Diagenesis Variation in Different Distributary Channels of Shallow Water Lacustrine Delta Deposits and Implication for High-Quality Reservoir Prediction: A Case Study in the Chang 8 Member in Caijiamiao Area, Sw Ordos Basin, China
Abstract
1. Introduction
2. Geological Setting
3. Materials and Methods
4. Results
4.1. Analysis of Sedimentary Characteristics of Chang 8 Member
4.1.1. Lithofacies Type
| Code | Grain-Size | Sedimentary Structures | Depositional Mechanism |
|---|---|---|---|
| Fm | Mudstone to Muddy siltstone | Massive, occasional plant debris, occasional coal | (1) Still water (such as overbank or abandoned channel) or in channel mud drapes caused by rapidly waning floods (Tunbridge, 1981; Miall, 1996) [21,22] (2) Collapse of delta front (Qin, 2020) [23] |
| Sht | Muddy siltstone to siltstone | Heterolithic bedding, occasional plant debris | (1) A combination of slowly migrating, sandy low-amplitude bed-waves (Best, 1992) [24] and continuous suspension settling of fine sediment (Baas, 2016) [25] (2) Slurry flows that experience near-bed shear sorting (Lowe, 2000) [26] |
| Sm | Siltstone, sandstone, fine to medium | Massive | (1) Rapid deposition caused by high concentration flow or gravity flow (Todd, 1989) [27] (2) Formed by bioturbation after deposition (Miall, 1996) [22] |
| Sh | Siltstone to fine sandstone | Horizontal parallel bedding, Carbonaceous lamination | Formed in high charge period of Froude flow or supercritical flow (Paola, 1989) [28] |
| Sl | Siltstone to fine sandstone | Low-angle cross- bedding | Washed out dune formed under upper laminar flow conditions during periods of high charge (Bridge, 1988; Plink-Björklund, 2015) [29,30] |
| Fsw | Muddy siltstone, siltstone | Ripple cross-bedding, occasional plant debris | Deposition under unidirectional flows (Martin, 2000) [31] |
4.1.2. Lithofacies Associations and Interpretation
Lithofacies Association 1 (LA 1)
Lithofacies Association 2 (LA 2)
Lithofacies Association 3 (LA 3)
4.2. Reservoir Characteristics
4.2.1. Reservoir Lithology
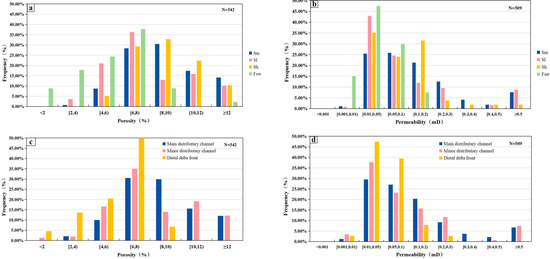
4.2.2. Reservoir Properties and Permeability
4.2.3. Reservoir Pore Types
4.3. Diagenetic Features
4.3.1. Destructive Diagenesis
Compaction
Cementation
- (1)
- Carbonate cementation
- (2)
- Quartz cementation
- (3)
- Clay mineral cementation
4.3.2. Constructive Diagenesis
5. Discussion
5.1. Diagenetic Features and Reservoir Quality in Distributary Channels
5.2. Differences in Sedimentary-Diagenetic Evolution of Different Distributary Channels
6. Conclusions
- (1)
- The distributary channels in the study area can be divided into main distributary channels and minor distributary channels, according to their differences in sedimentation and diagenesis. The main distributary channel sandstone is primarily composed of fine sandstone, featuring massive bedding, which displays the sedimentary characteristics of rapid deposition with flat bedform during flood events. In contrast, the grain size of the minor distributary channel sandstone varies from fine sand to silty sand, with cross-bedding having been predominantly developed. The vertical succession of lithofacies evolves rapidly, contributing to strong reservoir heterogeneity;
- (2)
