Application of Numerical Simulation Methods in Solving Complex Mining Engineering Problems in Dingxi Mine, China
Abstract
:1. Introduction
- (1)
- Eliminate mined-out area hazards and prevent surface collapse;
- (2)
- Reduce tailings or phosphogypsum emissions to protect the environment;
- (3)
- Replace pillars with backfill and effectively recover resources;
- (4)
2. Engineering Background and Modeling
2.1. Engineering Background
2.2. Modeling and Methodology
3. Determination of Calculation Parameters for the Model
3.1. Calculation Parameters for Rock Mass
3.2. Calculation Parameters for Backfill
4. Numerical Simulation Schemes in FLAC3D
4.1. Numerical Simulation Scheme for FITBMM
4.2. Numerical Simulation Scheme for AMM
4.3. Z-Displacement Monitoring Points
5. Numerical Simulation Analysis Results
5.1. Maximum Principal Stress Results and Discussion
- (1)
- The changes of the maximum principal stress in the intermediate states of the two methods are not obvious; especially during the course of each mining step of FITBMM, the changes of the representative sections are not significant (Figure 6b), which reveals that the cemented backfill on both sides of the tunnels played a positive role.
- (2)
- The tensile stress is generally concentrated in the middle of the roof and floor (Figure 7); the tensile stress concentration phenomenon in the intermediate state of AMM is more obvious than that of FITBMM, and this is due to the supporting effect of the cemented backfill on the roof, and the lateral confinement effect on the sidewalls (Figure 7b).
- (3)
- In the final state, the maximum principal stress of the areas where the backfill is located is indeed higher than that of the pillars, forming a unique phenomenon of ‘stress reduction skylights of backfill’ (Figure 6f).
- (1)
- The maximum principal stress values of the roof and floor of FITBMM are similar in the 1st and 2nd steps (0.25 MPa and 0.22 MPa), while the 3rd and 4th steps are similar (0.37 MPa and 0.35 MPa); however, the values of the 3rd and 4th steps are slightly larger than those of the 1st and 2nd steps, because there are pillars on both sides of the tunnels in the 1st and 2nd steps, and cemented backfill in the 3rd and 4th steps; the value of the final state of FITBMM is 0.33 MPa.
- (2)
- The maximum principal stress values of the roof and floor of AMM in the intermediate and final states are 0.34 MPa and 0.35 MPa, respectively; the changes of the maximum principal stress values of the two methods as the mining progresses are not obvious, and their values are similar.
5.2. Minimum Principal Stress Results and Discussion
- (1)
- (2)
- Similarly to the maximum principal stress, during each mining step of FITBMM, due to the effect of the cemented backfill on both sides of the tunnels, the changes of the minimum principal stress distribution of the representative sections are not obvious (Figure 9b–e and Figure 10b–e); but the compressive stress concentration phenomenon has already emerged, with the pillars in the intermediate state of AMM (Figure 9g and Figure 10g).
- (3)
- In the final states of the two methods, the layered minimum principal stress distribution has been disrupted, and the minimum principal stress value in the area where the pillars are located is significantly reduced, which illustrates that the compressive stress is concentrated on the pillars (Figure 9h,f and Figure 10h,f).
- (4)
- In the final state, the minimum principal stress of the backfill is much higher than that of the pillars, and the ‘backfill stress skylight’ phenomenon is more obvious (Figure 9f).
- (1)
- The absolute value of the maximum principal stress of the pillars on the representative sections of the two methods gradually increases as the mining progresses; the increase of FITBMM in the four intermediate states is relatively gentle (from 3.10 MPa to 3.27 MPa, 3.47 MPa, 3.70 MPa, and 4.00 MPa), while the AMM increases rapidly (from 3.10 MPa to 6.50 MPa); the absolute value of the maximum principal stress in the final states of the two methods is much higher than that of the intermediate states (13.66 MPa for AMM and 11.79 MPa for FITBMM).
- (2)
- The absolute value of the maximum principal stress of AMM is greater than that of FITBMM, which indicates that the pillar compression of AMM is more significant, which is consistent with the conclusions obtained from the maximum principal stress contours.
