Magma Evolution and Constraints on the Graphite Mineralization Hosted by the Huangyangshan Alkaline Granite Suite in the East Junggar of Xinjiang Province: Evidence from In Situ Analyses of Silicate Minerals
Abstract
1. Introduction
2. Geological Setting and Graphite Mineralization
2.1. Regional Geology
2.2. Huangyangshan Pluton
2.3. Graphite Mineralization
3. Sampling and Analytical Methods
4. Results
4.1. Mineral Petrography
4.1.1. Amphibole
4.1.2. Biotite
4.1.3. Pyroxene
4.1.4. Plagioclase
4.2. Mineral Chemistry
4.2.1. Amphibole
4.2.2. Biotite
4.2.3. Pyroxene
4.2.4. Plagioclase
5. Discussion
5.1. Mineral Crystallization Conditions
5.1.1. Pressure
5.1.2. Temperature
5.1.3. Oxygen Fugacity
5.2. Magma Mixing and Evolution
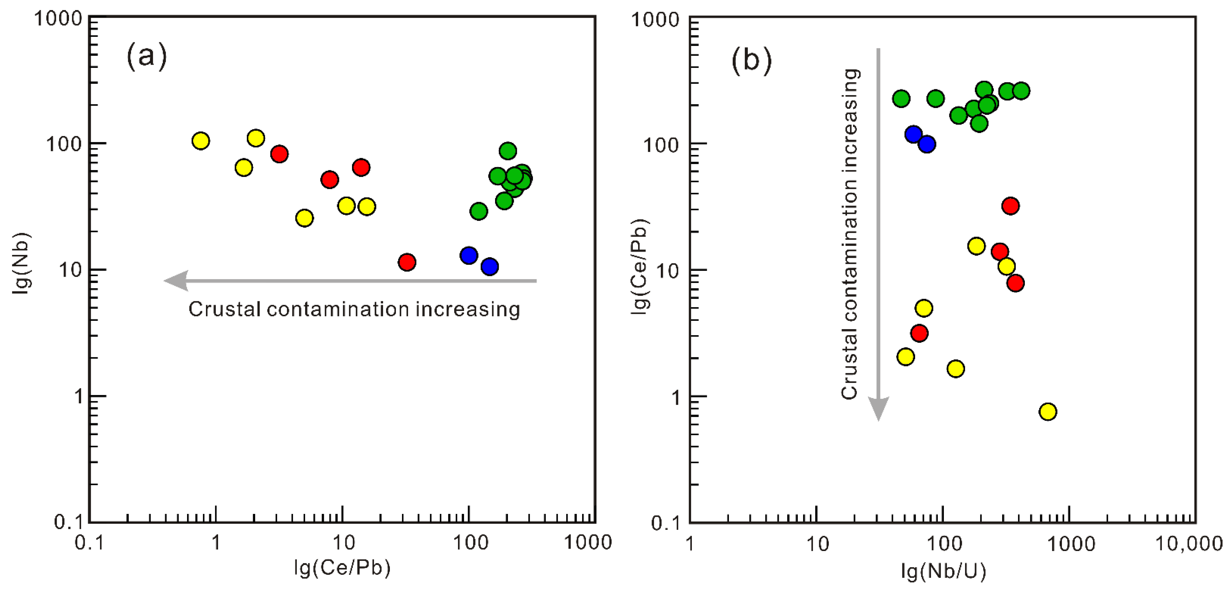
5.3. Implications for the Graphite Mineralization
6. Conclusions
Supplementary Materials
Author Contributions
Funding
Data Availability Statement
Acknowledgments
Conflicts of Interest
References
- Wada, H.; Tomita, T.; Matsuura, K.; Iuchi, K.; Ito, M.; Morikiyo, T. Graphitization of carbonaceous matter during metamorphism with references to carbonate and politic rocks of contact and regional metamorphisms, Japan. Contrib. Mineral. Petrol. 1995, 118, 217–228. [Google Scholar] [CrossRef]
- Manoel, T.N.; Leite, J.A.D. On the origin of the Neoproterozoic Peresopolis graphite deposit, Paraguay Belt, Brazil. J. S. Am. Earth Sci. 2018, 84, 104–112. [Google Scholar] [CrossRef]
- Zhong, Y.; Ma, X.D.; Li, H.K.; Zhai, M.G. Revisit and comparative analysis of the typical graphite deposits in the Paleoproterozoic khondalite series, western North China Craton: Implications for genesis, depositional environment and prospecting potential. Ore Geol. Rev. 2019, 109, 370–380. [Google Scholar] [CrossRef]
- Papineau, D.; De Gregorio, B.T.; Cody, G.D. Ancient graphite in the Eoarchean quartz-pyroxene rocks from Akilia in southern West Greenland I: Petrographic and spectroscopic characterization. Geochim. Cosmochim. Acta 2010, 74, 5862–5883. [Google Scholar] [CrossRef]
- Wang, D.H.; Tang, J.X.; Ying, L.J.; Lin, B.; Ding, S. Hornfels feature in the Jiama ore deposit, Tibet and its significance on deep prospecting. Acta Petrol. Sin. 2011, 27, 2103–2108. (In Chinese) [Google Scholar]
- Jiang, G.Z.; Li, Y.K.; Wang, A.J.; Yang, X.; Yang, B.; Ma, L. Genetic features of Dawudian graphite deposit in Urad Middle Banner, Inner Mongolia. Earth Sci. Front. 2017, 24, 306–316. (In Chinese) [Google Scholar]
- Doroshkevich, A.G.; Wall, F.; Ripp, G.S. Magmatic graphite in dolomite carbonatite at Pogranichnoe, North Transbaikalia, Russia. Contrib. Mineral. Petrol. 2007, 153, 339–353. [Google Scholar] [CrossRef]
- Huizenga, J.M. Thermodynamic modeling of a cooling C-O-H fluid-graphite system: Implications for hydrothermal graphite precipitation. Miner. Deposita 2011, 46, 23–33. [Google Scholar] [CrossRef]
- Luque, F.J.; Ortega, L.; Barrenechea, J.F.; Huizenga, J.M.; Millward, D. Key factors controlling massive graphite deposition in volcanic settings: An example of a self-organized critical system. J. Geol. Soc. 2012, 169, 269–277. [Google Scholar] [CrossRef]
