Thermodynamic Modeling of Hypergene Processes in Loparite Ore Concentration Tailings
Abstract
:1. Introduction
2. Materials and Methods
2.1. Study Area
2.2. Thermodynamic Modeling
3. Results and Discussion
4. Conclusions
- (1)
- The predominant anions in the pore solutions are CO32−, HCO3−, SO42−, and HSiO3−. With an increase in ξ and a decrease in the amount of water in the system to 0.05 and 0.01 L, the concentration of fluorine ions in the solutions increases significantly.
- (2)
- The concentrations of the predominant metals—sodium and potassium ions—increase with increasing ξ. The predominant soluble form of aluminum is Al(OH)4−, anion concentrations grow with increasing ξ. At low ξ, La3+ and Ce3+ ions dominate. At high ξ, LaO(OH) и CeO(OH), LaO2−, and CeO2− become the main water-soluble forms.
- (3)
- With a decrease in the amount of water in the system, the solutions become more concentrated in terms of basic ions.
- (4)
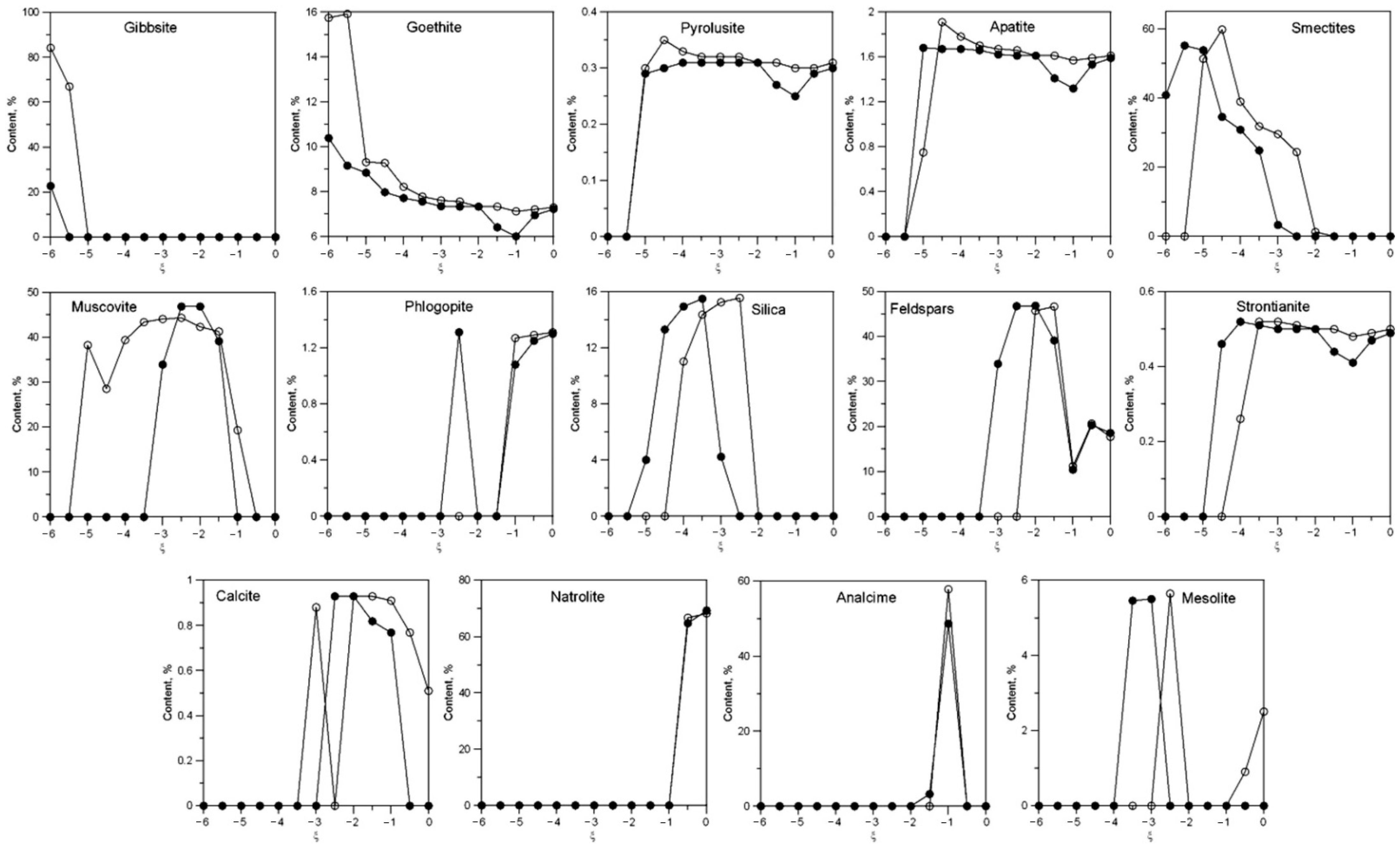
- Dominant newly formed phases in the system are gibbsite and goethite, minerals of the smectite group, muscovite, feldspars, silica, mica, apatite, secondary nepheline minerals, and strontianite. With evaporation and a low filtration rate of water in the top layers of the tailings (an increase in ξ and a decrease in the amount of water in the system), the composition and ratio of newly formed mineral phases change.