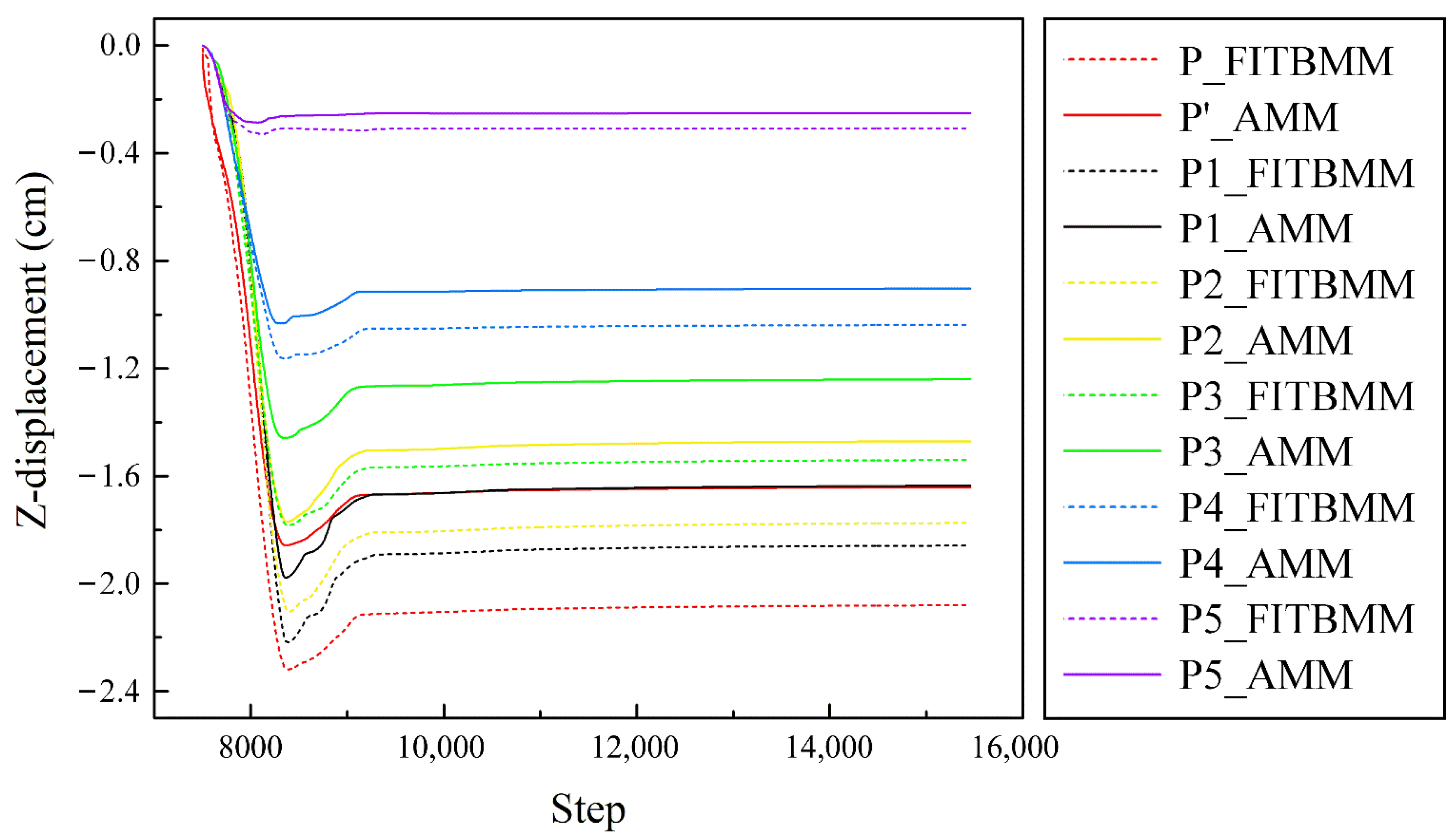
5.3. Z-Displacement Results and Discussion
- (1)
- Z-displacement first appears on the roof and floor of the stope, which is manifested as roof convergence and floor heave, and the middle of the roof and floor have the most significant displacement in the AMM intermediate state (Figure 12b–e,g).
- (2)
- In the final state (Figure 12h,f), the Z-displacement field gradually radiates upward and downward from the roof and floor; and the absolute value of the displacement keeps increasing, but the roof convergence of FITBMM is more obvious.
- (1)
- The convergence values of the surface and roof generally increase as the mining progresses; the convergence values rebound after reaching the maximum and finally tend toward a fixed value; the higher the monitoring point is located on the slope, the greater the convergence value.
- (2)
- The convergence values of the roof of FITBMM and AMM (P and P’) are greater than that of the surface (P1~P5), and the maximum convergence values of these two mining methods (2.08 cm for FITBMM and 1.64 cm for AMM) are within the safe allowable range.
