Depositional Environment and Biological Activity Implications of the Jining BIF, Western Shandong Province, China: Evidence from Elements and C-O Isotopic Compositions
Abstract
1. Introduction
2. Geological Background
2.1. Regional Geology
2.2. Geology of the Jining BIF Deposit
3. Sampling and Analytical Methods
3.1. Sample Description
3.2. Analysis Methods
4. Results
4.1. Major Elements
4.2. Trace Elements and REEs
4.3. C-O Isotopes
5. Discussion
5.1. Detrital Contamination
5.2. Depositional Environment and Type of the Jining BIF
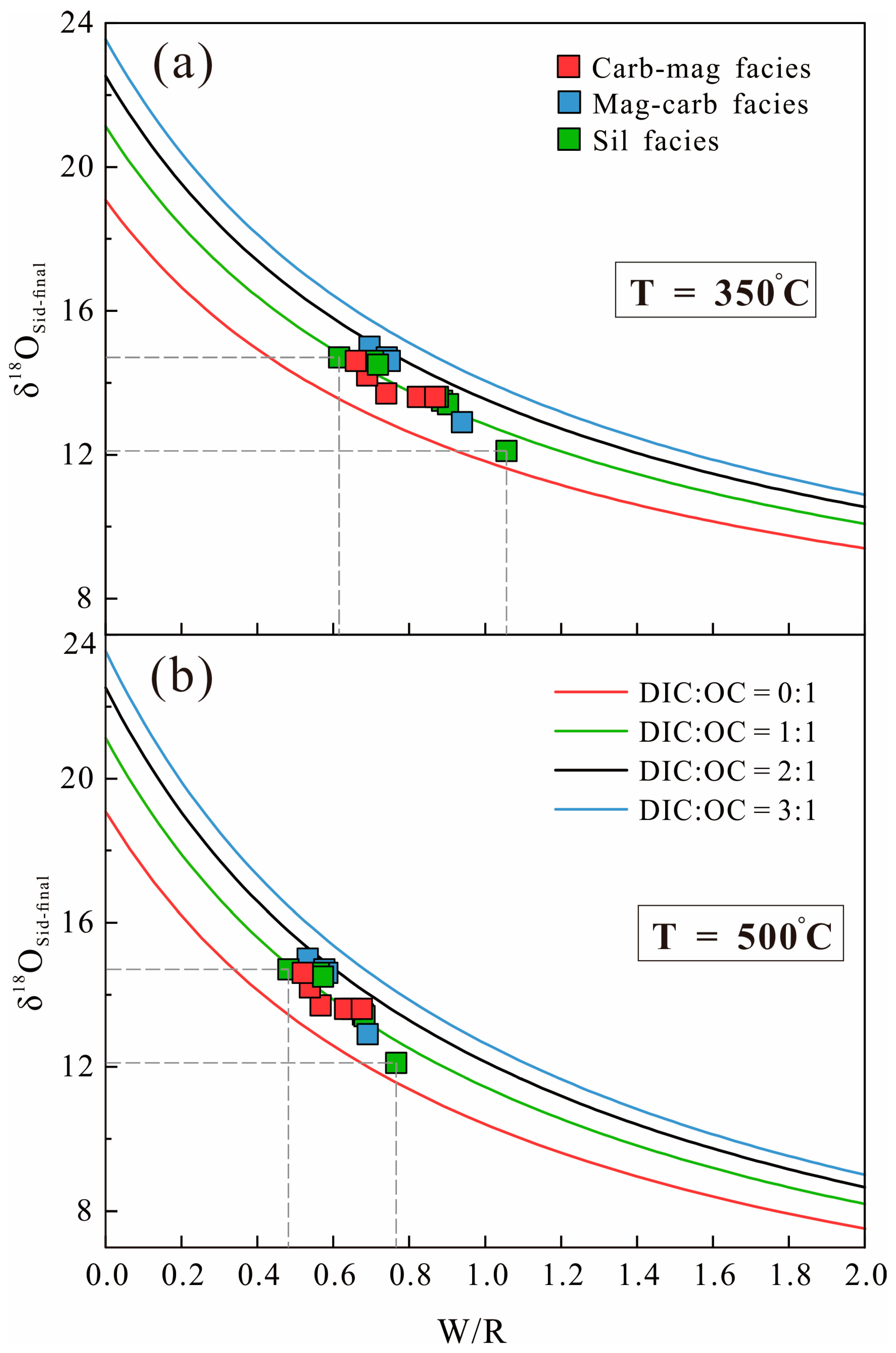
5.3. Mechanism and Implications of Negative δ13Ccarb and δ18Ocarb Values
5.4. Records of the Extensive Biological Activities at ~2.5 Ga
| Formation/Region | Age (Ga) | Types | δ13Ccarb (‰) | Average (‰) | References |
|---|---|---|---|---|---|
| Krivoy Rog Iron Formation, Ukraine | 2.45 | BIFs | −16.8 to −0.8 | −9.8 | [88] |
| Griquatown–Kuruman Iron Formation, South Africa | 2.46 | BIFs | −13.4 to −5.5 | −9.4 | [87] |
| 2.46 | Siderite/ankerite | −12.9 to −5.6 | −9.2 | [87] | |
| Brockman Iron Formation, Australia | 2.47 | siderite/ankerite | −15.05 to −6.5 | −9.83 | [85] |
| Yandian Formation, China | ~2.5 | BIFs | −18.6 to −9.6 | −12.72 | This study |
| Cauê Formation, Brazil | 2.58–2.42 | BIFs | −12.2 to −3.4 | −5.6 | [86] |
| Wittenoom Formation, Australia | 2.56 | Fe-rich carbonates | −14.66 to −0.25 | −4.91 | [84] |
| Temagami Iron Formation, Canada | 2.74 | Fe-rich carbonates | −7.7 to −4.9 | −6.7 | [91] |
| Helen Iron Formation, Canada | 2.75 | BIFs | −5.85 to 0.18 | −1.46 | [84] |
| Helen Iron Formation, Canada | 2.75 | BIFs | −7.5 to 3.5 | −0.14 | [90] |
| Carajás Iron Formation, Brazil | 2.76 | BIFs | −6 to −3 | Not provided | [89] |
| Witwatersrand Supergroup, South Africa | 2.99–2.91 | BIFs | −16.65 to −9.12 | −12.62 | [92,93] |
| Mozaan Group, South Africa | 2.99–2.84 | BIFs | −18.77 to −7.72 | −15.46 | [92,93] |
| Isua greenstone belt, Greenland | 3.83 | Fe-rich carbonates | −5.94 to −4.10 | −4.83 | [85] |
| Isua greenstone belt, Greenland | 3.83 | Fe-poor carbonates | −1.98 to −0.34 | −1.28 | [85] |
6. Conclusions
Supplementary Materials
Author Contributions
Funding
Data Availability Statement
Conflicts of Interest
References
- Liu, Y.; Chou, I.-M.; Chen, J.; Wu, N.; Li, W.; Bagas, L.; Ren, M.; Liu, Z.; Mei, S.; Wang, L. Oldhamite: A New Link in Upper Mantle for C–O–S–ca Cycles and an Indicator for Planetary Habitability. Natl. Sci. Rev. 2023, 10, nwad159. [Google Scholar] [CrossRef]
- Lyons, T.W.; Reinhard, C.T.; Planavsky, N.J. The Rise of Oxygen in Earth’s Early Ocean and Atmosphere. Nature 2014, 506, 307–315. [Google Scholar] [CrossRef]
- Holland, H.D. When Did the Earth’s Atmosphere Become Oxic? A Reply. Geochem. News 1999, 100, 20–22. [Google Scholar]
- Holland, H.D. Volcanic Gases, Black Smokers, and the Great Oxidation Event. Geochim. Cosmochim. Acta 2002, 66, 3811–3826. [Google Scholar] [CrossRef]
- Chen, Y. The Geologic Environment Catastrophe at about 2300 Ma. Young Geol. Nanjing Univ. 1987, 1, 119–125. (In Chinese) [Google Scholar]