- Li, C.; Wang, D.H.; Zhao, H.; Pei, H.X.; Li, X.W.; Zhou, L.M.; Du, A.D.; Qu, W.J. Minerogenetic regularity of graphite deposits in China. Mineral. Depos. 2015, 34, 1223–1236. (In Chinese) [Google Scholar]
- Luque, F.J.; Pasteris, J.D.; Wopenka, B.; Rodas, M.; Barrenechea, J.F. Natural fluid-deposited graphite: Mineralogical characteristics and mechanisms of formation. Am. J. Sci. 1998, 298, 471–498. [Google Scholar] [CrossRef]
- Lowenstern, J.B. Carbon dioxide in magmas and implications for hydrothermal systems. Miner. Deposita 2001, 36, 490–502. [Google Scholar] [CrossRef]
- Luque, F.J.; Crespo, E.; Barrenechea, J.F. Carbon isotopes of graphite: Implications on fluid history. Geosci. Front. 2012, 3, 197–207. [Google Scholar] [CrossRef]
- Yang, G.X.; Li, Y.J.; Wu, H.G.; Zhong, X.; Yang, B.K.; Yang, C.X.; Yan, J.; Si, G.H. Geochronological and geochemical constrains on petrogenesis of the Huangyangshan A-type granite from the East Junggar, Xinjiang, NW China. J. Asian Earth Sci. 2011, 40, 722–736. [Google Scholar] [CrossRef]
- Bai, J.K.; Chen, J.L.; Peng, S.X. Geochronology and geochemistry of ore-bearing intrusions from Huangyangshan magmatic hydrothermal graphite deposit in Qitai County, Xinjiang. Acta Petrol. Sin. 2018, 34, 2327–2340. (In Chinese) [Google Scholar]
- Ai, J.; Lu, X.B.; Li, Z.W.; Wu, Y.L. Genesis of the graphite orbicules in the Huangyangshan graphite deposit, Xinjiang, China: Evidence from geochemical, isotopic and fluid inclusion data. Ore Geol. Rev. 2020, 122, 103505. [Google Scholar] [CrossRef]
- Sun, X.H.; Ren, Y.S.; Sun, Z.J.; Li, Z.W.; Wang, C.Y. Characteristics, ore sources and genesis of Huangyangshan graphite deposit in Qitai County, Xinjiang. Acta Petrol. Sin. 2021, 37, 1867–1882. (In Chinese) [Google Scholar]
- Muo, R.J.; Liu, S.B.; Huang, C.R.; Zhang, G.R.; Tan, G.M.; Wang, B.X.; Xiao, X.Z. Geology of Graphite Deposits in China; China Architecture and Building Press: Beijing, China, 1989; p. 320. (In Chinese) [Google Scholar]
- Sun, X.H.; Ren, Y.S.; Sun, Z.J.; Wang, C.Y.; Li, Z.W. Geochronology and geochemical properties of the large-scale graphite mineralization associated with the Huangyangshan alkaline pluton, Eastern Junggar, Xinjiang, NW China. Geochemistry 2021, 81, 125820. [Google Scholar] [CrossRef]
- Tsuchiyama, A.; Takahashi, E. Melting kinetics of a plagioclase feldspar. Contrib. Min. Petrol. 1983, 84, 345–354. [Google Scholar] [CrossRef]
- Hammarstrom, J.M.; Zen, E. Aluminum in hornblende: An empirical igneous geobarometer. Am. Mineral. 1986, 71, 1297–1313. [Google Scholar]
- Schmidt, M.W. Amphibole composition in tonalite as a function of pressure: An experimental calibration of the Al-in-hornblende barometer. Contrib. Mineral. Petrol. 1992, 110, 304–310. [Google Scholar] [CrossRef]
- Ridolfi, F.; Renzulli, A.; Puerini, M. Stability and chemical equilibrium of amphibole in calc-alkaline magmas: An overview, new thermobarometric formulations and application to subduction-related volcanoes. Contrib. Mineral. Petrol. 2010, 160, 45–66. [Google Scholar] [CrossRef]
- Molina, J.F.; Moreno, J.A.; Castro, A.; Rodriguez, C.; Fershtater, G.B. Calcic amphibole thermobarometry in metamorphic and igneous rocks: New calibrations based on plagioclase/amphibole Al-Si partitioning and amphibole/liquid Mg partitioning. Lithos 2015, 232, 286–305. [Google Scholar] [CrossRef]