- (3)
- The convergence values of the monitoring points located on the roof and surface of the FITBMM are greater than those of the AMM, which seems to be contrary to engineering experience. After analysis, the reasons for this may be: the FITBMM only keeps the north–south spacer pillar in the middle of the panel, while the AMM keeps four north–south spacer pillars evenly, that is, the overall mining width of the FITBMM (120 m × 50 m) is wider than that of the AMM (40 m × 50 m); moreover, the elastic modulus of the backfill is small, and it is prone to deformation, which has a limited inhibitory effect on roof convergence.
5.4. Plastic Zone Results and Discussion
- (1)
- In each state, the pillars and backfill of the two methods have no failure units.
- (2)
- For FITBMM, tensile failure units appear on the roof of the tunnels in the four intermediate states; among these, the roof failure units of the 1st and 2nd steps are sporadic, and the plastic zone is not interconnected (Figure 14b,c); in the 3rd and 4th steps, a part of the roof has formed failure units, which has the risk of partial roof collapse (Figure 14d,e). For AMM, whether in the intermediate state or the final state, there is a large range of tensile failure units on the roof (Figure 14g,h).
- (3)
- These results show that the roof failure of the AMM is fairly serious, while the FITBMM is much better.
6. Conclusions
- Regarding the stress distribution, the stress performance of different parts with the same mining conditions is obviously affected by the shape of the model. This shows the necessity of using a true-3D model to simulate mining orebodies under HSRS.
- As mining progresses, the compressive stress gradually concentrates on the pillars, while the tensile stress generally concentrates on the middle of the roof and floor. This is the reason for the floor heave and roof convergence, and this also indicates that there may be a risk of roof collapse.
- As for the FITBMM, because the backfill has a supporting and lateral confinement effect on the roof and the pillar, respectively, the partial stress of the pillar is transferred. Therefore, the area where the backfill is located presents a unique phenomenon of ‘stress reduction skylights of backfill’. Therefore, the roof failure of AMM is much more serious than for FITBMM. At the same time, the results show that the backfill mining method can effectively limit the surface deformation.
- The stope structure parameters of the two mining methods involved in the comparison were not the same. The FITBMM keeps fewer pillars, and the ore recovery rate is higher (79.99% for FITBMM and 68.22% for AMM); moreover, the simulation results are superior to the AMM, which further demonstrates the advantage of the backfill mining method in mining such orebodies under HSRS. Therefore, FITBMM meets the requirements for the safe recovery of phosphate rock resources under HSRS.
- In view of the risk of partial roof collapse in the 3rd and 4th steps of FITBMM, it is suggested that the width of the mining tunnel should be appropriately reduced during the actual mining, and a subsequent numerical simulation analysis should be carried out based on the reduced width of the mining tunnel.
Author Contributions
Funding
Acknowledgments
Conflicts of Interest
References
- Wang, P.; Zhao, J.; Chugh, Y.P.; Wang, Z. A Novel Longwall Mining Layout Approach for Extraction of Deep Coal Deposits. Minerals 2017, 7, 60. [Google Scholar] [CrossRef] [Green Version]
- Qiu, X.Y.; Chen, J.Y.; Shi, X.Z.; Zhang, S.; Zhou, J.; Chen, X. Deformation prediction and analysis of underground mining during stacking of dry gangue in open-pit based on response surface methodology. J. Cent. South Univ. 2018, 25, 406–417. [Google Scholar] [CrossRef]
- del Ventisette, C.; Gigli, G.; Bonini, M.; Corti, G.; Montanari, D.; Santoro, S.; Sani, F.; Fanti, R.; Casagli, N. Insights from analogue modelling into the deformation mechanism of the Vaiont landslide. Geomorphology 2015, 228, 52–59. [Google Scholar] [CrossRef] [Green Version]