- Chen, Y. Evidences for the Catastrophe in Geologic Environment at about 2300 Ma and the Discussions on Several Problems. J. Stratigr. 1990, 14, 178–186, (In Chinese with English Abstract). [Google Scholar]
- Chen, Y.; Ji, H.; Fu, S.; Zhou, X. The Challenge to Traditional Geological Theory by the Discover of Catastrophe Events in 2.3 Billion Years: A New Understanding of Some Major Geological Problems. Adv. Earth Sci. 1991, 6, 63–68. (In Chinese) [Google Scholar]
- Tang, H.; Chen, Y. Global Glaciations and Atmospheric Change at ca. 2.3 Ga. Geosci. Front. 2013, 4, 583–596. [Google Scholar] [CrossRef]
- Chen, Y.; Fu, S.; Hu, S.; Zhang, Y. REE Geochemical Evolution and Its Significance of Early Precambrian Metamorphic Terrain, Wuyang, Henan. Chin. J. Geochem. 1992, 11, 133–139. [Google Scholar] [CrossRef]
- Chen, Y.; Zhao, Y. Geochemical Characteristics and Evolution of REE in the Early Precambrian Sediments: Evidence from the Southern Margin of the North China Craton. Epis. J. Int. Geosci. 1997, 20, 109–116. [Google Scholar]
- Cowie, J.W.; Ziegler, W.; Remane, J. Stratigraphic Commission Accelerates Progress, 1984 to 1989. Epis. J. Int. Geosci. 1989, 12, 79–82. [Google Scholar] [CrossRef]
- Sun, D. A New Division and Naming of the Precambrian Era. Bull. Mineral. Petrol. Geochem. 1989, 4, 243–245. (In Chinese) [Google Scholar]
- James, H.L. Sedimentary Facies of Iron-Formation. Econ. Geol. 1954, 49, 235–293. [Google Scholar] [CrossRef]
- James, H.L. Distribution of Banded Iron-Formation in Space and Time. In Developments in Precambrian Geology; Iron-Formation Facts and Problems; Elsevier: Amsterdam, The Netherlands, 1983; Volume 6, pp. 471–490. [Google Scholar]
- Bekker, A.; Slack, J.F.; Planavsky, N.; Krapez, B.; Hofmann, A.; Konhauser, K.O.; Rouxel, O.J. Iron Formation: The Sedimentary Product of a Complex Interplay among Mantle, Tectonic, Oceanic, and Biospheric Processes. Econ. Geol. 2010, 105, 467–508. [Google Scholar] [CrossRef]
- Bekker, A.; Planavsky, N.J.; Krapež, B.; Rasmussen, B.; Hofmann, A.; Slack, J.F.; Rouxel, O.J.; Konhauser, K.O. Iron Formations: Their Origins and Implications for Ancient Seawater Chemistry. In Treatise on Geochemistry; Elsevier: Amsterdam, The Netherlands, 2014; pp. 561–628. [Google Scholar]
- Konhauser, K.O.; Amskold, L.; Lalonde, S.V.; Posth, N.R.; Kappler, A.; Anbar, A. Decoupling Photochemical Fe(II) Oxidation from Shallow-Water BIF Deposition. Earth Planet. Sci. Lett. 2007, 258, 87–100. [Google Scholar] [CrossRef]
- Tang, R.; Chen, Y. Advances in Isotopic Chronology of Paleoproterozoic Banded Iron Formations in North China Craton. Acta Petrol. Sin. 2024, 40, 3663–3684, (In Chinese with English Abstract). [Google Scholar] [CrossRef]
- Tong, X.; Mänd, K.; Li, Y.; Zhang, L.; Peng, Z.; Wu, Q.; Li, P.; Zhai, M.; Robbins, L.J.; Wang, C.; et al. Iron and Carbon Isotope Constraints on the Formation Pathway of Iron-Rich Carbonates within the Dagushan Iron Formation, North China Craton. Minerals 2021, 11, 94. [Google Scholar] [CrossRef]
