Provenance and Uranium Sources in the Lower Cretaceous Huanhe Formation of Northern Ordos Basin: Constraints from Detrital Zircon U–Pb Geochronology and Hf Isotopes
Abstract
1. Introduction
2. Regional Geological Setting
2.1. Ordos Basin
2.2. Geological Background of the Study Area
3. Sampling and Methods
3.1. Sample Collection
3.2. Rare Earth Element
3.3. Zircon LA-ICP-MS Chronology and Hf Isotope Analysis
4. Results
4.1. Field Observations
4.2. Petrographic Analysis
4.3. Rare Earth Elements
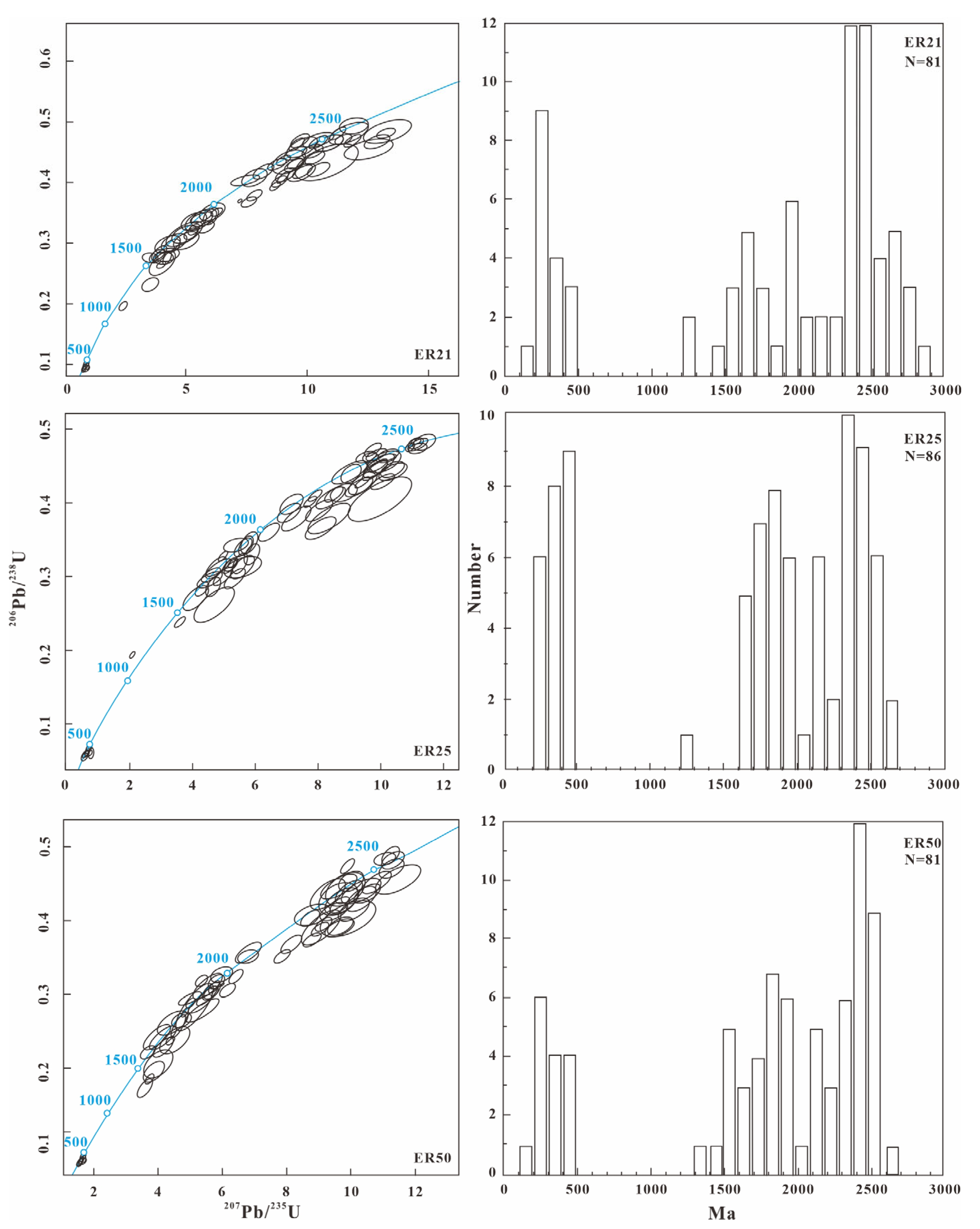
4.4. Detrital Zircon U-Pb Dating Results
4.5. Hf Isotope Composition of Detrital Zircons
5. Discussion
5.1. Provenance of Detrital Zircon
5.2. Geodynamic Setting
5.3. Implications for Initial Uranium Sources
6. Conclusions
Author Contributions
Funding
Data Availability Statement
Acknowledgments
Conflicts of Interest
Appendix A
| ER1 | ER2 | ER3 | ER4 | ER5 | ER6 | ER7 | ER8 | ER9 | ER10 | |
|---|---|---|---|---|---|---|---|---|---|---|
| La | 58.90 | 158.70 | 144.80 | 41.60 | 16.60 | 9.20 | 391.00 | 34.20 | 161.80 | 59.20 |
| Ce | 103.20 | 301.00 | 282.80 | 77.80 | 27.40 | 19.80 | 712.80 | 62.50 | 288.40 | 98.60 |
| Pr | 10.40 | 32.70 | 31.80 | 6.80 | 3.24 | 3.04 | 62.98 | 6.58 | 30.60 | 11.20 |
| Nd | 36.00 | 122.10 | 111.90 | 21.40 | 12.00 | 13.10 | 192.80 | 22.60 | 121.80 | 35.80 |
| Sm | 5.92 | 16.90 | 15.10 | 2.71 | 2.11 | 2.94 | 20.60 | 3.54 | 17.10 | 6.10 |
| Eu | 2.36 | 2.21 | 2.77 | 0.91 | 1.04 | 1.04 | 3.75 | 0.63 | 2.18 | 2.27 |
| Gd | 6.52 | 16.10 | 13.50 | 2.94 | 1.83 | 2.46 | 26.30 | 3.35 | 16.30 | 12.40 |
| Tb | 1.12 | 2.11 | 1.37 | 0.35 | 0.31 | 0.50 | 2.47 | 0.50 | 2.27 | 1.21 |
| Dy | 4.97 | 7.21 | 2.84 | 1.13 | 1.36 | 2.55 | 5.81 | 2.08 | 7.36 | 4.97 |
| Ho | 0.93 | 1.18 | 0.24 | 0.18 | 0.26 | 0.54 | 0.59 | 0.37 | 1.24 | 0.94 |
| Er | 2.81 | 4.16 | 0.72 | 0.70 | 0.83 | 1.65 | 1.64 | 1.13 | 4.24 | 2.74 |
| Tm | 0.42 | 0.46 | 0.06 | 0.09 | 0.12 | 0.27 | 0.15 | 0.17 | 0.45 | 0.19 |
| Yb | 3.04 | 3.16 | 0.51 | 0.60 | 0.84 | 1.88 | 1.11 | 1.14 | 3.15 | 2.84 |
| Lu | 0.45 | 0.46 | 0.07 | 0.09 | 0.11 | 0.26 | 0.13 | 0.17 | 0.47 | 0.25 |
| Y | 25.80 | 27.60 | 5.33 | 5.24 | 7.48 | 15.40 | 18.80 | 10.50 | 27.40 | 25.60 |
| Th | 1.84 | 8.62 | 29.95 | 15.86 | 4.65 | 0.66 | 128.96 | 23.70 | 8.76 | 1.82 |
| U | 2.92 | 12.37 | 3.21 | 0.84 | 1.27 | 1.33 | 5.86 | 11.40 | 12.47 | 2.88 |
| Eu/Eu* | 1.66 | 0.59 | 0.86 | 1.40 | 2.33 | 1.70 | 0.71 | 0.81 | 0.57 | 1.15 |
| LREE | 216.78 | 633.61 | 589.17 | 151.22 | 62.39 | 49.12 | 1383.93 | 130.05 | 621.88 | 213.17 |
| HREE | 20.26 | 34.84 | 19.31 | 6.08 | 5.66 | 10.11 | 38.2 | 8.91 | 35.48 | 25.54 |
| LREE/HREE | 10.70 | 18.19 | 30.51 | 24.87 | 11.02 | 4.86 | 36.23 | 14.60 | 17.53 | 8.35 |
| ΣREE | 237.04 | 668.45 | 608.48 | 157.30 | 68.05 | 59.23 | 1422.13 | 138.96 | 657.36 | 238.71 |
| Spot. No | Th | U | Th/U | 207Pb/206Pb | 2s(abs) | 207Pb/235U | 2s(abs) | 206Pb/238U | 2s(abs) | (Concordant) % |
|---|---|---|---|---|---|---|---|---|---|---|
| ER21-02 | 50 | 72 | 0.69 | 1476 | 201.08 | 1574 | 82.65 | 1633 | 80.41 | 96.30 |
| ER21-03 | 108 | 216 | 0.50 | 2553 | 70.16 | 2479 | 37.75 | 2364 | 56.01 | 95.30 |
| ER21-05 | 44 | 55 | 0.80 | 1538 | 249.76 | 1470 | 89.88 | 1377 | 85.58 | 93.50 |
| ER21-06 | 138 | 461 | 0.30 | 2372 | 59.15 | 2174 | 32.60 | 1957 | 44.26 | 89.50 |
| ER21-07 | 104 | 208 | 0.50 | 2492 | 70.33 | 2394 | 40.15 | 2288 | 66.94 | 95.50 |
| ER21-08 | 670 | 1340 | 0.50 | 307 | 194.98 | 309 | 18.99 | 297 | 10.08 | 95.90 |
| ER21-09 | 410 | 513 | 0.80 | 2548 | 46.27 | 2553 | 23.62 | 2554 | 59.52 | 99.90 |
| ER21-12 | 226 | 226 | 1.00 | 2477 | 73.50 | 2393 | 41.06 | 2319 | 64.55 | 96.90 |
| ER21-14 | 182 | 260 | 0.70 | 1923 | 109.61 | 1853 | 51.87 | 1788 | 59.69 | 96.40 |
| ER21-16 | 153 | 153 | 1.00 | 2459 | 86.10 | 2357 | 47.63 | 2254 | 69.83 | 95.50 |
| ER21-19 | 68 | 338 | 0.20 | 1952 | 88.19 | 1891 | 43.16 | 1822 | 58.08 | 96.30 |
| ER21-26 | 167 | 239 | 0.80 | 1758 | 94.74 | 1647 | 46.58 | 1528 | 40.09 | 92.50 |
| ER21-28 | 28 | 31 | 0.90 | 1252 | 397.89 | 1567 | 121.34 | 1676 | 134.15 | 93.30 |
| ER21-31 | 213 | 266 | 0.70 | 2275 | 72.45 | 2220 | 38.19 | 2086 | 57.31 | 93.80 |
| ER21-32 | 706 | 784 | 0.60 | 22 | 241.39 | 260 | 24.26 | 273 | 10.11 | 95.40 |
| ER21-33 | 223 | 319 | 2.10 | 2430 | 68.17 | 2362 | 35.97 | 2201 | 55.73 | 93.00 |
| ER21-34 | 110 | 183 | 0.90 | 470 | 424.04 | 311 | 52.46 | 248 | 16.98 | 89.60 |
| ER21-35 | 86 | 41 | 1.10 | 2390 | 158.91 | 2313 | 86.34 | 2139 | 104.93 | 92.20 |
| ER21-36 | 360 | 400 | 2.61 | 2361 | 55.10 | 2442 | 32.90 | 2464 | 64.59 | 99.10 |
| ER21-38 | 229 | 208 | 0.80 | 1284 | 164.88 | 1247 | 60.09 | 1191 | 51.84 | 95.40 |
| ER21-39 | 47 | 18 | 0.80 | 2483 | 212.68 | 2509 | 124.08 | 2474 | 190.45 | 98.60 |
| ER21-40 | 83 | 104 | 1.10 | 1963 | 191.11 | 1866 | 91.05 | 1724 | 75.88 | 92.10 |
| ER21-41 | 185 | 231 | 1.00 | 1619 | 70.56 | 1665 | 36.32 | 1603 | 65.70 | 98.40 |
| ER21-42 | 376 | 342 | 0.50 | 2385 | 61.40 | 2405 | 34.55 | 2355 | 48.61 | 97.90 |
| ER21-43 | 510 | 510 | 0.90 | 548 | 192.22 | 476 | 34.03 | 436 | 16.94 | 91.20 |
| ER21-44 | 217 | 433 | 1.30 | 2411 | 59.29 | 2401 | 30.54 | 2326 | 51.77 | 96.90 |
| ER21-45 | 360 | 400 | 0.80 | 2361 | 55.10 | 2442 | 32.90 | 2464 | 64.59 | 99.10 |
| ER21-47 | 99 | 76 | 0.60 | 1734 | 117.47 | 1782 | 54.94 | 1794 | 96.47 | 96.20 |
| ER21-49 | 185 | 231 | 0.80 | 2359 | 70.56 | 2465 | 36.32 | 2503 | 65.70 | 98.40 |
| ER21-50 | 264 | 440 | 0.30 | 582 | 249.42 | 464 | 37.12 | 419 | 19.46 | 89.70 |
| ER21-52 | 58 | 191 | 0.20 | 1682 | 117.12 | 2336 | 54.21 | 2198 | 46.92 | 96.50 |
| ER21-53 | 80 | 800 | 0.50 | 346 | 148.85 | 288 | 17.23 | 261 | 7.09 | 90.40 |
| ER21-54 | 65 | 323 | 4.00 | 2277 | 83.85 | 2142 | 46.47 | 2028 | 47.55 | 94.50 |
| ER21-55 | 63 | 126 | 0.59 | 1976 | 110.37 | 1914 | 51.21 | 1854 | 65.12 | 96.80 |
| ER21-56 | 512 | 128 | 0.00 | 1785 | 75.31 | 1878 | 34.52 | 1964 | 41.69 | 95.90 |
| ER21-57 | 20 | 34 | 0.69 | 1728 | 272.03 | 1793 | 102.44 | 1790 | 106.90 | 99.80 |
| ER21-59 | 37 | 261 | 0.14 | 1746 | 141.71 | 1701 | 101.34 | 1665 | 111.73 | 96.60 |
| ER21-60 | 71 | 353 | 0.20 | 2033 | 82.98 | 1986 | 34.46 | 1949 | 48.87 | 98.10 |
| ER21-61 | 196 | 115 | 1.70 | 1828 | 77.02 | 1703 | 50.11 | 1604 | 63.84 | 92.90 |
| ER21-62 | 61 | 66 | 0.92 | 1916 | 123.53 | 1862 | 96.14 | 1813 | 107.77 | 94.00 |
| ER21-63 | 52 | 86 | 0.60 | 1670 | 166.81 | 1709 | 66.56 | 1704 | 79.51 | 99.70 |
| ER21-64 | 523 | 564 | 0.93 | 1807 | 50.13 | 1770 | 32.11 | 1748 | 46.45 | 93.90 |
| ER21-65 | 69 | 677 | 0.10 | 1822 | 55.61 | 1745 | 21.04 | 1640 | 28.26 | 94.70 |
| ER21-67 | 24 | 119 | 0.10 | 1963 | 191.11 | 1845 | 91.05 | 1864 | 75.88 | 99.00 |
| ER21-68 | 881 | 729 | 1.20 | 1848 | 56.81 | 1905 | 23.56 | 1853 | 34.04 | 96.60 |
| ER21-69 | 37 | 62 | 1.20 | 1863 | 257.68 | 1725 | 105.90 | 1573 | 76.37 | 94.00 |
| ER21-70 | 169 | 228 | 0.81 | 1754 | 93.56 | 1643 | 47.26 | 1529 | 41.03 | 90.60 |
| ER21-71 | 121 | 108 | 1.12 | 1970 | 96.29 | 1944 | 47.15 | 1914 | 34.02 | 98.00 |
| ER21-72 | 226 | 496 | 0.45 | 2165 | 79.63 | 2121 | 42.27 | 2067 | 37.10 | 97.00 |
| ER21-73 | 44 | 255 | 0.17 | 1876 | 87.04 | 1638 | 40.50 | 1452 | 33.93 | 87.00 |
| ER21-74 | 285 | 1325 | 0.22 | 2384 | 69.44 | 2539 | 40.33 | 2726 | 49.47 | 92.00 |
| ER21-75 | 130 | 172 | 0.76 | 76 | 211.08 | 256 | 21.55 | 276 | 7.72 | 92.00 |
| ER21-76 | 85 | 142 | 0.60 | 1567 | 83.33 | 1658 | 36.43 | 1733 | 31.00 | 95.00 |
