron microscope study of cracks and pores in crystalline rocks. Progr. Electr. Libr. Inf. Syst. 1973, 45, 415–438. [Google Scholar]
- Lindqvist, P.A.; Lai, H.H.; Alm, O. Indentation fracture development in rock continuously observed with a scanning electron microscope. Int. J. Rock Mech. Min Sci. Geomech. Abstr. 1984, 21, 165–182. [Google Scholar] [CrossRef]
- Yamada, I.; Masuda, K.; Mizutani, H. Electromagnetic and acoustic emission associated with rock fracture. Phys. Earth Planet. Inter. 1989, 57, 157–168. [Google Scholar] [CrossRef]
- Mori, Y.; Obata, Y.; Sikula, J. Acoustic and electromagnetic emission from crack created in rock sample under deformation. J. Acoust. Emiss. 2009, 27, 157–166. [Google Scholar]
- Yang, S.Q.; Jing, H.W.; Wang, S.Y. Experimental investigation on the strength, deformability, failure behavior and acoustic emission locations of red sandstone under triaxial compression. Rock Mech. Rock Eng. 2012, 45, 583–606. [Google Scholar] [CrossRef]
- Mlakar, V.; Hassani, F.P.; Momayez, M. Crack development and acoustic emission in potash rock. Int. J. Rock Mech. Min. Sci. Geomech. Abstr. 1993, 30, 305–319. [Google Scholar] [CrossRef]
- Lockner, D. The role of acoustic emission in the study of rock fracture. Int. J. Rock Mech. Min. Sci. Geomech. Abstr. 1993, 30, 883–899. [Google Scholar] [CrossRef]
- Kim, J.S.; Lee, K.S.; Cho, W.J.; Choi, H.J.; Cho, G.C. A comparative evaluation of stress–strain and acoustic emission methods for quantitative damage assessments of brittle rock. Rock Mech. Rock Eng. 2015, 48, 495–508. [Google Scholar] [CrossRef]
- Zhuang, X.; Chun, J.; Zhu, H. A comparative study on unfilled and filled crack propagation for rock-like brittle material. Theor. Appl. Fract. Mech. 2014, 72, 110–120. [Google Scholar] [CrossRef]
- Haeri, H.; Shahriar, K.; Marji, M.F.; Moarefvand, P. Experimental and numerical study of crack propagation and coalescence in pre-cracked rock-like disks. Int. J. Rock Mech. Min. Sci. 2014, 67, 20–28. [Google Scholar] [CrossRef]
- Cao, P.; Liu, T.; Pu, C.; Lin, H. Crack propagation and coalescence of brittle rock-like specimens with pre-existing cracks in compression. Eng. Geol. 2015, 187, 113–121. [Google Scholar] [CrossRef]
- Cheng, Y.; Wong, L.N.Y.; Maruvanchery, V. Transgranular crack nucleation in carrara marble of brittle failure. Rock Mech. Rock Eng. 2016, 49, 3069–3082. [Google Scholar] [CrossRef]
- Dai, F.; Huang, S.; Xia, K.; Tan, Z. Some fundamental issues in dynamic compression and tension tests of rocks using split hopkinson pressure bar. Rock Mech. Rock Eng. 2010, 43, 657–666. [Google Scholar] [CrossRef]
- Zhou, Y.X.; Xia, K.; Li, X.B.; Li, H.B.; Ma, G.W.; Zhao, J.; Zhou, Z.L.; Dai, F. Suggested methods for determining the dynamic strength parameters and mode-i fracture toughness of rock materials. Int. J. Rock Mech. Min. Sci. 2012, 49, 105–112. [Google Scholar] [CrossRef]
- Wang, Q.Y.; Zhu, W.C.; Xu, T.; Niu, L.L.; Wei, J. Numerical simulation of rock creep behavior with a damage-based constitutive law. Int. J. Geomech. 2016, 17, 04016044. [Google Scholar] [CrossRef]
- Zhang, Q.B.; Zhao, J. A review of dynamic experimental techniques and mechanical behaviour of rock materials. Rock Mech. Rock Eng. 2014, 47, 1411–1478. [Google Scholar] [CrossRef]
- Zhu, W.C.; Niu, L.L.; Li, S.H.; Xu, Z.H. Dynamic brazilian test of rock under intermediate strain rate: Pendulum hammer-driven SHPB test and numerical simulation. Rock Mech. Rock Eng. 2015, 48, 1867–1881. [Google Scholar] [CrossRef]
- Afreixo, V.; Bastos, C.A.; Garcia, S.P.; Rodrigues, J.M.; Pinho, A.J.; Ferreira, P.J. Experimental and numerical study of the kaiser effect in cyclic brazilian tests with disk rotation. Int. J. Rock Mech. Min. Sci. 2002, 39, 287–302. [Google Scholar]
- Kaiser, J. An Investigation into the Occurrence of Noises in Tensile Tests, or a Study of Acoustic Phenomena in Tensile Tests; Technical University: Munich, Germany, 1950. [Google Scholar]
- Zhang, J.; Wong, T.F.; Davis, D.M. Micromechanics of pressure-induced grain crushing in porous rocks. J. Geophys. Res. Solid Earth 1990, 95, 341–352. [Google Scholar] [CrossRef]
- Li, S.H.; Zhu, W.C.; Niu, L.L.; Dai, F. Constant strain rate uniaxial compression of green sandstone during SHPB tests driven by pendulum hammer. Shock Vib. 2017, 2017, 1–12. [Google Scholar] [CrossRef]
