Efficient Aqueous Copper Removal by Burnt Tire-Derived Carbon-Based Nanostructures and Their Utilization as Catalysts
Abstract
1. Introduction
2. Materials and Methods
2.1. Materials and Reagents
2.2. Preparation of Sulfuric Acid Modified Burnt Tyre Material
2.3. Oxidation via Modified Hummer’s Method
2.4. Characterisation
2.5. Batch Adsorption Studies
2.6. Catalysis
3. Results and Discussion
3.1. Characterisation of Carbonaceous Adsorbents before and after Adsorption
3.2. Batch Adsorption Studies
Effect of pH and Dosage
3.3. Adsorption Kinetics
3.4. Equilibrium Adsorption Isotherm
3.5. Adsorption Mechanism
3.6. Catalysis: Coupling Reactions
4. Conclusions
Supplementary Materials
Author Contributions
Funding
Data Availability Statement
Conflicts of Interest
References
- Afroze, Q. How Does Mining Affect the Environment. Available online: https://federalmetals.ca/how-does-copper-mining-affect-the-environment/ (accessed on 14 November 2023).
- Liu, Y.; Wang, H.; Cui, Y.; Chen, N. Removal of Copper Ions from Wastewater: A Review. Int. J. Environ. Res. Public Health 2023, 20, 3885. [Google Scholar] [CrossRef]
- Tchounwou, P.B.; Yedjou, C.G.; Patlolla, A.K.; Sutton, D.J. Heavy Metal Toxicity and the Environment. Exp. Suppl. 2012, 101, 133–164. [Google Scholar] [CrossRef] [PubMed]
- Singh, R.; Gautam, N.; Mishra, A.; Gupta, R. Heavy metals and living systems: An overview. Indian J. Pharmacol. 2011, 43, 246. [Google Scholar] [CrossRef] [PubMed]
- Dong, D.; van Oers, L.; Tukker, A.; van der Voet, E. Assessing the future environmental impacts of copper production in China: Implications of the energy transition. J. Clean. Prod. 2020, 274, 122825. [Google Scholar] [CrossRef]
- Xu, Y.; Weinberg, G.; Liu, X.; Timpe, O.; Schlögl, R.; Su, D.S. Nanoarchitecturing of Activated Carbon: Facile Strategy for Chemical Functionalization of the Surface of Activated Carbon. Adv. Funct. Mater. 2008, 18, 3613–3619. [Google Scholar] [CrossRef]
- Kobya, M.; Demirbas, E.; Senturk, E.; Ince, M. Adsorption of heavy metal ions from aqueous solutions by activated carbon prepared from apricot stone. Bioresour. Technol. 2005, 96, 1518–1521. [Google Scholar] [CrossRef]
- El Fakir, L.; Flayou, M.; Dahchour, A.; Sebbahi, S.; Kifani-Sahban, F.; El Hajjaji, S. Adsorptive removal of copper(II) from aqueous solutions on phosphates: Equilibrium, kinetics, and thermodynamics. Desalin. Water Treat. 2015, 43, 1–10. [Google Scholar] [CrossRef]
- Bobrowska, D.M.; Olejnik, P.; Echegoyen, L.; Plonska-Brzezinska, M.E. Onion-Like Carbon Nanostructures: An Overview of Bio-Applications. Curr. Med. Chem. 2019, 26, 6896–6914. [Google Scholar] [CrossRef]
- Ren, X.; Li, J.; Tan, X.; Wang, X. Comparative study of graphene oxide, activated carbon and carbon nanotubes as adsorbents for copper decontamination. Dalt. Trans. 2013, 42, 5266. [Google Scholar] [CrossRef]
- Deng, J.; You, Y.; Sahajwalla, V.; Joshi, R.K. Transforming waste into carbon-based nanomaterials. Carbon N. Y. 2016, 96, 105–115. [Google Scholar] [CrossRef]
- McDonough, J.K.; Gogotsi, Y. Carbon Onions: Synthesis and Electrochemical Applications. Interface Mag. 2013, 22, 61–66. [Google Scholar] [CrossRef]
- Eatemadi, A.; Daraee, H.; Karimkhanloo, H.; Kouhi, M.; Zarghami, N.; Akbarzadeh, A.; Abasi, M.; Hanifehpour, Y.; Joo, S.W. Carbon nanotubes: Properties, synthesis, purification, and medical applications. Nanoscale Res. Lett. 2014, 9, 393. [Google Scholar] [CrossRef] [PubMed]