- Wang, C.; Konhauser, K.O.; Zhang, L. Depositional Environment of the Paleoproterozoic Yuanjiacun Banded Iron Formation in Shanxi Province, China. Econ. Geol. 2015, 110, 1515–1539. [Google Scholar] [CrossRef]
- Lan, C.; Long, X.; Zhai, M.; Wang, J. Depositional Age and Geochemistry of the 2.44–2.32 Ga Granular Iron Formation in the Songshan Group, North China Craton: Tracing the Effects of Atmospheric Oxygenation on Continental Weathering and Seawater Environment. Precambrian Res. 2021, 357, 106142. [Google Scholar] [CrossRef]
- Gole, M.J.; Klein, C. Banded Iron-Formations through Much of Precambrian Time. J. Geol. 1981, 89, 169–183. [Google Scholar] [CrossRef]
- Konhauser, K.O.; Planavsky, N.J.; Hardisty, D.S.; Robbins, L.J.; Warchola, T.J.; Haugaard, R.; Lalonde, S.V.; Partin, C.A.; Oonk, P.B.H.; Tsikos, H.; et al. Iron Formations: A Global Record of Neoarchaean to Palaeoproterozoic Environmental History. Earth-Sci. Rev. 2017, 172, 140–177. [Google Scholar] [CrossRef]
- Wang, J.; Li, J.; Li, Q.; Wang, Q.; Dong, Z. Greenstone Belt Gold Deposits and Their Ore Source Beds in Western Shandong. Acta Geol. Sin. 2013, 87, 994–1002, (In Chinese with English Abstract). [Google Scholar]
- Hao, X. Study on Metallogenic Regularities and Prognosis of Iron Deposits in Western Shandong Province. Ph.D. Thesis, China University of Geosciences (Beijing), Beijing, China, 2014. (In Chinese with English Abstract). [Google Scholar]
- Song, M.; Jiao, X.; Zhang, C.; Zhang, Z.; Hu, S.; Li, S.; Li, Z.; Li, P. Stratigraphic Sequence and Tectonic Setting of the Jining Group in Shandong Province. J. Stratigr. 2016, 40, 26–40, (In Chinese with English Abstract). [Google Scholar]
- Jiao, X.; Song, M.; Yin, P.; Hu, S.; Zhang, C.; Ma, Z. The Jining Group and Its Mineralization; Geology Press: Beijing, China, 2017; (In Chinese with English Abstract). [Google Scholar]
- Qi, R. The Precambrian Stratigraphic Classification and Iron Formation Geological Characteristics in the Western Shandong Province. Bull. Nanjing Inst. Geol. Miner. Resour. 1984, 5, 58–108. (In Chinese) [Google Scholar]
- Li, S.; Li, P. Data Processing and Prospecting Effect of Magnetic Anomaly in Jining Area, Shandong Province. In The Corpus for Geophysical Computing of Metallic Ore; Geological Publishing House: Beijing, China, 1979; pp. 1–211. (In Chinese) [Google Scholar]
- Wang, W.; Wang, S.; Liu, D.; Li, P.; Dong, C.; Xie, H.; Ma, M.; Wan, Y. Formation Age of the Neoarchaean Jining Group (Banded Iron Formation) in the Western Shandong Province: Constraints from SHRIMP Zircon U-Pb Dating. Acta Petrol. Sin. 2010, 26, 1175–1181, (In Chinese with English Abstract). [Google Scholar]
- Wan, Y.; Liu, D.; Wang, S.; Jiao, X.; Wang, W.; Dong, C.; Xie, H.; Ma, M. Redefinition of Early Precambrian Supracrustal Rocks and Formation Age of BIF in Western Shandong, North China Craton. Acta Petrol. Sin. 2012, 28, 3457–3475, (In Chinese with English Abstract). [Google Scholar]
- Song, M.; Jiao, X.; Zhang, C.; Zhang, Z.; Li, S.; Li, P. An Analysis of Formation Age of Jining Group in Shandong Province. Geol. China 2016, 43, 829–842, (In Chinese with English Abstract). [Google Scholar]
