Characteristics of Coal Slurry Aggregate Induced by Inorganic Salts
Abstract
:1. Introduction
2. Materials and Methods
2.1. Theoretical Calculation
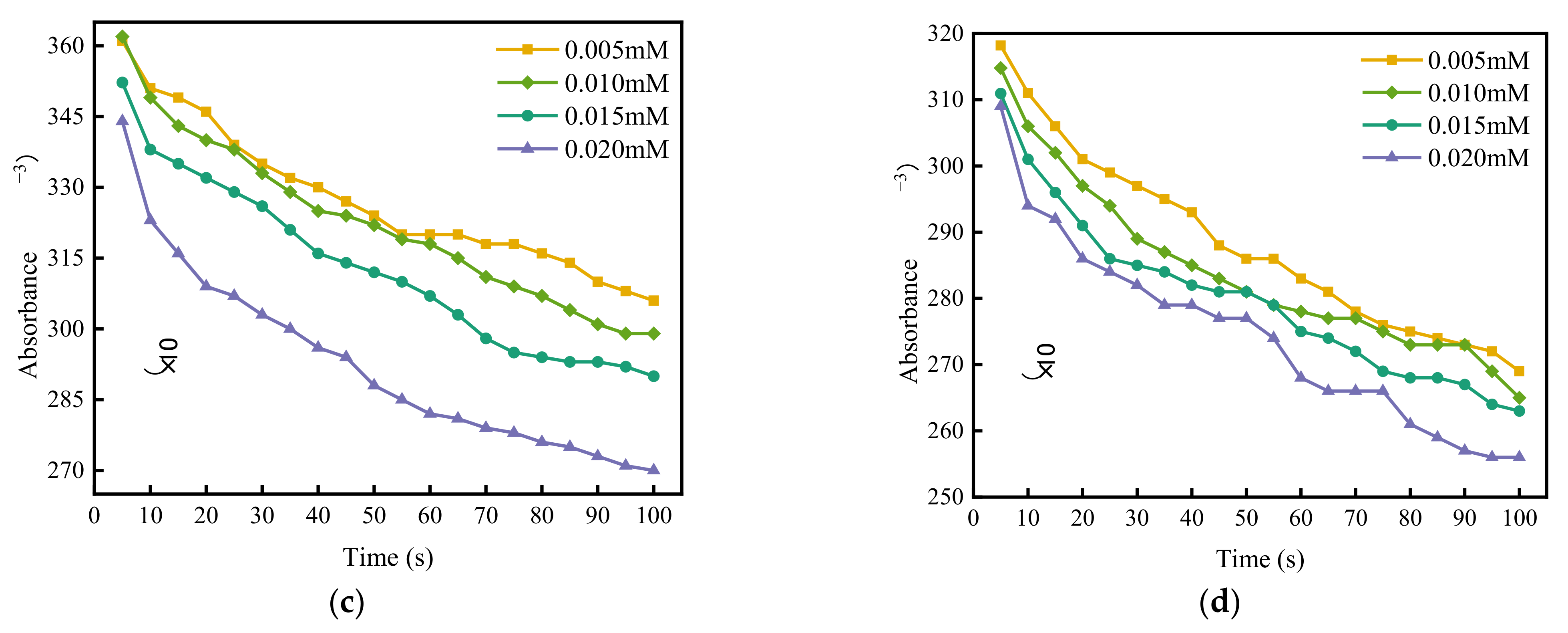
2.2. Measurements of Coagulant Adsorption by QCM-D
2.3. Coagulation Test and Floc Size, Structure Analysis
3. Results and Discussion
3.1. Theoretical Calculation
3.2. Critical Coagulation Concentrations
3.3. Zeta Potential
3.4. Coagulants Adsorption
3.5. Floc Size Distribution and Floc Properties
4. Conclusions
Author Contributions
Funding
Data Availability Statement
Acknowledgments
Conflicts of Interest
References
- Wei, J.; Gao, B.; Yue, Q.; Wang, Y.; Li, W.; Zhu, X. Comparison of coagulation behavior and floc structure characteristic of different polyferric-cationic polymer dual-coagulants in humic acid solution. Water Res. 2009, 43, 724–732. [Google Scholar] [CrossRef] [PubMed]
- Feng, J.; Yu, Q.; He, A.; Sheng, D.G. A theoretical model for the hydraulic conductivity of montmorillonite in relation to the concentration and valence of electrolyte cations in solution. J. Hydrol. 2021, 600, 126567. [Google Scholar] [CrossRef]
- Wang, Y.; Gao, B.Y.; Xu, X.M.; Xu, W.Y.; Xu, G.Y. Characterization of floc size, strength and structure in various aluminum coagulants treatment. J. Colloid Interface Sci. 2009, 332, 354–359. [Google Scholar] [CrossRef] [PubMed]
- Kim, S.H.; Moon, B.H.; Lee, H.I. Effects of pH and dosage on pollutant removal and floc. Microchem. J. 2001, 68, 197–203. [Google Scholar] [CrossRef]
- Wei, X.; Pan, D.; Xu, Z.; Xian, D.; Li, X.; Tan, Z.; Liu, C.; Wu, W. Colloidal stability and correlated migration of illite in the aquatic environment: The roles of pH, temperature, multiple cations and humic acid. Sci. Total Environ. 2021, 768, 144174. [Google Scholar] [CrossRef] [PubMed]
- Teh, C.Y.; Budiman, P.M.; Shak, K.P.Y.; Wu, T.Y. Recent Advancement of Coagulation–Flocculation and Its Application in Wastewater Treatment. Ind. Eng. Chem. Res. 2016, 55, 4363–4389. [Google Scholar] [CrossRef]
- Wang, C.; Sun, C.; Liu, Q. Formation, breakage, and re-growth of quartz flocs generated by non-ionic high molecular weight polyacrylamide. Miner. Eng. 2020, 157, 106546. [Google Scholar] [CrossRef]
- Listiarini, K.; Sun, D.D.; Leckie, J.O. Organic fouling of nanofiltration membranes: Evaluating the effects of humic acid, calcium, alum coagulant and their combinations on the specific cake resistance. J. Membr. Sci. 2009, 332, 56–62. [Google Scholar] [CrossRef]
- Liu, C.; Wang, X.; Qin, L.; Li, H.; Liang, W. Magnetic coagulation and flocculation of a kaolin suspension using Fe3O4 coated with SiO2. J. Environ. Chem. Eng. 2021, 9, 105980. [Google Scholar] [CrossRef]