- Li, J.X.; Qin, K.Z.; Li, G.M.; Evans, N.J.; Zhao, J.X.; Yue, Y.H.; Xie, J. Volatile variations in magmas related to porphyry Cu-Au deposits: Insights from amphibole geochemistry, Duolong district, central Tibet. Ore Geol. Rev. 2018, 95, 649–662. [Google Scholar] [CrossRef]
- Zhang, L.; Chen, Z.Y.; Wang, F.Y.; Zhou, T.F. Whole-rock and biotite geochemistry of granites from the Miao’ershan batholith, South China: Implications for the sources of granite-hosted uranium ores. Ore Geol. Rev. 2021, 129, 103930. [Google Scholar] [CrossRef]
- Krawczynski, M.J.; Grove, T.L.; Behrens, H. Amphibole stability in primitive arc magmas: Effects of temperature, H2O content, and oxygen fugacity. Contrib. Mineral. Petrol. 2012, 164, 317–339. [Google Scholar] [CrossRef]
- Li, W.K.; Yang, Z.M.; Cao, K.; Lu, Y.J.; Sun, M.Y. Redox-controlled generation of the giant porphyry Cu–Au deposit at Pulang, southwest China. Contrib. Mineral. Petrol. 2019, 174, 12. [Google Scholar] [CrossRef]
- Li, J.Y.; Xiao, X.C.; Tang, Y.Q.; Zhao, M. Main characteristics of late Paleozoic plate tectonics in the southern part of east Junggar, Xinjiang. Geol. Rev. 1986, 36, 305–316. (In Chinese) [Google Scholar]
- Li, J.Y.; Yang, T.N.; Li, Y.P.; Zhu, Z.X. Geological features of the Karamaili faulting belt, eastern Junggar region, Xinjiang, China and its constraints on the reconstruction of Late Paleozoic ocean-continental frame work of the Central Asian region. Geol. Bull. China 2009, 28, 1817–1826. (In Chinese) [Google Scholar]
- Long, X.P.; Yuan, C.; Sun, M.; Safonova, I.; Xiao, W.J.; Wang, Y.J. Geochemistry and U–Pb detrital zircon dating of Paleozoic graywackes in East Junggar, NW China: Insights into subduction–accretion processes in the southern Central Asian Orogenic Belt. Gondwana Res. 2012, 21, 637–653. [Google Scholar] [CrossRef]
- Han, Y.G.; Zhao, G.C. Final amalgamation of the Tianshan and Junggar orogenic collage in the southwestern Central Asian Orogenic Belt: Constraints on the closure of the Paleo-Asian Ocean. Earth-Sci. Rev. 2017, 186, 129–152. [Google Scholar] [CrossRef]
- Xiao, W.J.; Han, C.M.; Yuan, C.; Sun, M.; Lin, S.; Chen, H.; Li, Z.; Li, J.; Sun, S. Middle Cambrian to Permian subduction-related accretionary orogenesis of Northern Xinjiang, NW China: Implications for the tectonic evolution of central Asia. J. Asian Earth Sci. 2008, 32, 102–117. [Google Scholar] [CrossRef]
- Xiao, W.J.; Windley, B.F.; Yuan, C.; Sun, M.; Han, C.M.; Lin, S.F.; Chen, H.L.; Yan, Q.R.; Liu, D.Y.; Qin, K.Z.; et al. Paleozoic multiple subduction-accretion processes of the southern Altaids. Am. J. Sci. 2009, 309, 221–270. [Google Scholar] [CrossRef]
- Yuan, C.; Sun, M.; Wilde, S.; Xiao, W.J.; Xu, Y.G.; Long, X.P.; Zhao, G.C. Postcollisional plutons in the Balikun area, East Chinese Tianshan: Evolving magmatism in response to extension and slab break-off. Lithos 2010, 119, 269–288. [Google Scholar] [CrossRef]
- Zhang, Y.Y.; Pe-Piper, G.; Piper, D.J.W.; Guo, Z.J. Early Carboniferous collision of the Kalamaili orogenic belt, North Xinjiang, and its implications: Evidence from molasse deposits. Geol. Soc. Am. Bull. 2013, 125, 932–944. [Google Scholar] [CrossRef]