- The sandstone in the main distributary channels is dominated by Sm lithofacies, with an average porosity and permeability of 8.9% and 0.24 mD. The sandstone in the minor distributary channels is dominated by Sl lithofacies, with an average porosity and permeability of 8.0% and 0.23 mD. The sandstone in the distal delta front is dominated by Fsw lithofacies, with an average porosity and permeability of 5.7% and 0.05 mD. In comparison, the sandstone with the best physical properties is located in the main distributary channels;
- (3)
- The diagenetic types of the Chang 8 Member reservoir mainly include destructive compaction, cementation, and constructive dissolution. The sandstone particles in the main distributary channels exhibit point-linear contact, with relatively uniform particle sizes, indicating good sorting. The particles in the sand of the minor distributary channel exhibit linear-convex contact, and the sorting is poor, which indicates that the compaction of the sand in the minor channel is stronger. Carbonate cementation dominates and develops at the top and bottom of the distributary channels. Secondary quartz, chlorite, and other mineral cementation develop in both the main and minor channels, and the chlorite film thickness is larger in the sand of the main distributary channel, reflecting that the primary intergranular pore size of the main distributary channel sand is larger. The dissolution of feldspar and debris develops to varying degrees in the reservoir sand. The degree of feldspar dissolution is higher in the sand of the main distributary channel, while the degree of debris dissolution is higher in the sand of the minor distributary channel;
- (4)
- During the period from 148 Ma to 125 Ma, corresponding to the late stage of eodiagenesis B to stage A of the mesodiagenesis, the acidic fluids accompanying the maturation of hydrocarbons dissolved the reservoir sand bodies, greatly improving the physical properties of the reservoir. However, the cementation of carbonate rocks that occurred during stage B of the mesodiagenesis deteriorated the physical properties of the reservoir;
- (5)
- Four different diagenetic evolution patterns of tight sandstones in the digitate shallow-water lacustrine delta were analyzed and summarized, namely patterns ①–④, with the relevant reservoir quality successively deteriorating. Compared with the other two diagenetic models, the sandstones of pattern ① and pattern ② experienced the weakest diagenetic alteration, occurring against a background of overall low physical properties, medium compaction, weak carbonate cementation, and strong dissolution. This resulted in the formation of favorable reservoirs with relatively high porosity and permeability. Pattern ① is mainly developed in the sandstone of the main distributary channel in the front of the shallow water lacustrine delta, which is dominated by Sm lithofacies. Pattern ② is widely developed in the sandstone of the minor distributary channel site and is dominated by Sm lithofacies.
Supplementary Materials
Author Contributions
Funding
Data Availability Statement
Conflicts of Interest
References
- Jia, C.Z.; Zou, C.N.; Li, J.Z.; Li, D.H.; Zheng, M. Assessment criteria, main types, basic features and resource prospects of the tight oil in China. Shih Yu Hsueh Pao 2012, 33, 343–350. [Google Scholar]