- Zhang, B.-T.; Zheng, X.; Li, H.-F.; Lin, J.-M. Application of carbon-based nanomaterials in sample preparation: A review. Anal. Chim. Acta 2013, 784, 1–17. [Google Scholar] [CrossRef] [PubMed]
- Meng, X.; Deng, D. Trash to Treasure: Waste Eggshells Used as Reactor and Template for Synthesis of Co 9 S 8 Nanorod Arrays on Carbon Fibers for Energy Storage. Chem. Mater. 2016, 28, 3897–3904. [Google Scholar] [CrossRef]
- Akhavan, O.; Bijanzad, K.; Mirsepah, A. Synthesis of graphene from natural and industrial carbonaceous wastes. RSC Adv. 2014, 4, 20441. [Google Scholar] [CrossRef]
- Yang, X.; Wan, Y.; Zheng, Y.; He, F.; Yu, Z.; Huang, J.; Wang, H.; Ok, Y.S.; Jiang, Y.; Gao, B. Surface functional groups of carbon-based adsorbents and their roles in the removal of heavy metals from aqueous solutions: A critical review. Chem. Eng. J. 2019, 366, 608–621. [Google Scholar] [CrossRef]
- Akpor, O.B.; Muchie, M. Remediation of heavy metals in drinking water and wastewater treatment systems: Processes and applications. Int. J. Phys. Sci. 2010, 5, 1807–1817. [Google Scholar]
- Radetzki, M. Seven thousand years in the service of humanity—The history of copper, the red metal. Resour. Policy 2009, 34, 176–184. [Google Scholar] [CrossRef]
- Rao, H.; Fu, H. Copper-Catalyzed Coupling Reactions. Synlett 2011, 2011, 745–769. [Google Scholar] [CrossRef]
- Lokolkar, M.S.; Kolekar, Y.A.; Jagtap, P.A.; Bhanage, B.M. Cu-Catalyzed C-C Coupling Reactions. In Topics in Organometallic Chemistry; Springer: Cham, Switzerland, 2023; pp. 277–384. [Google Scholar]
- Colacot, T.J. (Ed.) New Trends in Cross Coupling; Royal Chemistry Society; Catalysis Series; Royal Society of Chemistry: Cambridge, UK, 2005; ISBN 978-1-84973-896-5. [Google Scholar]
- San Miguel, G.; Fowler, G.D.; Sollars, C.J. A study of the characteristics of activated carbons produced by steam and carbon dioxide activation of waste tyre rubber. Carbon N. Y. 2003, 41, 1009–1016. [Google Scholar] [CrossRef]
- Khatmi Maab, N.Z.; Shokuhfar, A.; Ahmadi, S. The effect of temperature and type of peroxide on graphene synthesized by improved Hummers’ method. Int. Nano Lett. 2016, 6, 211–214. [Google Scholar] [CrossRef]
- Moyo, M.; Chikazaza, L.; Nyamunda, B.C.; Guyo, U. Adsorption Batch Studies on the Removal of Pb(II) Using Maize Tassel Based Activated Carbon. J. Chem. 2013, 2013, 508934. [Google Scholar] [CrossRef]
- Paulchamy, B.; Arthi, G.; Lignesh, B.D. A Simple Approach to Stepwise Synthesis of Graphene Oxide Nanomaterial. J. Nanomed. Nanotechnol. 2015, 6, 1. [Google Scholar] [CrossRef]
- Largitte, L.; Pasquier, R. A review of the kinetics adsorption models and their application to the adsorption of lead by an activated carbon. Chem. Eng. Res. Des. 2016, 109, 495–504. [Google Scholar] [CrossRef]
- Wang, Z.; Zhao, J.; Song, L.; Mashayekhi, H.; Chefetz, B.; Xing, B. Adsorption and desorption of phenanthrene on carbon nanotubes in simulated gastrointestinal fluids. Environ. Sci. Technol. 2011, 45, 6018–6024. [Google Scholar] [CrossRef]
- Gupta, K.; Ghosh, U.C. Arsenic removal using hydrous nanostructure iron(III)–titanium(IV) binary mixed oxide from aqueous solution. J. Hazard. Mater. 2009, 161, 884–892. [Google Scholar] [CrossRef]