- Xiao, W.J.; Windley, B.; Sun, S.; Li, J.L.; Huang, B.C.; Han, C.M.; Yuan, C.; Sun, M.; Chen, H.L. A tale of amalgamation of three Permo-Triassic collage systems in Central Asia: Oroclines, sutures, and terminal accretion. Annu. Rev. Earth Planet. Sci. 2015, 43, 477–507. [Google Scholar] [CrossRef]
- Xu, Q.Q.; Zhao, L.; Niu, B.G.; Zheng, R.G.; Yang, Y.Q.; Liu, J.H. Early Paleozoic arc magmatism in the Kalamaili orogenic belt, Northern Xinjiang, NW China: Implications for the tectonic evolution of the East Junggar terrane. J. Asian Earth Sci. 2020, 194, 104072. [Google Scholar] [CrossRef]
- Li, J.Y. Main characteristics and emplacement processes of the East Junggar Ophiolites, Xinjiang, China. Acta Petrol. Sin. 1995, 11, 71–84. (In Chinese) [Google Scholar]
- Liu, X.J.; Xu, J.F.; Hou, Q.Y.; Bai, Z.H.; Lei, M. Geochemical characteristics of Karamaili ophiolite in east Junggar, Xinjiang: Products of ridge subduction. Acta Petrol. Sin. 2007, 23, 1591–1602. (In Chinese) [Google Scholar]
- Huang, G.; Niu, G.Z.; Wang, X.L.; Guo, J.; Yu, F. Formation and emplacement age of Karamaili ophiolite: LA-ICP-MS zircon U-Pb age evidence from the diabase and tuff in eastern Junggar, Xinjiang. Geol. Bull. China 2012, 31, 1267–1278. (In Chinese) [Google Scholar]
- Xu, X.W.; Jiang, N.; Li, X.H.; Wu, C.; Qu, X.; Zhou, G.; Dong, L.H. Spatial–temporal framework for the closure of the Junggar Ocean in central Asia: New SIMS zircon U–Pb ages of the ophiolitic mélange and collisional igneous rocks in the Zhifang area, East Junggar. J. Asian Earth Sci. 2015, 111, 470–491. [Google Scholar] [CrossRef]
- Mao, Q.G.; Xiao, W.J.; Han, C.M.; Yuan, C.; Sun, M. Late Paleozoic southward accretionary polarity of the eastern Junggar orogenic belt: Insight from the Dajiashan and other A-type granites. Acta Petrol. Sin. 2008, 24, 733–742. (In Chinese) [Google Scholar]
- Gan, L.; Tang, H.F.; Han, Y.J. Geochronology and geochemical characteristics of the Yemaquan granitic pluton in East Junggar, Xinjiang. Acta Petrol. Sin. 2010, 26, 2374–2388. (In Chinese) [Google Scholar]
- Li, Y.P.; Li, J.Y.; Sun, G.H.; Zhu, Z.X.; Yang, Z.Q. Basement of Junggar basin: Evidence from detrial zircons in sandstone of previous Devonian Kalamaili formation. Acta Petrol. Sin. 2007, 23, 1577–1590. (In Chinese) [Google Scholar]
- Guo, Z.J. A review on the Paleozoic tectonic evolution of northern Xinjiang and a discussion on the important role of geological maps in tectonic study. Geol. Bull. China 2012, 31, 1054–1060. (In Chinese) [Google Scholar]
- Cai, X.F.; Fan, G.M.; Liao, Q.A.; Wang, F.M.; Wu, L.Y. Features of lower carboniferous intra-plate sedimentation in the Kalamai region, East Junggar, Xinjiang, China. Bull. Miner. Petrol. Geochem. 2015, 34, 1287–1302. (In Chinese) [Google Scholar]
- Lin, J.F.; Yu, H.X.; Yu, X.Q.; Di, Y.J.; Tian, J.T. Zircon SHRIMP U–Pb dating and geological implication of the Sabei alkali-rich granite from Eastern Junggar of Xinjiang, NW China. Acta Petrol. Sin. 2007, 23, 1876–1884. (In Chinese) [Google Scholar]
- Su, Y.P.; Tang, H.F.; Cong, F. Zircon U–Pb age and petrogenesis of the Huangyangshan alkaline granite body in East Junggar, Xinjiang. Acta Mineral. Sin. 2008, 28, 117–126. (In Chinese) [Google Scholar]