- Sonnenberg, S.A.; Pramudito, A. Petroleum geology of the giant Elm Coulee field, Williston Basin. AAPG Bull. 2009, 93, 1127–1153. [Google Scholar] [CrossRef]
- Yu, X.H.; Li, S.L.; Yang, Z.H. Discussion on deposition-diagenesis genetic mechanism and hot issues of tight sandstone gas reservoir. Lithol. Reserv. 2015, 27, 1–13+131. [Google Scholar]
- Li, Z.; Wu, S.H.; Xia, D.L.; Zhang, X.F.; Huang, M. Diagenetic alterations and reservoir heterogeneity within the depositional facies: A case study from distributary-channel belt sandstone of Upper Triassic Yanchang Formation reservoirs (Ordos Basin, China). Mar. Pet. Geol. 2017, 86, 950–971. [Google Scholar] [CrossRef]
- Zhong, X.Y.; Zhu, Y.S.; Jiao, T.; Zhao, Q.; Jiang, H.L.; Xie, Y.H.; Liu, L.Y. Microscopic pore throat structures and water flooding in heterogeneous low-permeability sandstone reservoirs: A case study of the Jurassic Yan’an Formation in the Huanjiang area, Ordos Basin, Northern China. J. Asian Earth Sci. 2021, 219, 104903. [Google Scholar] [CrossRef]
- Li, Y.H.; Lin, F.X.; Du, J.L.; Huang, J.X.; Cheng, D.X. Sedimentary features of shallow water delta of Chang 8 reservoir of Triassic Yanchang Formation in Ordos Basin. Low Permeability Oil Gas Fields 2007, 12, 19–24. [Google Scholar]
- Chen, H.; Zhu, X.; Chen, C.; Yin, W.; Zhang, Q.; Shi, R. Diagenesis and Hydrocarbon Emplacement in the Upper Triassic Yanchang Formation Tight Sandstones in the Southern Ordos Basin, China. Aust. J. Earth Sci. 2017, 64, 957–980. [Google Scholar] [CrossRef]
- Zhang, L.; Bao, Z.D.; Dou, L.X.; Xu, Q.H. Diagenetic alterations related to sedimentary architecture of deltaic distributary channels in red beds of the Cretaceous Yaojia Formation, Songliao Basin. J. Pet. Sci. Eng. 2021, 203, 108564. [Google Scholar] [CrossRef]
- Xiao, X.M.; Zhao, B.Q.; Thu, Z.L.; Song, Z.G.; Wilkins, R.W.T. Upper Paleozoic petroleum system, Ordos Basin, China. Mar. Pet. Geol. 2005, 22, 945–963. [Google Scholar] [CrossRef]
- Yang, H.; Fu, J.H.; Wei, X.S.; Liu, X.S. Sulige field in the Ordos Basin: Geological setting, field discovery and tight gas reservoirs. Mar. Pet. Geol. 2008, 25, 387–400. [Google Scholar] [CrossRef]
- Li, D.S. Reconceptualizing oil and gas geology in the Ordos Basin. Pet. Explor. Dev. 2004, 6, 1–7. [Google Scholar]
- Zheng, R.C.; Wen, H.G.; Han, Y.L.; Wang, H.H.; Zheng, C.; Cai, L.J. Discovery and significance of sublacustrine slump turbidite fans in Chang 6 oil-bearing formation of Baibao region in Ordos Basin, China. J. Chengdu Univ. Technol. Sci. Technol. Ed. 2006, 6, 566–575. [Google Scholar]
- He, Z.X.; Yang, H.; Fei, A.Q. The Historical Evolution and Oil-Gas of Ordos Basin; Petroleum Industry Press: Beijing, China, 2003. [Google Scholar]
- Zou, C.N.; Zhang, X.Y.; Luo, P.; Wang, L.; Luo, Z.; Liu, L.H. Shallow-lacustrine sand-rich deltaic depositional cycles and sequence stratigraphy of the Upper Triassic Yanchang Formation, Ordos Basin, China. Basin Res. 2010, 22, 108–125. [Google Scholar]
- Liao, P.; Tang, J.; Pang, G.Y.; Tang, L.; Ma, X.F.; Wang, Q. Reservior characteristics and control factors of Chang81 of Yanchang formation of Triassicin Juyuan region of Ordos Basin. J. Miner. Petrol. 2012, 32, 97–104. [Google Scholar]
- Wang, W.B.; Zhu, J.; Ma, W.Z.; Feng, S.Y.; Liu, Y.N.; Zhao, J. Characteristics and influencing factors of Chang8 tight sandstone reservoir of Triassic Yanchang Formation in Zhoujiawan area, Ordos Basin. Lithol. Reserv. 2017, 29, 51–58. [Google Scholar]