| ER21-77 | 439 | 392 | 1.12 | 502 | 188.87 | 334 | 24.02 | 311 | 7.96 | 92.00 |
| ER21-78 | 305 | 182 | 1.68 | 2325 | 62.50 | 2344 | 35.00 | 2357 | 39.55 | 99.00 |
| ER21-79 | 13 | 33 | 0.40 | 1576 | 131.48 | 1596 | 56.61 | 1619 | 44.11 | 98.00 |
| ER21-80 | 198 | 746 | 0.27 | 1789 | 64.82 | 1765 | 31.14 | 1738 | 29.88 | 98.00 |
| ER21-81 | 60 | 108 | 0.56 | 2605 | 68.21 | 2655 | 42.35 | 2710 | 51.39 | 97.00 |
| ER21-82 | 54 | 135 | 0.40 | 2361 | 63.74 | 2326 | 39.00 | 2281 | 43.25 | 98.00 |
| ER21-83 | 281 | 438 | 0.64 | 254 | 168.50 | 275 | 17.35 | 278 | 6.62 | 98.00 |
| ER21-84 | 32 | 76 | 0.42 | 2602 | 79.48 | 2577 | 59.95 | 2529 | 90.21 | 98.00 |
| ER21-85 | 146 | 192 | 0.76 | 143 | 224.04 | 267 | 21.70 | 283 | 7.22 | 94.00 |
| ER21-86 | 57 | 107 | 0.53 | 332 | 340.70 | 179 | 22.74 | 158 | 6.20 | 87.00 |
| ER21-87 | 98 | 153 | 0.64 | 300 | 201.83 | 271 | 21.34 | 267 | 7.74 | 98.00 |
| ER21-88 | 104 | 210 | 0.50 | 1692 | 69.91 | 1705 | 31.44 | 1708 | 27.30 | 99.00 |
| ER21-89 | 72 | 186 | 0.39 | 2409 | 60.18 | 2260 | 33.68 | 2091 | 34.86 | 92.00 |
| ER21-90 | 26 | 129 | 0.20 | 2087 | 77.93 | 2068 | 52.73 | 2025 | 54.44 | 97.00 |
| ER21-91 | 55 | 104 | 0.53 | 2318 | 69.60 | 2351 | 38.58 | 2379 | 44.51 | 98.00 |
| ER21-92 | 371 | 510 | 0.73 | 287 | 153.69 | 290 | 17.52 | 289 | 7.34 | 99.00 |
| ER21-93 | 168 | 224 | 0.75 | 2343 | 68.06 | 2281 | 36.72 | 2207 | 42.19 | 96.00 |
| ER21-94 | 79 | 116 | 0.68 | 1603 | 101.39 | 1614 | 43.84 | 1618 | 29.44 | 99.00 |
| ER21-95 | 51 | 34 | 1.53 | 2139 | 118.37 | 2125 | 77.53 | 2074 | 76.42 | 97.00 |
| ER21-96 | 235 | 218 | 1.08 | 1676 | 89.19 | 1481 | 41.15 | 1342 | 35.25 | 90.00 |
| ER21-97 | 33 | 45 | 0.73 | 1635 | 116.36 | 1632 | 48.11 | 1637 | 43.37 | 99.00 |
| ER21-98 | 62 | 115 | 0.54 | 550 | 198.12 | 438 | 30.80 | 420 | 11.30 | 95.00 |
| ER21-99 | 70 | 160 | 0.44 | 309 | 248.12 | 262 | 24.05 | 255 | 6.90 | 97.00 |
| ER21-100 | 95 | 131 | 0.72 | 2500 | 70.37 | 2472 | 39.96 | 2442 | 43.42 | 98.00 |
| ER21-101 | 17 | 50 | 0.33 | 2607 | 87.35 | 2610 | 52.20 | 2608 | 59.84 | 99.00 |
| ER21-102 | 16 | 48 | 0.34 | 478 | 383.29 | 364 | 44.96 | 298 | 13.27 | 80.00 |
| ER21-103 | 69 | 114 | 0.61 | 2592 | 88.89 | 2578 | 50.89 | 2559 | 63.30 | 99.00 |
| ER25-01 | 59 | 591 | 1.70 | 1701 | 85.91 | 1542 | 33.56 | 1394 | 40.94 | 90.00 |
| ER25-02 | 534 | 314 | 0.80 | 1924 | 76.68 | 1870 | 34.58 | 1781 | 46.28 | 95.10 |
| ER25-05 | 118 | 148 | 0.40 | 2439 | 76.95 | 2450 | 33.46 | 2438 | 81.92 | 99.50 |
| ER25-06 | 177 | 443 | 1.60 | 1719 | 79.13 | 1694 | 40.86 | 1634 | 51.05 | 96.40 |
| ER25-07 | 48 | 30 | 0.90 | 2492 | 173.42 | 2402 | 98.33 | 2300 | 146.76 | 95.70 |
| ER25-08 | 192 | 213 | 0.10 | 2119 | 85.73 | 2083 | 49.84 | 2000 | 64.37 | 95.90 |
| ER25-09 | 25 | 245 | 1.20 | 2457 | 72.61 | 2447 | 37.30 | 2382 | 65.16 | 97.30 |
| ER25-10 | 65 | 54 | 0.60 | 2402 | 136.01 | 2295 | 70.95 | 2124 | 101.55 | 92.30 |
| ER25-11 | 75 | 125 | 0.60 | 1676 | 156.13 | 1660 | 61.61 | 1587 | 65.33 | 95.50 |
| ER25-12 | 268 | 447 | 1.00 | 243 | 277.28 | 314 | 30.48 | 304 | 10.43 | 97.00 |
| ER25-13 | 169 | 169 | 0.20 | 1822 | 112.13 | 1801 | 51.06 | 1724 | 56.15 | 95.70 |
| ER25-14 | 36 | 181 | 0.50 | 1685 | 118.05 | 1761 | 53.77 | 1774 | 46.95 | 99.20 |
| ER25-15 | 153 | 306 | 0.70 | 2378 | 54.01 | 2344 | 33.54 | 2252 | 59.64 | 96.00 |
| ER25-16 | 227 | 324 | 0.50 | 51 | 336.09 | 267 | 34.81 | 287 | 17.00 | 92.80 |
| ER25-17 | 215 | 429 | 1.40 | 1858 | 69.24 | 1876 | 33.70 | 1825 | 55.39 | 97.20 |
| ER25-18 | 749 | 535 | 0.30 | 366 | 279.15 | 307 | 31.63 | 288 | 12.05 | 93.50 |
| ER25-20 | 129 | 430 | 0.50 | 377 | 225.41 | 450 | 34.73 | 421 | 16.10 | 93.40 |
| ER25-23 | 75 | 141 | 0.40 | 1881 | 87.90 | 1828 | 52.18 | 1781 | 50.35 | 92.60 |
| ER25-24 | 353 | 891 | 0.90 | 1835 | 43.35 | 1770 | 25.30 | 1715 | 49.69 | 98.80 |
| ER25-26 | 382 | 424 | 0.60 | 631 | 244.22 | 488 | 48.56 | 443 | 17.15 | 90.40 |
| ER25-27 | 526 | 876 | 0.60 | 2174 | 44.54 | 2228 | 22.74 | 2191 | 46.87 | 98.40 |
| ER25-28 | 385 | 642 | 1.00 | 375 | 180.75 | 437 | 26.62 | 426 | 14.13 | 97.60 |
| ER25-29 | 455 | 455 | 0.80 | 2442 | 39.01 | 2416 | 32.88 | 2317 | 52.60 | 95.80 |
| ER25-30 | 148 | 185 | 0.70 | 2386 | 76.88 | 2400 | 44.20 | 2324 | 65.38 | 96.80 |
| ER25-31 | 77 | 110 | 0.30 | 1990 | 115.89 | 1878 | 56.15 | 1718 | 64.67 | 91.10 |
| ER25-32 | 268 | 892 | 0.70 | 1851 | 51.81 | 1878 | 25.30 | 1833 | 39.98 | 97.60 |
| ER25-33 | 165 | 236 | 0.60 | 1871 | 74.54 | 1878 | 38.54 | 1888 | 64.68 | 95.80 |
| ER25-34 | 393 | 655 | 1.10 | 317 | 330.92 | 324 | 33.78 | 315 | 13.22 | 97.10 |
| ER25-35 | 446 | 405 | 0.40 | 2474 | 46.41 | 2473 | 26.33 | 2410 | 42.90 | 97.40 |
| ER25-38 | 303 | 758 | 0.60 | 2002 | 57.08 | 1895 | 25.56 | 1780 | 39.46 | 93.70 |
| ER25-39 | 38 | 63 | 1.20 | 1867 | 258.12 | 1727 | 106.20 | 1562 | 76.65 | 90.00 |
| ER25-40 | 133 | 111 | 1.00 | 2175 | 109.10 | 2164 | 63.03 | 2149 | 107.40 | 99.30 |
| ER25-41 | 802 | 802 | 0.80 | 2253 | 45.00 | 2250 | 29.39 | 2229 | 46.93 | 99.00 |
| ER25-43 | 130 | 162 | 0.14 | 2359 | 86.57 | 2217 | 50.62 | 2075 | 96.23 | 93.40 |
| ER25-46 | 228 | 285 | 0.80 | 2500 | 58.88 | 2427 | 38.72 | 2325 | 59.23 | 95.70 |
| ER25-47 | 163 | 233 | 0.70 | 670 | 458.01 | 305 | 54.07 | 271 | 22.10 | 88.20 |
| ER25-49 | 73 | 734 | 0.10 | 435 | 185.86 | 418 | 30.30 | 397 | 14.44 | 94.80 |
| ER25-50 | 53 | 178 | 0.30 | 2360 | 84.66 | 2270 | 41.11 | 2153 | 65.59 | 94.70 |
| ER25-51 | 204 | 681 | 0.30 | 437 | 220.31 | 449 | 33.94 | 424 | 16.12 | 94.30 |
| ER25-52 | 76 | 189 | 0.40 | 435 | 185.86 | 2368 | 30.30 | 2298 | 14.44 | 94.50 |
| ER25-53 | 181 | 439 | 1.59 | 1711 | 78.95 | 1692 | 40.14 | 1614 | 51.14 | 94.40 |
| ER25-54 | 750 | 536 | 1.40 | 243 | 277.28 | 307 | 30.48 | 302 | 10.43 | 93.60 |
| ER25-55 | 128 | 425 | 0.30 | 377 | 225.41 | 450 | 34.73 | 421 | 16.10 | 93.40 |
| ER25-57 | 171 | 171 | 1.00 | 2303 | 98.35 | 2336 | 50.22 | 2246 | 77.80 | 96.10 |
| ER25-58 | 37 | 179 | 0.14 | 1822 | 113.11 | 1803 | 51.61 | 1725 | 55.93 | 94.80 |
| ER25-59 | 150 | 299 | 0.50 | 1870 | 58.88 | 1792 | 38.75 | 1725 | 59.55 | 95.70 |
| ER25-60 | 152 | 190 | 0.80 | 1869 | 76.68 | 1878 | 44.24 | 1887 | 64.50 | 96.80 |
| ER25-61 | 75 | 107 | 0.70 | 1791 | 114. 54 | 1747 | 56.16 | 1739 | 64.63 | 91.10 |
| ER25-62 | 146 | 112 | 1.30 | 1836 | 106.60 | 1821 | 63.14 | 1600 | 69.50 | 99.30 |
| ER25-64 | 54 | 181 | 0.30 | 1681 | 117.12 | 2336 | 54.20 | 2198 | 46.95 | 96.00 |
| ER25-65 | 209 | 697 | 0.30 | 435 | 185.86 | 432 | 30.30 | 397 | 14.44 | 94.80 |
| ER25-68 | 383 | 425 | 0.90 | 367 | 376.65 | 491 | 34.73 | 421 | 16.10 | 93.40 |
| ER25-70 | 383 | 425 | 0.90 | 1867 | 248.16 | 1887 | 107.47 | 1848 | 76.65 | 92.50 |
| ER25-71 | 62 | 112 | 0.55 | 2506 | 103.86 | 2471 | 56.84 | 2428 | 59.03 | 98.00 |
| ER25-72 | 36 | 47 | 0.77 | 191 | 370.33 | 334 | 32.86 | 287 | 13.76 | 84.00 |
| ER25-73 | 15 | 22 | 0.68 | 1765 | 212.04 | 1696 | 92.96 | 1670 | 74.98 | 98.00 |
| ER25-74 | 57 | 181 | 0.31 | 1911 | 101.85 | 1942 | 47.85 | 1974 | 48.23 | 98.00 |
| ER25-75 | 120 | 211 | 0.57 | 2435 | 87.04 | 2397 | 48.70 | 2354 | 65.46 | 98.00 |
| ER25-76 | 38 | 83 | 0.46 | 2500 | 89.20 | 2468 | 48.14 | 2444 | 58.76 | 99.00 |
| ER25-77 | 52 | 89 | 0.58 | 1933 | 95.84 | 1905 | 47.58 | 1937 | 50.00 | 98.00 |
| ER25-78 | 47 | 103 | 0.46 | 2622 | 78.24 | 2393 | 47.19 | 2134 | 63.00 | 88.00 |
| ER25-79 | 197 | 208 | 0.95 | 295 | 212.01 | 319 | 24.38 | 324 | 10.97 | 98.00 |