- Ozkan, A.; Yekeler, M. Coagulation and flocculation characteristics of celestite with different inorganic salts and polymers. Chem. Eng. Processing Process Intensif. 2004, 43, 873–879. [Google Scholar] [CrossRef]
- Dominguez, J.R.; Gonzalez, T.; Garcia, H.M.; Sanchez-Lavado, F.; Beltran de Heredia, J. Aluminium sulfate as coagulant for highly polluted cork processing wastewaters: Removal of organic matter. J. Hazard Mater. 2007, 148, 15–21. [Google Scholar] [CrossRef] [PubMed]
- Lin, Z.; Li, P.; Hou, D.; Kuang, Y.; Wang, G. Aggregation Mechanism of Particles: Effect of Ca2+ and Polyacrylamide on Coagulation and Flocculation of Coal Slime Water Containing Illite. Minerals 2017, 7, 30. [Google Scholar] [CrossRef]
- Wang, S.; Alagha, L.; Xu, Z. Adsorption of organic–inorganic hybrid polymers on kaolin from aqueous solutions. Colloids Surf. A Physicochem. Eng. Asp. 2014, 453, 13–20. [Google Scholar] [CrossRef]
- Davis, C.C.; Edwards, M. Role of Calcium in the Coagulation of NOM with Ferric Chloride. Environ. Sci. Technol. 2017, 51, 11652–11659. [Google Scholar] [CrossRef]
- Droppo, I.G.; Exall, K.; Stafford, K. Effects of chemical amendments on aquatic floc structure, settling and strength. Water Res. 2008, 42, 169–179. [Google Scholar] [CrossRef]
- Xia, Y.; Xing, Y.; Li, M.; Liu, M.; Tan, J.; Cao, Y.; Gui, X. Studying interactions between undecane and graphite surfaces by chemical force microscopy and molecular dynamics simulations. Fuel 2020, 269, 117367. [Google Scholar] [CrossRef]
- Xing, Y.; Gui, X.; Karakas, F.; Cao, Y. Role of Collectors and Depressants in Mineral Flotation: A Theoretical Analysis Based on Extended DLVO Theory. Minerals 2017, 7, 223. [Google Scholar] [CrossRef]
- Farahat, M.; Hirajima, T.; Sasaki, K. Adhesion of Ferroplasma acidiphilum onto pyrite calculated from the extended DLVO theory using the van Oss-Good-Chaudhury approach. J. Colloid Interface Sci. 2010, 349, 594–601. [Google Scholar] [CrossRef]
- Wang, D.; Wu, R.; Jiang, Y.; Chow, C.W.K. Characterization of floc structure and strength: Role of changing shear rates under various coagulation mechanisms. Colloids Surf. A Physicochem. Eng. Asp. 2011, 379, 36–42. [Google Scholar] [CrossRef]
- Nasser, M.S. Characterization of floc size and effective floc density of industrial papermaking suspensions. Sep. Purif. Technol. 2014, 122, 495–505. [Google Scholar] [CrossRef]
- Sabah, E.; Erkan, Z.E. Interaction mechanism of flocculants with coal waste slurry. Fuel 2006, 85, 350–359. [Google Scholar] [CrossRef]