- (5)
- Our modeling showed that the processes progress qualitatively similarly in the system at 3 °C and 20 °C. Thus, chemical weathering can occur in both spring and fall. Increase in average seasonal temperatures and the duration of the frost-free and snowless periods will lead to a longer period with active hypergene processes and negative environmental impacts on the surrounding areas.
Author Contributions
Funding
Data Availability Statement
Conflicts of Interest
References
- Lottermoser, B.G. Mine Wastes. Characterization, Treatment and Environmental Impacts; Springer: Berlin/Heidelberg, Germany, 2010; 400p. [Google Scholar]
- Heikkinen, P.M.; Räisänen, M.L.; Johnson, R.H. Geochemical characterisation of seepage and drainage water quality from two sulphide mine tailings impoundments: Acid mine drainage versus neutral mine drainage. Mine Water Environ. 2009, 28, 30–49. [Google Scholar] [CrossRef]
- Flores, A.N.; Rubio, L.M.D. Arsenic and metal mobility from Au mine tailings in Rodalquilar (Almería, SE Spain). Environ. Earth Sci. 2010, 60, 121–138. [Google Scholar] [CrossRef]
- Plante, B.; Benzaazoua, M.; Bussière, B. Predicting geochemical behaviour of waste rock with low acid generating potential using laboratory kinetic tests. Mine Water Environ. 2011, 30, 2–21. [Google Scholar] [CrossRef]
- Meima, J.A.; Graupner, T.; Rammlmair, D. Modeling the effect of stratification on cemented layer formation in sulfide-bearing mine tailings. Appl. Geochem. 2012, 27, 124–137. [Google Scholar] [CrossRef]
- Moncur, M.C.; Ptacek, C.J.; Hayashi, M.; Blowes, D.W.; Birks, S.J. Seasonal cycling and mass-loading of dissolved metals and sulfate discharging from an abandoned mine site in northern Canada. Appl. Geochem. 2014, 41, 176–188. [Google Scholar] [CrossRef]
- Maest, A.S.; Nordstrom, D.K. A geochemical examination of humidity cell tests. Appl. Geochem. 2017, 81, 109–131. [Google Scholar] [CrossRef] [Green Version]
- Muniruzzaman, M.; Karlsson, T.; Kauppila, P.M. Modelling tools for the prediction of drainage quality from mine wastes. In Improving the Environmental Properties, Utilisation Potential and Long-Term Prediction of Mining Wastes; Kauppila, P.M., Tarvainen, T., Eds.; Bulletin 408; Geological Survey of Finland: Espoo, Finland, 2018; pp. 27–42. [Google Scholar]
- Battistela, M.; Muniruzzamana, M.; Onsesa, F.; Lee, J.; Rolle, M. Reactive fronts in chemically heterogeneous porous media: Experimentaland modeling investigation of pyrite oxidation. Appl. Geochem. 2019, 100, 77–89. [Google Scholar] [CrossRef]
- Drapeau, C.; Argane, R.; Delolme, C.; Blanc, D.; Benzaazoua, M.; Hakkou, R.; Baumgartl, T.; Edraki, M.; Lassabatere, L. Lead Mobilization and Speciation in Mining Waste: Experiments and Modeling. Minerals 2021, 11, 606. [Google Scholar] [CrossRef]