- Li, S.H.; Zhu, W.C.; Niu, L.L.; Yu, M.; Chen, C.F. Dynamic characteristics of green sandstone subjected to repetitive impact loading: Phenomena and mechanisms. Rock Mech. Rock Eng. 2018, 1–16. [Google Scholar] [CrossRef]
- Gerlach, R.; Sathianathan, S.K.; Siviour, C.; Petrinic, N. A novel method for pulse shaping of split hopkinson tensile bar signals. Int. J. Impact Eng. 2011, 38, 976–980. [Google Scholar] [CrossRef]
- Li, D.; Wong, L.N.Y. The brazilian disc test for rock mechanics applications: Review and new insights. Rock Mech. Rock Eng. 2013, 46, 269–287. [Google Scholar] [CrossRef]
- Kranz, R.L. Microcracks in rocks: A review. Tectonophysics 1983, 100, 449–480. [Google Scholar] [CrossRef]
- Brantut, N.; Heap, M.; Meredith, P.; Baud, P. Time-dependent cracking and brittle creep in crustal rocks: A review. J. Struct. Geol. 2013, 52, 17–43. [Google Scholar] [CrossRef]
- Griffith, A. The theory of rupture. In Proceedings of the First International Congress for Applied Mechanics; J. Waltman, Jr.: Delft, The Netherlands, 1924; pp. 55–63. [Google Scholar]
- Irwin, G.R. Fracture dynamics. Fract. Met. 1948, 152, 147–166. [Google Scholar]
- Willard, R.J.; McWilliams, J.R. Effect of loading rate on transgranular-intergranular fracture in charcoal gray granite. Int. J. Rock Mech. Min. Sci. Geomech. Abstr. 1969, 6, 415–421. [Google Scholar] [CrossRef]
- Karner, S.L.; Chester, F.M.; Kronenberg, A.K.; Chester, J.S. Subcritical compaction and yielding of granular quartz sand. Tectonophysics 2003, 377, 357–381. [Google Scholar] [CrossRef]
- Shakoor, A.; Bonelli, R.E. Relationship between petrographic characteristics, engineering index properties, and mechanical properties of selected sandstones. Bull. Assoc. Eng. Geol. 1991, 28, 55–71. [Google Scholar] [CrossRef]
- Makowitz, A.; Lander, R.H.; Milliken, K.L. Diagenetic modeling to assess the relative timing of quartz cementation and brittle grain processes during compaction. AAPG Bull. 2006, 90, 873–885. [Google Scholar] [CrossRef]
- Handy, M.R. The solid-state flow of polymineralic rocks. J. Geophys. Res. Solid Earth 1990, 95, 8647–8661. [Google Scholar] [CrossRef]
- Lander, R.H.; Larese, R.E.; Bonnell, L.M. Toward more accurate quartz cement models: The importance of euhedral versus noneuhedral growth rates. AAPG Bull. 2008, 92, 1537–1563. [Google Scholar] [CrossRef]
- Niu, L.; Zhu, W.; Li, S.; Yu, M. Experimental study of dynamic characteristics of sandstone under intermediate strain rate by using pendulum hammer driven “SHPB” apparatus. Chin. J. Rock Mech. Eng. 2014, 33, 2443–2450. [Google Scholar] [CrossRef]
- Wang, Q.Z.; Yang, J.R.; Zhang, C.G.; Zhou, Y.; Li, L.; Wu, L.Z.; Huang, R.Q. Determination of dynamic crack initiation and propagation toughness of a rock using a hybrid experimental-numerical approach. J. Eng. Mech. 2016, 142, 04016097. [Google Scholar] [CrossRef]
- Ray, S.K.; Sarkar, M.; Singh, T.N. Effect of cyclic loading and strain rate on the mechanical behaviour of sandstone. Int. J. Rock Mech. Min. Sci. 1999, 36, 543–549. [Google Scholar] [CrossRef]
- Zhang, Q.B.; Zou, Y. Effect of loading rate on fracture behaviour of rock materials. In Industrial Communication Technology Handbook, 2nd ed.; Rock Engineering & Rock Mechanics Structures in & on Rock Masses; CRC Press: Boca Raton, FL, USA, 2014; pp. 119–124. [Google Scholar]

















© 2018 by the authors. Licensee MDPI, Basel, Switzerland. This article is an open access article distributed under the terms and conditions of the Creative Commons Attribution (CC BY) license (http://creativecommons.org/licenses/by/4.0/).
Share and Cite
Chen, C.-F.; Xu, T.; Li, S.-H. Microcrack Evolution and Associated Deformation and Strength Properties of Sandstone Samples Subjected to Various Strain Rates. Minerals 2018, 8, 231. https://doi.org/10.3390/min8060231
Chen C-F, Xu T, Li S-H. Microcrack Evolution and Associated Deformation and Strength Properties of Sandstone Samples Subjected to Various Strain Rates. Minerals. 2018; 8(6):231. https://doi.org/10.3390/min8060231
Chicago/Turabian StyleChen, Chong-Feng, Tao Xu, and Shao-Hua Li. 2018. "Microcrack Evolution and Associated Deformation and Strength Properties of Sandstone Samples Subjected to Various Strain Rates" Minerals 8, no. 6: 231. https://doi.org/10.3390/min8060231
APA StyleChen, C.-F., Xu, T., & Li, S.-H. (2018). Microcrack Evolution and Associated Deformation and Strength Properties of Sandstone Samples Subjected to Various Strain Rates. Minerals, 8(6), 231. https://doi.org/10.3390/min8060231