- Zhang, Y. Formation and Evolution of Neoarchean BIF in Western Shandong Province. Ph.D. Thesis, China University of Geosciences (Beijing), Beijing, China, 2022. (In Chinese with English Abstract). [Google Scholar]
- Li, P.; Bian, R.; Cao, X. Geological Characteristics of Hongfusi Iron Deposit in Yandian Mine Area of Yanzhou City. Shandong Land Resour. 2010, 26, 11–14, (In Chinese with English Abstract). [Google Scholar]
- He, Q. Study on Geological Characteristics and the Origin of Zaicun Iron Deposit in Yanzhou City of Shandong Province. Shan Dong Land Resour. 2018, 34, 21–26, (In Chinese with English Abstract). [Google Scholar]
- Coplen, T.B.; Kendall, C.; Hopple, J. Comparison of Stable Isotope Reference Samples. Nature 1983, 302, 236–238. [Google Scholar] [CrossRef]
- McLennan, S.M. Rare Earth Elements in Sedimentary Rocks: Influence of Provenance and Sedimentary Processes. Rev. Mineral. Geochem. 1989, 21, 169–200. [Google Scholar]
- Bolhar, R.; Kamber, B.S.; Moorbath, S.; Fedo, C.M.; Whitehouse, M.J. Characterisation of Early Archaean Chemical Sediments by Trace Element Signatures. Earth Planet. Sci. Lett. 2004, 222, 43–60. [Google Scholar] [CrossRef]
- Eroglu, S.; Van Zuilen, M.A.; Taubald, H.; Drost, K.; Wille, M.; Swanner, E.D.; Beukes, N.J.; Schoenberg, R. Depth-Dependent δ13C Trends in Platform and Slope Settings of the Campbellrand- Malmani Carbonate Platform and Possible Implications for Early Earth Oxygenation. Precambrian Res. 2017, 302, 122–139. [Google Scholar] [CrossRef]
- Arora, M.; Govil, P.K.; Charan, S.N.; Udayraj, B.; Balaram, V.; Manikyamba, C. Geochemistry and Origin of Archean Banded Iron-Formation from the Bababudan Schist Belt, India. Econ. Geol. 1995, 90, 2040–2057. [Google Scholar] [CrossRef]
- Bau, M.; Dulski, P. Distribution of Yttrium and Rare-Earth Elements in the Penge and Kuruman Iron-Formations, Transvaal Supergroup, South Africa. Precambrian Res. 1996, 79, 37–55. [Google Scholar] [CrossRef]
- Lan, T.-G.; Fan, H.-R.; Hu, F.-F.; Yang, K.-F.; Cai, Y.-C.; Liu, Y.-S. Depositional Environment and Tectonic Implications of the Paleoproterozoic BIF in Changyi Area, Eastern North China Craton: Evidence from Geochronology and Geochemistry of the Metamorphic Wallrocks. Ore Geol. Rev. 2014, 61, 52–72. [Google Scholar] [CrossRef]
- Rao, T.G.; Naqvi, S.M. Geochemistry, Depositional Environment and Tectonic Setting of the BIF’s of the Late Archaean Chitradurga Schist Belt, India. Chem. Geol. 1995, 121, 217–243. [Google Scholar] [CrossRef]
- Sunder Raju, P.V. Petrography and Geochemical Behaviour of Trace Element, REE and Precious Metal Signatures of Sulphidic Banded Iron Formations from the Chikkasiddavanahalli Area, Chitradurga Schist Belt, India. J. Asian Earth Sci. 2009, 34, 663–673. [Google Scholar] [CrossRef]
- Nozaki, Y.; Zhang, J.; Amakawa, H. The Fractionation between Y and Ho in the Marine Environment. Earth Planet. Sci. Lett. 1997, 148, 329–340. [Google Scholar] [CrossRef]