- Guo, Y.Q.; Hui, L.; Zhang, X.N.; Wei, Q.S.; Li, W.H.; Li, B.Q. Sedimentary system characteristic sand lake basin evolution of Triassic Yanchang Formationin Ordos Basin. J. Northwest Univ. Nat. Sci. Ed. 2018, 48, 593–602. [Google Scholar]
- Guo, Y.Q.; Li, W.H.; Guo, B.C. Sedimentary systems and palaeogeography evolution of Ordos Basin. J. Palaeogeogr. 2019, 21, 293–320. [Google Scholar]
- Li, Y.F.; Guo, Y.X.; Yao, J.L.; Zhao, J.F.; Liu, X.; Bai, J.L.; Li, H.Q. Reconsideration of Division and Correlation of the Yanchang Formation in the Southwestern Ordos Basin. Acta Sedimentol. Sin. 2024, 42, 1297–1308. [Google Scholar] [CrossRef]
- Zhang, X.H.; Xin, H.G.; Cao, R.R.; Li, C.; Ma, J.Y. Differences in microscopic pore-throat structure of reservoirs and their significance for hydrocarbon accumulation of Chang 8 reservoir in the Nanliang—Huachi area, Ordos Basin. Geol. Explor. 2023, 59, 418–432. [Google Scholar]
- Tunbridge, I.P. Sandy high-energy flood sedimentation—Some criteria for recognition, with an example from the devonian of SW England. Sediment. Geol. 1981, 28, 79–95. [Google Scholar] [CrossRef]
- Miall, A.D. The Geology of Fluvial Deposits: Sedimentary Facies, Basin Analysis, and Petroleum Geology; Springer: Berlin/Heidelberg, Germany, 1996. [Google Scholar]
- Qin, R.S.; Yue, H.L.; Zhou, F.J.; Wu, Q.Y.; Lei, Y. Characteristics and Sedimentary Models of Sheet Sand in Shallow Lacustrine Fluvial⁃dominated Delta Front: A case study from lower member of Minghuazhen Formation in BZ34 area, Huanghekou Sag. Acta Sedimentol. Sin. 2020, 38, 429–439. [Google Scholar]
- Best, J.L.; Bridge, J.S. The morphology and dynamics of low amplitude bedwaves upon upper stage plane beds and the preservation of planar laminae. Sedimentology 1992, 39, 737–752. [Google Scholar] [CrossRef]
- Baas, J.H.; Best, J.L.; Peakall, J. Predicting bedforms and primary current stratification in cohesive mixtures of mud and sand. J. Geol. Soc. 2016, 173, 2–45. [Google Scholar] [CrossRef]
- Lowe, D.R.; Guy, M. Slurry-flow deposits in the Britannia Formation (Lower Cretaceous), North Sea: A new perspective on the turbidity current and debris flow problem. Sedimentology 2000, 47, 31–70. [Google Scholar] [CrossRef]
- Todd, S.P. Stream-driven, high-density gravelly traction carpets: Possible deposits in the Trabeg Conglomerate Formation, SW Ireland and some theoretical considerations of their origin. Sedimentology 1989, 36, 513–530. [Google Scholar] [CrossRef]
- Paola, C.; Wiele, S.M.; Reinhart, M.A. Upper-regime parallel lamination as the result of turbulent sediment transport and low-amplitude bed forms. Sedimentology 1989, 36, 47–59. [Google Scholar] [CrossRef]
- Bridge, J.S.; Best, J.L. Flow, sediment transport and bedform dynamics over the transition from dunes to upper-stage plane beds: Implications for the formation of planar laminae. Sedimentology 1988, 35, 753–763. [Google Scholar] [CrossRef]
- Plink-Björklund, P. Morphodynamics of rivers strongly affected by monsoon precipitation: Review of depositional style and forcing factors. Sediment. Geol. 2015, 323, 110–147. [Google Scholar] [CrossRef]
- Martin, A.J. Flaser and wavy bedding in ephemeral streams: A modern and an ancient example. Sediment. Geol. 2000, 136, 1–5. [Google Scholar] [CrossRef]