- Han, B.F.; Ji, J.Q.; Song, B.; Chen, L.H.; Zhang, L. Late Paleozoic vertical growth of continental crust around the Junggar Basin, Xinjiang, China (Part I): Timing of postcollisional plutonism. Acta Petrol. Sin. 2006, 22, 1077–1086. (In Chinese) [Google Scholar]
- Tang, H.F.; Qu, W.J.; Su, Y.P.; Hou, G.S.; Du, A.D.; Cong, F. Genetic connection of Sareshike tin deposit with the alkaline A-type granites of Sabei body in Xinjiang: Constraint from isotopic ages. Acta Petrol. Sin. 2007, 23, 1989–1997. (In Chinese) [Google Scholar]
- Xu, B. Research on Tectonic-Magma Ore-Controlling Regularity and Prospecting Forecasting of Gold Metallogenic Belt in Kalamaili Area, Xinjiang. Ph.D. Thesis, China University of Geosciences (Beijing), Beijing, China, 2010. (In Chinese). [Google Scholar]
- Liu, W.; Liu, X.J.; Liu, L.J. Underplating generated A- and I-type granitoids of the East Junggar from the lower and the upper oceanic crust with mixing of mafic magma: Insights from integrated zircon U–Pb ages, petrography, geochemistry and Nd–Sr–Hf isotopes. Lithos 2013, 179, 293–319. [Google Scholar] [CrossRef]
- Safonova, I.Y.; Santosh, M. Accretionary complexes in the Asia–Pacific region: Tracing archives of ocean plate stratigraphy and tracking mantle plumes. Gondwana Res. 2014, 25, 126–158. [Google Scholar] [CrossRef]
- Li, Z.W.; Zhang, X.L.; Zhang, L.; Chen, Z.G.; Chen, J.Y.; Wu, Y.L.; Wen, X.D. Geological characteristics and resource potential of Huangyangshan crystalline graphite deposit in Qitai County, Xinjiang. China Non-Met. Miner. Indus. 2019, S1, 25–34. (In Chinese) [Google Scholar]
- Liu, Y.S.; Hu, Z.C.; Gao, S.; Günther, D.; Xu, J.; Gao, C.G.; Chen, H.H. In situ analysis of major and trace elements of anhydrous minerals by LA–ICP–MS without applying an internal standard. Chem. Geol. 2008, 257, 34–43. [Google Scholar] [CrossRef]
- Leake, B.E.; Woolley, A.R.; Arps, C.E.S.; Birch, W.D.; Gilbert, M.C.; Grice, J.D.; Hawthorne, F.C.; Kato, A.; Kisch, H.J.; Krivovichev, V.G.; et al. Nomenclature of amphiboles; report of the subcommittee on amphiboles of the international mineralogical association, commission on new minerals and mineral names. Can. Mineral. 1997, 35, 219–246. [Google Scholar]
- Ye, C.Y.; Feng, Y.G.; Lei, R.X.; Yang, G.X. Compositional Variation of Amphiboles During Magma Mixing: A Case Study of Huangyangshan A-Type Granite in Kalamaili Metallogenic Belt, East Junggar, China. Front. Earth Sci. 2021, 9, 650014. [Google Scholar] [CrossRef]
- Sun, S.S.; McDonough, W.F. Chemical and isotopic systematics of oceanic basalts: Implications for mantle composition and processes. Geol. Soc. Lond. Spec. Publ. 1989, 42, 313–345. [Google Scholar] [CrossRef]
- Nachit, H.; Razafimahefa, N.; Stussi, J.M.; Carron, J.P. Composition chimique des biotites et typologie magmatique des granitoides. C.R. Hebd. Séances Acad. Sci. 1985, 301, 813–818. [Google Scholar]
- Foster, M.D. Interpretation of the composition of trioctahedral micas. U.S. Geol. Surv. Prof. Pap. 1960, 10, 70–89. [Google Scholar]
- Morimoto, N. Nomenclature of Pyroxenes. Mineral. Petrol. 1988, 39, 55–76. [Google Scholar] [CrossRef]
- Leake, B.E. On Aluminous and Edenitic Hornblendes. Mineral. Mag. 1971, 38, 389. [Google Scholar] [CrossRef]