- Grauch, R.I. Rare Earth Elements in Metamorphic Rocks. Mineral. Soc. Am. 1989, 11, 147–167. [Google Scholar]
- Bau, M. Rare-Earth Element Mobility during Hydrothermal and Metamorphic Fluid-Rock Interaction and the Significance of the Oxidation State of Europium. Chem. Geol. 1991, 93, 219–230. [Google Scholar] [CrossRef]
- Bau, M.; Dulski, P. Small-Scale Variations of the Rare-Earth Element Distribution in Precambrian Iron-Formations. Eur. J. Mineral. 1992, 4, 1429–1434. [Google Scholar] [CrossRef]
- Sholkovitz, E.R.; Shaw, T.J.; Schneider, D.L. The Geochemistry of Rare Earth Elements in the Seasonally Anoxic Water Column and Porewaters of Chesapeake Bay. Geochim. Cosmochim. Acta 1992, 56, 3389–3402. [Google Scholar] [CrossRef]
- Huston, D.L.; Logan, G.A. Barite, BIFs and Bugs: Evidence for the Evolution of the Earth’s Early Hydrosphere. Earth Planet. Sci. Lett. 2004, 220, 41–55. [Google Scholar] [CrossRef]
- Tang, H.-S.; Chen, Y.-J.; Santosh, M.; Zhong, H.; Yang, T. REE Geochemistry of Carbonates from the Guanmenshan Formation, Liaohe Group, NE Sino-Korean Craton: Implications for Seawater Compositional Change during the Great Oxidation Event. Precambrian Res. 2013, 227, 316–336. [Google Scholar] [CrossRef]
- Dai, A. Coordination Chemistry; Science Press: Beijing, China, 1987. (In Chinese) [Google Scholar]
- Tang, H.; Chen, Y.; Wu, G.; Yang, T. Rare Earth Element Geochemistry of Carbonates of Dashiqiao Formation, Liaohe Group, Eastern Liaoning Province: Implications for Lomagundi Event. Acta Petrol. Sin. 2009, 25, 3075–3093, (In Chinese with English Abstract). [Google Scholar]
- Taylor, S.R.; McLennan, S.M. The Continental Crust: Its Composition and Evolution; Wiley–Blackwell: Hoboken, NY, USA, 1985. [Google Scholar]
- Murray, R.W.; Buchholtz Ten Brink, M.R.; Gerlach, D.C.; Russ, G.P.; Jones, D.L. Rare Earth, Major, and Trace Elements in Chert from the Franciscan Complex and Monterey Group, California: Assessing REE Sources to Fine-Grained Marine Sediments. Geochim. Cosmochim. Acta 1991, 55, 1875–1895. [Google Scholar] [CrossRef]
- Dasgupta, H.C.; Sambasiva Rao, V.V.; Krishna, C. Chemical Environments of Deposition of Ancient Iron- and Manganese-Rich Sediments and Cherts. Sediment. Geol. 1999, 125, 83–98. [Google Scholar] [CrossRef]
- Schidlowski, M. A 3800-Million-Year Isotopic Record of Life from Carbon in Sedimentary Rocks. Nature 1988, 333, 313–318. [Google Scholar] [CrossRef]
- Jimenez-Lopez, C.; Caballero, E.; Huertas, F.J.; Romanek, C.S. Chemical, Mineralogical and Isotope Behavior, and Phase Transformation during the Precipitation of Calcium Carbonate Minerals from Intermediate Ionic Solution at 25 °C. Geochim. Cosmochim. Acta 2001, 65, 3219–3231. [Google Scholar] [CrossRef]
- Jimenez-Lopez, C.; Romanek, C.S. Precipitation Kinetics and Carbon Isotope Partitioning of Inorganic Siderite at 25 °C and 1 Atm. Geochim. Cosmochim. Acta 2004, 68, 557–571. [Google Scholar] [CrossRef]
- Kaufman, A.J.; Hayes, J.M.; Klein, C. Primary and Diagenetic Controls of Isotopic Compositions of Iron-Formation Carbonates. Geochim. Cosmochim. Acta 1990, 54, 3461–3473. [Google Scholar] [CrossRef]
