Abstract
The eastern Tiklik belt is mainly composed of meta-sedimentary rocks of the Ailiankate and Sailajiazitage Groups that were previously interpreted as Palaeoproterozoic, Mesoproterozic and Neoproterozoic stratigraphic units, which are part of the Tarim Precambrian basement. Our new detrital (U-Pb) zircon ages yield a dominant single peak with a major range between ca. 700 Ma and 800 Ma for meta-sedimentary rocks from both the Ailiankate and Sailajiazitage Groups, which demonstrates that they were mainly derived from an independent Neoproterozoic terrane. There are several ages of 444–659 Ma, of which, the youngest has an age of 444 ± 6 Ma, indicating that the time of deposition of the meta-sedimentary rocks could have been in the Early Silurian. The porphyritic granite sample has a weighted mean crystallization age of 442 ± 2 Ma. The adakite-like geochemical characteristics of the porphytitic granite suggest derivation from the melting of the oceanic slab and formation in a subduction, arc-related tectonic setting. After integration with relevant published data, our work suggests that the Ailiankate and Sailajiazitage Groups belong to a tectonic mosaic that contains Middle Neoproterozoic extensional and Paleozoic accretionary and collisional complexes, rather than the Paleoproterozoic or Mesoproterozoic basement, as previously regarded. We propose a new tectonic model for the eastern Tiklik belt that started with a Middle Neoproterozoic extension and ended with Paleozoic continuous accretion and collision in a Paleo-Tethys archipelago, which contributed to the considerable continental growth of the southern Tarim Block.
1. Introduction
The current tectonic activity in Asia has often been cited as a consequence of convergence and continental collision between India and Eurasia [1,2,3,4,5]. The collision generated the uplift of the Tibet Plateau and caused the long-distance deformation of the Eurasian continent [1,4,6].
However, the older orogenesis that led to the conduption and closure of the Paleo-Tethys Ocean is less well-known, and yet it played an important role in the construction and growth of the Tarim Block and the early evolution of the Tibetan Plateau.
The western Kunlun orogen, located along the northwestern margin of the Tibetan Plateau, contains prime evidence for the evolution and closure of the Paleo-Tethys Ocean [7,8]. However, the rapid uplift of the western Kunlun orogen [6,7,9,10] caused juxtaposition of the basement of the Tarim Block and metamorphic rocks associated with the subduction and closure of Paleo-Tethys, hampering our understanding of the tectonic boundary between the Tarim Block and the western Kunlun orogen.
For example, during the Cenozoic, the Tiklik tectonic belt was thrust northward onto the Tarim basin, forming the junction between the western Kunlun orogen and Tarim craton (Figure 1). Previously, the Tiklik has been regarded as the folded basement of Tarim [11,12,13], owing to its high metamorphic grade and some Precambrian protolith ages. However, Wang et al. [14] used zircon U-Pb and Hf isotopic data to demonstrate the Phanerozoic age and attributes of the eastern Tiklik belt. Therefore, the tectonic relations and isotopic age variations of the Tiklik belt need to be re-evaluated in order to gain a better understanding of the contrasting tectonic senarios.
Figure 1.
(a) Simplified tectonic map of the Tarim craton; (b) simplified geological map of the eastern Tiklik tectonic belt located between the western Kunlun and Tarim, showing the stratigraphy and the position of the study area.
Many researchers have suggested that the Tarim craton is a Rodinia-related piece of orogen that contains evidence of the break-up of the supercontinent [15,16,17,18,19,20,21,22]; however, models of the history of the reconstruction of Tarim in Rodinia are controversial [5,13,16,22,23,24,25,26].
In this study, we present the results of new field mapping and structural analysis integrated with new geochronologic and geochemical data from the eastern Tiklik belt in order to re-evaluate the relationships between the Tarim craton and the western Kunlun orogen, as their relevant structural boundaries and history of subduction and collage amalgamation are poorly understood. Our data establish that the eastern Tiklik belt was a separate and independent arc-type subduction complex. The structures and their spatial–temporal relationships and evolution of the eastern Tiklik belt have significant implications for understanding the contiguous relationships between the Tarim basin and the western Kunlun orogen.
2. Tectonic Background and Regional Geology
The western Kunlun orogen is bounded by the Tarim craton, Pamir syntaxis and Altyn Tagh Mountains to the north, west and east, respectively (Figure 1). The western Kunlun orogen is the result of the collision between the Gondwana and Eurasia continents [8,27,28].
The E/W-trending Tiklik belt separates the Tarim craton to the north from the western Kunlun orogen to the south and narrows eastwards [28,29,30,31]. The western and eastern segments of the Tiklik belt display different kinematic characteristics and their Precambrian rocks have a different tectonic framework [32].
The western segment mainly comprises the Paleoproterozoic Heluositan Group (paragneisses, orthogneisses and migmatites), the Paleoproterozoic–Mesoproterozoic Ailiankate (quartzite schist, phyllite and minor marble) and Sailajiazitage Groups (meta-volcanic rocks, meta-volcanoclasitic rocks and related meta-sedimentary rocks), the Mesoproterozoic–Neoproterozoic Bochatetage and Sumalan (carbonates and siliciclastic rocks), and Sukuluoke formations (layers of siltstone, mudstone and sandstone).
The eastern segment is mainly composed of the Ailiankate and Sailajiazitage Groups (Figure 1b) [14], which have always been described as Paleoproterozoic and Mesoproterozic on regional geologic maps [33] on account of their metamorphic character and on biostratigraphy, coupled with limited Rb-Sr isochron ages of keratophyres. In addition, the LA-ICP-MS U-Pb dating of detrital zircon grains indicates that the Ailiankate Group contains three age groups: 2.3–2.45, 0.9–1.0, 0.8 Ga; the last two were regarded as the time of metamorphism [34]. Recently, Neoproterozoic intraplate magmatic rocks from 0.82 to 0.74 Ga were discovered around Tarim [19,35], from which, Wang et al. [14] suggested that some previously assigned Paleoproterozoic and Mesoproterozoic rocks are in fact Neoproterozoic, having formed during the rifting-related break-up of the Rodinia supercontinent. Wang et al. [36] pointed out that sediments of the Ailiankate Group contain many 650–850 Ma zircon grains, suggesting deposition after the late Neoproterozoic and not part of the Paleoproterozoic crystalline basement of the Tarim craton, as previously believed.