- Weber-Shirk, M.L.; Lion, L.W. Fractal Models for Floc Density, Sedimentation Velocity, and Floc Volume Fraction for High Peclet Number Reactors. Environ. Eng. Sci. 2015, 32, 978–982. [Google Scholar] [CrossRef]
- Ofori, P.; Nguyen, A.V.; Firth, B.; McNally, C.; Ozdemir, O. Shear-induced floc structure changes for enhanced dewatering of coal preparation plant tailings. Chem. Eng. J. 2011, 172, 914–923. [Google Scholar] [CrossRef]
- Cartwright, G.M.; Friedrichs, C.T.; Smith, S.J. A test of the ADV-based Reynolds flux method for in situ estimation of sediment settling velocity in a muddy estuary. Geo-Mar. Lett. 2013, 33, 477–484. [Google Scholar] [CrossRef]
- Smith, S.J.; Friedrichs, C.T. Size and settling velocities of cohesive flocs and suspended sediment aggregates in a trailing suction hopper dredge plume. Cont. Shelf Res. 2011, 31, S50–S63. [Google Scholar] [CrossRef]
- Jarvis, P.; Jefferson, B.; Parsons, S.A. Measuring Floc Structural Characteristics. Rev. Environ. Sci. Bio Technol. 2005, 4, 1–18. [Google Scholar] [CrossRef]
- Zhang, Z.; Zhao, L.; Li, Y.; Chu, M. A Modified Method to Calculate Critical Coagulation Concentration Based on DLVO Theory. Math. Probl. Eng. 2015, 2015, 317483. [Google Scholar] [CrossRef]
- Zou, M.; Wu, Y.; Redmile-Gordon, M.; Wang, D.; Liu, J.; Huang, Q.; Cai, P. Influence of surface coatings on the adhesion of Shewanella oneidensis MR-1 to hematite. J. Colloid Interface Sci. 2022, 608, 2955–2963. [Google Scholar] [CrossRef]
- Xu, R.; Zou, W.; Wang, T.; Huang, J.; Zhang, Z.; Xu, C. Adsorption and interaction mechanisms of Chi-g-P(AM-DMDAAC) assisted settling of kaolinite in a two-step flocculation process. Sci. Total Environ. 2022, 816, 151576. [Google Scholar] [CrossRef]
- Molaei, N.; Bashir Wani, O.; Bobicki, E.R. A comparative study of biopolymer adsorption on model anisotropic clay surfaces using quartz crystal microbalance with dissipation (QCM-D). J. Colloid Interface Sci. 2022, 615, 543–553. [Google Scholar] [CrossRef]
- Liu, Z.; Kou, J.; Xing, Y.; Sun, C.; Liu, P.; Zhang, Y. Ozone Ice as an Oxygen Release Reagent for Heap Leaching of Gold Ore. Minerals 2021, 11, 1251. [Google Scholar] [CrossRef]
- Liu, Z.; Kou, J.; Xing, Y.; Sun, C. Recovery of Gold from Ore with Potassium Ferrocyanide Solution under UV Light. Minerals 2021, 11, 387. [Google Scholar] [CrossRef]
- Chen, Q.; Cao, T.; Xiong, Y.; Wang, C.; Lin, Z.; Chen, Z.; Xu, S.; Xu, Z. Understanding Interactions between Clay and Model Coal Surfaces in Electrolyte Solutions by a Quartz Crystal Microbalance with Dissipation Study. Energy Fuels 2018, 32, 233–240. [Google Scholar] [CrossRef]