- Beukes, N.J.; Klein, C.; Kaufman, A.J.; Hayes, J.M. Carbonate Petrography, Kerogen Distribution, and Carbon and Oxygen Isotope Variations in an Early Proterozoic Transition from Limestone to Iron-Formation Deposition, Transvaal Supergroup, South Africa. Econ. Geol. Bull. Soc. Econ. Geol. 1990, 85, 663–690. [Google Scholar] [CrossRef]
- Yang, X.; Zhang, Z.; Santosh, M.; Duan, S.; Liang, T. Anoxic to Suboxic Mesoproterozoic Ocean: Evidence from Iron Isotope and Geochemistry of Siderite in the Banded Iron Formations from North Qilian, NW China. Precambrian Res. 2018, 307, 115–124. [Google Scholar] [CrossRef]
- Konhauser, K.O.; Newman, D.K.; Kappler, A. The Potential Significance of Microbial Fe(III) Reduction during Deposition of Precambrian Banded Iron Formations. Geobiology 2005, 3, 167–177. [Google Scholar] [CrossRef]
- Heimann, A.; Johnson, C.M.; Beard, B.L.; Valley, J.W.; Roden, E.E.; Spicuzza, M.J.; Beukes, N.J. Fe, C, and O Isotope Compositions of Banded Iron Formation Carbonates Demonstrate a Major Role for Dissimilatory Iron Reduction in ~2.5 Ga Marine Environments. Earth Planet. Sci. Lett. 2010, 294, 8–18. [Google Scholar] [CrossRef]
- Hu, J.; Li, S.; Wang, S.-J.; Peckmann, J.; Guan, H.; Jiang, S.; Chen, W.; Cui, H.; Qin, Z.; Liu, P.; et al. Metal-Driven Anaerobic Oxidation of Methane and the Sturtian Deglaciation. Nat. Commun. 2025, 16, 7249. [Google Scholar] [CrossRef]
- Jiang, C.Z.; Tosca, N.J. Growth Kinetics of Siderite at 298.15 K and 1 Bar. Geochim. Cosmochim. Acta 2020, 274, 97–117. [Google Scholar] [CrossRef]
- Rasmussen, B.; Muhling, J.R.; Krapež, B. Greenalite and Its Role in the Genesis of Early Precambrian Iron Formations—A Review. Earth-Sci. Rev. 2021, 217, 103613. [Google Scholar] [CrossRef]
- Jiang, C.Z.; Halevy, I.; Tosca, N.J. Kinetic Isotope Effect in Siderite Growth: Implications for the Origin of Banded Iron Formation Siderite. Geochim. Cosmochim. Acta 2022, 322, 260–273. [Google Scholar] [CrossRef]
- Huang, H.; Zhang, L. Genesis of the Lilaozhuang iron-magnesite deposit in the Huoqiu area of Anhui province: Indicative significance of carbon and oxygen isotopes. Bull. Mineral. Petrol. Geochem. 2020, 39, 072, (In Chinese with English Abstract). [Google Scholar]
- Hoefs, J. Stable Isotope Geochemistry; Springer: Berlin, Germany, 1997. [Google Scholar]
- Carothers, W.W.; Adami, L.H.; Rosenbauer, R.J. Experimental Oxygen Isotope Fractionation between Siderite-Water and Phosphoric Acid Liberated CO2-Siderite. Geochim. Cosmochim. Acta 1988, 52, 2445–2450. [Google Scholar] [CrossRef]
- Kim, S.-T.; O’Neil, J.R. Equilibrium and Nonequilibrium Oxygen Isotope Effects in Synthetic Carbonates. Geochim. Cosmochim. Acta 1997, 61, 3461–3475. [Google Scholar] [CrossRef]
- Schidlowski, M.; Eichmann, R.; Junge, C.E. Precambrian Sedimentary Carbonates: Carbon and Oxygen Isotope Geochemistry and Implications for the Terrestrial Oxygen Budget. Precambrian Res. 1975, 2, 1–69. [Google Scholar] [CrossRef]