- Zavala, C.; Arcuri, M.; Valiente, L. The importance of plant remains as diagnostic criteria for the recognition of ancient hyperpycnites. Rev. Paleobiol. 2012, 11, 457–469. [Google Scholar]
- Zhu, X.M.; Zeng, H.L.; Li, S.L.; Dong, Y.L.; Zhu, S.F.; Zhao, D.N.; Huang, W. Sedimentary characteristics and seismic geomorphologic responses of shallow-water delta of Qingshankou Formation in Songliao Basin, China. Mar. Pet. Geol. 2017, 79, 131–148. [Google Scholar] [CrossRef]
- Bartholdy, J.; Ernstsen, V.B.; Flemming, B.W.; Winter, C.; Bartholomä, A.; Kroon, A. On the formation of current ripples. Sci. Rep. 2015, 5, 11390. [Google Scholar] [CrossRef] [PubMed]
- Seilacher, A. Trace Fossil Analysis; Springer: Berlin/Heidelberg, Germany, 2007; Volume 226. [Google Scholar]
- Zhou, X.; Jiang, Z.; Quaye, J.A.; Duan, Y.; Hu, C.; Liu, C.; Han, C. Ichnology and sedimentology of the trace fossil-bearing fluvial red beds from the lowermost member of the paleocene funing Formation in the jinhu depression, subei basin, east China. Mar. Petrol. Geol. 2019, 99, 393–415. [Google Scholar] [CrossRef]
- Cui, M.M.; Peng, N.; Liu, Y.Q.; Wang, Z.X.; Kuang, H.W.; Xu, K.M.; Li, C.L. Research progress on deformation structures of slump deposits in continental lacustrine basin. Geol. Rev. 2023, 69, 701–718. [Google Scholar]
- Folk, R.L. Petrology of Sedimentary Rocks; Hemphill Publishing Co.: Austin, TX, USA, 1974; p. 182. [Google Scholar]
- Niu, Q.H.; Cao, L.W.; Sang, S.X.; Zhou, X.Z.; Liu, S.Q. Experimental study of permeability changes and its influencing factors with CO2 injection in coal. J. Nat. Gas Sci. Eng. 2019, 61, 215–225. [Google Scholar] [CrossRef]
- Zhu, F.; Hu, W.X.; Cao, J.; Sun, F.N.; Liu, Y.F.; Sun, Z.M. Micro/nanoscale pore structure and fractal characteristics of tight gas sandstone: A case study from the Yuanba area, northeast Sichuan Basin, China. Mar. Pet. Geol. 2018, 98, 116–132. [Google Scholar] [CrossRef]
- Qiang, Z.T.; Lan, G.Z. Mixed staining with potassium K-ferricyanide and Alizarin Red S and its application in carbonate rock research. J. Southwest Pet. Univ. 1981, 1, 31–38. [Google Scholar]
- Miall, A.D. Architectural elements and bounding surfaces in fluvial deposits: Anatomy of the Kayenta Formation (Lower Ju-576 rassic), southwest Colorado. Sediment. Geol. 1988, 55, 233–262. [Google Scholar] [CrossRef]
- Zhao, J.Z.; Bai, Y.B.; Cao, Q.; Er, C. Quasi-continuous hydrocarbon accumulation: A new pattern for large tight sand oilfields 578 in the Ordos Basin. Oil Gas. Geol. 2012, 33, 811–827. [Google Scholar]
- Liu, B.; Zhao, H.Q.; Wang, L.S.; Lin, C.M.; Liu, S.W. The Detailed Description of Ancient Fluvial Abandoned Channel Micro-facies. Acta Sedimentol. Sin. 2001, 19, 394–398. [Google Scholar]
- Ding, C.; Guo, S.; Guo, L.; Guo, X.B.; Du, G.C.; Wu, H.S. Hydrocarbon charging time of Chang 8 reservoir of Yanchang Formation in southern Ordos Basin. Lithol. Reserv. 2019, 31, 21–31. [Google Scholar]
- Xiang, F.; Feng, Q.; Zhang, D.Y.; Jiang, L.F.; Wang, Y.W.; Zhao, J.X. Further study of chlorite rim in sandstone: Evidences from Yanchang Formation in Zhenjing area, Ordos Basin, China. Chengdu Univ. Technol. Sci. Technol. Ed. 2016, 43, 59–67. [Google Scholar]