It is hotly debated on the provenance and tectonic setting of the Tiklik belt: (i) it may be a component of the west Kunlun [37], occurring as a dome-shaped thrusted slice in the core of the north Kunlun anticlinorium [32,38]; (ii) as a basement of the Tarim block [35,39] and (iii) a 444 Ma granodiorite in the eastern segment of the Tiklik belt has geochemical affinity to adakite, suggesting an active continental margin setting, as the northern Kunlun Ocean was still subducting in the Late Ordovician [40].
To assist in resolving these issues, this paper will examine the U-Pb ages of detrital zircon in meta-sedimentary rocks, as well as the U-Pb geochronology and geochemical characteristics of porphyritic granite, in order to determine their provenance, latest timing of deposition and tectonic setting.
3. Field Relationships, Sampling and Petrography
Field mapping and sampling were carried out on the south-eastern Tiklik Mountain (Figure 2), along the Kesair River (cross-section A-A’), and the Yunlong Kashi River (cross-section B-B’) (Figure 2). The Tiklik belt is mainly composed of the Ailiankate and Sailajiazitage Groups micaschists, hornblende schists, granites, meta-gabbros, diabase dikes, pyroxenites and limestones. The micaschists are strongly cleaved and deformed (Figure 3) and develop rootless folds (Figure 3b–d,f), boudinage (Figure 3e) and plastic flow structures (Figure 3g).
Figure 2.
Regional geological map showing the major Ailiankate and Sailajiazitage Groups and dikes or blocks of igneous rocks (modified after geological map with the scale of 1:250,000) [41]. Location are shown in Figure 1b. Positions of cross-section A-A’ along the Kesair River and B-B’ along the Yulongkashi River are indicated, and samples from the southeastern Tiklik Mountain are marked.
Figure 3.
Photographs showing the mode of occurrence of meta-siliciclastic rocks fron the Ailiankate and Sailajiazitage Groups: (a) micaschist from the south-eastern Tiklik Mountain; (b–d) micaschist with widely developed rootless folds (S1) and cleavages (S2); (e) micaschist with boudinage; (f) folded quartz veins (S1) and cleavages (S2); (g) micaschist with a stretching lineation associated to S2.
Sixteen micaschist samples and one granite sample were collected as representatives of the Ailiankate and Sailajiazitage Groups in the eastern Tiklik belt. The Ailiankate Group is in tectonic contact with the Sailajiazitage Group.
The sample locations of these metamorphic rocks are shown in Figure 2, Figure 3 and Figure 4. In terms of their different metamorphic grades and mineral assemblages, the occurrences and minerals in the samples are shown in Figure 5 and Figure 6. The detailed petrology is described below.
Figure 4.
Photomicrographs of micaschists from the Ailiankate and Sailajiazitage Groups: (a) a gray micaschist with weak foliated features; (b,c) grey biotite plagioclase schists; (d) a grey biotite plagioclase schist with folded features; (e,f) grey micaschists; (g,h) grey micaschists; (i) micaschist; (j–l) plagioclase-rich micaschists; (m) micaschist; (n) micaschist with dominated quartz, muscovite and biotite; (o) micaschist is mainly composed by calcite, quartz, plagioclase and biotite; (p) grey micaschist composed primarily of plagioclase, quartz and biotite. (Q: quartz; Kfs: K-feldspar; Mc: microcline; Pl: plagioclase; Bt: biotite; Ms: muscovite; Ap: apatite; Spn: sphene; Ep: epidote; Zrn: zircon; Chl: chlorite).
Figure 5.
A-A’ section across the Sailajiazitage and Ailiankate Groups along the Kesair River. Location shown in Figure 2. The positions of dated rocks are indicated.
Figure 6.
B-B’ cross-section through the Sailajiazitage and Ailiankate Groups along the Yulongkashi River. Location shown in Figure 2. The positions of dated rocks are indicated.
On the south-eastern Tiklik Mountain, exposure rocks mainly consist of highly foliated micaschists and granites (Figure 2). We collected four micaschist samples (18TK03, 18TK04, 18TK05 and 18TK06) from the Ailiankate Group to conduct detrital zircon dating (Figure 2). The 18TK03 is a gray micaschist with weak foliated features (Figure 4a) that consists of approximately 50% quartz, 30–40% mica and minor hornblende and apatite (Figure 4a). The other three samples of 18TK04, 18TK05 and 18TK06 are grey biotite plagioclase schists that are mainly composed of plagioclase and quartz (65%), biotite and muscovite (35%) and accessory calcite, sphene and apatite (Figure 4b–d).
Cross-section A-A’ strikes NW-SE across both the Ailiankate and Sailajiazitage Groups. Five micaschists (18TK07, 18TK08, 18TK09, 18TK10 and 18TK11) were sampled; their sample locations are shown in Figure 5.
Sample 18TK07 is a grey micaschist composed of quartz (40%), biotite (20%), muscovite (30%) and minor calcite, apatite and magnetite (Figure 4e). Sample 18TK08 is a grey micaschist composed of 60% quartz, 20% mica, 10% calcite and minor prismatic apatite and granular magnetite (Figure 4f). Samples 18TK09 and 18TK10 are grey micaschists composed of quartz (60–75%), mica (15–25%) and accessory calcite, apatite and magnetite (Figure 4g,h). Sample 18TK11 is a micaschist composed of quartz (70–80%), mica (15–20%), calcite (5–8%) and minor plagioclase, apatite and magnetite (Figure 4i).
Cross-section B-B’ strikes approximately N-S through the Ailiankate and Sailajiazitage Groups. We collected seven micaschist samples (18TK12, 18TK13, 18TK14, 18TK15, 18TK16, 18KT18 and 18TK19) and a porphyritic granite sample (18TK23) from a dike that intrudes micaschists (Figure 6)
Samples 18TK12, 18TK13 and 18TK14 are plagioclase-rich micaschists (Figure 4j–l) that mainly consist of 60–68% plagioclase and quartz and 30–40% biotite and muscovite, as well as minor calcite, sphene and apatite. Sample 18TK15 is a micaschist composed of plagioclase (10%), quartz (45%), biotite (25%), muscovite (10%), calcite with a xenomorphic granular texture (10%) and minor apatite and magnetite (Figure 4m). Micaschist sample 18TK16 is dominated by quartz (60–75%), muscovite and biotite (20–30%) and minor apatite (Figure 4n). Micaschist sample 18TK18 consists mostly of quartz (20–30%), calcite (30–40%), plagioclase (5–10%), biotite (5–10%) and minor apatite and magnetite (Figure 4o). 18TK19 is a grey micaschist composed primarily of plagioclase (35%), quartz (20%), biotite (30%), calcite (20%) and minor amounts of apatite, sphene and magnetite (Figure 4p). Porphyritic granite 18TK23, which intruded the micaschists, is composed of 30% feldspar phenocrysts and 70% matrix, including plagioclase, feldspar, quartz and biotite, as well as accessory apatite (Figure 7).