- Jiang, C.Z.; Tosca, N.J. Fe(II)-Carbonate Precipitation Kinetics and the Chemistry of Anoxic Ferruginous Seawater. Earth Planet. Sci. Lett. 2019, 506, 231–242. [Google Scholar] [CrossRef]
- Glass, J.B.; Orphan, V.J. Trace Metal Requirements for Microbial Enzymes Involved in the Production and Consumption of Methane and Nitrous Oxide. Front. Microbiol. 2012, 3, 61. [Google Scholar] [CrossRef]
- Fischer, W.W.; Knoll, A.H. An Iron Shuttle for Deepwater Silica in Late Archean and Early Paleoproterozoic Iron Formation. GSA Bull. 2009, 121, 222–235. [Google Scholar] [CrossRef]
- Nealson, K.H.; Myers, C.R. Iron Reduction by Bacteria: A Potential Role in the Genesis of Banded Iron Formations. Am. J. Sci. 1990, 290, 35–45. [Google Scholar]
- Lovley, D.R. Dissimilatory Fe(III) and Mn(IV) Reduction. Microbiol. Rev. 1991, 55, 259–287. [Google Scholar] [CrossRef]
- Köhler, I.; Konhauser, K.O.; Papineau, D.; Bekker, A.; Kappler, A. Biological Carbon Precursor to Diagenetic Siderite with Spherical Structures in Iron Formations. Nat. Commun. 2013, 4, 1741. [Google Scholar] [CrossRef]
- Beck, W.C.; Grossman, E.L.; Morse, J.W. Experimental Studies of Oxygen Isotope Fractionation in the Carbonic Acid System at 15°, 25°, and 40 °C. Geochim. Cosmochim. Acta 2005, 69, 3493–3503. [Google Scholar] [CrossRef]
- Guy, R.D.; Fogel, M.L.; Berry, J.A. Photosynthetic Fractionation of the Stable Isotopes of Oxygen and Carbon. Plant Physiol. 1993, 101, 37–47. [Google Scholar] [CrossRef]
- Bao, H.; Koch, P.L.; Thiemens, M.H. Oxygen Isotopic Composition of Ferric Oxides from Recent Soil, Hydrologic, and Marine Environments. Geochim. Cosmochim. Acta 2000, 64, 2221–2231. [Google Scholar] [CrossRef]
- Muehlenbachs, K. The Oxygen Isotopic Composition of the Oceans, Sediments and the Seafloor. Chem. Geol. 1998, 145, 263–273. [Google Scholar] [CrossRef]
- Ohmoto, H.; Watanabe, Y.; Kumazawa, K. Evidence from Massive Siderite Beds for a CO2-Rich Atmosphere before~1.8 Billion Years Ago. Nature 2004, 429, 395–399. [Google Scholar] [CrossRef]
- Craddock, P.R.; Dauphas, N. Iron and Carbon Isotope Evidence for Microbial Iron Respiration throughout the Archean. Earth Planet. Sci. Lett. 2011, 303, 121–132. [Google Scholar] [CrossRef]
- Teixeira, N.L.; Caxito, F.A.; Rosière, C.A.; Pecoits, E.; Vieira, L.; Frei, R.; Sial, A.N.; Poitrasson, F. Trace Elements and Isotope Geochemistry (C, O, Fe, Cr) of the Cauê Iron Formation, Quadrilátero Ferrífero, Brazil: Evidence for Widespread Microbial Dissimilatory Iron Reduction at the Archean/Paleoproterozoic Transition. Precambrian Res. 2017, 298, 39–55. [Google Scholar] [CrossRef]
- Tsikos, H.; Siahi, M.; Rafuza, S.; Mhlanga, X.R.; Oonk, P.B.H.; Papadopoulos, V.; Boyce, A.J.; Mason, P.R.D.; Harris, C.; Gröcke, D.R.; et al. Carbon Isotope Stratigraphy of Precambrian Iron Formations and Possible Significance for the Early Biological Pump. Gondwana Res. 2022, 109, 416–428. [Google Scholar] [CrossRef]
- Perry, E.C.; Ahmad, S.N. Oxygen and Carbon Isotope Geochemistry of the Krivoy Rog Iron Formation, Ukranian SSR. Lithos 1981, 14, 83–92. [Google Scholar] [CrossRef]
