Paleo-Environment Induced Full-Scale Pore Variation in the Low Matured Shale: A Case Study of the Third Member of the Jiufotang Formation at the Lujiapu Rift Basin, Northeast China
Abstract
:1. Introduction
2. Geology Background
3. Sampling and Methods
4. Results
4.1. Lithology of the Shales
4.2. Pore Types from FE-SEM
4.2.1. Organic Pores and Fractures
4.2.2. Inorganic Pores and Fractures
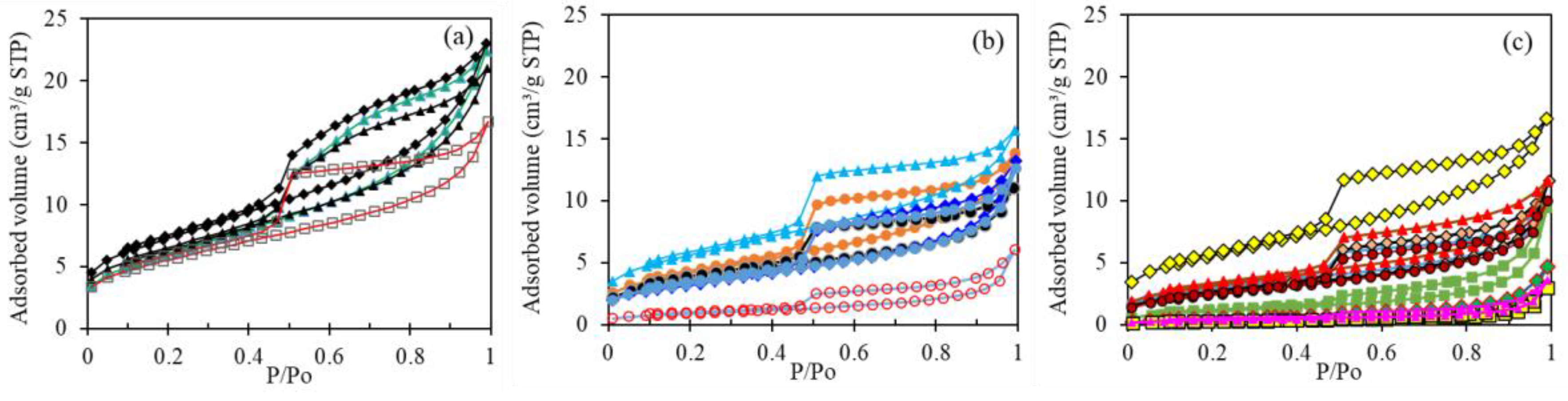
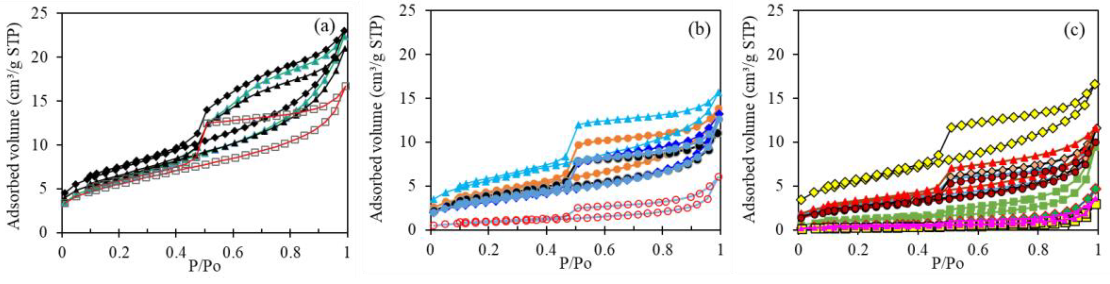
4.3. Pore Characterization from Low-Temperature N2 Adsorption
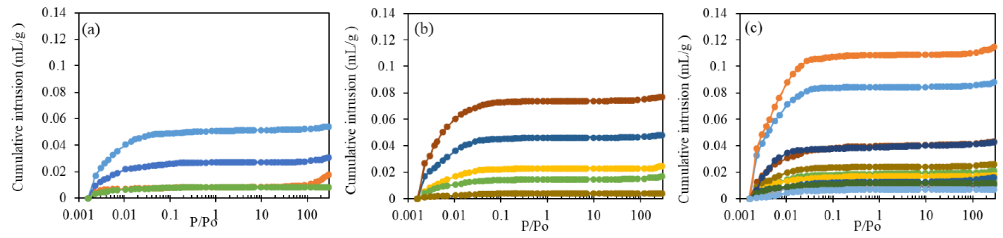
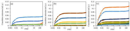
4.4. Pore Characterization from High-Pressure MIP
5. Discussion
5.1. Full-Scale Pore Structure Characterization
5.2. Controlling Factors for Full-Scale Pore Development from Shale Compositions
5.2.1. Controlling Factors for the Development of Mesopores
5.2.2. Controlling Factors for the Development of Macropores
5.3. Controlling Factors for Full-Scall Pore Development from Paleo-Environment
5.4. Conceptual Model for the Full-Scale Pore Development
6. Conclusions
Author Contributions
Funding
Data Availability Statement
Acknowledgments
Conflicts of Interest
References
- Guo, R.B. Assessment of Shale Oil Potential and Prediction of Movable oil of the Upper Jiufotang Formation in Ludong Sag, Kailu Basin. Ph.D. Thesis, China University of Geosciences, Beijing, China, 2020. [Google Scholar]
- Loucks, R.G.; Reed, R.M.; Ruppel, S.C. Morphology, genesis, and distribution of nanometer-scale pores in siliceous mudstones of the Mississippian Barnett Shale. J. Sediment. Res. 2009, 79, 848–861. [Google Scholar] [CrossRef]
- Loucks, R.G.; Reed, R.M.; Ruppel, S.C. Spectrum of pore types and networks in mudrocks and a descriptive classification for matrix-related mudrock pores. AAPG Bull. 2012, 96, 1071–1098. [Google Scholar] [CrossRef]
- Curtis, M.E.; Cardott, B.J.; Sondergeld, C.H. Development of organic porosity in the woodford shale with increasing thermal maturity. Int. J. Coal Geol. 2012, 103, 26–31. [Google Scholar] [CrossRef]
- Ko, L.T.; Ruppel, S.C.; Loucks, R.G. Pore-types and pore-network evolution in upper Devonian–lower Mississippian Woodford and Mississippian Barnett mudstones: Insights from laboratory thermal maturation and organic petrology. Int. J. Coal Geol. 2018, 190, 3–28. [Google Scholar] [CrossRef]
- Ma, Y.; Ardakani, O.H.; Zhong, N.; Liu, H.; Huang, H.; Larter, S.; Zhang, C. Possible pore structure deformation effects on the shale gas enrichment: An example from the lower Cambrian shales of the Eastern Upper Yangtze Platform, South China. Int. J. Coal Geol. 2020, 217, 103349. [Google Scholar] [CrossRef]