Figure 7.
Pophyritic granite that intrudes the Ailiankate micaschists: (a) field photos showing the porphyry characteristics; (b) the mineral assemblages of the pophyritic granite.
4. Analytical Methods
Samples for U-Pb zircon analysis were processed by conventional magnetic and density techniques to concentrate non-magnetic and heavy fractions. Zircon grains, together with the standard 91500, were mounted in epoxy, which were then polished to section the crystals for analysis. All zircon grains were documented with transmitted and reflected light microscopes, as well as cathodoluminescence (CL) images, to reveal their internal structures. The mounts were then prepared for later analyses.
Zircon U-Pb and trace elements analyses were performed at the Beijing Quick-Thermo Science & Technology Co., Ltd (registed at the Institute of Geology and Geophysics, Chinese Academy of Sciences, Beijing, China), using an ESI New Wave NWR 193UC (TwoVol2) laser ablation system connected to an Agilent 8900 ICP-QQQ (USA), following analytical procedures described in Ji et al. [42]. Harvard zircon 91500 was used as the external standard for age calculation, and Australian National University zircon NIST SRM 610 was used as the external standard for concentration calculations. Individual zircon grains (mounted and polished in epoxy) were ablated in a constant stream of He that is mixed downstream with N2 and Ar before entering the torch region of the ICP-QQQ. After warmup of the ICP-QQQ and connection with the laser ablation system, the ICPMS is first tuned for robust plasma conditions by optimizing laser and ICP-QQQ setting, monitoring 232Th16O+/232Th+ ratios (always ≤0.2%) and 238U+/232Th+ ratios (always between 0.95 and 1.05) while ablating NIST SRM 610 in line scan mode. Zircon 91500 was used as primary reference material for all U-Pb age determinations, while zircon PleŠovice was used as secondary reference. NIST610 glass was used to calibrate trace element with internal standard major element Si. The reference materials were analyzed two times before and after each analytical session including 6–8 spots on minerals. Ablation was carried out 30 s with 25 μm diameter beam size, ∼4 J/cm2 energy and 5 Hz repetition rate on the selected grains and reference materials after approximately 10 s baseline signal collection. Background subtraction and correction for laser downhole elemental fractionation for the time-resolved LA-ICPMS data were performed using the Iolite data reduction package within the Wavemetrics Igor Pro data analysis software [43]. Concordia plots were processed using Isoplot 4.15.
Analyses of major and trace elements were performed at the National Research Center for Geo-analysis, Chinese Academy of Geological Sciences, Beijing. Major elements were analyzed on fused glass beads with a XRF-1800 (Shimadzu, Japan) sequential X-ray fluorescence spectrometer. Loss on ignition was measured after heating to 1000 ℃ for 3 h in a muffle furnace. The precision of the XRF analyses is within ±2% for the oxides greater than 0.5 wt.% and within ±5% for the oxides greater than 0.1 wt.%. Sample powders (about 40 mg) were dissolved in Teflon bombs using a HF+HNO3 mixture for 48 h at about 190 ℃. The solution was evaporated to incipient dryness, dissolved by concentrated HNO3 and evaporated at 150 ℃ to dispel the fluorides. The samples were diluted to about 80 g for analysis after re-dissolved in 30% HNO3 overnight. An internal standard solution containing the element Rh was used to monitor signal drift during analysis. Analytical results for USGS standards indicated that the uncertainties for most elements were within 5%.
5. Results
5.1. Geochronology and Geochemistry for the Porphyritic Granite
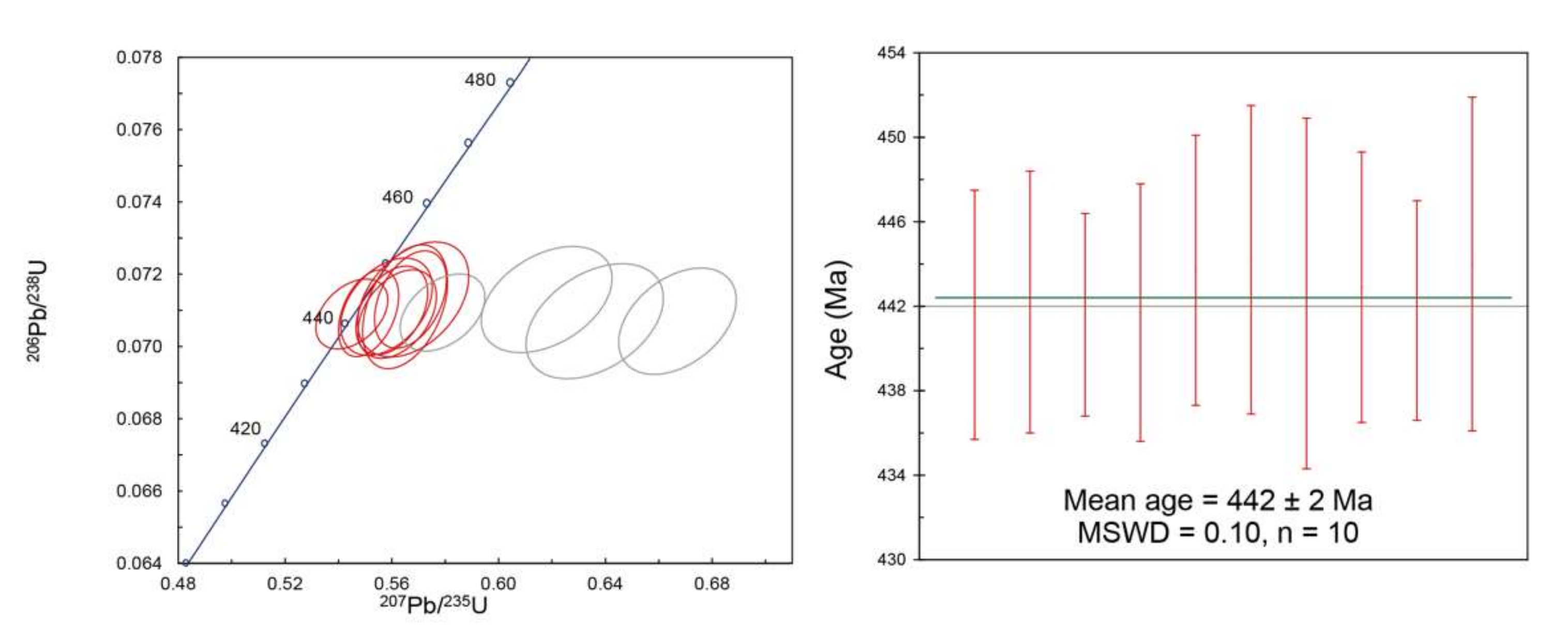
The zircon crystals of the porphyritic granite 18TK23 are prismatic or euhedral in shape and variable in length, and show characteristic magmatic oscillatory zonation. A few grains are round at their pyramidal terminations. Twenty-four analyses yield concordant results, indicating a chronologically single source with a weighted mean age of 442 ± 2 Ma (Figure 8).