- Chung, H.-K.; Kim, W.-H.; Park, J.; Cho, J.; Jeong, T.-Y.; Park, P.-K. Application of Langmuir and Freundlich isotherms to predict adsorbate removal efficiency or required amount of adsorbent. J. Ind. Eng. Chem. 2015, 28, 241–246. [Google Scholar] [CrossRef]
- Islam, S.M.; Salam, N.; Mondal, P.; Roy, A.S.; Ghosh, K.; Tuhina, K. A highly active reusable polymer anchored copper catalyst for C-O, C-N and C-S cross coupling reactions. J. Mol. Catal. A Chem. 2014, 387, 7–19. [Google Scholar] [CrossRef]
- Jorio, A.; Ferreira, E.H.M.; Moutinho, M.V.O.; Stavale, F.; Achete, C.A.; Capaz, R.B. Measuring disorder in graphene with the G and D bands. Phys. Status Solidi 2010, 247, 2980–2982. [Google Scholar] [CrossRef]
- Danila, V.; Januševičius, T. Adsorption of aqueous Pb(II) using non-devulcanized and devulcanized tyre rubber powder: A comparative study. Environ. Sci. Pollut. Res. 2023, 1–17. [Google Scholar] [CrossRef] [PubMed]
- Lee, S.M.; Lee, S.H.; Roh, J.S. Analysis of activation process of carbon black based on structural parameters obtained by XRD analysis. Crystals 2021, 11, 153. [Google Scholar] [CrossRef]
- Jeong, H. Toxic metal concentrations and Cu–Zn–Pb isotopic compositions in tires. J. Anal. Sci. Technol. 2022, 13, 2. [Google Scholar] [CrossRef]
- Nandiyanto, A.B.D.; Oktiani, R.; Ragadhita, R. How to Read and Interpret FTIR Spectroscope of Organic Material. Indones. J. Sci. Technol. 2019, 4, 97–118. [Google Scholar] [CrossRef]
- Revellame, E.D.; Fortela, D.L.; Sharp, W.; Hernandez, R.; Zappi, M.E. Adsorption kinetic modeling using pseudo-first order and pseudo-second order rate laws: A review. Clean. Eng. Technol. 2020, 1, 100032. [Google Scholar] [CrossRef]
- Ho, Y.S.; McKay, G. Pseudo-second order model for sorption processes. Process Biochem. 1999, 34, 451–465. [Google Scholar] [CrossRef]
- Muedi, K.L.L.; Brink, H.G.G.; Masindi, V.; Maree, J.P.P. Effective removal of arsenate from wastewater using aluminium enriched ferric oxide-hydroxide recovered from authentic acid mine drainage. J. Hazard. Mater. 2021, 414, 125491. [Google Scholar] [CrossRef] [PubMed]
- Scott Fogler, H. Elements of Chemical Reaction Engineering, 4th ed.; Pearson Education Limited: London, UK, 2013; ISBN 0130473944. [Google Scholar]
- Ribeiro, A.C.; Esteso, M.A.; Lobo, V.M.; Valente, A.J.; Simoes, S.M.; Sobral, A.J.; Burrows, H.D. Diffusion coefficients of copper chloride in aqueous solutions at 298.15 K and 310.15 K. J. Chem. Eng. Data 2005, 50, 1986–1990. [Google Scholar] [CrossRef]
- Sick, T. Synthesis and Characterization of Nanoporous Covalent Organic Frameworks for Optoelectronic Applications. Ph.D. Dissertation, Faculty of Chemistry and Pharmacy, LMU, München, Germany, 2018. [Google Scholar] [CrossRef]
- Saha, P.; Chowdhury, S. Insight Into Adsorption Thermodynamics. In Thermodynamics; Mizutani, T., Ed.; InTech: London, UK, 2011. [Google Scholar]
- Kera, N.H.; Bhaumik, M.; Ballav, N.; Pillay, K.; Ray, S.S.; Maity, A. Selective removal of Cr(VI) from aqueous solution by polypyrrole/2,5-diaminobenzene sulfonic acid composite. J. Colloid Interface Sci. 2016, 476, 144–157. [Google Scholar] [CrossRef] [PubMed]
- Darweesh, M.A.; Elgendy, M.Y.; Ayad, M.I.; Ahmed, A.M.M.; Elsayed, N.M.K.; Hammad, W.A. Adsorption isotherm, kinetic, and optimization studies for copper (II) removal from aqueous solutions by banana leaves and derived activated carbon. S. Afr. J. Chem. Eng. 2022, 40, 10–20. [Google Scholar] [CrossRef]