- Ma, X.X.; Shi, B.; Xiong, F.H.; Li, H.B. Magma mixing of the Quxu batholith in the Gangdese belt, southern Tibet: Evidence from microstructure of hornblende in microgranular enclaves. Acta Petrol. Sin. 2020, 36, 3063–3080. (In Chinese) [Google Scholar]
- Hu, R.G.; Liu, C.Q.; Feng, Z.H.; Zhao, Y.L.; Cai, Y.F.; Liu, Y.Z.; Xia, Z.P. The composition of amphibole in northern Guangxi and its implications for the magma evolution of the Xinzhai amphibole granite. Acta Petrol. Mineral. 2020, 39, 703–717. (In Chinese) [Google Scholar]
- Hollister, L.S.; Grissom, G.C.; Peters, E.K.; Stowell, H.H.; Sisson, V.B. Confirmation of the empirical correlation of Al in hornblende with pressure of solidification of calc-alkaline plutons. Am. Mineral. 1987, 72, 231–239. [Google Scholar]
- Mutch, E.J.F.; Blundy, J.D.; Tattitch, B.C.; Cooper, F.J.; Brooker, R.A. An experimental study of amphibole stability in low-pressure granitic magmas and a revised Al-in-hornblende geobarometer. Contrib. Mineral. Petrol. 2016, 171, 85. [Google Scholar] [CrossRef]
- Uchida, E.; Endo, S.; Makino, M. Relationship between solidication depth of granitic rocks and formation of hydrothermal ore deposits. Resour. Geol. 2007, 57, 47–56. [Google Scholar] [CrossRef]
- Kang, Z.Q.; Feng, Z.H.; Wang, R. Reliability comparison of Al-in-hornblende and biotite barometer: A case study of Guposhan-Huashan granite in North Guangxi. J. Guilin Univ. Technol. 1994, 30, 474–479. (In Chinese) [Google Scholar]
- Holland, T.J.B.; Blundy, J. Non-ideal interactions in calcic amphiboles and their bearing on amphibole-plagioclase thermometry. Contrib. Mineral. Petrol. 1994, 116, 433–447. [Google Scholar] [CrossRef]
- Stein, E.; Dietl, C. Hornblende thermobarometry of granitoids from the Central Odenwald (Germany) and their implications for the geotectonic development of the Odenwald. Mineral. Petrol. 2001, 72, 185–207. [Google Scholar] [CrossRef]
- Putirka, K. Amphibole thermometers and barometers for igneous systems and some implications for eruption mechanisms of felsic magmas at arc volcanoes. Am. Mineral. 2016, 101, 841–858. [Google Scholar] [CrossRef]
- Wones, D.R.; Eugster, H.P. Stability of biotite–experiment, theory, and application. Am. Mineral. 1965, 50, 1228–1272. [Google Scholar]
- Henry, D.J.; Guidotti, C.V.; Thomson, J.A. The Ti-saturation surface for low to medium pressure metapelitic biotite: Implications for geothermometry and Ti-substitution mechanisms. Am. Mineral. 2005, 90, 316–328. [Google Scholar] [CrossRef]
- Sarjoughian, F.; Kananian, A.; Ahmadian, J.; Murata, M. Chemical composition of biotite from the Kuh-e Dom pluton, Central Iran: Implication for granitoid magmatism and related Cu-Au mineralization. Arabian J. Geosci. 2015, 8, 1521–1533. [Google Scholar] [CrossRef]
- Wood, B.J.; Banno, S. Garnet–orthopyroxene and orthopyroxene–clinopyroxene relationships in simple and complex systems. Contrib. Mineral. Petrol. 1973, 42, 109–124. [Google Scholar] [CrossRef]
- Wells, P.R.A. Pyroxene thermometry in simple and complex systems. Contrib. Mineral. Petrol. 1977, 62, 129–139. [Google Scholar] [CrossRef]
- Wones, D.R. Mafic minerals as indicators of intensive variables in granitic magmas. Min. Geol. 1981, 31, 9–22. [Google Scholar]