- Iqbal, M.A.; Rezaee, R.; Smith, G.; Ekundayo, J.M. Shale lithofacies controls on porosity and pore structure: An example from Ordovician Goldwyer Formation, Canning Basin, Western Australia. J. Nat. Gas Sci. Eng. 2021, 89, 103888. [Google Scholar] [CrossRef]
- Yuan, Y.; Rezaee, R.; Al-Khdheeawi, E.A.; Hu, S.Y.; Verrall, M.; Zou, J.; Liu, K. Impact of composition on pore structure properties in shale: Implications for micro-/mesopore volume and surface area prediction. Energy Fuels 2019, 33, 9619–9628. [Google Scholar] [CrossRef]
- Iqbal, M.A.; Rezaee, R. Porosity and Water Saturation Estimation for Shale Reservoirs: An Example from Goldwyer Formation Shale, Canning Basin, Western Australia. Energies 2020, 13, 6294. [Google Scholar] [CrossRef]
- Zhao, D.; Zhang, J.; Guan, X.; Liu, D.; Wang, Q.; Jiao, W.; Zhou, X.; Li, Y.; Wang, G.; Guo, Y. Comparing the Pore Networks of Coal, Shale, and Tight Sandstone Reservoirs of Shanxi Formation, Qinshui Basin: Inspirations for Multi-Superimposed Gas Systems in Coal-Bearing Strata. Appl. Sci. 2023, 13, 4414. [Google Scholar] [CrossRef]
- Milliken, K.L.; Rudnicki, M.; Awwiller, D.N. Organic matter-hosted pore system, Marcellus Formation (Devonian), Pennsylvania. AAPG Bull. 2013, 97, 177–200. [Google Scholar] [CrossRef]
- Reed, R.M. Organic-matter pores: New findings from lower-thermal-maturity mudrocks. Gulf Coast Assoc. Geol. Soc. Trans. 2017, 67, 635–636. [Google Scholar]
- Dong, T.; Harris, N.B.; Knapp, L.J.; McMillan, J.M.; Bish, D.L. The effect of thermal maturity on geomechanical properties in shale reservoirs: An example from the Upper Devonian Duvernay Formation, Western Canada Sedimentary Basin. Mar. Pet. Geol. 2018, 97, 137–153. [Google Scholar] [CrossRef]
- Katz, B.J.; Arango, I. Organic porosity: A geochemist’s view of the current state of understanding. Org. Geochem. 2018, 123, 1–16. [Google Scholar] [CrossRef]
- Liu, B.; Maria, M.; Juergen, S. SEM petrography of dispersed organic matter in black shales: A review. Earth-Sci. Rev. 2022, 224, 103874. [Google Scholar] [CrossRef]
- Liu, B.; Wang, Y.; Tian, S.; Guo, Y.; Wang, L.; Yasin, Q.; Yang, J. Impact of thermal maturity on the diagenesis and porosity of lacustrine oil-prone shales: Insights from natural shale samples with thermal maturation in the oil generation window. Int. J. Coal Geol. 2022, 261, 104079. [Google Scholar] [CrossRef]
- Pytte, A.M.; Reynolds, R.C. The thermal transformation of smectite to illite. In Thermal History of Sedimentary Basins; Springer: New York, NY, USA, 1989; pp. 133–140. [Google Scholar]