| ER25-80 | 69 | 89 | 0.78 | 2425 | 75.62 | 2444 | 43.63 | 2463 | 59.40 | 99.00 |
| ER25-81 | 90 | 428 | 0.21 | 2574 | 71.92 | 2571 | 42.21 | 2562 | 56.33 | 99.00 |
| ER25-82 | 104 | 678 | 0.15 | 2366 | 72.84 | 2319 | 40.85 | 2261 | 51.22 | 97.00 |
| ER25-83 | 85 | 289 | 0.29 | 1820 | 77.47 | 1736 | 36.78 | 1661 | 26.30 | 95.00 |
| ER25-84 | 225 | 682 | 0.33 | 257 | 157.39 | 288 | 17.89 | 291 | 9.84 | 98.00 |
| ER25-85 | 67 | 92 | 0.73 | 2429 | 79.94 | 2372 | 43.81 | 2297 | 41.74 | 96.00 |
| ER25-86 | 63 | 113 | 0.56 | 1744 | 101.70 | 1279 | 54.79 | 1012 | 47.32 | 76.00 |
| ER25-87 | 8 | 27 | 0.30 | 2498 | 88.12 | 2497 | 51.51 | 2494 | 62.31 | 99.00 |
| ER25-88 | 88 | 102 | 0.86 | 2600 | 73.30 | 2450 | 37.72 | 2345 | 40.80 | 95.00 |
| ER25-89 | 80 | 82 | 0.98 | 2129 | 83.80 | 2094 | 41.07 | 2059 | 38.71 | 98.00 |
| ER25-90 | 89 | 136 | 0.65 | 2516 | 64.51 | 2506 | 37.06 | 2484 | 38.75 | 99.00 |
| ER25-91 | 85 | 157 | 0.54 | 2406 | 69.75 | 2410 | 39.71 | 2413 | 45.77 | 99.00 |
| ER25-92 | 142 | 178 | 0.80 | 2494 | 67.90 | 2490 | 39.64 | 2480 | 45.24 | 99.00 |
| ER25-93 | 84 | 89 | 0.94 | 1265 | 101.85 | 1331 | 42.05 | 1367 | 29.94 | 97.00 |
| ER25-94 | 59 | 303 | 0.20 | 1869 | 75.31 | 1791 | 37.12 | 1719 | 32.66 | 95.00 |
| ER25-95 | 277 | 404 | 0.69 | 302 | 166.65 | 280 | 17.47 | 277 | 6.19 | 99.00 |
| ER25-96 | 629 | 736 | 0.85 | 2173 | 64.20 | 2171 | 40.03 | 2157 | 45.31 | 99.00 |
| ER25-97 | 52 | 68 | 0.76 | 1717 | 94.45 | 1712 | 46.03 | 1699 | 34.75 | 99.00 |
| ER25-98 | 143 | 150 | 0.95 | 1725 | 75.93 | 1733 | 34.13 | 1733 | 30.05 | 99.00 |
| ER25-99 | 143 | 149 | 0.96 | 457 | 168.50 | 438 | 27.25 | 432 | 10.46 | 98.00 |
| ER25-100 | 56 | 117 | 0.48 | 600 | 221.27 | 457 | 33.82 | 440 | 11.91 | 96.00 |
| ER25-101 | 67 | 282 | 0.24 | 1791 | 72.23 | 1771 | 33.45 | 1745 | 30.19 | 98.00 |
| ER25-102 | 47 | 76 | 0.62 | 2346 | 83.79 | 2375 | 44.32 | 2393 | 47.43 | 99.00 |
| ER25-103 | 24 | 24 | 1.00 | 2442 | 108.94 | 2479 | 58.82 | 2519 | 59.59 | 98.00 |
| ER25-104 | 192 | 218 | 0.88 | 261 | 185.16 | 289 | 20.11 | 293 | 7.55 | 98.00 |
| ER25-105 | 53 | 310 | 0.17 | 2357 | 79.47 | 2278 | 42.74 | 2173 | 41.15 | 95.00 |
| ER25-106 | 26 | 271 | 0.10 | 1943 | 79.32 | 1904 | 38.46 | 1855 | 35.75 | 97.00 |
| ER25-107 | 11 | 22 | 0.50 | 500 | 475.89 | 433 | 52.31 | 286 | 16.51 | 58.00 |
| ER25-108 | 141 | 181 | 0.78 | 2480 | 66.67 | 2479 | 36.43 | 2463 | 43.00 | 99.00 |
| ER25-109 | 38 | 55 | 0.69 | 1666 | 115.59 | 1629 | 50.46 | 1596 | 37.38 | 97.00 |
| ER50-01 | 16 | 27 | 0.59 | 1529 | 295.85 | 1586 | 110.95 | 1601 | 107.78 | 97.40 |
| ER50-02 | 119 | 199 | 0.60 | 2141 | 61.81 | 2095 | 33.02 | 1994 | 49.33 | 95.10 |
| ER50-03 | 67 | 673 | 0.10 | 1825 | 56.62 | 1746 | 20.73 | 1639 | 29.23 | 93.70 |
| ER50-04 | 644 | 1287 | 0.50 | 1843 | 42.95 | 1835 | 22.18 | 1795 | 33.13 | 97.80 |
| ER50-05 | 42 | 35 | 1.20 | 2413 | 130.40 | 2220 | 61.13 | 1966 | 103.33 | 87.80 |
| ER50-06 | 143 | 478 | 0.30 | 1946 | 52.18 | 1956 | 27.44 | 1936 | 42.79 | 99.00 |
| ER50-07 | 86 | 286 | 0.30 | 2408 | 52.06 | 2341 | 33.13 | 2223 | 43.57 | 94.80 |
| ER50-08 | 20 | 98 | 0.20 | 2492 | 83.95 | 2386 | 42.60 | 2227 | 63.80 | 93.20 |
| ER50-11 | 28 | 93 | 0.30 | 2236 | 127.42 | 2063 | 68.99 | 1896 | 73.75 | 91.50 |
| ER50-14 | 34 | 114 | 0.30 | 1942 | 127.10 | 1989 | 53.63 | 2002 | 56.76 | 99.40 |
| ER50-15 | 23 | 38 | 0.61 | 1536 | 211.46 | 1546 | 77.38 | 1513 | 72.73 | 97.80 |
| ER50-16 | 95 | 473 | 0.20 | 2313 | 56.03 | 2222 | 39.36 | 2088 | 44.47 | 93.80 |
| ER50-21 | 121 | 151 | 0.80 | 2541 | 64.46 | 2512 | 39.24 | 2413 | 61.75 | 96.00 |
| ER50-23 | 237 | 263 | 0.90 | 2108 | 73.82 | 2056 | 35.27 | 1925 | 48.43 | 93.40 |
| ER50-26 | 195 | 195 | 1.00 | 165 | 427.40 | 461 | 62.93 | 443 | 19.06 | 95.90 |
| ER50-28 | 319 | 456 | 0.70 | 2363 | 48.46 | 2246 | 52.19 | 2024 | 96.95 | 89.60 |
| ER50-30 | 300 | 214 | 1.40 | 252 | 265.67 | 441 | 42.45 | 464 | 23.63 | 94.90 |
| ER50-32 | 877 | 731 | 1.20 | 1850 | 57.79 | 1909 | 23.57 | 1851 | 34.04 | 96.90 |
| ER50-33 | 183 | 261 | 0.70 | 2438 | 64.78 | 2382 | 32.27 | 2180 | 46.62 | 91.10 |
| ER50-35 | 89 | 223 | 0.40 | 2255 | 115.03 | 2334 | 68.85 | 2313 | 74.17 | 99.10 |
| ER50-36 | 121 | 121 | 1.00 | 2430 | 78.82 | 2498 | 35.26 | 2432 | 72.10 | 97.30 |
| ER50-38 | 240 | 480 | 0.50 | 2439 | 48.38 | 2399 | 27.01 | 2253 | 46.40 | 93.70 |
| ER50-39 | 340 | 567 | 0.60 | 2148 | 64.83 | 2009 | 25.01 | 1799 | 40.52 | 89.00 |
| ER50-45 | 180 | 257 | 0.70 | 105 | 368.35 | 278 | 37.47 | 277 | 16.01 | 99.50 |
| ER50-47 | 140 | 280 | 0.20 | 1927 | 94.63 | 1954 | 40.42 | 1965 | 47.91 | 99.40 |
| ER50-48 | 61 | 307 | 0.90 | 1841 | 86.25 | 1620 | 38.78 | 1435 | 42.02 | 87.90 |
| ER50-49 | 176 | 195 | 1.10 | 2416 | 93.77 | 2391 | 41.14 | 2334 | 64.03 | 97.60 |
| ER50-52 | 149 | 135 | 2.30 | 1717 | 74.19 | 1713 | 47.41 | 1707 | 71.92 | 97.30 |
| ER50-53 | 163 | 71 | 0.50 | 1831 | 112.33 | 1766 | 54.67 | 1714 | 99.30 | 98.10 |
| ER50-55 | 728 | 1456 | 0.10 | 343 | 187.45 | 283 | 21.59 | 271 | 8.76 | 95.60 |
| ER50-57 | 79 | 789 | 0.71 | 2402 | 31.53 | 2459 | 18.81 | 2534 | 45.12 | 97.00 |
| ER50-58 | 17 | 24 | 0.10 | 2374 | 99.77 | 2405 | 53.69 | 2432 | 90.67 | 98.90 |
| ER50-59 | 14 | 137 | 0.40 | 1848 | 95.19 | 1894 | 61.02 | 1937 | 66.13 | 97.80 |
| ER50-60 | 51 | 127 | 0.20 | 1785 | 75.25 | 1878 | 34.71 | 1964 | 41.88 | 95.50 |
| ER50-61 | 8 | 40 | 0.60 | 2380 | 101.54 | 2388 | 57.73 | 2403 | 85.25 | 95.50 |
| ER50-62 | 89 | 149 | 0.60 | 1793 | 74.62 | 1779 | 59.06 | 1779 | 83.50 | 99.40 |
| ER50-63 | 98 | 163 | 1.00 | 69 | 310.49 | 253 | 25.72 | 263 | 13.49 | 99.90 |
| ER50-64 | 63 | 63 | 0.50 | 1877 | 82.46 | 1887 | 52.84 | 1899 | 78.50 | 96.40 |
| ER50-65 | 63 | 125 | 1.00 | 1787 | 60.06 | 1735 | 28.84 | 1618 | 57.94 | 96.10 |
| ER50-66 | 145 | 145 | 0.40 | 1948 | 74.81 | 1927 | 32.69 | 1910 | 45.53 | 96.30 |
| ER50-67 | 55 | 138 | 0.51 | 147 | 315.09 | 283 | 33.56 | 276 | 15.14 | 97.20 |
| ER50-68 | 20 | 39 | 1.53 | 1739 | 121.95 | 1648 | 64.21 | 1580 | 113.16 | 96.00 |
| ER50-69 | 23 | 15 | 0.30 | 1738 | 157.38 | 1652 | 80.07 | 1565 | 120.47 | 98.90 |
| ER50-70 | 50 | 168 | 0.80 | 1523 | 107.68 | 1306 | 56.72 | 1159 | 67.09 | 88.00 |
| ER50-71 | 53 | 66 | 0.20 | 2001 | 111.82 | 1851 | 54.66 | 1691 | 57.24 | 91.00 |
| ER50-72 | 52 | 262 | 0.50 | 292 | 223.12 | 325 | 27.52 | 312 | 12.07 | 95.90 |
| ER50-73 | 36 | 72 | 0.40 | 1692 | 141.97 | 1766 | 63.50 | 1766 | 55.91 | 99.80 |
| ER50-74 | 42 | 105 | 0.60 | 1656 | 121.23 | 1552 | 64.01 | 1427 | 68.10 | 91.60 |
| ER50-75 | 80 | 134 | 0.60 | 1318 | 141.94 | 1376 | 98.22 | 1398 | 120.28 | 98.40 |
| ER50-76 | 92 | 153 | 0.10 | 1894 | 62.61 | 1782 | 31.03 | 1691 | 52.26 | 96.20 |
| ER50-77 | 23 | 230 | 0.70 | 1761 | 72.44 | 1584 | 32.55 | 1441 | 38.63 | 90.50 |
| ER50-78 | 65 | 93 | 0.60 | 1871 | 71.46 | 1792 | 46.69 | 1725 | 64.04 | 96.40 |
| ER50-80 | 61 | 101 | 0.80 | 1872 | 69.40 | 1858 | 42.42 | 1846 | 65.09 | 98.00 |
| ER50-83 | 123 | 154 | 0.80 | 1880 | 88.33 | 1827 | 52.18 | 1783 | 60.88 | 92.60 |
| ER50-84 | 30 | 45 | 0.67 | 2614 | 83.95 | 2555 | 58.52 | 2458 | 54.37 | 96.00 |
| ER50-85 | 9 | 12 | 0.75 | 1857 | 200.46 | 1769 | 86.56 | 1694 | 58.17 | 95.00 |
| ER50-86 | 214 | 378 | 0.57 | 302 | 216.64 | 159 | 13.71 | 149 | 3.88 | 93.00 |
| ER50-87 | 32 | 64 | 0.50 | 2536 | 78.40 | 2473 | 42.92 | 2386 | 48.73 | 96.00 |