Figure 8.
U-Pb Concordia age diagrams and histograms of the porphyritic granitic from the B-B’ cross-section.
The major and trace elements from the porphyritic granite and previous data are listed in Table 1.
Table 1.
List of the major, trace and rare earth element compositions for rocks of the eastern Tiklik belt.
The granite rock (18TK23) contains 68.13 wt.% SiO2, 3.68 wt.% K2O and 3.91 wt.% Na2O. It has a high content of Sr (994 ppm) and low Y (15.57 ppm) and Yb (0.89 ppm) contents, showing high Sr/Y (64) ratios and depletions in HREE ((La/Yb)N = 51). Regarding the chondrite-normalized REE patterns [44], the sample exhibits a slope downward trend, with enrichments in LREE and depletions in HREE (Figure 9a,b). It shows a degree of depletion in Nb-Ta (Figure 9c), which suggests a subduction-related affinity. Moreover, the granite sample and late Ordovician (444 Ma) granite in the study area both plot in the adakite field on the Sr/Y-Y diagram [45] (Figure 9c). On the discrimination diagram of Rb-(Y+Nb) [46], it plots in the field of volcanic arc granite (Figure 9d). We therefore conclude that the granite rock (18TK23) was formed in arc-related tectonic settings.
Figure 9.
Diagrams to illustrate the geochemical features of the porphyritic granite and previous data: (a,b) primitive mantle-normalized spider diagrams and chondrite-normalized rare earth element patterns [44]; (c) Sr/Y-Y diagram to discriminate between adakites and arc-generated rocks [45]; (d) Rb-(Y+Nb) diagram of granitic rocks [46].
5.2. Detrital Zircon Ages of Micaschists
All of the analyzed zircon grains are listed in Supplementary Materials Table S1. Only concordant ages (concordance % > 90% or < 110%) are described and discussed below. The age <1500 Ma used 206Pb/238U age, and the age >1500 Ma used 207Pb/206Pb age [47]. The U-Pb isochron ages and histogram statistics are illustrated in Figure 10, Figure 11 and Figure 12.
Figure 10.
U-Pb Concordia age diagrams and histograms of four micaschist samples from the Ailiankate group in the South-eastern Tiklik Mountain. (a) 18TK03: the mean age for three youngest zircon grains is 763.1 ± 9.1 Ma with a major peak of 826 Ma; (b) 18TK04: the mean age for three youngest zircon grains is 764 ± 10 Ma with a major peak of 823 Ma; (c) 18TK05: the youngest zircon grain age is 638 ± 22 Ma with a major peak of 808 Ma; (d) 18TK06: the youngest zircon grain age is 753 ± 7 Ma with a major peak of 815 Ma and some minor older ages between 1637–2583 Ma. Sample locations were shown in Figure 2.
Figure 11.
U-Pb Concordia age diagrams and histograms of five micaschist samples from the cross-section A-A’ along the Kesair River. (a) 18TK07: the mean age for three youngest zircon grains is 781 ± 10 Ma with a major peak of 826 Ma and some minor older ages between 1314-2608 Ma; (b) 18TK08: the youngest zircon grain age is 754.9 ± 9.5 Ma with a major peak of 812 Ma and a few ages aroud 1767 Ma; (c) 18TK09: the mean age for three youngest zircon grains is 737.9 ± 6.1 Ma with a peak of 797 Ma; (d) 18TK10: the youngest zircon grain age is 443.7 ± 5.5 Ma with a major peak of 819 Ma and some minor older ages between 1597-2541 Ma; (e) 18TK11: the youngest zircon grain age is 727 ± 15 Ma with a major peak of 792 Ma and a few ages aroud 1837 Ma.
Figure 12.
U-Pb Concordia age diagrams and histograms of seven micaschist samples from the cross-section B-B’ along the Yulongkashi River. (a) 18TK12: the two youngest zircon grain age are 714 ± 9 and 726 ± 16 Ma, respectively, and its major peak age is 810 Ma; (b) 18TK13: the mean age for two youngest zircon grains is 741 ± 8.3 Ma with a major peak age of 804 Ma; (c) 18TK14: the youngest zircon grain age is 659.4 ± 26.2 Ma with a major peak of 760 Ma and a few older ages; (d) 18TK15: the mean age for three youngest zircon grains is 799 ± 11 Ma with a major peak age of 817 Ma and a few minor older ages; (e) 18TK16: the youngest zircon grain age is 703 ± 5 Ma with a major peak age of 763 Ma and a few older ages aroud 2050 Ma; (f) 18TK18: the mean age for three youngest zircon grains is 586.5 ± 9.2 Ma with a major peak age of 803 Ma; (g) 18TK19: the youngest zircon grain age is 754 ± 19 Ma with a major peak age of 812 Ma and several older ages.
The zircon grains from the micaschist samples 18TK03, 18TK04 and 18TK05 exhibit diversity in shape from near-idiomorphic to well-rounded. Most zircon grains show clear oscillatory zonation, yielding concordant ages with single peak concentrated between 808 Ma and 826 Ma. The youngest three zircons of the sample 18TK03 and 18TK04 yield a weighted mean age of 736 ± 10 Ma (MSWD = 0.20) and 764 ± 10 Ma (MSWD = 0.30), respectively. The youngest grain of sample 18TK05 yields the concordant age of 638 ± 22 Ma. They are interpreted as the maximum deposition ages (MDAs) of micaschists. In addition, the three samples have four grains older than 1000 Ma (Figure 10a–c).
The zircons of sample 18TK06 are variable in shape and length as long- or short-prismatic or euhedral grains. Most of them show clear oscillatory zoning. A few are circular at their pyramidal apexes. The concordant grains show multi-peaks in the age spectrum. The major concordant age peak is at 815 Ma, and scattered ages are at 1367 Ma, 1694 Ma, 2064 Ma and 2583 Ma (Figure 10d). The youngest zircon grains of the sample 18TK06 yields an age of 753 ± 9 Ma (MSWD = 3.1), and this weighted mean age is interpreted as the MDA of the micaschist.