- Anderson, J.L.; Smith, D.R. The effects of temperature and fO2 on the Al-in hornblende barometer. Am. Mineral. 1995, 80, 549–559. [Google Scholar] [CrossRef]
- Papoutsa, A.; Pe-piper, G. Geochemical variation of amphiboles in A-type granites as an indicator of complex magmatic systems: Wentworth pluton, Nova Scotia, Canada. Chem. Geol. 2014, 384, 120–134. [Google Scholar] [CrossRef]
- Clowe, C.A.; Popp, R.K.; Fritz, S.J. Experimental investigation of oxygen fugacity on ferric–ferrous ratios and unit-cell parameters of four natural clinoamphiboles. Am. Mineral. 1988, 73, 487–499. [Google Scholar]
- Sun, Z.J.; Liu, G.H.; Ren, Y.S.; Chen, X.; Sun, X.H.; Wang, C.Y.; Li, Z.W. Age, genesis and tectonic setting of the Sayashk tin deposit in the East Junggar region: Constraints from Lu–Hf isotopes, zircon U–Pb and molybdenite Re–Os dating. Minerals 2022, 12, 1063. [Google Scholar] [CrossRef]
- Best, M.G. Igneous and Metamorphic Petrology; W.H. Freeman and Company: San Francisco, CA, USA, 1982; p. 630. [Google Scholar]
- Shaw, S.E.; Flood, R.H. Zircon Hf isotopic evidence for mixing of crustal and silicic mantle-derived magmas in a zoned granite pluton, eastern Australia. J. Petrol. 2009, 50, 147–168. [Google Scholar] [CrossRef]
- Zhang, J.Y.; Peng, T.P.; Fan, W.M.; Zhao, G.C.; Dong, X.H.; Gao, J.F.; Peng, B.X.; Wei, C.; Xia, X.P.; Chen, L.L.; et al. Petrogenesis of the Early Cretaceous granitoids and its mafic enclaves in the Northern Tengchong Terrane, southernmargin of the Tibetan Plateau and its tectonic implications. Lithos 2018, 318–319, 283–298. [Google Scholar] [CrossRef]
- Vernon, R.H. Crystallization and hybridism in microgranitoid enclave magmas: Microstructural evidence. J. Geophys. Res. Solid Earth 1990, 95, 17849–17859. [Google Scholar] [CrossRef]
- Giret, A.; Bonin, B.; Leger, J.M. Amphibole compositional trends in the oversaturated and undersaturated alkaline plutonic ring-complexes. Can. Minral. 1980, 18, 481–495. [Google Scholar]
- Rollinson, H.R. Using Geochemical Data: Evaluation, Presentation, Interpretation; Longman Scientific and Technical Press: Harlow, UK, 1993; p. 352. [Google Scholar]
- Lai, S.C.; Yi, H.S.; Liu, C.Y.; O’Reilly, S.Y. Trace element geochemistry and classification of amphiboles of the Cenozoic high-potassium calc-alkaline volcanic rock series from north Qiangtang, Qinghai-Tibetan plateau. Acta Petro. Sin. 2002, 18, 17–24. (In Chinese) [Google Scholar]
- Chen, S.; Niu, Y.L.; Sun, W.L.; Zhang, Y.; Li, J.Y.; Guo, P.Y.; Sun, P. On the origin of mafic magmatic enclaves (MMEs) in syn-collisional granitoids: Evidence from the Baojishan pluton in the North Qilian Orogen, China. Mineral. Petrol. 2015, 109, 577–596. [Google Scholar] [CrossRef]
- Shao, F.L.; Niu, Y.L.; Liu, Y.; Chen, S.; Kong, J.J.; Duan, M. Petrogenesis of Triassic granitoids in the East Kunlun Orogenic Belt, northern Tibetain Plateau and their tectonic implications. Lithos 2017, 282–283, 33–44. [Google Scholar] [CrossRef]
- Niu, Y.L.; Zhao, Z.D.; Zhu, D.C.; Mo, X.X. Continental collision zones are primary sites for net continental crust growth–a testable hypothesis. Earth Sci. Rev. 2013, 127, 96–110. [Google Scholar] [CrossRef]