| ER50-88 | 105 | 208 | 0.50 | 2155 | 77.78 | 2141 | 38.52 | 2114 | 36.80 | 98.00 |
| ER50-89 | 50 | 98 | 0.51 | 2592 | 70.22 | 2492 | 41.43 | 2366 | 45.59 | 94.00 |
| ER50-90 | 175 | 192 | 0.91 | 2549 | 93.06 | 2561 | 51.32 | 2563 | 51.20 | 99.00 |
| ER50-91 | 374 | 340 | 1.10 | 2477 | 70.68 | 2483 | 37.53 | 2474 | 34.92 | 99.00 |
| ER50-92 | 65 | 90 | 0.72 | 1618 | 105.56 | 1651 | 44.48 | 1672 | 33.52 | 98.00 |
| ER50-93 | 88 | 70 | 1.26 | 2473 | 77.93 | 2486 | 42.86 | 2485 | 44.26 | 99.00 |
| ER50-94 | 22 | 26 | 0.85 | 1569 | 140.74 | 1644 | 61.57 | 1699 | 49.68 | 96.00 |
| ER50-95 | 150 | 155 | 0.97 | 280 | 233.31 | 317 | 27.64 | 320 | 7.18 | 98.00 |
| ER50-96 | 37 | 81 | 0.46 | 2381 | 73.92 | 2384 | 41.70 | 2369 | 39.01 | 99.00 |
| ER50-97 | 41 | 45 | 0.91 | 2491 | 83.80 | 2482 | 46.90 | 2457 | 49.51 | 98.00 |
| ER50-98 | 142 | 156 | 0.91 | 439 | 202.75 | 445 | 30.41 | 440 | 10.00 | 98.00 |
| ER50-99 | 32 | 123 | 0.26 | 1777 | 98.61 | 1612 | 47.33 | 1475 | 36.55 | 91.00 |
| ER50-100 | 40 | 195 | 0.21 | 1969 | 80.24 | 1963 | 40.38 | 1950 | 38.53 | 99.00 |
| ER50-101 | 32 | 21 | 1.52 | 2500 | 108.49 | 2489 | 56.30 | 2485 | 65.18 | 99.00 |
| ER50-102 | 176 | 207 | 0.85 | 594 | 168.50 | 473 | 26.37 | 451 | 12.01 | 95.00 |
| ER50-103 | 510 | 384 | 1.33 | 300 | 166.65 | 291 | 17.84 | 289 | 6.36 | 99.00 |
| ER50-104 | 42 | 57 | 0.74 | 2147 | 93.21 | 2118 | 48.39 | 2075 | 45.96 | 97.00 |
| ER50-105 | 44 | 28 | 1.57 | 2465 | 102.78 | 2437 | 54.08 | 2397 | 51.66 | 98.00 |
| ER50-106 | 121 | 187 | 0.65 | 2533 | 65.90 | 2559 | 35.83 | 2576 | 41.39 | 99.00 |
| ER50-107 | 197 | 549 | 0.36 | 1813 | 72.38 | 1562 | 33.85 | 1376 | 33.63 | 87.00 |
| ER50-108 | 51 | 90 | 0.57 | 457 | 374.03 | 329 | 34.87 | 285 | 10.28 | 85.00 |
| ER50-109 | 33 | 53 | 0.62 | 1628 | 125.92 | 1539 | 54.12 | 1473 | 37.45 | 95.00 |
| ER50-110 | 44 | 126 | 0.35 | 1984 | 83.79 | 2001 | 41.58 | 2008 | 41.27 | 99.00 |
| Spot. No | 176Hf/177Hf | 1σ | 176Lu/177Hf | 1σ | 176Yb/177Hf | 1σ | Age (Ma) | εHf(t) | tDM1 | tDM2 |
|---|---|---|---|---|---|---|---|---|---|---|
| ER21-02 | 0.281783 | 0.000013 | 0.0003 | 0.000001 | 0.0110 | 0.000067 | 1476 | −2.48 | 2021 | 2605 |
| ER21-03 | 0.281721 | 0.000017 | 0.0014 | 0.000021 | 0.0558 | 0.000493 | 1538 | −4.39 | 2164 | 2799 |
| ER21-05 | 0.281603 | 0.000013 | 0.0005 | 0.000006 | 0.0181 | 0.000289 | 1538 | −7.63 | 2273 | 3054 |
| ER21-06 | 0.281236 | 0.000015 | 0.0008 | 0.000020 | 0.0335 | 0.000391 | 2372 | −2.53 | 2795 | 3236 |
| ER21-07 | 0.281316 | 0.000011 | 0.0007 | 0.000004 | 0.0270 | 0.000259 | 2492 | 3.29 | 2676 | 2868 |
| ER21-08 | 0.282410 | 0.000013 | 0.0012 | 0.000023 | 0.0385 | 0.000598 | 279 | −6.89 | 1194 | 2130 |
| ER21-09 | 0.281268 | 0.000012 | 0.0006 | 0.000009 | 0.0232 | 0.000260 | 2548 | 3.03 | 2733 | 2928 |
| ER21-12 | 0.281195 | 0.000011 | 0.0005 | 0.000006 | 0.0184 | 0.000316 | 2477 | −1.03 | 2825 | 3193 |
| ER21-14 | 0.281668 | 0.000012 | 0.0004 | 0.000005 | 0.0146 | 0.000263 | 1922 | 3.38 | 2181 | 2457 |
| ER21-16 | 0.281292 | 0.000013 | 0.0003 | 0.000008 | 0.0115 | 0.000226 | 2459 | 2.29 | 2683 | 2923 |
| ER21-19 | 0.281376 | 0.000012 | 0.0004 | 0.000007 | 0.0153 | 0.000180 | 1952 | −6.37 | 2577 | 3241 |
| ER21-26 | 0.281559 | 0.000011 | 0.0004 | 0.000004 | 0.0157 | 0.000290 | 1758 | −4.18 | 2328 | 2936 |
| ER21-28 | 0.281878 | 0.000016 | 0.0005 | 0.000026 | 0.0222 | 0.001023 | 1252 | −4.32 | 1905 | 2595 |
| ER21-31 | 0.281396 | 0.000011 | 0.0008 | 0.000015 | 0.0287 | 0.000264 | 2275 | 1.02 | 2577 | 2891 |
| ER21-32 | 0.282622 | 0.000014 | 0.0007 | 0.000010 | 0.0287 | 0.000268 | 260 | 0.27 | 884 | 1539 |
| ER21-33 | 0.281374 | 0.000013 | 0.0007 | 0.000006 | 0.0273 | 0.000377 | 2430 | 3.96 | 2597 | 2772 |
| ER21-34 | 0.282377 | 0.000011 | 0.0009 | 0.000035 | 0.0384 | 0.001564 | 280 | −8.00 | 1231 | 2219 |
| ER21-35 | 0.281299 | 0.000012 | 0.0011 | 0.000012 | 0.0390 | 0.000331 | 2390 | −0.26 | 2726 | 3072 |
| ER21-36 | 0.281308 | 0.000012 | 0.0012 | 0.000034 | 0.0441 | 0.000901 | 2361 | −0.71 | 2719 | 3087 |
| ER21-38 | 0.282090 | 0.000012 | 0.0009 | 0.000008 | 0.0369 | 0.000477 | 1284 | 3.59 | 1631 | 1990 |
| ER21-39 | 0.281297 | 0.000014 | 0.0003 | 0.000012 | 0.0101 | 0.000362 | 2483 | 3.09 | 2673 | 2877 |
| ER21-40 | 0.281351 | 0.000014 | 0.0009 | 0.000077 | 0.0432 | 0.005365 | 1963 | −7.70 | 2645 | 3352 |
| ER21-41 | 0.281290 | 0.000013 | 0.0004 | 0.000000 | 0.0169 | 0.000123 | 2359 | −0.21 | 2692 | 3046 |
| ER21-43 | 0.282257 | 0.000011 | 0.0010 | 0.000018 | 0.0399 | 0.001222 | 476 | −8.06 | 1401 | 2358 |
| ER21-45 | 0.281322 | 0.000012 | 0.0003 | 0.000001 | 0.0124 | 0.000080 | 2361 | 1.13 | 2642 | 2943 |
| ER21-49 | 0.281321 | 0.000011 | 0.0004 | 0.000003 | 0.0141 | 0.000131 | 2359 | 0.90 | 2650 | 2960 |
| ER21-50 | 0.282256 | 0.000012 | 0.0011 | 0.000028 | 0.0470 | 0.001280 | 464 | −8.40 | 1408 | 2377 |
| ER21-51 | 0.281194 | 0.000012 | 0.0005 | 0.000004 | 0.0203 | 0.000156 | 2449 | −1.78 | 2829 | 3232 |
| ER21-53 | 0.282350 | 0.000012 | 0.0005 | 0.000003 | 0.0201 | 0.000190 | 288 | −8.70 | 1256 | 2281 |
| ER21-54 | 0.281365 | 0.000013 | 0.0004 | 0.000005 | 0.0139 | 0.000181 | 2277 | 0.63 | 2590 | 2923 |
| ER21-55 | 0.281332 | 0.000015 | 0.0005 | 0.000007 | 0.0181 | 0.000151 | 1976 | −7.57 | 2645 | 3351 |
| ER25-01 | 0.281936 | 0.000014 | 0.0005 | 0.000008 | 0.0153 | 0.000130 | 1700 | 7.76 | 1823 | 1954 |
| ER25-02 | 0.281348 | 0.000016 | 0.0006 | 0.000010 | 0.0220 | 0.000095 | 1924 | −8.24 | 2627 | 3368 |
| ER25-06 | 0.281623 | 0.000012 | 0.0010 | 0.000022 | 0.0412 | 0.000766 | 1719 | −3.49 | 2277 | 2854 |
| ER25-08 | 0.281310 | 0.000013 | 0.0008 | 0.000022 | 0.0315 | 0.000913 | 2119 | −5.55 | 2694 | 3293 |
| ER25-10 | 0.281310 | 0.000012 | 0.0003 | 0.000005 | 0.0104 | 0.000165 | 2402 | 1.71 | 2655 | 2927 |
| ER25-11 | 0.281636 | 0.000012 | 0.0007 | 0.000027 | 0.0279 | 0.001342 | 1676 | −3.62 | 2241 | 2835 |
| ER25-12 | 0.282527 | 0.000013 | 0.0005 | 0.000010 | 0.0179 | 0.000145 | 314 | −1.85 | 1010 | 1748 |
| ER25-13 | 0.281740 | 0.000014 | 0.0008 | 0.000023 | 0.0258 | 0.000625 | 1822 | 3.14 | 2108 | 2406 |
| ER25-15 | 0.281387 | 0.000013 | 0.0013 | 0.000025 | 0.0537 | 0.001006 | 2378 | 2.22 | 2622 | 2870 |
| ER25-16 | 0.282676 | 0.000013 | 0.0018 | 0.000016 | 0.0580 | 0.000456 | 267 | 2.18 | 831 | 1390 |
| ER25-17 | 0.281382 | 0.000013 | 0.0008 | 0.000030 | 0.0353 | 0.001365 | 1859 | −8.78 | 2597 | 3365 |
| ER25-24 | 0.281384 | 0.000011 | 0.0002 | 0.000005 | 0.0088 | 0.000127 | 2359 | 3.44 | 2553 | 2762 |
| ER25-27 | 0.281319 | 0.000013 | 0.0005 | 0.000003 | 0.0180 | 0.000107 | 2174 | −3.45 | 2656 | 3168 |
| ER25-31 | 0.281355 | 0.000013 | 0.0012 | 0.000010 | 0.0461 | 0.000329 | 1990 | −7.32 | 2659 | 3342 |
| ER25-32 | 0.281347 | 0.000013 | 0.0003 | 0.000011 | 0.0131 | 0.000437 | 1851 | −9.57 | 2610 | 3422 |
| ER25-34 | 0.282310 | 0.000012 | 0.0006 | 0.000007 | 0.0217 | 0.000218 | 324 | −9.36 | 1315 | 2359 |
| ER25-35 | 0.281195 | 0.000013 | 0.0006 | 0.000014 | 0.0203 | 0.000575 | 2474 | −1.19 | 2828 | 3203 |
| ER25-38 | 0.281344 | 0.000013 | 0.0007 | 0.000033 | 0.0236 | 0.001245 | 2002 | −6.67 | 2635 | 3300 |
| ER25-39 | 0.281381 | 0.000013 | 0.0003 | 0.000004 | 0.0094 | 0.000068 | 1867 | −7.92 | 2560 | 3303 |
| ER25-40 | 0.281271 | 0.000012 | 0.0006 | 0.000004 | 0.0209 | 0.000105 | 2175 | −5.32 | 2729 | 3315 |
| ER25-41 | 0.281310 | 0.000014 | 0.0005 | 0.000003 | 0.0212 | 0.000193 | 2253 | −2.06 | 2672 | 3116 |