All of the samples from the cross-section A-A’ have the multi-stage of concordant ages (Figure 11). The zircon crystals of the micaschist samples are long- or short-prismatic with distinct zonations. The sample 18TK07 and 18TK10 have concordant ages with major concordant age peaks at 826 Ma and 819 Ma, respectively. In addition, the other older grains spread discontinuously from 1000 to 2800 Ma (Figure 11a). The youngest three zircons of 18TK07 yield a weighted mean age of 781 ± 10 Ma (MSWD = 0.27). The 18TK10 has the youngest age of one zircon at 444 ± 6 Ma. Twenty-four zircons of the sample 18TK11 record concordant ages, with a major concordant age peak at 792 Ma. The secondary peak is at 1837 Ma. The youngest zircon gives an age of 727 ± 15 Ma (MSWD = 0.27) (Figure 11e).
The samples 18TK08 and 18TK09 are characterized by a single peak in the age spectra. Their ages are mostly between ca. 700 Ma ~ 800 Ma and a few grains have ages between ca. 1100 and 2600 Ma (Figure 12). The sample 18TK08 has the youngest age of 755 ± 10 Ma. The youngest three zircons of sample 18TK09 yield a weighted mean age of 738 ± 6 Ma (MSWD = 1.18).
These youngest ages (781 Ma, 755 Ma, 738 Ma, 444 Ma and 727 Ma) are interpreted as the MDA of the micaschists.
Most zircon grains of these micaschists sampled in cross-section B-B’ display a variable long- or short-prismatic morphology with characteristic oscillatory zonation, and a few grains are rounded in shape. All of the schists in this cross-section have major concordant age peaks ranging from 760 Ma to 817 Ma.
The samples 18TK13, 18TK14, 18TK15, 18TK18 and 18TK19 have prominent peaks at 804 Ma, 760 Ma, 817 Ma, 803 Ma and 812 Ma, respectively, and only a few grains have ages between ca. 1000 and 2700 Ma (Figure 12). Three zircons of samples 18TK13, 18TK15 and 18TK18 yield weighted mean ages of 741 ± 8 Ma (MSWD = 0.23), 799 ± 11 Ma (MSWD = 0.01) and 587 ± 9 Ma (MSWD = 1.3), respectively. The samples 18TK14 and 18TK16 record the youngest zircon ages of 659 ± 26 Ma and 754 ± 19 Ma, respectively.
The samples 18TK12 and 18TK16 show two peaks in the age spectra. The major peak is at 810 Ma and 763 Ma, and the secondary peak is at 1650 Ma, with minor ages of ca. 2050 Ma. The two samples record the youngest zircon ages of 714 ± 9 Ma and 703 ± 5 Ma, respectively.
In all 16 micaschists, the detrital zircon ages reveal a dominant single peak with a major range between ca. 700 Ma and 800 Ma. Their youngest zircons record ages ranging from 444 Ma to 799 Ma.
6. Discussion
6.1. Provenance of Meta-Sedimentary Rocks in the Eastern Tiklik Belt
The detrital zircon geochronology of sandstones or siliciclastic sediments is a powerful method to establish the age distribution of magmatism within orogenic belts, which is often pertinent to provenance analysis. It can also be used to constrain the timing of deposition by using the youngest grains as a limiting factor [48]. Moreover, it can be used to determine the lag time between the youngest zircons and the established deposition age.
Four samples of micaschists from the south-eastern Tiklik Mountain and five micaschists from the section A-A’ (Ailiankate Group), together with seven micaschists samples from the section B-B’ (Ailiankate Group), were dated in this study (see Table 2). Detrital zircon U-Pb ages from ten micaschists yielded a dominant single peak, with ages ranging from 700 Ma to 800 Ma, suggesting that they were mainly derived from an independent, separate terrane. In addition, six micaschist samples have peaks within the major range between 700 Ma and 800 Ma (Table 2), with only a few Precambrian ages that were probably derived from the Tarim craton. There are several youngest detrital zircon ages of 587–799 Ma, and the youngest has an age of 444 ± 6 Ma. These youngest ages of detrital zircons indicate that the times of deposition of the metasediments were much younger than the ages previously thought.
Table 2.
Detrital zircon patterns of schists from the Ailiankate and Sailajiazitage Groups (Ailiankate Group—AG; Sailajiazitage Group—SG; south-eastern Tiklik Mountain—SETM; cross-section A-A’: A-A’; cross-section B-B’: B-B’).
Accordingly, the dating of the detrital zircons of the ten micaschist samples points to a chronologically single source from an independent Japan-type arc, whereas six micaschists indicate provenance from the Tarim craton.
Furthermore, the granite sample reveals a weighted mean crystallization age of 442 ± 2 Ma and geochemical signatures of the slab-melting adakitic granites. Combined with volumous 444 Ma adakitic granites and 424–459 Ma arc-related granites [39,40] in the region, these magmatisms suggest a subduction- or arc-related tectonic settings in late Ordivicaian to Silurian. These sedimentary and granitic data indicate an arc accreted into the eastern Tiklik belt. Consistent with our research result, numerous ca. 900–870 Ma OIB-like basalt and limestone blocks were tectonic emplaced in these meta-sedimentary rocks in the western Tiklik belt [36]. Some dark meta-sedimentary rocks have the MDAs of ca. 460 Ma and were deposited in the continental arc setting in the western Tiklik belt [26]. All of the data indicate that the meta-sedimentary rocks from the eastern Tiklik belt are most likely mélanges rather than intact successive stratigraphic units.
6.2. A New Tectonic Model for the Eastern Tiklik Belt
As discussed above, our data combining the regional studies results indicate that the Ailiankate and Sailajiazitage Groups belong to a tectonic mosaic that contains evidence of a Middle Neoproterozoic extension and Paleozoic accretionary and collisional complexes, instead of Paleoproterozoic or Mesoproterozoic stratigraphic units. In this paper, we rename them as the Ailiankate and Sailajiazitage complexes. The tectonic position of the Tarim in Rodinia needs to be re-evaluated, as some of these rocks are much younger. On the basis of our new data, which are integrated with published information, we present a new tectonic model for the eastern Tiklik belt, described below in detail.
In the Middle Neoproterozoic (799–586 Ma), the Tarim Block was near the Australian Block along the northern margin of the Rodinia supercontinent [39]. During the Neoproterozoic (ca. 799–587 Ma), the Tarim Block underwent extension, owing to fragmentation and break-up when the Tiklik belt was rifted from the Tarim Block, forming an independent terrane in the Paleo-Tethys Ocean. Clastic sediments and extension-related granites were present on the margins of the Tiklik and Tarim Block. Volcanic rocks with OIB geochemical characteristics were likely derived from an oceanic plateau in the Paleo-Tethys Ocean [36] (Figure 13a).