- Liu, J.; Ding, W.; Wang, R.; Wu, Z.; Gong, D.; Wang, X. Quartz types in shale and their effect on geomechanical properties: An example from the lower Cambrian Niutitang Formation in the Cen’gong block, South China. Appl. Clay Sci. 2018, 163, 100–107. [Google Scholar] [CrossRef]
- Feng, Z.H.; Liu, B.; Shao, H.M.; Wang, C.; Hong, S. The diagenesis evolution and accumulating performance of the mud shale in Qingshankou Formation in Gulong area, Songliao Basin. Pet. Geol. Oilfield Dev. Daqing 2020, 39, 72–85. [Google Scholar]
- Shao, H.; Gao, B.; Pan, H. Diagenesis-pore evolution for Gulong shale in Songliao Basin. Pet. Geol. Oilfield Dev. Daqing 2021, 40, 56–67. [Google Scholar]
- Aldega, L.; Carminati, E.; Scharf, A.; Mattern, F. Thermal maturity of the Hawasina units and origin of the Batinah Mélange (Oman Mountains): Insights from clay minerals. Mar. Pet. Geol. 2021, 133, 105316. [Google Scholar] [CrossRef]
- Corrado, S.; Aldega, L.; Zattin, M. Sedimentary vs. tectonic burial and exhumation along the Apennines (Italy). J. Virtual Explor. Electron. Ed. 2010, 36, 1441–8142. [Google Scholar] [CrossRef]
- Qiu, Z.; Liu, B.; Lu, B.; Shi, Z.; Li, Z. Mineralogical and petrographic characteristics of the Ordovician-Silurian Wufeng-Longmaxi Shale in the Sichuan Basin and implications for depositional conditions and diagenesis of black shales. Mar. Pet. Geol. 2022, 135, 105428. [Google Scholar] [CrossRef]
- Bridge, J. Earth Surface Processes, Landforms and Sediment Deposits; Cambridge University Press: Cambridge, UK, 2008. [Google Scholar]
- Cavelan, A.; Boussafir, M.; Rozenbaum, O. Organic petrography and pore structure characterization of low-mature and gas-mature marine organic-rich mudstones: Insights into porosity controls in gas shale systems. Mar. Pet. Geol. 2019, 103, 331–350. [Google Scholar] [CrossRef]
- Xu, H.; Zhou, W.; Hu, Q. Quartz types, silica sources and their implications for porosity evolution and rock mechanics in the Paleozoic Longmaxi Formation shale, Sichuan Basin. Mar. Pet. Geol. 2021, 128, 105036. [Google Scholar] [CrossRef]
- Zhang, B.; Yan, D.; Drawarh, H.J. Formation Mechanism and Numerical Model of Quartz in Fine-Grained Organic-Rich Shales: A Case Study of Wufeng and Longmaxi Formations in Western Hubei Province, South China. J. Earth Sci. 2019, 6, 302–312. [Google Scholar] [CrossRef]
- Xie, W.; Wang, M.; Wang, H. Diagenesis of shale and its control on pore structure, a case study from typical marine, transitional and continental shales. Front. Earth Sci. 2021, 15, 378–394. [Google Scholar] [CrossRef]