- Chudnenko, K.V. Thermodynamic Modeling in Geochemistry: Theory, Algorithms, Software, Applications; Academic Publishing House GEO: Novosibirsk, Russia, 2010; 287p. (In Russian) [Google Scholar]
- Kemkina, R.A.; Kemkin, I.V. Chemical Composition of Ores and Mineralogical and Geochemical Assessment of Potential Environmental Pollution by Toxic Elements (a Case Study of the Prasolovskoye Au-Ag Deposit); Dalnauka: Vladivostok, Russia, 2007; 212p. (In Russian) [Google Scholar]
- Kemkin, I.V.; Kemkina, R.A. Assessment of the degree of negative impact of ore concentration waste on the drainage system by computer modeling. Min. Inf. Anal. Bull. 2019, 11, 94–105. (In Russian) [Google Scholar] [CrossRef]
- Zvereva, V.P.; Kostina, A.M.; Lysenko, A.I. The origin of hypergene and anthropogenic minerals in the mining industry’s engineered systems (a case study of Dalnegorsk District, Primorye Region of Russia). Proc. RMO 2019, CXLVII, 50–60. (In Russian) [Google Scholar]
- Mazukhina, S.I.; Sandimirov, S.S.; Makarov, D.V. Thermodynamic modeling of the hypergenesis of the Allarechensk deposit tailing dumps when exposed to different temperatures and moisture levels. Chem. Sustain. Dev. 2019, 27, 489–498. (In Russian) [Google Scholar]
- Mazukhina, S.I.; Masloboev, V.A.; Makarov, D.V. Thermodynamic modeling of hypergene processes in copper-nickel ore concentration tailings when exposed to different temperatures and moisture levels. Chem. Sustain. Dev. 2021, 29, 69–79. (In Russian) [Google Scholar]
- Krasavtseva, E.A.; Makarov, D.V.; Selivanova, E.A.; Maksimova, V.V.; Svetlov, A.V. Mobilization of ecologically hazardous elements from the tailings of loparite ore concentration under the influence of atmospheric precipitation. Geoecology. Eng. Geol. Hydrogeol. Geocryol. 2021, 3, 69–78. (In Russian) [Google Scholar]
- Krasavtseva, E.A.; Makarov, D.V.; Maksimova, V.V.; Selivanova, E.A.; Ikkonen, P.V. Studies of properties and composition of loparite ore mill tailings. Fiz.-TekhnicheskieProbl. Razrab. Polezn. Iskop. 2021, 57, 190–198. (In Russian) [Google Scholar]
- Krasavtseva, E.; Maksimova, V.; Makarov, D. Conditions affecting the release of heavy and rare earth metals from the mine tailings Kola Subarctic. Toxics 2021, 9, 163. [Google Scholar] [CrossRef] [PubMed]
- Yokokawa, H. Tables of thermodynamic properties of inorganic compounds. J. Nat. Chem. Lab. Indust. 1988, 83, 27–121. [Google Scholar]
- Reid, R.; Prausnic, D.; Shervud, T. Gases and Liquids Properties; Himija: Leningrad, Russia, 1982; 592p. (In Russian) [Google Scholar]
- Johnson, J.W.; Oelkers, E.H.; Helgeson, H.C. SUPCRT92: Software package for calculating the standard molal thermodynamic properties of mineral, gases, aqueous species, and reactions from 1 to 5000 bars and 0 to 1000 °C. Comput. Geo-Sci. 1992, 18, 899–947. [Google Scholar] [CrossRef]