- Kribek, B.; Sykorova, I.; Machovic, V.; Laufek, F. Graphitization of organic matter and fluid-deposited graphite in Palaeoproterozoic (Birimian) black shales of the Kaya-Goren greenstone belt (Burkina Faso, West Africa). J. Metamorph. Geol. 2008, 26, 937–958. [Google Scholar] [CrossRef]
- Luque, F.J.; Ortega, L.; Barrenechea, J.F.; Millward, D.; Beyssac, O.; Huizenga, J.M. Deposition of highly crystalline graphite from moderate-temperature fluids. Geology 2009, 3, 275–278. [Google Scholar] [CrossRef]
- Beyssac, O.; Goffé, B.; Chopin, C.; Rouzaud, J.N. Raman spectra of carbonaceous material in metasediments: A new geothermometer. J. Metamorph. Geol. 2002, 20, 859–871. [Google Scholar] [CrossRef]
- Aoya, M.; Kouketsu, Y.; Endo, S.; Shimizu, H.; Mizukami, T.; Nakamura, D.; Wallis, S. Extending the applicability of the Raman carbonaceous-material geothermometer using data from contact metamorphic rocks. J. Metamorph. Geol. 2010, 28, 895–914. [Google Scholar] [CrossRef]
- Ammar, M.R.; Rouzaud, J.N. How to obtain a reliable structural characterization of polished graphitized carbons by Raman microspectroscopy. J. Raman Spectrosc. 2012, 43, 207–211. [Google Scholar] [CrossRef]
- Al-Ani, T.; Ahtola, T.; Cutts, K.; Torppa, T. Metamorphic evolution of graphite in the Paleoproterozoic Savo Schist Belt (SSB), Central Finland: Constraints from geothermetric modeling. Ore Geol. Rev. 2022, 141, 104672. [Google Scholar] [CrossRef]












Publisher’s Note: MDPI stays neutral with regard to jurisdictional claims in published maps and institutional affiliations. |
© 2022 by the authors. Licensee MDPI, Basel, Switzerland. This article is an open access article distributed under the terms and conditions of the Creative Commons Attribution (CC BY) license (https://creativecommons.org/licenses/by/4.0/).
Share and Cite
Sun, X.; Ren, Y.; Li, J.; Huang, M.; Sun, Z.; Li, Z. Magma Evolution and Constraints on the Graphite Mineralization Hosted by the Huangyangshan Alkaline Granite Suite in the East Junggar of Xinjiang Province: Evidence from In Situ Analyses of Silicate Minerals. Minerals 2022, 12, 1458. https://doi.org/10.3390/min12111458
Sun X, Ren Y, Li J, Huang M, Sun Z, Li Z. Magma Evolution and Constraints on the Graphite Mineralization Hosted by the Huangyangshan Alkaline Granite Suite in the East Junggar of Xinjiang Province: Evidence from In Situ Analyses of Silicate Minerals. Minerals. 2022; 12(11):1458. https://doi.org/10.3390/min12111458
Chicago/Turabian StyleSun, Xinhao, Yunsheng Ren, Jingmou Li, Mengjia Huang, Zhenjun Sun, and Zuowu Li. 2022. "Magma Evolution and Constraints on the Graphite Mineralization Hosted by the Huangyangshan Alkaline Granite Suite in the East Junggar of Xinjiang Province: Evidence from In Situ Analyses of Silicate Minerals" Minerals 12, no. 11: 1458. https://doi.org/10.3390/min12111458
APA StyleSun, X., Ren, Y., Li, J., Huang, M., Sun, Z., & Li, Z. (2022). Magma Evolution and Constraints on the Graphite Mineralization Hosted by the Huangyangshan Alkaline Granite Suite in the East Junggar of Xinjiang Province: Evidence from In Situ Analyses of Silicate Minerals. Minerals, 12(11), 1458. https://doi.org/10.3390/min12111458