- Li, Y.F.; Zhang, T.W.; Ellis, G.S.; Shao, D.L. Depositional environment and organic matter accumulation of Upper Ordovician-Lower Silurian marine shale in the Upper Yangtze Platform, South China. Palaeogeogr. Palaeoclimatol. Palaeoecol. 2017, 466, 252–264. [Google Scholar] [CrossRef]
- Zhao, D.; Guo, Y.; Wang, G.; Zhou, X.; Zhou, Y.; Zhang, J.; Ren, G. Organic matter enrichment mechanism of Youganwo Formation oil shale in the Maoming Basin. Heliyon 2023, 9, 13173. [Google Scholar] [CrossRef] [PubMed]
- Gou, Q.; Xu, S.; Hao, F.; Yang, F.; Zhang, B.; Shu, Z. Full-scale pores and micro-fractures characterization using FE-SEM, gas adsorption, nano-CT and micro-CT: A case study of the Silurian Longmaxi Formation shale in the Fuling area, Sichuan Basin, China. Fuel 2019, 253, 167–179. [Google Scholar] [CrossRef]
- Gregg, S.J.; Sing, K.S.W. Adsorption, Surface Area and Porosity, 2nd ed.; Academic Press: London, UK, 1982. [Google Scholar]
- Washburn, E.W. The Dynamics of Capillary Flow. Phys. Rev. 1921, 17, 273–283. [Google Scholar] [CrossRef]
- Loucks, R.G.; Reed, R.M. Scanning-electron-microscope petrographic evidence for distinguishing organic matter pores associated with depositional organic matter versus migrated organic matter in mudrocks. Gulf Coast Assoc. Geol. Soc. Trans. 2014, 3, 51–60. [Google Scholar]
- Sing, K.S.W. Reporting physisorption data for gas/solid systems with special reference to the determination of surface area and porosity. Pure Appl. Chem. 1985, 57, 603–619. [Google Scholar] [CrossRef]
- Yurdakal, S.; Garlisi, C.; Özcan, L. (Photo) catalyst characterization techniques: Adsorption isotherms and BET, SEM, FTIR, UV-Vis, photoluminescence, and electrochemical characterizations. In Heterogeneous Photocatalysis; Elsevier: Amsterdam, The Netherlands, 2019; pp. 87–152. [Google Scholar] [CrossRef]
- Wang, M.; Guan, Y.; Li, C.M. Qualitative description and full-pore-size quantitative evaluation of pores in lacustrine shale reservoir of Shahejie Formation, Jiyang Depression. Oil Gas Geol. 2018, 39, 1107–1119. [Google Scholar] [CrossRef]
- Yu, Y.; Wang, Z.; Zhang, K. Advances in quantitative characterization of shale pore structure by using fluid injection methods. J. Geomech. 2020, 26, 201–210. [Google Scholar] [CrossRef]
- Wang, Y.; Liu, L.; Zheng, S.; Luo, Z.; Sheng, Y.; Wang, X. Full-scale pore structure and its controlling factors of the Wufeng-Longmaxi shale, southern Sichuan Basin, China: Implications for pore evolution of highly overmature marine shale. J. Nat. Gas Sci. Eng. 2019, 67, 134–146. [Google Scholar] [CrossRef]