Figure 13.
Tectonic model for the Tiklik belt relevant to the subduction evolution of Paleotethys. (a) Neoproterozoic (ca. 799–586 Ma): the Tiklik belt was rifted from the Tarim Block to form an independent terrane in the Paleo-Tethys Ocean. Clastic sediments and extension-related granites formed on the margins of the Tiklik and Tarim Blocks [13]; (b) ca. 460–442 Ma: The Tarim Block converted from a passive margin to an active continental margin. Bilateral double subduction of the Paleo-Tethys Ocean. The Paleo-Tethys Ocean subducted beneath the Tiklik arc to the south and the Tarim Block to the north [25,40]; (c) Early Silurian to Permian: The Tiklik arc was amalgamated with the southern Tarim active margin [39,49].
During ca. 460–442 Ma, the Tarim Block converted to an active continental margin from a passive margin, which is consistent with the tectonic scenario proposed by Xiao et al. [8]. The Paleo-Tethys Ocean subducted beneath the Tiklik arc to the south and the Tarim Block to the north with bilateral double subduction. Sedimentary deposits were incorporated by further accretion into the front of the Tiklik arc and the Tarim active continental margin (Figure 13b). The earlier found adakitic 444 Ma magmatism [40] and our newly defined adakitic granite (18TK23, 442 Ma) developed in the Tiklik arc, which may have formed in thickened arc crust (Figure 13b).
During the Early Silurian to Permian, the Tiklik arc probably amalgamated with the southern Tarim active margin. Xiao and Li [49] reported the geochronology of a gneissic tonalite along the Yulongkashi River; its youngest group of zircons have a weighted mean age of 424. Ma. Li et al. [39] reported the age results of a meta-gabbro from the Ailiankate Group along the Yulongkashi River, which has a lower intercept age of 287 Ma and a youngest zircon age of 261 Ma. Therefore, by combining the data of Xiao et al. [7,8], we proposed that the Tiklik arc amalgamated with the southern Tarim active margin, forming a new tectonic setting with N-dipping subduction (Figure 13c).
We suggest that, before 287 Ma, the Tiklik tectonic belt belonged to an independent Japan-type arc, which was part of the archipelagic system in the Paleo-Tethys Ocean, where it underwent southward subduction. In addition, after 466 Ma, the Tarim Block converted to an active continental margin from a passive margin, where it underwent northward subduction. After 287 Ma, the Tiklik arc amalgamated with the Tarim active margin, probably with bilateral double subduction instead of only northward subduction of the Paleo-Tethys Ocean. The Tiklik arc was likely incorporated into the continuous subduction-accreted archipelago system, and it contributed to the continental growth of the southern Tarim margin.
Supplementary Materials
The following supporting information can be downloaded at: https://www.mdpi.com/article/10.3390/min12020166/s1, Table S1 (U-Pb isotopic data for zircon grains obtained from samples of the Tiklik belt).
Author Contributions
M.S., W.X. and B.F.W. wrote the article. W.X., M.S., Q.M., H.W., S.A., D.S. and Z.Z. (Zhiyong Zhang) revised the paper, conceived the experiments and provided contributions to the data interpretation. The field work and preliminary study of samples were carried out by M.S., Z.Z. (Zhixin Zhang), J.G. and L.L.; H.Y. and H.W. conducted the geochemical analyses. B.F.W. reviewed both the science and English language. All authors have read and agreed to the published version of the manuscript.
Funding
This research was funded by the National Natural Science Foundation of China with grant number of 42072269, the Western Young Scholars Program, CAS with grant number of 2017-XBQNXZ-B-013, the National Natural Science Foundation of China with grant number of 41888101, the Project of China-Pakistan Joint Research Center on Earth Sciences, CAS with grant number of 131551KYSB20200021 and the Science and Technology Major Project of Xinjiang Uygur Autonomous Region, China with the grant number of 2021A03001. This is a contribution to IGCP 662, IGCP 669 and IGCP 710.
Data Availability Statement
The data presented in this study are available in this paper and its Supplementary Materials.
Conflicts of Interest
The authors declare no conflict of interest.
References
- Molnar, P.; Tapponnier, P. Cenozoic tectonics of Asia: Effects of a continental collision: Features of recent continental tectonics in Asia can be interpreted as results of the India-Eurasia collision. Science 1975, 189, 419–426. [Google Scholar] [CrossRef]
- Tapponnier, P.; Meyer, B.; Avouac, J.P.; Peltzer, G.; Gaudemer, Y.; Guo, S.; Xiang, H.; Yin, K.; Chen, Z.; Cai, S.; et al. Active thrusting and folding in the Qilian Shan, and decoupling between upper crust and mantle in northeastern Tibet. Earth Planet. Sci. Lett. 1990, 97, 382–403. [Google Scholar] [CrossRef]
- Tapponnier, P.; Xu, Z.; Roger, F.; Meyer, B.; Arnaud, N.; Wittlinger, G.; Yang, J. Oblique stepwise rise and growth of the Tibet Plateau. Science 2001, 294, 1671–1677. [Google Scholar] [CrossRef] [PubMed]
- Xu, Z.Q.; Yang, J.S.; Li, H.B.; Zhang, J.X.; Jiang, M. The Qinghai-Tibet plateau and continental dynamics: A review on terrain tectonics, collisional orogenesis, and processes and mechanisms for the rise of the plateau. Geol. China 2006, 33, 221–238. [Google Scholar]
- Xu, Z.Q.; Yang, J.S.; Li, W.C.; Li, H.Q.; Cai, Z.H.; Yan, Z.; Ma, C.Q. Paleo-Tethys system and accretionary orogen in the Tibet Plateau. Acta Geol. Sin. 2013, 29, 1847–1860. [Google Scholar]