- Sabela, M.I.; Kunene, K.; Kanchi, S.; Xhakaza, N.M.; Bathinapatla, A.; Mdluli, P.; Sharma, D.; Bisetty, K. Removal of copper (II) from wastewater using green vegetable waste derived activated carbon: An approach to equilibrium and kinetic study. Arab. J. Chem. 2019, 12, 4331–4339. [Google Scholar] [CrossRef]
- Bouhamed, F.; Elouear, Z.; Bouzid, J. Adsorptive removal of copper(II) from aqueous solutions on activated carbon prepared from Tunisian date stones: Equilibrium, kinetics and thermodynamics. J. Taiwan Inst. Chem. Eng. 2012, 43, 741–749. [Google Scholar] [CrossRef]
- Orozco, C.I.; Freire, M.S.; Gómez-Díaz, D.; González-Álvarez, J. Removal of copper from aqueous solutions by biosorption onto pine sawdust. Sustain. Chem. Pharm. 2023, 32, 101016. [Google Scholar] [CrossRef]
- Demiral, H.; Güngör, C. Adsorption of copper(II) from aqueous solutions on activated carbon prepared from grape bagasse. J. Clean. Prod. 2016, 124, 103–113. [Google Scholar] [CrossRef]
- Helleur, R.; Popovic, N.; Ikura, M.; Stanciulescu, M.; Liu, D. Characterization and potential applications of pyrolytic char from ablative pyrolysis of used tires. J. Anal. Appl. Pyrolysis 2001, 58–59, 813–824. [Google Scholar] [CrossRef]
- Arunachellan, I.C.; Sypu, V.S.; Kera, N.H.; Pillay, K.; Maity, A. Flower-like structures of carbonaceous nanomaterials obtained from biomass for the treatment of copper ion-containing water and their re-use in organic transformations. J. Environ. Chem. Eng. 2021, 9, 105242. [Google Scholar] [CrossRef]
- Chen, W.S.; Chen, Y.C.; Lee, C.H. Modified Activated Carbon for Copper Ion Removal from Aqueous Solution. Processes 2022, 10, 150. [Google Scholar] [CrossRef]
- Sulaiman, S.; Azis, R.S.; Ismail, I.; Man, H.C.; Yusof, K.F.M.; Abba, M.U.; Katibi, K.K. Adsorptive Removal of Copper(II) Ions from Aqueous Solution Using a Magnetite Nano-Adsorbent from Mill Scale Waste: Synthesis, Characterization, Adsorption and Kinetic Modelling Studies. Nanoscale Res. Lett. 2021, 16, 168. [Google Scholar] [CrossRef]
- Neisan, R.S.; Saady, N.M.C.; Bazan, C.; Zendehboudi, S.; Albayati, T.M. Adsorption of copper from water using TiO2-modified activated carbon derived from orange peels and date seeds: Response surface methodology optimization. Heliyon 2023, 9, e21420. [Google Scholar] [CrossRef]











| Surface Area (m2/g) | Pore Volume (cm3/g) | Pore Diameter (nm) | |
|---|---|---|---|
| Raw BT | 5.49 | 0.035 | 25.55 |
| BTSA | 19.88 | 0.088 | 17.77 |
| BTHM | 71.08 | 0.380 | 21.42 |
| Kinetic Model | Initial Cu Concentration | ||
|---|---|---|---|
| 50 mg/L | 100 mg/L | 200 mg/L | |
| Pseudo-first-order | |||
| qe | 44.55 | 87.84 | 99.96 |
| k1 | 0.3418 | 0.5151 | 0.3477 |
| R2 | 0.8788 | 0.9105 | 0.8696 |
| Absolute Sum of Squares | 392.7 | 867.1 | 1999 |
| Sy.x | 4.546 | 6.755 | 10.26 |
| RMSE | 4.431 | 6.584 | 9.997 |
| Pseudo-second-order | |||
| qe | 47.40 | 91.42 | 105.9 |
| k2 | 0.009826 | 0.009487 | 0.004677 |
| R2 | 0.9455 | 0.9750 | 0.9504 |
| Absolute Sum of Squares | 176.6 | 242.4 | 760.3 |
| Sy.x | 3.049 | 3.572 | 6.326 |
| RMSE | 2.971 | 3.481 | 6.166 |
| Two-phase pseudo-first-order | |||
| qe | 47.89 | 96.74 | 107.7 |
| ϕfast | 0.6319 | ||
| k1,fast | 1.078 | ||
| k1,slow | 0.03732 | ||
| R2 | 0.9922 | ||
| Absolute Sum of Squares | 439.3 | ||
| Sy.x | 2.776 | ||
| RMSE | 2.662 | ||
| Crank mass transfer | |||
| Qmax | 47.40 | 91.42 | 105.9 |