- Zhang, Y.; Liu, L.; Geng, C.; Cheng, Z.; Fang, X. Paleoenvironment, Geochemistry, and Pore Characteristics of the Postmature to Overmature Organic-Rich Devonian Shales in Guizhong Depression, Southwestern China. Geofluids 2021, 2021, 7947116. [Google Scholar] [CrossRef]
- Wang, T.; Tian, F.; Deng, Z.; Hu, H.; Xie, Z. The Pore Structure of Marine to Continental Transitional Shales in the Permian Shanxi Formation on the East Margin of the Ordos Basin, China. Geofluids 2022, 2022, 1424. [Google Scholar] [CrossRef]
- Li, J.J.; Ma, Y.; Huang, K.Z.; Zhang, Y.N.; Wang, W.M.; Liu, J.W.; Li, Z.; Lu, S. Quantitative characterization of organic acid generation, decarboxylation, and dissolution in a shale reservoir and the corresponding applications—A case study of the Bohai Bay Basin. Fuel 2018, 214, 538–545. [Google Scholar] [CrossRef]
- Nie, H.; Sun, C.; Liu, G.; Du, W.; He, Z. Dissolution pore types of the Wufeng Formation and the Longmaxi Formation in the Sichuan Basin, south China: Implications for shale gas enrichment. Mar. Pet. Geol. 2019, 101, 243–251. [Google Scholar] [CrossRef]
- Knapp, L.J.; Ardakani, O.H.; Uchida, S.; Nanjo, T.; Otomo, C.; Hattori, T. The influence of rigid matrix minerals on organic porosity and pore size in shale reservoirs: Upper Devonian Duvernay Formation, Alberta, Canada. Int. J. Coal Geol. 2020, 227, 103525. [Google Scholar] [CrossRef]
- Rouquerol, J.; Avnir, D.; Fairbridge, C.W.; Everett, D.H.; Haynes, J.M. Recommendations for the characterization of porous solids (Technical Report). Pure Appl. Chem. 1994, 66, 1739–1758. [Google Scholar] [CrossRef]
- Wang, X. Diagenetic evolution of Montmorillonite and primary migration of petroleum. Acta Sedimentolgica Sin. 1985, 3, 81–90. [Google Scholar]
- Wei, H.; Chen, D.; Wang, J.; Yu, H.; Tucker, M.E. Organic accumulation in the lower Chihsia Formation (Middle Permian) of South China: Constraints from pyrite morphology and multiple geochemical proxies. Palaeogeogr. Palaeoclimatol. Palaeoecol. 2012, 353–355, 73–86. [Google Scholar] [CrossRef]
- Zhang, Y.; Wu, Z. Sedimentary Organic Carbon Mineralization and Its Contribution to the Marine Carbon Cycle in the Marginal Seas. Adv. Earth Sci. 2019, 34, 202–209. [Google Scholar]
- Li, L. High-Resolution Research on Organic Matter Accumulation Mechanisms of Oil Shales in the Lower Cretaceous Jiufotang Formation, Chaoyang Basin, Western Liaoning Province. Ph.D. Dissertation, Jilin University, Changchun, China, 2021. [Google Scholar]
- Krause, S.; Liebetrau, V.; Löscher, C.R. Marine ammonification and carbonic anhydrase activity induce rapid calcium carbonate precipitation. Geochim. Cosmochim. Acta 2018, 243, 116–132. [Google Scholar] [CrossRef]