- Sial, A.N.; Ferreira, V.P.; Dealmeida, A.R.; Romano, A.W.; Parente, C.V.; Dacosta, M.L.; Santos, V.H. Carbon Isotope Fluctuations in Precambrian Carbonate Sequences of Several Localities in Brazil. An. Acad. Bras. Ciênc. 2000, 72, 539–558. [Google Scholar] [CrossRef]
- Garcia, T.I.; Gorton, M.P.; Li, H.; Wortmann, U.G.; Spooner, E.T.C. The Geochemistry of the 2.75 Ga-Old Helen Iron Formation, Wawa, Ontario—Insights into Iron Formation Deposition from Carbon Isotopes and Rare Earth Elements. Precambrian Res. 2016, 275, 357–368. [Google Scholar] [CrossRef]
- Bowins, R.J.; Crocket, J.H. Sulfur and Carbon Isotopes in Archean Banded Iron Formations: Implications for Sulfur Sources. Chem. Geol. 1994, 111, 307–323. [Google Scholar] [CrossRef]
- Smith, A.J.B. The Paleo-Environmental Significance of the Iron- Formations and Iron-Rich Mudstones of the Mesoarchean Witwatersrand-Mozaan Basin, South Africa. Master’s Thesis, University of Johannesburg, Johannesburg, South Africa, 2007. [Google Scholar]
- Smith, A.J.B.; Beukes, N.J.; Gutzmer, J. The Composition and Depositional Environments of Mesoarchean Iron Formations of the West Rand Group of the Witwatersrand Supergroup, South Africa. Econ. Geol. 2013, 108, 111–134. [Google Scholar] [CrossRef]








Disclaimer/Publisher’s Note: The statements, opinions and data contained in all publications are solely those of the individual author(s) and contributor(s) and not of MDPI and/or the editor(s). MDPI and/or the editor(s) disclaim responsibility for any injury to people or property resulting from any ideas, methods, instructions or products referred to in the content. |
© 2025 by the authors. Licensee MDPI, Basel, Switzerland. This article is an open access article distributed under the terms and conditions of the Creative Commons Attribution (CC BY) license (https://creativecommons.org/licenses/by/4.0/).
Share and Cite
Tang, R.; Chen, X.; Cao, J.; Chen, Y. Depositional Environment and Biological Activity Implications of the Jining BIF, Western Shandong Province, China: Evidence from Elements and C-O Isotopic Compositions. Minerals 2025, 15, 1298. https://doi.org/10.3390/min15121298
Tang R, Chen X, Cao J, Chen Y. Depositional Environment and Biological Activity Implications of the Jining BIF, Western Shandong Province, China: Evidence from Elements and C-O Isotopic Compositions. Minerals. 2025; 15(12):1298. https://doi.org/10.3390/min15121298
Chicago/Turabian StyleTang, Rongzhen, Xinkai Chen, Jiashuo Cao, and Yanjing Chen. 2025. "Depositional Environment and Biological Activity Implications of the Jining BIF, Western Shandong Province, China: Evidence from Elements and C-O Isotopic Compositions" Minerals 15, no. 12: 1298. https://doi.org/10.3390/min15121298
APA StyleTang, R., Chen, X., Cao, J., & Chen, Y. (2025). Depositional Environment and Biological Activity Implications of the Jining BIF, Western Shandong Province, China: Evidence from Elements and C-O Isotopic Compositions. Minerals, 15(12), 1298. https://doi.org/10.3390/min15121298