- Xiao, X.C.; Li, T.D. Lithospheric structure and uplift mechanism of the Qinghai-Xizang (Tibet) plateau and their influence on continental deformation. Geol. Rev. 1998, 44, 112. [Google Scholar]
- Xiao, W.J.; Windley, B.F.; Chen, H.L.; Zhang, G.C.; Li, J.L. Carboniferous-Triassic subduction and accretion in the western Kunlun, China: Implications for the collisional and accretionary tectonics of the northern Tibetan plateau. Geology 2002, 30, 295–298. [Google Scholar] [CrossRef] [Green Version]
- Xiao, W.J.; Windley, B.F.; Liu, D.Y.; Jian, P.; Sun, M. Accretionary tectonics of the western Kunlun orogen, China: A Paleozoic-Early Mesozoic, long-lived active continental margin with implications for the growth of southern Eurasia. J. Geol. 2005, 113, 687–705. [Google Scholar] [CrossRef] [Green Version]
- Pan, J.; Li, H.; Sun, Z.; Si, J.; Chevalier, M.L. Late Quaternary uplift of the northwestern Tibetan Plateau: Evidences from river terraces in the Ashikule area, West Kunlun Mountain. Acta Petrol. Sin. 2013, 29, 2199–2210. [Google Scholar]
- Pan, Y.S. The tectonic characteristics and evolution of West Kunlun region. Sci. Geol. Sin. 1990, 3, 224–232. [Google Scholar]
- Li, Z.X. Assembly, configuration, and break-up history of Rodinia: A synthesis. Precambrian Res. 2007, 160, 179–210. [Google Scholar] [CrossRef]
- Yang, F.; Mao, J.; Pirajno, F.; Yan, S.; Liu, G.; Zhou, G.; Zhang, Z.; Liu, F.; Geng, X.; Guo, C. A review of the geological characteristics and geodynamic setting of Late Paleozoic porphyry copper deposits in the Junggar region, Xinjiang Uygur Autonomous Region, Northwest China. J. Asian Earth Sci. 2012, 49, 80–98. [Google Scholar] [CrossRef]
- Wang, C.; Liu, L.; Wang, Y.H.; He, S.P.; Li, R.S.; Li, M.; Yang, W.Q.; Cao, Y.T.; Collins, A.S.; Shi, C.; et al. Recognition and tectonic implications of an extensive Neoproterozoic volcano-sedimentary rift basin along the southwestern margin of the Tarim Craton, northwestern China. Precambrian Res. 2015, 267, 65–82. [Google Scholar] [CrossRef]
- Wang, C.; Liu, L.; He, S.P.; Li, R.S.; Yang, W.Q.; Cao, Y.T. Timing of Precambrian basement from east segment of Tiekelike tectonic belt, Southwestern Tarim, China: Constrains from zircon U-Pb and Hf isotopic. J. Earth Sci. 2012, 23, 142–154. [Google Scholar] [CrossRef]
- Guo, Z.J.; Yin, A.; Bobinson, A.; Jia, C.Z. Geochronology and geochemistry of deep-drill-core samples from the basement of the central Tarim basin. J. Asian Earth Sci. 2005, 25, 45–56. [Google Scholar] [CrossRef]
- Lu, S.; Li, H.; Zhang, C.; Niu, G. Geological and geochronological evidence for the Precambrian evolution of the Tarim Craton and surrounding continental fragments. Precambrian Res. 2008, 160, 94–107. [Google Scholar] [CrossRef]
- Pan, Y.S. Geological Evolution of the Karakorum and Kunlun Mountains; Seismological Press: Beijing, China, 1996; p. 288. [Google Scholar]
- Turner, S.A. Sedimentary record of Late Neoproterozoic rifting in the NW Tarim Basin, China. Precambrian Res. 2010, 181, 85–96. [Google Scholar] [CrossRef]
- Xu, B.; Ping, J.; Zheng, H.; Zou, H.; Zhang, L.; Liu, D. U–Pb zircon geochronology and geochemistry of Neoproterozoic volcanic rocks in the Tarim Block of northwest China: Implications for the breakup of Rodinia supercontinent and Neoproterozoic glaciations. Precambrian Res. 2005, 136, 107–123. [Google Scholar] [CrossRef]
- Zhang, C.L.; Li, H.K.; Santosh, M.; Li, Z.X.; Zou, H.B.; Wang, H.; Ye, H. Precambrian evolution and cratonization of the Tarim Block, NW China: Petrology, geochemistry, Nd-isotopes and U–Pb zircon geochronology from Archaean gabbro-TTG–potassic granite suite and Paleoproterozoic metamorphic belt. J. Asian Earth Sci. 2012, 47, 5–20. [Google Scholar] [CrossRef]
- Zhao, P.; He, J.; Deng, C.; Chen, Y.; Mitchell, R.N. Early Neoproterozoic (870–820 Ma) amalgamation of the Tarim craton (northwestern China) and the final assembly of Rodinia. Geology 2021, 49, 1277–1282. [Google Scholar] [CrossRef]
- Wang, P.; Zhao, G.; Cawood, P.A.; Han, Y.; Yu, S.; Liu, Q.; Yao, J.; Zhang, D. South Tarim tied to north India on the periphery of Rodinia and Gondwana and implications for the evolution of two supercontinents. Geology 2021, in press. [Google Scholar] [CrossRef]
- Evans, D.A.D. The palaeomagnetically viable, long-lived and all-inclusive Rodinia supercontinent reconstruction. Geol. Soc. Lond. Spec. Publ. 2009, 327, 371–404. [Google Scholar] [CrossRef] [Green Version]
- Huang, B.C.; Piper, J.D.A.; Wang, Y.C.; He, H.Y.; Zhu, R.X. Paleomagnetic and geochronological constraints on the post-collisional northward convergence of the southwest Tian Shan, NW China. Tectonophysics 2005, 409, 107–124. [Google Scholar] [CrossRef]
- Shu, L.S.; Deng, X.L.; Zhu, W.B.; Ma, D.S.; Xiao, W.J. Precambrian tectonic evolution of the Tarim Block, NW China: New geochronological insights from the Quruqtagh domain. J. Asian Earth Sci. 2011, 42, 774–790. [Google Scholar] [CrossRef]
- Chen, W.Y.; Zhang, Y.J.; Zhu, G.Y.; Zhang, K.J.; Du, D.T.; Zhang, Z.; Chen, Z.Y.; Yan, H.H.; Sun, Q.S.; Li, T.T.; et al. Provenance of newly discovered Upper Ordovician black rock units in the West Kunlun orogen, China: Constraints from detrital zircon U–Pb chronology and whole-rock geochemistry. Geol. J. 2020, 55, 1529–1545. [Google Scholar] [CrossRef]
- Jiang, C.F.; Yang, J.S.; Feng, B.G.; Zhu, Z. Opening and Closing Tectonics of the Kunlun Mountains; Geological Publishing House: Beijing, China, 1992; p. 217. [Google Scholar]