- Ding, X.Q.; Zhang, S.N.; Ge, P.L.; Wang, Y.L. Relationship between Reservoir Properties and Chlorite Rims: A Case Study from Yanchang Formation of South Ordos Basin, North China. Geol. J. China Univ. 2010, 16, 247–254. [Google Scholar]
- Boles, J.R.; Johnson, K.S. Influence of mica surfaces on pore-water pH. Chem. Geol. 1984, 43, 303–317. [Google Scholar] [CrossRef]
- Worden, R.H.; Armitage, P.J.; Butcher, A.R.; Churchill, J.M.; Csoma, A.E.; Hollis, C.; Lander, R.H.; Omma, J.E. Petroleum reservoir quality prediction: Overview and contrasting approaches from sandstone and carbonate communities. Geol. Soc. Spec. Publ. 2018, 435, 1–31. [Google Scholar] [CrossRef]
- Cappelli, C.; Van Driessche, A.E.S.; Cama, J.; Javier Huertas, F. Alteration of trioctahedral micas in the presence of inorganic and organic acids. Appl. Clay Sci. 2023, 238, 106923. [Google Scholar] [CrossRef]
- Wang, Z.Y.; Wu, L.; Zhang, Y.F.; Han, J.F.; Zhang, L.J. Study on category and forming environment of upper Ordovician carbonate rock calcite cement in Tazhong district. J. Earth Sci. Environ. 2009, 31, 265–271. [Google Scholar]
- Morad, S. Carbonate Cementation in Sandstones: Distribution Patterns and Geochemical Evolution; Blackwell Publishing Ltd.: London, UK, 2009; pp. 1–26. [Google Scholar]
- Zeng, J.H.; Peng, J.L.; Qiu, N.S.; Zhu, Z.Q. Carbonate dissolution-precipitation in sandstone-shale contact and its petroleum geological meanings. Nat. Gas Geosci. 2006, 17, 760–764. [Google Scholar]
- Lundegard, P.D. Sandstone porosity loss- a "big picture" view of the importance of compaction. J. Sediment. Petrol. 1992, 62, 250–260. [Google Scholar] [CrossRef]
- Paxton, S.T.; Szabo, J.O.; Ajdukiewicz, J.M.; Klimentidis, R.E. Construction of an intergranular volume compaction curve for evaluating and predicting compaction and porosity loss in rigid-grain sandstone reservoirs. AAPG Bull. 2002, 86, 2047–2067. [Google Scholar]
- Wang, Z.; Qiu, J.L. Effects of Compaction and Cementation on the Chang 8 Member Reservoir in the Ordos Basin. J. Southwest Pet. Univ. 2018, 40, 56–68. [Google Scholar]
- Beard, D.C.; Weyl, P.K. Influence of texture on porosity and permeability of unconsolidated sand. AAPG Bull. 1973, 57, 349–369. [Google Scholar]
- Chu, M.J.; Guo, Z.Q.; Qi, Y.L.; Cheng, D.X. Quantitative diagenesis and diagenetic facies analysis on Chang 8 Reservoir of Yanchang Formation in Ordos Basin. Nat. Gas Geosci. 2013, 24, 477–484. [Google Scholar]
- Zhang, S.N.; Ding, X.Q. Characters and causes of tight sandstones of Yanchang Formation in southern Ordos Basin, China. Chengdu Univ. Technol. Sci. Technol. Ed. 2010, 37, 386–394. [Google Scholar]
- Remy, R.R. Porosity reduction and major controls on diagenesis of Cretaceous-Paleocene volcaniclastic and arkosic sandstone, Middle Park basin, Colorado. J. Sediment. Res. 1994, 64, 797–806. [Google Scholar]
- Mansurbeg, H.; De Ros, L.F.; Morad, S.; Ketzer, J.M.; El-Ghali, M.A.K.; Caja, M.A.; Othman, R. Meteoric-water diagenesis in Late Cretaceous canyon-fill turbidite reservoirs from the Espírito Santo Basin, eastern Brazil. Mar. Pet. Geol. 2012, 37, 7–26. [Google Scholar] [CrossRef]
- Lai, J.; Wang, G.; Ran, Y. Predictive distribution of high-quality reservoirs of tight gas sandstones by linking diagenesis to depositional facies: Evidence from Xu-2 sandstones in the Penglai area of the central Sichuan basin, China. J. Nat. Gas Sci. Eng. 2015, 23, 97–111. [Google Scholar] [CrossRef]