- Zhang, M.; Wu, L.Z.; Zhang, J.C.; Li, L.P. The 2009 Jiweishan rock avalanche, Wulong, China: Deposit characteristics and implications for its fragmentation. Landslides 2019, 16, 893–906. [Google Scholar] [CrossRef]
- Xu, T.; Xu, Q.; Deng, M.L.; Ma, T.H.; Yang, T.H.; Tang, C.A. A numerical analysis of rock creep-induced slide: A case study from Jiweishan Mountain, China. Environ. Earth Sci. 2014, 72, 2111–2128. [Google Scholar] [CrossRef]
- Edraki, M.; Baumgartl, T.; Manlapig, E.; Bradshaw, D.; Franks, D.M.; Moran, C.J. Designing mine tailings for better environmental, social and economic outcomes: A review of alternative approaches. J. Clean. Prod. 2014, 84, 411–420. [Google Scholar] [CrossRef]
- Pu, H.; Zhang, J. Research on protecting the safety of buildings by using backfill mining with solid. Procedia Environ. Sci. 2012, 12, 191–198. [Google Scholar]
- Yin, S.H.; Shao, Y.J.; Wu, A.X.; Wang, H.J.; Liu, X.H.; Wang, Y. A systematic review of paste technology in metal mines for cleaner production in China. J. Clean. Prod. 2020, 247, 21. [Google Scholar] [CrossRef]
- Dong, Y.; Shi, J.; Chen, Z.; Liu, G.; Li, L. Study on the Technology of Roadway Mining with Paste-like Backfill under Highway and Its Application. In Proceedings of the 2016 International Conference on Civil, Transportation and Environment, Guangzhou, China, 30–31 January 2016; Volume 78, pp. 1066–1070. [Google Scholar]
- Cao, P. Computational Rock Mechanics; Central South University Press: Changsha, China, 2015. [Google Scholar]
- Jing, L. A review of techniques, advances and outstanding issues in numerical modelling for rock mechanics and rock engineering. Int. J. Rock Mech. Min. Sci. 2003, 40, 283–353. [Google Scholar]
- He, L.; An, X.M.; Ma, G.W.; Zhao, Z.Y. Development of three-dimensional numerical manifold method for jointed rock slope stability analysis. Int. J. Rock Mech. Min. Sci. 2013, 64, 22–35. [Google Scholar] [CrossRef]
- Zou, P.; Zhao, X.; Meng, Z.; Li, A.; Liu, Z.; Hu, W. Sample Rocks Tests and Slope Stability Analysis of a Mine Waste Dump. Adv. Civ. Eng. 2018, 2018, 6835709. [Google Scholar] [CrossRef] [Green Version]
- Tao, Z.G.; Han, W.S.; Li, M.N.; Zheng, X.H. Numerical Simulation Analysis of Layered Slope Landslide Mechanism in Open Pit Mine. In Proceedings of the GeoShanghai 2018 International Conference: Rock Mechanics and Rock Engineering, Shanghai, China, 27–30 May 2018; Springer: Singapore, 2018. [Google Scholar]
- Khanal, M.; Adhikary, D.; Jayasundara, C.; Balusu, R. Numerical Study of Mine Site Specific Multiseam Mining and Its Impact on Surface Subsidence and Chain Pillar Stress. Geotech. Geol. Eng. 2016, 34, 217–235. [Google Scholar] [CrossRef]
- Li, Z.B.; Feng, G.Z.; Wang, W.P. Processes and behaviors of block topple avalanches resulting from carbonate slope failures due to underground mining. Environ. Earth Sci. 2016, 75, 26. [Google Scholar]
- Yang, X.J.; Hou, D.G.; Tao, Z.G.; Peng, Y.Y.; Shi, H.Y. Stability and remote real-time monitoring of the slope slide body in the Luoshan mining area. Int. J. Min. Sci. Technol. 2015, 25, 761–765. [Google Scholar] [CrossRef]
- Fraldi, M.; Cavuoto, R.; Cutolo, A.; Guarracino, F. Stability of tunnels according to depth and variability of rock mass parameters. Int. J. Rock Mech. Min. Sci. 2019, 119, 222–229. [Google Scholar] [CrossRef]
- Fraldi, M.; Guarracino, F. Limit analysis of collapse mechanisms in cavities and tunnels according to the Hoek–Brown failure criterion. Int. J. Rock Mech. Min. Sci. 2009, 46, 665–673. [Google Scholar] [CrossRef]
- Fraldi, M.; Gesualdo, A.; Guarracino, F. Influence of actual plastic hinge placement on the behavior of ductile frames. J. Zhejiang Univ. Sci. A 2014, 15, 482–495. [Google Scholar] [CrossRef]
- Guarracino, F. Remarks on the stability analysis of some thin-walled structures in the elastic-plastic range. Thin-Walled Struct. 2019, 138, 208–214. [Google Scholar] [CrossRef]