- Wang, X.L.; Gao, X.P.; Liu, Y.Q.; Zhou, X.K.; Zhang, S.A. Crystal basement feature of Tiekelike fault-uplift at southern margin of Tarim basin. Northwestern Geol. 2010, 43, 95–112. [Google Scholar]
- Pan, J.; Li, H.; Sun, Z.; Pei, J.; Zhang, L. Deformation features of the Mazartagh fold-thrust belt, south central Tarim Basin and its tectonic significances. Chin. J. Geol. (Sci. Geol. Sin.) 2010, 45, 1038–1056. [Google Scholar]
- Qiao, G.B.; Wu, Y.Z. Geochronology, petrogenesis and tectonic significance of Quanshuigou Pluton from southeastern West Kunlun Mountain in Xinjiang, China. Earth Sci. 2018, 43, 4283–4299. [Google Scholar]
- Wang, C.; Wang, Y.H.; Liu, L.; He, S.P.; Li, R.S.; Li, M.; Yang, W.Q.; Cao, Y.T.; Meert, J.G.; Shi, C. The Paleoproterozoic magmatic–metamorphic events and cover sediments of the Tiekelik Belt and their tectonic implications for the southern margin of the Tarim Craton, northwestern China. Precambrian Res. 2014, 254, 210–225. [Google Scholar] [CrossRef]
- Cui, J.W.; Guo, X.P.; Ding, X.Z.; Li, P.W.; Zhang, X.W. Mesozoic-Cenozoic deformation structures and their dynamics in the basin-range junction belt of the west Kunlun-Tarim basin. Earth Sci. Front. 2006, 13, 103–118. [Google Scholar]
- XBGMR. Regional Geology of Xinjiang Autonomous Region, Geological Memoirs, Ser. 1, No. 32, Map Scale 1:1,500,000; Geological Publishing House: Beijing, China, 1993; p. 841. [Google Scholar]
- Zhang, C.L.; Lu, S.N.; Yu, H.F. Tectonic evolution of western orogenic belt: Evidences from zircon SHRIMP and LA-ICP-MS U-Pb ages. Sci. China 2007, 37, 145–154. [Google Scholar]
- Zhang, C.L.; Zhao, Y.; Wang, A.G.; Dong, Y.G. Geochemistry of Mesoproterozoic volcanic rocks in the Western Kunlun Mountains: Evidence for plate tectonic evolution. Acta Geol. Sin. 2010, 77, 180–190. [Google Scholar]
- Wang, C.; Zhang, J.H.; Li, M.; Li, R.S.; Peng, Y. Generation of ca. 900–870 Ma bimodal rifting volcanism along the southwestern margin of the Tarim Craton and its implications for the Tarim–North China connection in the early Neoproterozoic. J. Asian Earth Sci. 2015, 113, 610–625. [Google Scholar] [CrossRef]
- Jiang, C.; Mu, Y.; Zhao, X.; Bai, K.; Zhang, H. Petrology and geochemistry of the intrusion belt along the northern active margin of the Tarim plate. Reg. Geol. China 2001, 20, 158–163. [Google Scholar]
- Milkov, A.V.; Claypool, G.E.; Lee, Y.J.; Xu, W.; Dickens, G.R.; Borowski, W.S.; Ocean Drilling Program, L.; Shipboard Scientific Party, College Station, Tx, United States. In situ methane concentrations at Hydrate Ridge, offshore Oregon; new constraints on the global gas hydrate inventory from an active margin. Geology 2003, 31, 833–836. [Google Scholar] [CrossRef]
- Li, D.P.; Li, X.L.; Zhou, X.K.; Li, W.; Liu, Y.Q. SHRIMP U-Pb zircon dating of Neoarchean metagabbro dikes on the southwestern margin of the Tarim plate and its significance. Geol. China 2007, 34, 262–269. [Google Scholar]
- Guo, R.; Liu, G.; Hu, X.; Liang, W.; Tao, C. Petrogenesis and geological significance of the Late Ordovician adakitic rock in the eastern segment of Tiekelike, southern margin of Tarim Basin, Xinjiang. Geol. Sci. Technol. Inf. 2018, 37, 7–16. [Google Scholar]
- Geological Survey of Shannxi Province. The Geological Map of Qiaha (J44 C 004002) with scale of 1:250,000; Geological Survey of Shannxi Province: Xi’an, China, 2005. [Google Scholar]
- Ji, W.Q.; Wu, F.Y.; Wang, J.M.; Liu, X.C.; Liu, Z.C.; Zhang, Z.Y.; Cao, W.R.; Wang, J.G.; Zhang, C. Early Evolution of Himalayan Orogenic Belt and Generation of Middle Eocene Magmatism: Constraint From Haweng Granodiorite Porphyry in the Tethyan Himalaya. Front. Earth Sci. 2020, 8, 236. [Google Scholar] [CrossRef]
- Paton, C.; Woodhead, J.D.; Hellstrom, J.C.; Hergt, J.M.; Greig, A.; Maas, R. Improved laser ablation U-Pb zircon geochronology through robust downhole fractionation correction. Geochem. Geophys. Geosystems 2010, 11, Q0AA06. [Google Scholar] [CrossRef]
- Sun, S.S.; Mcdonough, W.F. Chemical and isotopic systematics of oceanic basalts: Implications for mantle composition and processes. Geol. Soc. Lond. Spec. Publ. 1989, 42, 313–345. [Google Scholar] [CrossRef]
- Defant, M.J.; Drummond, M.S. Derivation of some modern arc magmas by melting of young subducted lithosphere. Nature 1990, 347, 662–665. [Google Scholar] [CrossRef]
- Pearce, J.A.; Harris, N.B.W.; Tindle, A.G. Trace element discrimination diagrams for the tectonic interpretation of granitic rocks. J. Petrol. 1984, 4, 956–983. [Google Scholar] [CrossRef] [Green Version]
- Spencer, C.J.; Kirkland, C.L.; Taylor, R.J.M. Strategies towards statistically robust interpretations of in situ U–Pb zircon geochronology. Geosci. Front. 2016, 7, 581–589. [Google Scholar] [CrossRef] [Green Version]
- Fedo, C.M.; Sircombe, K.N.; Rainbird, R.H. Detrital zircon analysis of the sedimentary record. Rev. Mineral. Geochem. 2003, 53, 277–303. [Google Scholar] [CrossRef]
- Xiao, A.F.; Li, D.P. Zircon SHRIMP U-Pb dating of the gneiss granite on the southwestern margin of the Tarim Basin. Northwestern Geol. 2010, 43, 87–94. [Google Scholar]
Publisher’s Note: MDPI stays neutral with regard to jurisdictional claims in published maps and institutional affiliations. |
© 2022 by the authors. Licensee MDPI, Basel, Switzerland. This article is an open access article distributed under the terms and conditions of the Creative Commons Attribution (CC BY) license (https://creativecommons.org/licenses/by/4.0/).