- Chen, Q.; Cao, T.; Xiong, Y.; Wang, C.; Lin, Z.; Chen, Z.; Xu, S.; Xu, Z. Adsorption of High-Molecular-Weight EOR Polymers on Glass Surfaces Using AFM and QCM-D. Energy Fuels 2013, 27, 2437–2444. [Google Scholar] [CrossRef]
- Klein, C.; Harbottle, D.; Alagha, L.; Xu, Z. Impact of fugitive bitumen on polymer-based flocculation of mature fine tailings. Can. J. Chem. Eng. 2013, 91, 1427–1432. [Google Scholar] [CrossRef]
- Yan, M.; Wang, D.; Xie, J.; Liu, C.; Cheng, J.; Chow, C.W.; van Leeuwen, J. Investigation of the adsorption characteristics of natural organic matter from typical Chinese surface waters onto alumina using quartz crystal microbalance with dissipation. J. Hazard Mater. 2012, 215–216, 115–121. [Google Scholar] [CrossRef]
- Alagha, L.; Wang, S.; Yan, L.; Xu, Z.; Masliyah, J. Probing adsorption of polyacrylamide-based polymers on anisotropic Basal planes of kaolinite using quartz crystal microbalance. Langmuir 2013, 29, 3989–3998. [Google Scholar] [CrossRef]
- Smith, S.J.; Friedrichs, C.T. Image processing methods for in situ estimation of cohesive sediment floc size, settling velocity, and density. Limnol. Oceanogr. Methods 2015, 13, 250–264. [Google Scholar] [CrossRef]
- Tang, J.; Zhang, Y.; Bao, S. The Effect of Ca2+ and Mg2+ on the Dispersion and Flocculation Behaviors of Muscovite Particles. Minerals 2016, 6, 93. [Google Scholar] [CrossRef]
- Li, W.; Li, Y.; Xiao, Q.; Wei, Z.; Song, S. The Influencing Mechanisms of Sodium Hexametaphosphate on Chalcopyrite Flotation in the Presence of MgCl2 and CaCl2. Minerals 2018, 8, 150. [Google Scholar] [CrossRef] [Green Version]
- Long, T.; Huang, X.; Xiao, W. The Effect of Surface Charge on the Separation of Pyrite from Serpentine by Flotation. Minerals 2019, 9, 629. [Google Scholar] [CrossRef]
- Cheng, W.; Deng, Z.; Tong, X.; Lu, T. Hydrophobic Agglomeration of Fine Pyrite Particles Induced by Flotation Reagents. Minerals 2020, 10, 801. [Google Scholar] [CrossRef]
- Inam, M.A.; Khan, R.; Park, D.R.; Ali, B.A.; Uddin, A.; Yeom, I.T. Influence of pH and Contaminant Redox Form on the Competitive Removal of Arsenic and Antimony from Aqueous Media by Coagulation. Minerals 2018, 8, 574. [Google Scholar] [CrossRef]
- Dong, Y.; Li, H.; Fan, Y.; Ma, X.; Sun, D.; Wang, Y.; Gao, Z.; Dong, X. Tunable Dewatering Behavior of Montmorillonite Suspension by Adjusting Solution pH and Electrolyte Concentration. Minerals 2020, 10, 293. [Google Scholar] [CrossRef]
- Yan, M.; Liu, C.; Wang, D.; Ni, J.; Cheng, J. Characterization of adsorption of humic acid onto alumina using quartz crystal microbalance with dissipation. Langmuir 2011, 27, 9860–9865. [Google Scholar] [CrossRef] [PubMed]