- Krasavtseva, E.A.; Maksimova, V.V.; Gorbacheva, T.T.; Makarov, D.V.; Alfertyev, N.L. Evaluation of soils and plants chemical pollution within the area affected by storages of loparite ore processing waste. Mine Surv. Subsurf. Use 2021, 2, 52–58. (In Russian) [Google Scholar]








| Database Name | Comments |
|---|---|
| s_Yokokawa | Summary of thermodynamic properties of condensed matter Yokokawa [20] |
| g_Reid | The system of thermodynamic properties of gases, adapted to the PC “Selektor” [21] |
| a_Sprons | The system of thermodynamic properties of the aqueous solution components from SPRONS92.DAT, adapted to the PC “Selektor” [22] |
| s_Sprons98 | The system of thermodynamic properties of substances Sprons92.DAT. Condensed phases [22] |
| Mineral | Formula | Content, % |
|---|---|---|
| Nepheline | (Na,K)AlSiO4 | 62.20 |
| Feldspars | K(AlSi3O8)—Na(AlSi3O8)—Ca(Al2Si2O8) | 16.51 |
| Apatite | Ca5(PO4)3(OH,F) | 1.03 |
| Loparite | (Na,Ce,La,Ca,Sr,Th)(Ti,Nb,Fe)O3 | 0.98 |
| Aegirine | NaFe(Si2O6) | 18.71 |
| Diopside | CaMg(Si2O6) | 0.04 |
| Sodalite | Na4(Si3Al3)O12Cl | 0.17 |
| Lomonosovite | Na5Ti2(Si2O7)(PO4)O2 | 0.19 |
| Lamprophyllite | (Sr,Ba,K,Na)2Na(Na,Fe,Mn)2Ti[Ti2(Si2O7)2O2(OH,F,O)2 | 0.15 |
| Eudialyte | Na4(Ca,Ce,La,Fe,Mn)2ZrSi6O17(OH,Cl)2 | 0.01 |
| Pectolite | NaCa2Si3O8(OH) | 0.01 |
| ξ | Eh, V | pH | Prevailing Ion Concentrations, mg/L | |||||||||||||
| CO32− | HCO3− | HSiO3− | SiO2 * | SO42− | ||||||||||||
| 3 °C | 20 °C | 3 °C | 20 °C | 3 °C | 20 °C | 3 °C | 20 °C | 3 °C | 20 °C | 3 °C | 20 °C | 3 °C | 20 °C | |||
| −6.0 | 0.91 | 0.88 | 5.7 | 5.8 | 2.51 × 10−6 | 4.15 × 10−6 | 1.90 × 10−1 | 1.74 × 10−1 | 9.73 × 10−6 | 1.57 × 10−5 | 9.11 × 10−2 | 9.12 × 10−2 | 2.44 × 10−4 | 2.45 × 10−4 | ||
| −5.5 | 0.90 | 0.87 | 5.8 | 6.0 | 6.26 × 10−6 | 1.13 × 10−5 | 2.99 × 10−1 | 2.86 × 10−1 | 5.10 × 10−5 | 8.59 × 10−5 | 3.01 × 10−1 | 3.01 × 10−1 | 6.65 × 10−4 | 6.69 × 10−4 | ||
| −5.0 | 0.88 | 0.854 | 6.3 | 6.4 | 3.81 × 10−5 | 7.38 × 10−5 | 7.37 × 10−1 | 7.29 × 10−1 | 4.03 × 10−4 | 7.00 × 10−4 | 9.64 × 10−1 | 9.63 × 10−1 | 2.01 × 10−3 | 2.02 × 10−3 | ||
| −4.5 | 0.85 | 0.82 | 6.7 | 6.9 | 2.67 × 10−4 | 6.90 × 10−4 | 1.95 | 2.22 | 1.32 × 10−3 | 6.16 × 10−3 | 1.2 | 2.77 | 6.41 × 10−3 | 6.44 × 10−3 | ||
| −4.0 | 0.83 | 0.79 | 7.2 | 7.3 | 2.44 × 10−3 | 4.73 × 10−3 | 5.86 | 5.8 | 8.92 × 10−3 | 1.55 × 10−2 | 2.67 | 2.66 | 2.27 × 10−2 | 2.27 × 10−2 | ||
| −3.5 | 0.80 | 0.77 | 7.7 | 7.8 | 2.27 × 10−2 | 4.76 × 10−2 | 17.8 | 18.3 | 3.51 × 10−2 | 1.37 × 10−1 | 3.43 | 7.38 | 7.96 × 10−2 | 7.96 × 10−2 | ||
| −3.0 | 0.77 | 0.74 | 8.2 | 8.3 | 2.24 × 10−1 | 4.42 × 10−1 | 54.9 | 54.8 | 1.12 × 10−1 | 5.14 × 10−1 | 3.44 | 8.99 | 2.58 × 10−1 | 2.58 × 10−1 | ||
| −2.5 | 0.74 | 0.71 | 8.7 | 8.8 | 2.32 | 4 | 168 | 157 | 3.77 × 10−1 | 1.62 | 3.44 | 8.99 | 8.11 × 10−1 | 8.16 × 10−1 | ||