- Aller, R.C.; Blair, N.E.; Xia, Q. Remineralization rates, recycling, and storage of carbon in Amazon shelf sediments. Cont. Shelf Res. 1996, 16, 753–786. [Google Scholar] [CrossRef]
- Stabel, H.H. Calcite precipitation in Lake Constance: Chemical equilibrium, sedimentation, and nucleation by algae. Limnol. Oceanogr. 1986, 31, 1081–1093. [Google Scholar] [CrossRef]
- Gruber, N.B.; Wehrli, W.A. The role of biogeochemical cycling for the formation and preservation of varved sediments in Soppensee (Switzerland). J. Paleolim. 2000, 24, 277–291. [Google Scholar] [CrossRef]
- Immenhauser, A. Estimating palaeo-water depth from the physical rock record. Earth-Sci. Rev. 2009, 96, 107–139. [Google Scholar] [CrossRef]
- Larson, R.L.; Erba, E. Onset of the mid-cretaceous greenhouse in the Barremian-Aptian: Igneous events and the biological, sedimentary, and geochemical responses. Paleoceanogr. Paleoclinatology 1999, 14, 663–678. [Google Scholar] [CrossRef]
- Wan, X.; Wu, H.; Xi, D. Terrestrial biota and climate during Cretaceous greenhouse in NE China. Earth Sci. Front. 2017, 24, 18–31. [Google Scholar]













| Shale Type | Sample No. | Depth (m) | Mineral Contents (%) | TOC (%) | |||||||
|---|---|---|---|---|---|---|---|---|---|---|---|
| Clay Minerals | Quartz | K-Feldspar | Plagioclase | Calcite | Dolomite | Siderite | Pyrite | ||||
| Laminated organic-lean shale | S1-11 | 1903.3 | 21.1 | 31.1 | 5.1 | 27.1 | 2.7 | 10.6 | 0.9 | 1.4 | 0.94 |
| S1-9 | 1902.6 | 15.9 | 31.3 | 4.5 | 21.9 | 3.1 | 16.9 | 0.9 | 5.5 | 1.25 | |
| S1-7 | 1902.14 | 22.9 | 28 | 4.4 | 28.9 | 4.6 | 9.3 | 1.9 | 0 | 1.35 | |
| S2-12 | 1911.12 | 27.9 | 29.1 | 4.9 | 22.3 | 2.4 | 9.2 | 2.4 | 1.8 | 1.42 | |
| S1-17 | 1905.18 | 23.6 | 31.4 | 5.1 | 23.5 | 1.8 | 11.8 | 1.0 | 1.8 | 1.54 | |
| Unlaminated organic-intermediate shale | S4-18 | 1962.77 | 13.4 | 21.6 | 5.2 | 41.3 | 9.5 | 7.5 | 1.5 | 0 | 2.83 |
| S2-2 | 1908.17 | 33.3 | 27.6 | 6.7 | 20.3 | 0 | 4.8 | 3.8 | 3.5 | 2.98 | |
| S1-14 | 1904.14 | 28.6 | 31.3 | 6 | 25.5 | 1.8 | 5.1 | 0.8 | 0.9 | 3.10 | |
| S3-10 | 1952.95 | 26.8 | 25.8 | 5.7 | 28.4 | 3.1 | 10.2 | 0.0 | 0 | 3.22 | |
| S2-17 | 1912.58 | 15.1 | 25.7 | 4.8 | 36.9 | 1.3 | 13.7 | 1.4 | 1.1 | 3.31 | |
| S3-8 | 1952.27 | 25.2 | 23.3 | 5.2 | 29.6 | 3.3 | 4.4 | 3.0 | 6 | 3.34 | |
| Laminated organic-rich shale | S2-22 | 1914.11 | 32.2 | 23.7 | 4.9 | 17.4 | 9.5 | 3.7 | 5.5 | 3.1 | 4.01 |
| S3-13 | 1953.83 | 17.7 | 21.2 | 5.5 | 33.8 | 0 | 19.1 | 2.7 | 0 | 4.01 | |
| S3-23 | 1956.93 | 26.2 | 23.1 | 4.7 | 27.1 | 5.3 | 6.2 | 2.9 | 4.5 | 4.46 | |
| S4-1 | 1957.66 | 34.3 | 28.9 | 6.3 | 17.5 | 2.6 | 6.1 | 2.8 | 1.5 | 4.51 | |