- Jin, P.; Song, J.; Yang, L.; Jin, X.; Wang, X.C. Selective binding behavior of humic acid removal by aluminum coagulation. Environ. Pollut. 2018, 233, 290–298. [Google Scholar] [CrossRef]









| 10−4 mol/L | 10−3 mol/L | 10−2 mol/L | 10−1 mol/L | 100 mol/L | |
|---|---|---|---|---|---|
| NaCl/KCl | 30.41 | 9.61 | 3.04 | 0.96 | 0.30 |
| MgCl2/CaCl2 | 17.56 | 5.55 | 1.76 | 0.56 | 0.18 |
| AlCl3/FeCl3 | 12.42 | 3.93 | 1.24 | 0.39 | 0.12 |
| Coal-Coal | Kaolinite-Kaolinite | Coal-Kaolinite | |
|---|---|---|---|
| MgCl2 and CaCl2 | 1.35 mM | 0.00069 mM | 0.031 mM |
| AlCl3 and FeCl3 | 0.81 mM | 0.00042 mM | 0.018 mM |
| Sauerbrey Mass (ng/cm2) | Sauerbrey Thickness (nm) | |||||||
|---|---|---|---|---|---|---|---|---|
| MgCl2 | CaCl2 | AlCl3 | FeCl3 | MgCl2 | CaCl2 | AlCl3 | FeCl3 | |
| 10 mM | 24.3 | 20.5 | 54.1 | 299.9 | 0.25 | 0.23 | 0.54 | 2.97 |
| 50 mM | 94.7 | 85.2 | 229.4 | 320.3 | 0.95 | 0.83 | 2.29 | 3.16 |
| 100 mM | 186.2 | 162.7 | 339.8 | 349.8 | 1.84 | 1.57 | 3.34 | 3.46 |
| Fractal Dimension | Average dF mm | Maximum of dF mm | Average of Settle Velocity mm/s | Average of Effective Density kg/m3 | Growth Factor | |
|---|---|---|---|---|---|---|
| MgCl2 | 1.51 | 0.12 | 0.23 | 0.94 | 102.95 | 11.20 |
| CaCl2 | 1.54 | 0.12 | 0.26 | 1.02 | 111.65 | 12.75 |
| AlCl3 | 1.63 | 0.23 | 0.45 | 1.44 | 84.25 | 22.30 |
| FeCl3 | 1.67 | 0.25 | 0.45 | 2.26 | 81.53 | 22.50 |
Publisher’s Note: MDPI stays neutral with regard to jurisdictional claims in published maps and institutional affiliations. |
© 2022 by the authors. Licensee MDPI, Basel, Switzerland. This article is an open access article distributed under the terms and conditions of the Creative Commons Attribution (CC BY) license (https://creativecommons.org/licenses/by/4.0/).
Share and Cite
Fan, Y.; Zhang, Y.; Dong, X.; Ma, X.; Li, N.; Jin, W. Characteristics of Coal Slurry Aggregate Induced by Inorganic Salts. Minerals 2022, 12, 1100. https://doi.org/10.3390/min12091100
Fan Y, Zhang Y, Dong X, Ma X, Li N, Jin W. Characteristics of Coal Slurry Aggregate Induced by Inorganic Salts. Minerals. 2022; 12(9):1100. https://doi.org/10.3390/min12091100
Chicago/Turabian StyleFan, Yuping, Yangyang Zhang, Xianshu Dong, Xiaomin Ma, Na Li, and Wei Jin. 2022. "Characteristics of Coal Slurry Aggregate Induced by Inorganic Salts" Minerals 12, no. 9: 1100. https://doi.org/10.3390/min12091100
APA StyleFan, Y., Zhang, Y., Dong, X., Ma, X., Li, N., & Jin, W. (2022). Characteristics of Coal Slurry Aggregate Induced by Inorganic Salts. Minerals, 12(9), 1100. https://doi.org/10.3390/min12091100