- Hu, B.Y.; Wang, X.M.; Li, S.; Zhao, J.W.; M, N. Eugenie, Stability Analysis and Confidence Level Evaluation of Backfill Mining under High and Steep Rock Slopes. Adv. Civ. Eng. 2018, 2018, 12. [Google Scholar]
- Brady, B.H.G.; Brown, E.T. Rock Mechanics for Underground Mining, 3rd ed.; Kluwer Academic Publishers: New York, USA, 2006. [Google Scholar]
- Morelli, G.L. Alternative Quantification of the Geological Strength Index Chart for Jointed Rocks. Geotech. Geol. Eng. 2017, 35, 2803–2816. [Google Scholar] [CrossRef]
- Tang, J.X.; Dai, Z.Y.; Wang, Y.L.; Zhang, L. Fracture Failure of Consequent Bedding Rock Slopes After Underground Mining in Mountainous Area. Rock Mech. Rock Eng. 2019, 52, 2853–2870. [Google Scholar] [CrossRef]
- Liu, Z.X.; Tang, Z.X.; Wang, W.H.; Sun, J.J.; Peng, K. New algorithm of mine slope reliability based on limiting state hyper-plane and its engineering application. J. Cent. South Univ. 2015, 22, 317–322. [Google Scholar] [CrossRef]
- Li, X.B.; Zhou, Z.L.; Zhao, G.Y.; Liu, Z.X. Utilization of phosphogypsum for backfilling, way to relieve its environmental impact. Gospod. Surowcami Miner.-Miner. Resour. Manag. 2008, 24, 225–232. [Google Scholar]
- Rong, K.W.; Lan, W.T.; Li, H.Y. Industrial Experiment of Goaf Filling Using the Filling Materials Based on Hemihydrate Phosphogypsum. Minerals 2020, 10, 324. [Google Scholar] [CrossRef] [Green Version]
- Li, X.B.; Zhou, Y.N.; Zhu, Q.Q.; Zhou, S.T.; Min, C.D.; Shi, Y. Slurry Preparation Effects on the Cemented Phosphogypsum Backfill through an Orthogonal Experiment. Minerals 2019, 9, 31. [Google Scholar] [CrossRef] [Green Version]














| Materials | GSI | mi | D | mb | s | a | σc (MPa) |
|---|---|---|---|---|---|---|---|
| Hangingwall | 65 | 9 | 0.05 | 2.497 | 0.0192 | 0.502 | 55.00 |
| Orebody | 68 | 9 | 0.05 | 2.787 | 0.0269 | 0.502 | 61.63 |
| Footwall | 60 | 7 | 0.10 | 1.556 | 0.0101 | 0.503 | 30.00 |
| Materials | Elastic Modulus (×103 MPa) | Compressive Strength (MPa) | Tensile Strength (MPa) | Poisson’s Ratio | Volume–Weight (×103 N·m−3) | Cohesion (MPa) | Internal Friction Angle (°) |
|---|---|---|---|---|---|---|---|
| Hangingwall | 17.15 | 12.736 | 0.422 | 0.30 | 27.27 | 3.407 | 33.70 |
| Orebody | 21.57 | 15.467 | 0.595 | 0.26 | 28.74 | 4.063 | 34.57 |
| Footwall | 9.25 | 5.380 | 0.194 | 0.31 | 26.93 | 1.561 | 29.76 |
| 1st and 2nd step backfill | 0.34 | 2.480 | 0.410 | 0.25 | 19.22 | 1.010 | 46.22 |
| 3rd and 4th step backfill | 0.10 | 1.790 | 0.190 | 0.28 | 19.13 | 0.580 | 40.78 |
Publisher’s Note: MDPI stays neutral with regard to jurisdictional claims in published maps and institutional affiliations. |
© 2022 by the authors. Licensee MDPI, Basel, Switzerland. This article is an open access article distributed under the terms and conditions of the Creative Commons Attribution (CC BY) license (https://creativecommons.org/licenses/by/4.0/).
Share and Cite
Hu, B.; Zhang, Q.; Li, S.; Yu, H.; Wang, X.; Wang, H. Application of Numerical Simulation Methods in Solving Complex Mining Engineering Problems in Dingxi Mine, China. Minerals 2022, 12, 123. https://doi.org/10.3390/min12020123
Hu B, Zhang Q, Li S, Yu H, Wang X, Wang H. Application of Numerical Simulation Methods in Solving Complex Mining Engineering Problems in Dingxi Mine, China. Minerals. 2022; 12(2):123. https://doi.org/10.3390/min12020123
Chicago/Turabian StyleHu, Boyi, Qinli Zhang, Shuai Li, Haoxuan Yu, Xinmin Wang, and Hao Wang. 2022. "Application of Numerical Simulation Methods in Solving Complex Mining Engineering Problems in Dingxi Mine, China" Minerals 12, no. 2: 123. https://doi.org/10.3390/min12020123
APA StyleHu, B., Zhang, Q., Li, S., Yu, H., Wang, X., & Wang, H. (2022). Application of Numerical Simulation Methods in Solving Complex Mining Engineering Problems in Dingxi Mine, China. Minerals, 12(2), 123. https://doi.org/10.3390/min12020123