- Worden, R.H.; Burley, S.D. Sandstone Diagenesis: The Evolution of Sand to Stone; Blackwell Publishing: Hoboken, NJ, USA, 2003; pp. 1–44. [Google Scholar]
- Rossi, C.; Kalin, O.; Arribas, J.; Tortosa, A. Diagenesis, provenance and reservoir quality of Triassic Tagi sandstones from Ourhoud field, Berkine (Ghadames) Basin, Algeria. Mar. Petrol. Geol. 2002, 19, 117–142. [Google Scholar] [CrossRef]
- Stroker, T.M.; Harris, N.B.; Elliott, W.C.; Wampler, J.M. Diagenesis of a tight gas sand reservoir: Upper Cretaceous Mesaverde Group, Piceance Basin, Colorado. Mar. Petrol. Geol. 2013, 40, 48–68. [Google Scholar] [CrossRef]
- Sun, S.H.; Li, X.M.; Gong, G.L.; Liu, S.S. Study on Tectono-thermal Events in the Ordos Basin. Chin. Sci. Bull. 1997, 306–309. [Google Scholar]
- Ren, Z.L.; Zhao, Z.Y.; Zhang, J.; Yu, Z.P. Research on Paleotemperature in the Ordos Basin. Acta Sedimentol. Sin. 1994, 56–65. [Google Scholar]
- Liu, Z.; Zhu, W.Q.; Xia, L.; Pan, G.F.; Wu, X.D.; Guo, Y.R. Research on Oil Accumulation Process of Lithologic Reservoir in Chang 8 Member of Yanchang Formation, Xifeng Oilfield. Geoscience 2013, 27, 895–906. [Google Scholar]















Disclaimer/Publisher’s Note: The statements, opinions and data contained in all publications are solely those of the individual author(s) and contributor(s) and not of MDPI and/or the editor(s). MDPI and/or the editor(s) disclaim responsibility for any injury to people or property resulting from any ideas, methods, instructions or products referred to in the content. |
© 2024 by the authors. Licensee MDPI, Basel, Switzerland. This article is an open access article distributed under the terms and conditions of the Creative Commons Attribution (CC BY) license (https://creativecommons.org/licenses/by/4.0/).
Share and Cite
Bi, X.; Wang, Y.; Tang, X.; Luo, W.; Hao, C.; Hou, M.; Zhang, L. Diagenesis Variation in Different Distributary Channels of Shallow Water Lacustrine Delta Deposits and Implication for High-Quality Reservoir Prediction: A Case Study in the Chang 8 Member in Caijiamiao Area, Sw Ordos Basin, China. Minerals 2024, 14, 987. https://doi.org/10.3390/min14100987
Bi X, Wang Y, Tang X, Luo W, Hao C, Hou M, Zhang L. Diagenesis Variation in Different Distributary Channels of Shallow Water Lacustrine Delta Deposits and Implication for High-Quality Reservoir Prediction: A Case Study in the Chang 8 Member in Caijiamiao Area, Sw Ordos Basin, China. Minerals. 2024; 14(10):987. https://doi.org/10.3390/min14100987
Chicago/Turabian StyleBi, Xiaolong, Yiping Wang, Xiao Tang, Weiyun Luo, Chenxi Hao, Mingqiu Hou, and Li Zhang. 2024. "Diagenesis Variation in Different Distributary Channels of Shallow Water Lacustrine Delta Deposits and Implication for High-Quality Reservoir Prediction: A Case Study in the Chang 8 Member in Caijiamiao Area, Sw Ordos Basin, China" Minerals 14, no. 10: 987. https://doi.org/10.3390/min14100987
APA StyleBi, X., Wang, Y., Tang, X., Luo, W., Hao, C., Hou, M., & Zhang, L. (2024). Diagenesis Variation in Different Distributary Channels of Shallow Water Lacustrine Delta Deposits and Implication for High-Quality Reservoir Prediction: A Case Study in the Chang 8 Member in Caijiamiao Area, Sw Ordos Basin, China. Minerals, 14(10), 987. https://doi.org/10.3390/min14100987