| ER25-43 | 0.281203 | 0.000013 | 0.0008 | 0.000007 | 0.0274 | 0.000254 | 2359 | −3.85 | 2833 | 3329 |
| ER25-49 | 0.282606 | 0.000012 | 0.0006 | 0.000012 | 0.0236 | 0.000626 | 305 | 0.71 | 905 | 1535 |
| ER25-54 | 0.282658 | 0.000012 | 0.0009 | 0.000007 | 0.0320 | 0.000285 | 307 | 2.53 | 838 | 1390 |
| ER25-59 | 0.281293 | 0.000012 | 0.0004 | 0.000002 | 0.0153 | 0.000132 | 2500 | 3.09 | 2689 | 2889 |
| ER25-60 | 0.281390 | 0.000014 | 0.0004 | 0.000009 | 0.0120 | 0.000195 | 2386 | 4.06 | 2554 | 2733 |
| ER25-61 | 0.281376 | 0.000013 | 0.0004 | 0.000009 | 0.0162 | 0.000147 | 1990 | −5.49 | 2576 | 3199 |
| ER25-65 | 0.282234 | 0.000015 | 0.0008 | 0.000048 | 0.0293 | 0.001779 | 432 | −9.77 | 1428 | 2465 |
| ER25-68 | 0.282180 | 0.000015 | 0.0007 | 0.000007 | 0.0255 | 0.000164 | 491 | −10.37 | 1497 | 2553 |
| ER50-04 | 0.281514 | 0.000012 | 0.0010 | 0.000009 | 0.0402 | 0.000297 | 1843 | −4.71 | 2430 | 3036 |
| ER50-05 | 0.281290 | 0.000015 | 0.0006 | 0.000028 | 0.0225 | 0.000807 | 2413 | 0.65 | 2707 | 3017 |
| ER50-11 | 0.281340 | 0.000013 | 0.0009 | 0.000016 | 0.0347 | 0.000314 | 2236 | −1.92 | 2656 | 3093 |
| ER50-16 | 0.281310 | 0.000011 | 0.0008 | 0.000009 | 0.0354 | 0.000477 | 2313 | −1.22 | 2695 | 3092 |
| ER50-21 | 0.281291 | 0.000012 | 0.0003 | 0.000004 | 0.0123 | 0.000132 | 2540 | 4.11 | 2684 | 2838 |
| ER50-23 | 0.281336 | 0.000012 | 0.0004 | 0.000013 | 0.0195 | 0.000664 | 2107 | −4.32 | 2632 | 3190 |
| ER50-26 | 0.282248 | 0.000012 | 0.0011 | 0.000019 | 0.0480 | 0.001115 | 443 | −9.12 | 1419 | 2421 |
| ER50-28 | 0.281280 | 0.000012 | 0.0003 | 0.000007 | 0.0115 | 0.000242 | 2363 | −0.26 | 2696 | 3053 |
| ER50-30 | 0.282482 | 0.000017 | 0.0007 | 0.000010 | 0.0254 | 0.000347 | 464 | −0.25 | 1078 | 1723 |
| ER50-35 | 0.281132 | 0.000012 | 0.0005 | 0.000007 | 0.0194 | 0.000275 | 2255 | −8.34 | 2910 | 3605 |
| ER50-39 | 0.281454 | 0.000011 | 0.0002 | 0.000007 | 0.0077 | 0.000317 | 2148 | 1.14 | 2458 | 2792 |
| ER50-47 | 0.281392 | 0.000013 | 0.0005 | 0.000009 | 0.0182 | 0.000427 | 1927 | −6.49 | 2562 | 3233 |
| ER50-48 | 0.281454 | 0.000011 | 0.0012 | 0.000009 | 0.0351 | 0.000294 | 1841 | −7.08 | 2523 | 3220 |
| ER50-49 | 0.281299 | 0.000012 | 0.0005 | 0.000012 | 0.0178 | 0.000574 | 2416 | 1.34 | 2683 | 2966 |
| ER50-55 | 0.282262 | 0.000013 | 0.0012 | 0.000012 | 0.0458 | 0.000477 | 343 | −10.78 | 1404 | 2485 |
| ER50-59 | 0.281441 | 0.000017 | 0.0007 | 0.000004 | 0.0247 | 0.000192 | 1849 | −6.67 | 2504 | 3193 |
| ER50-60 | 0.281708 | 0.000013 | 0.0028 | 0.000043 | 0.1286 | 0.001627 | 1785 | −1.15 | 2266 | 2717 |
| ER50-61 | 0.281092 | 0.000014 | 0.0008 | 0.000012 | 0.0302 | 0.000542 | 2380 | −7.37 | 2985 | 3616 |
| ER50-66 | 0.281288 | 0.000019 | 0.0014 | 0.000033 | 0.0491 | 0.000636 | 1948 | −10.84 | 2762 | 3587 |
| ER50-68 | 0.281309 | 0.000013 | 0.0005 | 0.000018 | 0.0182 | 0.000697 | 2419 | 1.65 | 2674 | 2944 |
| ER50-71 | 0.281374 | 0.000013 | 0.0008 | 0.000019 | 0.0300 | 0.000489 | 2001 | −5.87 | 2606 | 3237 |
| ER50-76 | 0.281314 | 0.000017 | 0.0007 | 0.000007 | 0.0273 | 0.000249 | 2366 | 0.31 | 2681 | 3011 |
References
- IAEA. World Distribution of Uranium Deposits (UDEPO); IAEA-TECDOC-1843; International Atomic Energy Agency: Vienna, Austria, 2018; p. 262. [Google Scholar]
- Cuney, M.; Mercadier, J.; Bonnetti, C. Classification of Sandstone-Related Uranium Deposits. J. Earth Sci. 2022, 33, 236–256. [Google Scholar] [CrossRef]
- Ji, H.L.; He, Z.B.; Zhong, J.; Chen, H.; Zhu, B. Sedimentary Characteristics of Lower Cretaceous in Wuerhe–Huanghuagou Area, Northwestern Margin of Junggar Basin. J. Ore Geol. Rev. 2024, 70, 1267–1290. [Google Scholar]
- Bonnetti, C.; Cuney, M.; Malartre, F.; Michels, R.; Liu, X.D.; Peng, Y.B. The Nuheting Deposit, Erlian Basin, NE China: Synsedimentary to Diagenetic Uranium Mineralization. Ore Geol. Rev. 2015, 69, 118–139. [Google Scholar] [CrossRef]
- Bonnetti, C.; Cuney, M.; Michels, R.; Truche, L.; Malartre, F.; Liu, X.D.; Yang, J.X. The Multiple Roles of Sulfate-Reducing Bacteria and Fe-Ti Oxides in the Genesis of the Bayinwula Roll Front-Type Uranium Deposit, Erlian Basin, NE China. Econ. Geol. 2015, 110, 1059–1081. [Google Scholar] [CrossRef]
- Bonnetti, C.; Liu, X.D.; Yan, Z.B.; Cuney, M.; Michels, R.; Malartre, F.; Mercadier, J.; Cai, J.F. Coupled Uranium Mineralisation and Bacterial Sulphate Reduction for the Genesis of the Baxingtu Sandstone-Hosted U Deposit, SW Songliao Basin, NE China. Ore Geol. Rev. 2017, 82, 108–129. [Google Scholar] [CrossRef]
- Hou, B.; Keeling, J.L.; Li, Z. Paleovalley-Related Uranium Deposits in Australia and China: A Review of Geological and Exploration Models and Methods. Ore Geol. Rev. 2017, 88, 201–234. [Google Scholar] [CrossRef]
- Zhang, X.; Nie, F.J.; Su, X.B.; Xia, F.; Li, M.G.; Yan, Z.B.; Zhang, C.Y.; Feng, Z.B. Relationships between Meso-Cenozoic Denudation in the Eastern Tian Shan and Uranium Mineralization in the Turpan-Hami Basin, NW China: Constraints from Apatite Fission Track Study. Ore Geol. Rev. 2020, 127, 103820. [Google Scholar]
- Jin, R.S.; Teng, X.M.; Li, X.G.; Si, Q.H.; Wang, W. Genesis of sandstone-type uranium deposits along the northern margin of the Ordos Basin, China. Geosci. Front. 2020, 11, 215–227. [Google Scholar] [CrossRef]
- Sun, D.; Xia, F.; Meng, F.M.; Nie, F.J.; Liu, X.; Zhang, W.W.; Wan, Q. Petrology of the Sandstone-Type Uranium Target Layer and Its Uranium Existence Form in the Telaaobao Mineral Area, Ordos Basin. ACS Omega 2025, 10, 912–928. [Google Scholar] [CrossRef] [PubMed]
- Zhu, Q.; Li, J.G.; Wen, S.B.; Li, G.Y.; Yu, R.G.; Miao, P.S.; Zhang, B. Alteration, uranium occurrence state, and enrichment mechanism of the Cretaceous Luohe Formation, southwestern Ordos Basin, western China. Ore Geol. Rev. 2021, 139, 104496. [Google Scholar] [CrossRef]
- Chen, Y.; Miao, P.S.; Li, J.G.; Jin, R.S.; Zhao, H.L.; Chen, L.L.; Wang, C.; Yu, H.Y.; Zhang, X.R. Association of Sandstone-Type Uranium Mineralization in the Northern China with Tectonic Movements and Hydrocarbons. J. Earth Sci. 2022, 33, 289–307. [Google Scholar] [CrossRef]
- Khan, T.; Sarma, D.S.; Somasekhar, V.; Ramanaiah, S.; Reddy, N.R. Geochemistry of the Palaeoproterozoic quartzites of LowerCuddapah Supergroup, South India: Implications for the palaeoweathering, provenance, and crustal evolution. Geol. J. 2020, 55, 1587–1611. [Google Scholar] [CrossRef]
- Khan, T.; Sarma, D.S.; Khan, M.S. Geochemical study of the Neoproterozoic clastic sedimentary rocks of the Khambal Formation (Sindreth Basin), Aravalli Craton, NW Indian Shield: Implications for paleoweathering, provenance, and geodynamic evolution. Geochemistry 2020, 80, 129956. [Google Scholar] [CrossRef]
- Wanas, H.A.; Assal, E.M. Provenance, tectonic setting and source area-paleoweathering of sandstones of the Bahariya Formationin the Bahariya Oasis, Egypt: An implication to paleoclimate and paleogeography of the southern Neo-Tethys region duringEarly Cenomanian. Sediment. Geol. 2021, 413, 105822. [Google Scholar] [CrossRef]
- Li, Y.; Nie, F.J.; Jia, L.C.; Lu, S.J.; Yan, Z.B. Geochemical Characteristics, Palaeoenvironment and Provenance of Uranium-BearingSandstone in the Sifangtai Formation, Northern Songliao Basin, Northeast China. Minerals 2021, 11, 1019. [Google Scholar] [CrossRef]
- Huang, G.W.; Pan, J.Y.; Xia, F.; Yan, J.; Zhang, C.Y.; Wu, D.H.; Liu, Y. Provenance of uranium mineralization of the Yuqia area, Northwest China: Constraints from detrital zircon U-Pb geochronology and Hf isotopes. J. Earth Sci. 2022, 33, 1549–1570. [Google Scholar] [CrossRef]