| De | 3.7 × 10−10 | ||
| R2 | 0.9264 | ||
| Absolute Sum of Squares | 1365 | ||
| Sy.x | 6.531 | ||
| RMSE | 6.531 | ||
| Webber and Morris | |||
| De1 | 3.70 × 10−10 | ||
| De2 | 6.15 × 10−11 | ||
| De3 | 1.43 × 10−11 | ||
| R2 | 0.9934 | ||
| Absolute Sum of Squares | 368.2 | ||
| Sy.x | 2.587 | ||
| RMSE | 2.437 | ||
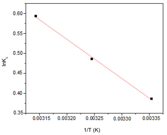
| Temperature (°C) | ΔG° | ΔH° | ΔS° |
|---|---|---|---|
| 25 | −0.95175 | 8.161679 | 0.030567 |
| 35 | −1.25742 | ||
| 45 | −1.56308 |
| Isotherm Model | Temperature | ||
|---|---|---|---|
| 25 °C | 35 °C | 45 °C | |
| Langmuir | |||
| Best-fit values | |||
| qm | 136.1 | 143.9 | 149.5 |
| b | 0.07744 | 0.07693 | 0.09670 |
| Std. Error | |||
| qm | 15.98 | 17.39 | 15.86 |
| b | 0.03072 | 0.03068 | 0.03495 |
| Goodness of Fit | |||
| R2 | 0.8923 | 0.8926 | 0.9067 |
| Absolute Sum of Squares | 783.8 | 880.6 | 856.3 |
| Sy.x | 14.00 | 14.84 | 14.63 |
| Freundlich | |||
| Best-fit values | |||
| KF | 30.38 | 31.12 | 36.22 |
| N | 3.297 | 3.208 | 3.391 |
| Std. Error | |||
| KF | 12.08 | 12.18 | 12.89 |
| N | 1.088 | 1.023 | 1.061 |
| R2 | 0.7550 | 0.7678 | 0.7713 |
| Absolute Sum of Squares | 1784 | 1905 | 2098 |
| Sy.x | 21.12 | 21.82 | 22.90 |
| R2 | 0.7550 | 0.7678 | 0.7713 |
| Adsorbents | qmax (mg/g) | Ref |
|---|---|---|
| Banana leave AC | 66.2 | [45] |
| Green vegetable AC | 75.0 | [46] |
| Date stone AC | 31.3 | [47] |
| Sawdust AC | 2.23 | [48] |
| Grape bagasse AC | 43.5 | [49] |
| Used tire AC | 20.0 | [50] |
| Dried tree fibre MAC | 80.2 | [51] |
| Waste wood MAC | 84.5 | [52] |
| Mill Waste MAC | 4.4 | [53] |
| Orange Peels, TiO2 MAC | 14.0 | [54] |
| BTHM | 136.1 | Current study |
Disclaimer/Publisher’s Note: The statements, opinions and data contained in all publications are solely those of the individual author(s) and contributor(s) and not of MDPI and/or the editor(s). MDPI and/or the editor(s) disclaim responsibility for any injury to people or property resulting from any ideas, methods, instructions or products referred to in the content. |
© 2024 by the authors. Licensee MDPI, Basel, Switzerland. This article is an open access article distributed under the terms and conditions of the Creative Commons Attribution (CC BY) license (https://creativecommons.org/licenses/by/4.0/).
Share and Cite
Arunachellan, I.C.; Bhaumik, M.; Brink, H.G.; Pillay, K.; Maity, A. Efficient Aqueous Copper Removal by Burnt Tire-Derived Carbon-Based Nanostructures and Their Utilization as Catalysts. Minerals 2024, 14, 302. https://doi.org/10.3390/min14030302
Arunachellan IC, Bhaumik M, Brink HG, Pillay K, Maity A. Efficient Aqueous Copper Removal by Burnt Tire-Derived Carbon-Based Nanostructures and Their Utilization as Catalysts. Minerals. 2024; 14(3):302. https://doi.org/10.3390/min14030302
Chicago/Turabian StyleArunachellan, Iviwe Cwaita, Madhumita Bhaumik, Hendrik Gideon Brink, Kriveshini Pillay, and Arjun Maity. 2024. "Efficient Aqueous Copper Removal by Burnt Tire-Derived Carbon-Based Nanostructures and Their Utilization as Catalysts" Minerals 14, no. 3: 302. https://doi.org/10.3390/min14030302
APA StyleArunachellan, I. C., Bhaumik, M., Brink, H. G., Pillay, K., & Maity, A. (2024). Efficient Aqueous Copper Removal by Burnt Tire-Derived Carbon-Based Nanostructures and Their Utilization as Catalysts. Minerals, 14(3), 302. https://doi.org/10.3390/min14030302