| S4-19 | 1963.18 | 11.4 | 15.2 | 2.8 | 29 | 0.9 | 21 | 0.9 | 18.8 | 4.65 | |
| S3-12 | 1953.57 | 28 | 30.2 | 4.5 | 26.2 | 2.4 | 5.6 | 3.1 | 0 | 4.68 | |
| S4-21 | 1963.86 | 12.5 | 20.8 | 5.8 | 37.2 | 14.6 | 4.8 | 3.2 | 1.1 | 4.76 | |
| S4-7 | 1959.5 | 12.9 | 27.2 | 2.7 | 25.6 | 1.1 | 27.8 | 0.8 | 1.9 | 4.87 | |
| S4-13 | 1961.48 | 16.8 | 27.7 | 4.5 | 39.8 | 0 | 5.7 | 5.5 | 0 | 4.87 | |
| S4-3 | 1958.42 | 17.9 | 17.4 | 5.8 | 26.9 | 3 | 3.7 | 1.3 | 24 | 4.97 | |
| S4-5 | 1958.89 | 21.3 | 27 | 5.2 | 40 | 1.2 | 2.1 | 2.3 | 0.9 | 5.08 | |
| S4-2 | 1958.09 | 9.9 | 23 | 3.4 | 44.2 | 4.4 | 6.5 | 1.3 | 7.3 | 6.92 | |
| Shale Type | Sample No. | Depth (m) | Pore Volume (cm³/g) | Total Pore Volume (cm³/g) | |||
|---|---|---|---|---|---|---|---|
| Volume 1 2 nm < D < 50 nm | Volume 2 5 nm < D < 100 nm | Volume 3 100 nm < D < 10,000 nm | Volume 4 10000 nm < D < 100,000 nm | ||||
| Laminated organic-lean shale | S1-11 | 1903.3 | 0.026 | 0.0022 | 0.0009 | 0.0016 | 0.0310 |
| S1-9 | 1902.6 | 0.030 | 0.0020 | 0.0007 | 0.0024 | 0.0351 | |
| S1-7 | 1902.1 | 0.034 | 0.0019 | 0.0025 | 0.0062 | 0.0442 | |
| S2-12 | 1911.1 | 0.023 | 0.0014 | 0.0008 | 0.0038 | 0.0289 | |
| S1-17 | 1905.2 | 0.033 | 0.0019 | 0.0006 | 0.0009 | 0.0363 | |
| Average | 0.029 | 0.002 | 0.001 | 0.003 | 0.035 | ||
| Unlaminated organic-intermediate shale | S4-18 | 1962.8 | 0.008 | 0.0018 | 0.0001 | 0.0012 | 0.0108 |
| S2-2 | 1908.2 | 0.019 | 0.0020 | 0.0009 | 0.0066 | 0.0288 | |
| S1-14 | 1904.1 | 0.029 | 0.0021 | 0.0008 | 0.0008 | 0.0323 | |
| S3-10 | 1953 | 0.017 | 0.0017 | 0.0007 | 0.0095 | 0.0287 | |
| S2-17 | 1912.6 | 0.021 | 0.0020 | 0.0006 | 0.0040 | 0.0277 | |
| S3-8 | 1952.3 | 0.018 | 0.0018 | 0.0006 | 0.0028 | 0.0237 | |
| Average | 0.019 | 0.002 | 0.001 | 0.004 | 0.025 | ||
| Laminated organic-rich shale | S2-22 | 1914.1 | 0.016 | 0.0019 | 0.0004 | 0.0010 | 0.0194 |
| S3-13 | 1953.8 | 0.015 | 0.0033 | 0.0012 | 0.0024 | 0.0220 | |
| S3-23 | 1956.9 | 0.023 | 0.0019 | 0.0015 | 0.0133 | 0.0397 | |
| S4-1 | 1957.7 | 0.011 | 0.0035 | 0.0023 | 0.0063 | 0.0232 | |
| S4-19 | 1963.2 | 0.003 | 0.0013 | 0.0005 | 0.0014 | 0.0059 | |
| S3-12 | 1953.6 | 0.012 | 0.0027 | 0.0005 | 0.0091 | 0.0246 | |
| S4-21 | 1963.9 | 0.004 | 0.0013 | 0.0006 | 0.0015 | 0.0076 | |
| S4-7 | 1959.5 | 0.014 | 0.0021 | 0.0006 | 0.0028 | 0.0192 | |
| S4-13 | 1961.5 | 0.003 | 0.0019 | 0.0021 | 0.0022 | 0.0089 | |
| S4-3 | 1958.4 | 0.013 | 0.0002 | 0.0018 | 0.0019 | 0.0165 | |
| S4-5 | 1958.9 | 0.016 | 0.0013 | 0.0006 | 0.0020 | 0.0203 | |
| S4-2 | 1958.1 | 0.005 | 0.0020 | 0.0001 | 0.0018 | 0.0093 | |