- Huang, G.W.; Wu, D.H.; Huang, G.N.; Xue, W.W.; Min, Z.; Fan, P.F. Provenance of Jurassic sediments from Yuqia sandstonetype uranium deposits in the Northern margin of Qaidam Basin, China and its implications for uranium mineralization. Minerals 2022, 12, 82. [Google Scholar] [CrossRef]
- Sun, Y.H.; Jiao, Y.Q.; Cuney, M.; Wu, L.Q.; Mercadier, J.; Rong, H.; Liu, Y.; Tao, Z.P. Sulfur Isotope and Trace Element Constraints on the Conditions of Pyrite Formation from the Diantou-Shuanglong Sandstone-Hosted Uranium Deposit, Ordos Basin, China: Implications for Uranium Mineralization. Ore Geol. Rev. 2024, 165, 105921. [Google Scholar] [CrossRef]
- Liu, C.Y.; Zhang, L.; Huang, L.; Wu, B.L.; Wang, J.Q.; Zhang, D.D.; Tan, C.Q.; Ma, Y.P.; Zhao, J.S. Novel Metallogenic Model of Sandstone-Type Uranium Deposits: Mineralization by Deep Organic Fluids. Earth Sci. Front. 2024, 31, 368–383. [Google Scholar]
- Wang, F.F.; Liu, C.Y.; Niu, H.Q.; Zhou, N.C.; Li, X.H.; Luo, W.; Zhang, D.D.; Zhao, Y. In-Situ Chemical Age of the Sandstone-Hosted Uranium Deposit in Ningdong Area on the Western Margin of the Ordos Basin, North China. J. Acta Geol. Sin. 2018, 92, 406–407. [Google Scholar] [CrossRef]
- Zhang, J.D.; Xu, G.Z.; Lin, J.R.; Peng, Y.B.; Wang, G. The Implication of Six Kinds of New Sandstone-Type Uranium Deposits to Uranium Resources Potential in North China. Geol. China 2010, 37, 1434–1449. [Google Scholar]
- Wu, Z.Q.; Hu, Y.X.; Liu, K.P.; Wang, X.P.; Liu, C.H.; Wang, K.; Zhang, L.; Pan, J.Y.; Mao, N.; Wang, Q.H. Basic Feature of Mineralization Host Rocks and Its Relation to Uranium Metallogenesis in Zhenyuan, Southern Ordos Basin. Uranium Geol. 2023, 39, 960–969. [Google Scholar]
- Sun, D.; Li, H.; Xia, F.; Nie, F.J.; Huang, G.W.; Zhang, Z.B.; Meng, F.M.; Pan, J.Y.; Hu, Y.J. Provenance and Tectonic Setting of the Lower Cretaceous Huanhe Formation in the Northwestern Ordos Basin and Its Implications for Uranium Mineralization. ACS Omega 2024, 9, 3324–3341. [Google Scholar] [CrossRef]
- Liu, H.B.; Li, Z.Y.; Qin, M.K.; Sun, Y.; Han, J.; Jin, G.S.; Li, J.J. Advances in Geochemistry of Sandstone-Hosted Uranium Deposits in the Northern Ordos Basin. Earth Sci. Front. 2012, 19, 139–146. [Google Scholar]
- Wu, B.L.; Zhang, W.Y.; Song, Z.S.; Cun, X.N.; Sun, L.; Luo, J.J.; Li, Y.Q.; Cheng, X.H.; Sun, B. Geological and Geochemical Characteristics of Uranium Minerals in Sandstone-Type Uranium Deposits of the Northern Ordos Basin and Their Genetic Significance. Acta Geol. Sin. 2016, 90, 3393–3407. [Google Scholar]
- Weltje, G.J.; Eynatten, H.V. Quantitative Provenance Analysis of Sediments: Review and Outlook. Sediment. Geol. 2004, 171, 1–11. [Google Scholar] [CrossRef]
- Hietpas, J.; Samson, S.; Moecher, D.; Chakraborty, S. Enhancing Tectonic and Provenance Information from Detrital Zircon Studies: Assessing Terrane-Scale Sampling and Grain-Scale Characterization. J. Geol. Soc. 2011, 168, 309–318. [Google Scholar] [CrossRef]
- Luo, X.; Li, Z.; Cai, Y.; Yi, C.; Zhang, Z.; Zhang, Y.; Zhang, Y. Provenance and Tectonic Setting of Lower Cretaceous Huanhe Formation Sandstones, Northwest Ordos Basin, North-Central China. Minerals 2021, 11, 1376. [Google Scholar] [CrossRef]
- Li, S.T.; Lin, C.S.; Xie, X.N.; Yang, S.G.; Jiao, Y.Q. Approaches of Nonmarine Sequence Stratigraphy—A Case Study on the Mesozoic Ordos Basin. Sediment. Geol. 1995, 2, 133–148. [Google Scholar]
- Shi, W.; Dong, S.W.; Hu, J.M. Neotectonics around the Ordos Block, North China: A Review and New Insights. Earth-Sci. Rev. 2020, 200, 102969. [Google Scholar] [CrossRef]
- Chen, A.Q.; Zou, H.; Ogg, J.G.; Yang, S.; Hou, M.C.; Jiang, X.W.; Xu, S.L.; Zhang, X.X. Source-to-Sink of Late Carboniferous Ordos Basin: Constraints on Crustal Accretion Margins Converting to Orogenic Belts Bounding the North China Block. Geosci. Front. 2020, 11, 2031–2052. [Google Scholar] [CrossRef]
- Zhong, W.H.; Wu, L.Q.; Wang, L.H.; Jiao, Y.Q.; Zhang, F.; Yue, L.; Xiang, Y.; Zheng, Y.H. The Distinctiveness of Carbonaceous Debris in Uranium Reservoirs under Arid Sedimentary Backgrounds and Its Implication for Uranium Mineralization: A Case Study of Northern Ordos Basin. Ore Geol. Rev. 2025, 179, 106526. [Google Scholar] [CrossRef]
- Wang, L.H.; Yan, P.B.; Jiao, Y.Q.; Wu, L.Q.; Zhang, Z.L.; Rong, H.; Zhang, F.; Li, Z.C.; Zhong, W.H. Uranium Metallogenic Model of Lower Cretaceous in Northern Ordos Basin. J. Bull. Geol. Sci. Technol. 2023, 42, 222–233. [Google Scholar]
- Meng, Q.R.; Wu, G.L.; Fan, L.G.; Wei, H.H. Tectonic Evolution of Early Mesozoic Sedimentary Basins in the North China Block. Earth-Sci. Rev. 2019, 190, 416–438. [Google Scholar] [CrossRef]
- Deng, J.; Wang, Q.F.; Gao, B.F.; Xu, H.; Zhou, Y.H. Distribution and Tectonic Background of Various Energy Resources in Ordos Basin. Earth Sci. J. China Univ. Geosci. 2006, 3, 330–336. [Google Scholar]
- Hu, Y.X.; Yang, T.; Zhang, X.; Ou, Y.J.; Liu, Z.R.; Si, H.J.; Li, X.Q. Carbon and Oxygen Isotope Characteristics and Uranium Metallogenic Significance of Sandstone-type Uranium Deposits in the Lower Cretaceous Luohe Formation in Zhenyuan Area, Southern Ordos Basin. Geoscience 2025, 166, 105937, (In Chinese with English abstract). [Google Scholar]
- Ju, Y.; Wang, W.; Ren, Z.; Yang, Z.; Liu, K.; Hou, B.; Xiao, L. Multi-Stage Evolution of the Ordos Basin: Its Coupled Basin-Mountain Systems and Energy Resources. Sci. China Earth Sci. 2025, 68, 2426–2473. [Google Scholar] [CrossRef]
- Chen, R.; Wang, F.; Li, Z.; Evans, N.J.; Chen, H.D.; Wei, X.S. Late Paleozoic Provenance Shift in the East-Central Ordos Basin: Implications for the Tectonic Evolution of the North China Craton. J. Asian Earth Sci. 2021, 215, 104799. [Google Scholar] [CrossRef]
- Dong, Y.P.; Hui, B.; Sun, S.X.; Yang, Z.; Zhang, F.F.; He, D.F.; Sun, J.P.; Shi, X.H. Multiple Orogeny and Geodynamics from Proto-Tethys to Paleo-Tethys of the Central China Orogenic Belt. Acta Geol. Sin. 2022, 96, 3426–3448, (In Chinese with English abstract). [Google Scholar]
- Wang, Z.W.; Liu, L.; Hu, J.L.; Wang, F.; Li, D.; Zhang, J.Q.; Zhu, S.Y.; Zhang, R.; Zhao, F.; Zhang, C.G.; et al. Dispersion of Sandy Sediments During Marine–Continental Transition: An Integrated Study from the Late Paleozoic Western Ordos Basin. Mar. Pet. Geol. 2024, 160, 106620. [Google Scholar] [CrossRef]
- Wang, G.; Liu, B.; Bai, Y.M.; Wang, L.H.; Li, H.M.; Lu, S.S. Geological Characteristics and Metallogenic Mechanism of Lower Cretaceous Uranium Mineralization in Northern Ordos Basin. World Nucl. Geosci. 2025, 42, 485–503. (In Chinese) [Google Scholar]
- Jiao, Y.Q.; Wu, L.Q.; Rong, H.; Zhang, F. Coal Accumulation Regularity of Zhiluo Formation and Its Indication to Paleoclimate and Uranium Metallogenic Environment, Ordos Basin. J. China Coal Soc. 2021, 46, 2331–2345. [Google Scholar]
- NIST SRM 1646a; Estuarine Sediment Standard. National Institute of Standards and Technology: Gaithersburg, MD, USA, 2010.
- GSD-12; Shale Standard. Institute of Geophysical and Geochemical Exploration, Chinese Academy of Geological Sciences: Langfang, China, 2008.
- ISO 11466:1995; Soil Quality—Extraction of Trace Elements Soluble in Aqua Regia. ISO: Geneva, Switzerland, 1995.
- SRM 610; Trace Elements in Glass. National Institute of Standards and Technology: Gaithersburg, MD, USA, 1972.
- McDonough, W.F.; Sun, S.-S. The Composition of the Earth. Chem. Geol. 1995, 120, 223–253. [Google Scholar] [CrossRef]
- Dan, W.; Li, X.H.; Guo, J.H.; Liu, Y.; Wang, X.C. Integrated in situ Zircon U-Pb Age and Hf-O Isotopes for the Helanshan Khondalites in North China Craton: Juvenile Crustal Materials Deposited in Active or Passive Continental Margin? Precambrian Res 2012, 222–223, 143–158. [Google Scholar] [CrossRef]
- Yin, C.Q.; Zhao, G.C.; Guo, J.H.; Sun, M.; Xia, X.P.; Zhou, X.W.; Liu, C.H. U-Pb and Hf Isotopic Study of Zircons of the Helanshan Complex: Constraints on the Evolution of the Khondalite Belt in the Western Block of the North China Craton. Lithos 2011, 122, 25–38. [Google Scholar] [CrossRef]
- Xi, X.P.; Sun, M.; Zhao, G.C.; Wu, F.Y.; Xu, P.; Zhang, J.; He, Y.H. Paleoproterozoic Crustal Growth in the Western Block of the North China Craton: Evidence from Detrital Zircon Hf and Whole Rock Sr-Nd Isotope Compositions of the Khondalites in the Jining Complex. Am. J. Sci. 2008, 308, 304–327. [Google Scholar] [CrossRef]
- Ma, X.D.; Guo, J.H.; Liu, F.; Qian, Q.; Fan, H.R. Zircon U-Pb Ages, Trace Elements and Nd-Hf Isotopic Geochemistry of Guyang Sanukitoids and Related Rocks: Implications for the Archean Crustal Evolution of the Yinshan Block, North China Craton. Precambrian Res. 2013, 230, 61–78. [Google Scholar] [CrossRef]
- Ma, M.Z.; Xu, Z.Y.; Zhang, L.C.; Dong, C.Y.; Dong, X.J.; Liu, S.J.; Liu, D.Y.; Wan, Y.S. SHRIMP Dating and Hf Isotope Analysis of Zircons from the Early Precambrian Basement in the Xi Ulanbulang Area, Wuchuan, Inner Mongolia. Acta Petrol. Sin. 2013, 29, 501–516. [Google Scholar]
- Wang, D.; Guo, J.H.; Huang, G.Y.; Scheltens, M. The Neoarchean Ultramafic-Mafic Complex in the Yinshan Block, North China Craton: Magmatic Monitor of Development of Archean Lithospheric Mantle. Precambrian Res. 2015, 270, 80–99. [Google Scholar] [CrossRef]
- Li, X.P.; Wang, H.; Kong, F.M. Probe into the genesis of high temperature-ultrahigh temperature metamorphism: The enlightenment from the Western Khondalite Belt of the North China Craton and the Namaqua mobile belt and the Bushveld metamorphic complex of South Africa. Acta Petrol. Sin. 2019, 35, 295–311, (In Chinese with English abstract). [Google Scholar]
- Ma, X.C.; Liu, L.; Wang, Z.W.; Hu, A.P.; Hu, J.L.; Hu, C.; Wang, F.; Li, D.; Zhang, C.G.; Fu, S.Y.; et al. Detrital Material Source and Paleogeographic Reconstruction of Taiyuan Formation in Western Ordos Basin [J/OL]. Acta Sedimentol. Sin. 2025, 1–23, (In Chinese with English abstract). [Google Scholar] [CrossRef]
- Zhai, M.G.; Santosh, M. The Early Precambrian Odyssey of the North China Craton: A Synoptic Overview. Gondwana Res. 2011, 20, 6–25. [Google Scholar] [CrossRef]
- Zhai, M.G.; Santosh, M.; Zhang, L. Precambrian Geology and Tectonic Evolution of the North China Craton. Gondwana Res. 2011, 20, 1–5. [Google Scholar] [CrossRef]
- Wang, M.; Luo, J.L.; Li, M.; Bai, X.J.; Cheng, C.; Yan, L.W. Provenance and Tectonic Setting of Sandstone-Type Uranium Deposit in Dongsheng Area, Ordos Basin: Evidence from U-Pb Age and Hf Isotopes of Detrital Zircons. Acta Petrol. Sin. 2013, 29, 2746–2758. [Google Scholar]
- Zhao, G.C.; Wilde, S.A.; Cawood, P.A. Tectonothermal History of the Basement Rocks in the Western Zone of the North China Craton and Its Tectonic Implications. Tectonophysics 1999, 310, 37–53. [Google Scholar] [CrossRef]
- Zhao, G.C.; Cawood, P.A.; Wilde, S.A.; Min, S.; Lu, L.Z. Metamorphism of Basement Rocks in the Central Zone of the North China Craton: Implications for Paleoproterozoic Tectonic Evolution. Precambrian Res. 2000, 103, 55–88. [Google Scholar] [CrossRef]
- Wang, H.C.; Yuan, G.B.; Xin, H.T. U-Pb Single Zircon Ages for Granulites in Cunkongshan Area, Guyang Inner Mongolia and Enlightenment for Its Geological Signification. Prog. Precambrian Res. 2001, 24, 28–34. [Google Scholar]
- Zhang, W.J.; Li, L.; Geng, M.S. Petrology and Dating of Neo-Archaean Intrusive Rocks from Guyang Area, Inner Mongolia. Earth Sci. 2000, 25, 221–226. [Google Scholar]
- Wu, C.H.; Sun, M.; Li, H.M.; Zhao, G.C.; Xia, X.P. LA-ICP-MS U-Pb Zircon Ages of the Khondalites from the Wulashan and Jining High-Grade Terrain in Northern Margin of the North China Craton: Constraints on Sedimentary Age of the Khondalite. Acta Petrol. Sin. 2006, 22, 2639–2654. [Google Scholar]
- Shi, Q.; Ma, L.; Chen, X.Z.; Xu, Z.Y.; Li, S.C. Discovery of ca. 2.5 Ga Charnockite in the Daqing Mountains: Implications for the Petrogenetic Model of Anatectic Garnet Granite. Geol. Rev. 2024, 70, 1139–1144. [Google Scholar]
- Dong, C.Y.; Liu, D.Y.; Li, J.J.; Wan, Y.S.; Zhou, H.Y.; Li, C.D.; Yang, Y.H.; Xie, L.W. New Evidence for the Formation Age of the Khondalite Belt in the Western North China Craton: Zircon SHRIMP Dating and Hf Isotopic Compositions from the Bayan Wula-Helan Mountains Region. Sci. Bull. 2007, 16, 1913–1922. [Google Scholar]
- Dong, C.Y.; Liu, D.Y.; Wan, Y.S.; Xu, Z.Y.; Wang, W.; Jie, H.Q. Hf Isotope Composition and REE Pattern of Zircons from Early Precambrian Metamorphic Rocks in the Daqing Mountains, Inner Mongolia. Geol. Rev. 2009, 55, 509–520. [Google Scholar]
- Zhong, C.T.; Deng, J.F.; Wan, Y.S.; Mao, D.B.; Li, H.M. Magma Recording of Paleoproterozoic Orogeny in Central Segment of Northern Margin of North China Craton: Geochemical Characteristics and Zircon SHRIMP Dating of S-Type Granitoids. Geochimica 2007, 36, 585–600. [Google Scholar]
- Liu, S.J.; Dong, C.Y.; Xu, Z.Y.; Santosh, M.; Ma, M.Z.; Xie, H.Q.; Liu, D.Y.; Wan, Y.S. Palaeoproterozoic Episodic Magmatism and High-Grade Metamorphism in the North China Craton: Evidence from SHRIMP Zircon Dating of Magmatic Suites in the Daqingshan Area. Geol. J. 2013, 48, 429–455. [Google Scholar] [CrossRef]
- Wang, X.; Zhang, J.; Yin, C.Q.; Liu, X.G.; Chen, Y.; Cheng, C.Q.; Guo, M.J. Petrogenesis and Tectonic Implications of 1.86–1.80 Ga A-Type Granites in the Daqingshan Complex, Khondalite Belt, North China Craton. Precambrian Res. 2022, 378, 106757. [Google Scholar] [CrossRef]
- Xu, C.H.; Sun, F.Y.; Fan, X.Z.; Li, L.; Liu, J.L.; Yu, L. Late Paleoproterozoic Crustal Evolution in the Daqingshan Area: Evidences from Adakitic and A-Type Granitoids in the Guyang Changshengqu Goldfield, Khondalite Belt, North China Craton. Precambrian Res. 2020, 345, 105761. [Google Scholar] [CrossRef]
- Chen, L.; Cheng, C.; Wei, Z. Seismic Evidence for Significant Lateral Variations in Lithospheric Thickness Beneath the Central and Western North China Craton. Earth Planet. Sci. Lett. 2009, 286, 171–183. [Google Scholar] [CrossRef]
- Xu, B.; Wang, Z.W.; Zhang, L.Y.; Wang, Z.H.; Yang, Z.N.; He, Y. The Xing-Meng Intracontinent Orogenic Belt. Acta Petrol. Sin. 2018, 34, 2819–2844. [Google Scholar]
- Luo, H.L.; Wu, T.R.; Zhao, L.; He, Y.K.; Jin, X. Permian High Ba-Sr Granitoids: Geochemistry, Age and Tectonic Implications of Erlangshan Pluton, Urad Zhongqi, Inner Mongolia. Acta Geol. Sin. 2009, 83, 603–614. [Google Scholar] [CrossRef]
- Luo, H.L.; Wu, T.R.; Zhao, L. Zircon SHRIMP U-Pb Dating of Wuliangsitai A-Type Granite on the Northern Margin of the North China Plate and Tectonic Significance. Acta Petrol. Sin. 2009, 25, 515–526. [Google Scholar]
- Liu, C.F.; Liu, W.C.; Zhou, Z.G. Geochronology, Geochemistry and Tectonic Setting of the Paleozoic–Early Mesozoic Intrusive in Siziwangqi, Inner Mongolia. Acta Geol. Sin. 2014, 88, 992–1002. [Google Scholar] [CrossRef]
- Dong, C.Y.; Wan, Y.S.; Wilde, S.A.; Xu, Z.Y.; Ma, M.Z.; Xie, H.Q.; Liu, D.Y. Earliest Paleoproterozoic Supracrustal Rocks in the North China Craton: Recognized from the Daqingshan Area of the Khondalite Belt: Constraints on Craton Evolution. Gondwana Res. 2014, 25, 1535–1553. [Google Scholar] [CrossRef]
- Ma, M.Z.; Wan, Y.S.; Santosh, M.; Xu, Z.Y.; Xie, H.Q.; Dong, C.Y.; Liu, D.Y.; Guo, C.L. Decoding Multiple Tectonothermal Events in Zircons from Single Rock Samples: SHRIMP Zircon U-Pb Data from the Late Neoproterozoic Rocks of Daqingshan, North China Craton. Gondwana Res. 2012, 22, 810–827. [Google Scholar] [CrossRef]
- Dan, W.; Li, X.H.; Guo, J.H.; Liu, Y.; Wang, X.C. Paleoproterozoic Evolution of the Eastern Alxa Block, Westernmost North China: Evidence from in situ Zircon U–Pb Dating and Hf–O Isotopes. Gondwana Res. 2012, 21, 838–864. [Google Scholar] [CrossRef]
- Dan, W.; Li, X.H.; Wang, Q.; Wang, X.C.; Liu, Y.; Wyman, D.A. Paleoproterozoic S-Type Granites in the Helanshan Complex, Khondalite Belt, North China Craton: Implications for Rapid Sediment Recycling During Slab Break-Off. Precambrian Res. 2014, 254, 59–72. [Google Scholar] [CrossRef]
- Zhai, M.G. Tectonic Evolution of the North China Craton. J. Geomech.Geophys. 2019, 25, 722–745. [Google Scholar]
- Zhai, M.G.; Zhao, L.; Zhu, X.Y.; Zhou, Y.Y.; Peng, P.; Guo, J.H.; Li, Q.L.; Zhao, T.P.; Lu, J.S.; Li, X.H. Late Neoarchean Magmatic-Metamorphic Event and Crustal Stabilization in the North China Craton. Am. J. Sci. 2021, 321, 206–234. [Google Scholar] [CrossRef]
- Zhai, M.G.; Peng, P. Paleoproterozoic Events in the North China Craton. Acta Petrol. Sin. 2007, 23, 2665–2682. [Google Scholar]
- Huang, B.; Kusky, T.M.; Johnson, T.E.; Wilde, S.A.; Wang, L.; Polat, A.; Fu, D. Paired Metamorphism in the Neoarchean: A Record of Accretionary-to-Collisional Orogenesis in the North China Craton. Earth Planet. Sci. Lett. 2020, 543, 116355. [Google Scholar] [CrossRef]
- Yang, T.X.; Yu, R.G.; Rong, H.; Li, T.; Zhu, Q. Geochemistry of Sandstones and U-Pb Ages of Detrital Zircons in the Zhiluo Formation of the Central and Northern Ordos Basin, China: Constraints on Provenance and Tectonic Setting. Acta Geosci. Sin. 2024, 45, 941–952. [Google Scholar]
- Zhang, S.H.; Zhao, Y.; Liu, J.; Hu, J.M.; Chen, Z.L.; Li, M.; Pei, J.L.; Chen, Z.Y.; Zhou, J.X. Emplacement Depths of the Late Paleozoic-Mesozoic Granitoid Intrusions from the Northern North China Block and Their Tectonic Implications. Acta Petrol. Sin. 2007, 23, 625–638. [Google Scholar]