| Average | 0.011 | 0.002 | 0.001 | 0.004 | 0.018 | ||
| Sample No. | Depth (m) | Maceral (%) | Ro (%) | |||||
|---|---|---|---|---|---|---|---|---|
| AOM | Alginite | Vitrinite | Inertinite | Type Index | Kerogen Type | |||
| S1-11 | 1903.3 | 73.67 | 1.67 | 6.00 | 18.67 | 51.33 | II1 | |
| S1-17 | 1905.18 | 76.00 | 2.33 | 5.00 | 16.67 | 56.75 | II1 | |
| S2-13 | 1911.63 | 80.33 | 3.00 | 3.67 | 13.00 | 66.08 | II1 | |
| S2-20 | 1913.47 | 82.33 | 1.67 | 3.33 | 12.67 | 68.00 | II1 | |
| S3-10 | 1952.95 | 79.67 | 2.67 | 5.33 | 12.33 | 64.67 | II1 | |
| S3-21 | 1956.2 | 80.00 | 3.00 | 4.00 | 13.00 | 65.50 | II1 | 0.66 |
| S4-1 | 1957.66 | 80.00 | 1.67 | 6.33 | 12.00 | 64.08 | II1 | 0.68 |
| S4-7 | 1959.5 | 80.67 | 2.33 | 5.00 | 12.00 | 66.08 | II1 | |
Disclaimer/Publisher’s Note: The statements, opinions and data contained in all publications are solely those of the individual author(s) and contributor(s) and not of MDPI and/or the editor(s). MDPI and/or the editor(s) disclaim responsibility for any injury to people or property resulting from any ideas, methods, instructions or products referred to in the content. |
© 2023 by the authors. Licensee MDPI, Basel, Switzerland. This article is an open access article distributed under the terms and conditions of the Creative Commons Attribution (CC BY) license (https://creativecommons.org/licenses/by/4.0/).
Share and Cite
Li, H.; Guo, L.; Liu, X.; Fu, X.; Cheng, L.; Jia, R. Paleo-Environment Induced Full-Scale Pore Variation in the Low Matured Shale: A Case Study of the Third Member of the Jiufotang Formation at the Lujiapu Rift Basin, Northeast China. Minerals 2023, 13, 1175. https://doi.org/10.3390/min13091175
Li H, Guo L, Liu X, Fu X, Cheng L, Jia R. Paleo-Environment Induced Full-Scale Pore Variation in the Low Matured Shale: A Case Study of the Third Member of the Jiufotang Formation at the Lujiapu Rift Basin, Northeast China. Minerals. 2023; 13(9):1175. https://doi.org/10.3390/min13091175
Chicago/Turabian StyleLi, Hongxia, Lei Guo, Xingzhou Liu, Xiaofei Fu, Lijuan Cheng, and Ru Jia. 2023. "Paleo-Environment Induced Full-Scale Pore Variation in the Low Matured Shale: A Case Study of the Third Member of the Jiufotang Formation at the Lujiapu Rift Basin, Northeast China" Minerals 13, no. 9: 1175. https://doi.org/10.3390/min13091175
APA StyleLi, H., Guo, L., Liu, X., Fu, X., Cheng, L., & Jia, R. (2023). Paleo-Environment Induced Full-Scale Pore Variation in the Low Matured Shale: A Case Study of the Third Member of the Jiufotang Formation at the Lujiapu Rift Basin, Northeast China. Minerals, 13(9), 1175. https://doi.org/10.3390/min13091175