- Zhang, N.; Wang, C.B.; Liu, Z.H.; Xu, Z.Y.; Li, G.; Xuan, Y.F.; Gao, Y.; Wang, C. Tectonic Evolution of the Late Paleozoic-Early Mesozoic Orogenic Belt in the Eastern Segment of the Northern Margin of the North China Block: Evidence from Meta-Volcanic Rocks of Jianshanzi, Northern Liaoning Province. Acta Petrol. Sin. 2022, 38, 2323–2344. [Google Scholar]
- Ren, Z.L.; Qi, K.; Liu, R.C.; Cui, J.P.; Chen, Z.P. Dynamic Background of Early Cretaceous Tectonic Thermal Events and Its Control on Various Mineral Accumulations Such as Oil and Gas in the Ordos Basin. Acta Petrol. Sin. 2020, 36, 1213–1234. (In Chinese) [Google Scholar]
- He, X.Y.; Liu, C.Y.; Zhang, L.; Wang, J.Q.; Huang, L.P.; Du, F.P.; Yang, X.K. The Tectonic Uplift Episodes and Energy Effects in the Northeastern Ordos Basin. Acta Geol. Sin. 2024, 98, 3735–3750. [Google Scholar]
- Wan, T.F. Discussion on the Liupanshan-Helanshan Collision Zone. Geotecton. Metallog. 2020, 44, 845–851, (In Chinese with English abstract). [Google Scholar]
- Zhao, H.L.; Zang, Y.L.; Li, J.G.; Zhang, B.; Chen, L.L. Preliminary Study on the Occurrence State of Uranium in the Lower Cretaceous Luohe Formation of Pengyang Uranium Deposit, Southwestern Ordos Basin. North China Geol. 2022, 45, 21–27, (In Chinese with English abstract). [Google Scholar]
- Ren, Y.S.; Yang, X.Y.; Miao, P.S.; Hu, X.W.; Chen, Y.; Chen, L.L.; Zhao, H.L. Mineralogical and Geochemical Research on Pengyang Deposit: A Peculiar Eolian Sandstone-Hosted Uranium Deposit in the Southwest of Ordos Basin. Ore Geol. Rev. 2022, 141, 104571. [Google Scholar] [CrossRef]
- Taylor, S.R.; McLennan, S.M. The Continental Crust: Its Composition and Evolution; Blackwell Scientific Publications: Oxford, UK, 1985. [Google Scholar]
- Cullers, R.L. The Controls on the Major- and Trace-Element Evolution of Shales, Siltstones and Sandstones of Ordovician to Tertiary Age in the Wet Mountains Region, Colorado, USA. Chem. Geol. 1995, 123, 107–131. [Google Scholar] [CrossRef]
- Hou, W.; Liu, Z.J.; Wang, W.T.; He, Y.P.; Zhang, W. REE Geochemical Characteristics of the Lower Cretaceous Mudstone in Suibin Depression of Eastern Heilongjiang Province. J. Palaeogeogr. 2007, 9, 207–215, (In Chinese with English abstract). [Google Scholar]
- Bao, H.Y.; Yang, F.L.; Wang, D.P. Geochemical Characteristics of Sedimentary Rock in Southern Jiangsu Province on Mesozoic and Paleozoic: A Perspective from the SK-1 Well. J. Jilin Univ.: Earth Sci. Ed. 2011, 41 (Suppl. 1), 29–38, (In Chinese with English abstract). [Google Scholar]
- Diwu, C.R. Crustal Growth and Evolution of Archean Continental Crust in the Southern North China Craton. Acta Petrol. Sin. 2021, 37, 317–340. [Google Scholar]
- Liu, S.; Feng, C.X.; Hu, R.Z.; Feng, G.Y.; Yu, X.F.; Li, C.; Jia, D.C.; Qi, Y.Q. Zircon U-Pb Age and Hf Isotope Characteristics of the Hercynian Granite in the Eastern Jilin Province and the Crustal Growth. Acta Petrol. Sin. 2012, 28, 3715–3720. [Google Scholar]
- Liu, R.; Yang, Z.; Xu, Q.D.; Zhang, X.J.; Yao, C.L. Zircon U-Pb Ages, Elemental and Sr-Nd-Pb Isotopic Geochemistry of the Hercynian Granitoids from the Southern Segment of the Da Hinggan Mts.: Petrogenesis and Tectonic Implications. Acta Petrol. Sin. 2016, 32, 1505–1528. [Google Scholar]
- Amirdin, A.; Xie, G.A.; Zhang, J.; Qu, J.F.; Tian, R.S.; Zhao, H.; Li, F.H.; Li, T. Geochemistry, Zircon U-Pb Age and Tectonic Settings of Pillow Basalts in the Langshan Area on the Northern Margin of the Alxa Block, Inner Mongolia. Geol. Bull. China 2019, 38, 810–823. [Google Scholar]
- Zhang, F.C. Geochronology, Geochemistry and Geological Significance of the Xiaodaqingshan Granites in Jining, Inner Mongolia. Master’s Thesis, China University of Geosciences, Beijing, China, 2019. [Google Scholar]
- Chang, Z.G. Petrogenesis and Geological Significance of Mesozoic Bainuyangpan Formation Volcanic Rocks in Yinshan Area, Inner Mongolia. Master’s Thesis, Taiyuan University of Technology, Taiyuan, China, 2017. [Google Scholar]
- Wang, W.L.; Teng, X.J.; Liu, Y.; Teng, F.; Guo, S.; He, P.; Tian, J.; Duan, X.L. Zircon U-Pb Chronology and Geochemical Characteristics of the Wuheertu Granite Mass in Langshan, Inner Mongolia. J. Geomech.Geophys. 2017, 23, 15–25. [Google Scholar]
- Hui, J.; Fan, L.Y.; Zhao, W.B.; Kang, R.; Wang, Y.F.; Zhang, J.; Zhang, B.H.; Zhao, H. Late Triassic Extension in the Northwestern Ordos Basin: Constraints from Langshan Basalts, NW China. Acta Geol. Sin. 2024, 98, 1–15. [Google Scholar]
- Tian, J.; Teng, X.J.; Liu, Y.; Teng, F.; Guo, S.; He, P.; Wang, W.L. Chronology and Geochemistry of the Early Permian Granodiorite in Langshan Area, Inner Mongolia and Its Tectonic Setting. Geol. China 2020, 47, 767–781. [Google Scholar]
- Zhao, C.; Wang, X.; Liu, J.; Zhang, J.; Chen, J.S.; Zhang, C.; Cui, D.D.; Cui, Y.S. Zircon U-Pb-Hf Isotopes and Geochemistry of Neoarchean TTG Gneisses in the Guyang Area of the Yinshan Block: Constraints on Petrogenesis and Tectonic Implications. Acta Petrol. Sin. 2024, 40, 3465–3483. [Google Scholar] [CrossRef]
- Wu, B. Neoarchean Felsic Magmatism in the Guyang Area of the North China Craton and Its Implications for Early Plate Tectonics. Ph.D. Thesis, Northwest University, Xi’an, China, 2022. [Google Scholar]
- Zhang, S.C.; Liu, P.; Ji, B.J. Thorium Resources and Their Availability. World Nucl. Geosci. 2005, 22, 98–103. [Google Scholar]
- Wang, X.; Griffin, W.L.; Chen, J.; Huang, P.Y.; Li, X. U and Th Contents and Th/U Ratios of Zircon in Felsic and Mafic Magmatic Rocks: Improved Zircon-Melt Distribution Coefficients. Acta Geol. Sin. 2011, 85, 164–174. [Google Scholar]
- Wang, W.Q.; Liu, C.Y.; Wang, J.Q.; Ma, H.H.; Guan, Y.Z. Characteristics of Uranium Content and Its Geological and Mineralization Significance for the Provenance Areas, Northern Northwest China. Earth Sci. Front. 2019, 26, 292–303, (In Chinese with English abstract). [Google Scholar]
- Feng, Z.B.; Zhang, B.C.; Nie, F.J.; Xia, F.; Ning, J.; Zhang, L.L. Characteristics of rock fissure fillings and their relationship with the accumulation of uranium and associated elements in the Kailu Sag of southern Songliao Basin, Northeast China. Ore Geol. Rev. 2024, 169, 106079. [Google Scholar] [CrossRef]
- Peng, H.; Jiao, Y.Q.; Fu, X.F.; Wu, L.Q.; Guo, X.D.; Wang, Q.S.; Liu, C. Provenance and uranium source tracing for uranium-bearing series in the south of Songliao Basin: Evidence from zircon U–Pb chronology and lithogeochemistry. J. Geochem. Explor. 2025, 272, 107703, (In Chinese with English abstract). [Google Scholar] [CrossRef]
- Cheng, Y.H.; Petrov, V.; Jin, R.S.; Miao, P.S. Neotectonic controls on large-scale uranium mineralization in the Meso-Cenozioc basins, Northern China. Ore Geol. Rev. 2025, 176, 106393. [Google Scholar] [CrossRef]
- Peng, H.; Jiao, Y.Q.; Dong, F.S.; Guo, X.D. Relationships between uranium occurrence, pyrite and carbonaceous debris in Fuxin Formation in the Songliao Basin: Evidenced by mineralogy and sulfur isotopes. Ore Geol. Rev. 2022, 140, 104580. [Google Scholar] [CrossRef]
- Huang, H.; Cawood, P.A.; Ni, S.J.; Hou, M.C.; Shi, Z.Q. Provenance of late Paleozoic strata in the Yili Basin: Implications for tectonic evolution of the South Tianshan orogenic belt. Geol. Soc. Am. Bull. 2018, 130, 952–974. [Google Scholar] [CrossRef]
- Huang, G.W.; Xue, W.W.; Pan, J.Y.; Song, T.Z.; Huang, G.N.; Zhang, C.Y.; Bai, X.D.; Zhang, T.; Hong, B.Y. Provenance and Tectonic Setting of Sandstones in the Mengqiguer Sandstone-type Uranium Deposit, Yili Basin: Evidence from Zircon U-Pb Chronology. Geotecton. Metall. 2018, 42, 1108–1141. [Google Scholar]
- Zhang, X.; Nie, F.J.; Xia, F.; Zhang, C.Y.; Feng, Z.B. Provenance constraints on the Xishanyao Formation, southern Yili Basin, northwest China: Evidence from petrology, geochemistry, and detrital zircon U–Pb geochronology. Can. J. Earth Sci. 2018, 55, 1020–1035. [Google Scholar] [CrossRef]












Disclaimer/Publisher’s Note: The statements, opinions and data contained in all publications are solely those of the individual author(s) and contributor(s) and not of MDPI and/or the editor(s). MDPI and/or the editor(s) disclaim responsibility for any injury to people or property resulting from any ideas, methods, instructions or products referred to in the content. |
© 2025 by the authors. Licensee MDPI, Basel, Switzerland. This article is an open access article distributed under the terms and conditions of the Creative Commons Attribution (CC BY) license (https://creativecommons.org/licenses/by/4.0/).
Share and Cite
Zhang, X.; Che, J.; Nie, F.; Miao, A.; Yan, Z.; Zhang, C.; Hu, Y. Provenance and Uranium Sources in the Lower Cretaceous Huanhe Formation of Northern Ordos Basin: Constraints from Detrital Zircon U–Pb Geochronology and Hf Isotopes. Minerals 2025, 15, 1079. https://doi.org/10.3390/min15101079
Zhang X, Che J, Nie F, Miao A, Yan Z, Zhang C, Hu Y. Provenance and Uranium Sources in the Lower Cretaceous Huanhe Formation of Northern Ordos Basin: Constraints from Detrital Zircon U–Pb Geochronology and Hf Isotopes. Minerals. 2025; 15(10):1079. https://doi.org/10.3390/min15101079
Chicago/Turabian StyleZhang, Xin, Junfan Che, Fengjun Nie, Aisheng Miao, Zhaobin Yan, Chengyong Zhang, and Yujie Hu. 2025. "Provenance and Uranium Sources in the Lower Cretaceous Huanhe Formation of Northern Ordos Basin: Constraints from Detrital Zircon U–Pb Geochronology and Hf Isotopes" Minerals 15, no. 10: 1079. https://doi.org/10.3390/min15101079
APA StyleZhang, X., Che, J., Nie, F., Miao, A., Yan, Z., Zhang, C., & Hu, Y. (2025). Provenance and Uranium Sources in the Lower Cretaceous Huanhe Formation of Northern Ordos Basin: Constraints from Detrital Zircon U–Pb Geochronology and Hf Isotopes. Minerals, 15(10), 1079. https://doi.org/10.3390/min15101079