| −2.0 | 0.71 | 0.68 | 9.3 | 9.3 | 22.3 | 32.4 | 431 | 385 | 1.37 | 5.19 | 3.43 | 8.99 | 2.54 | 2.55 | ||
| −1.5 | 0.66 | 0.65 | 10.2 | 9.8 | 323 | 198 | 760 | 654 | 11.4 | 18.7 | 3.43 | 8.99 | 7.57 | 7.74 | ||
| −1.0 | 0.58 | 0.56 | 11.7 | 11.4 | 1120 | 1100 | 82.2 | 109 | 120 | 218 | 1.13 | 3.14 | 22 | 22 | ||
| −0.5 | 0.54 | 0.52 | 12.5 | 12.1 | 1110 | 1100 | 9.93 | 22.5 | 529 | 413 | 7.04 × 10−1 | 1.21 | 66.1 | 64.9 | ||
| 0 | 0.51 | 0.47 | 12.9 | 12.8 | 851 | 849 | 2.03 | 2.99 | 594 | 586 | 2.56 × 10−1 | 2.95 × 10−1 | 199 | 152 | ||
| ξ | Prevailing Ion Concentrations, mg/L | |||||||||||||||
| Na+ | K+ | Ca2+ | Mg2+ | Sr2+ | Al(OH)4− | F− | ||||||||||
| 3 °C | 20 °C | 3 °C | 20 °C | 3 °C | 20 °C | 3 °C | 20 °C | 3 °C | 20 °C | 3 °C | 20 °C | 3 °C | 20 °C | |||
| −6.0 | 1.94 × 10−2 | 1.94 × 10−2 | 6.89 × 10−3 | 6.80 × 10−3 | 1.37 × 10−3 | 1.37 × 10−3 | 2.39 × 10−4 | 2.40 × 10−4 | 5.13 × 10−4 | 5.13 × 10−4 | 2.33 × 10−6 | 1.48 × 10−5 | 1.43 × 10−4 | 1.43 × 10−4 | ||
| −5.5 | 6.31 × 10−2 | 6.32 × 10−2 | 2.21 × 10−2 | 2.21 × 10−2 | 5.26 × 10−3 | 5.28 × 10−3 | 8.79 × 10−4 | 8.73 × 10−4 | 1.70 × 10−3 | 1.71 × 10−3 | 3.50 × 10−6 | 2.33 × 10−5 | 4.44 × 10−4 | 4.44 × 10−4 | ||
| −5.0 | 2.01 × 10−1 | 2.01 × 10−1 | 7.01 × 10−2 | 7.00 × 10−2 | 1.86 × 10−2 | 1.86 × 10−2 | 3.25 × 10−3 | 3.26 × 10−3 | 5.72 × 10−3 | 5.75 × 10−3 | 9.10 × 10−6 | 6.43 × 10−5 | 1.40 × 10−3 | 1.40 × 10−3 | ||
| −4.5 | 6.12 × 10−1 | 6.29 × 10−1 | 6.39 × 10−2 | 2.22 × 10−1 | 6.23 × 10−2 | 6.24 × 10−2 | 1.31 × 10−2 | 1.31 × 10−2 | 1.85 × 10−2 | 1.85 × 10−2 | 2.41 × 10−5 | 2.01 × 10−4 | 4.86 × 10−3 | 4.86 × 10−3 | ||
| −4.0 | 1.86 | 1.86 | 2.17 × 10−1 | 2.18 × 10−1 | 1.62 × 10−1 | 1.37 × 10−1 | 4.43 × 10−2 | 4.43 × 10−2 | 5.89 × 10−2 | 5.89 × 10−2 | 1.51 × 10−5 | 4.19 × 10−4 | 1.20 × 10−2 | 9.56 × 10−3 | ||
| −3.5 | 5.97 | 5.78 | 2.88 × 10−1 | 1.06 | 2.45 × 10−1 | 2.41 × 10−1 | 1.43 × 10−1 | 1.43 × 10−1 | 1.86 × 10−1 | 1.86 × 10−1 | 2.25 × 10−5 | 1.94 × 10−4 | 1.24 × 10−2 | 1.20 × 10−2 | ||
| −3.0 | 19 | 18.8 | 2.43 × 10−1 | 1.28 | 7.38 × 10−1 | 7.33 × 10−1 | 4.51 × 10−1 | 4.50 × 10−1 | 3.84 × 10−1 | 2.79 × 10−1 | 5.15 × 10−5 | 3.17 × 10−4 | 3.65 × 10−2 | 3.65 × 10−2 | ||
| −2.5 | 60.4 | 60.1 | 1.98 × 10−1 | 1.09 | 2.19 | 2.07 | 1.37 | 1.41 × 10−1 | 3.82 × 10−2 | 3.16 × 10−2 | 1.24 × 10−4 | 7.17 × 10−4 | 1.16 × 10−1 | 1.16 × 10−1 | ||
| −2.0 | 191 | 183 | 1.57 × 10−1 | 9.13 × 10−1 | 1.09 | 3.05 × 10−1 | 1.56 × 10−1 | 1.48 × 10−2 | 4.45 × 10−3 | 4.35 × 10−3 | 3.20 × 10−4 | 1.67 × 10−3 | 1.58 | 1.58 | ||
| −1.5 | 546 | 412 | 1.71 × 10−1 | 6.85 × 10−1 | 1.70 × 10−2 | 7.27 × 10−3 | 2.13 × 10−3 | 1.12 × 10−3 | 2.87 × 10−4 | 7.00 × 10−4 | 1.27 × 10−3 | 4.33 × 10−3 | 1.16 | 1.16 | ||
| −1.0 | 1070 | 1030 | 8.08 × 10−1 | 22.6 | 2.04 × 10−4 | 3.85 × 10−4 | 4.52 × 10−6 | 7.59 × 10−7 | 8.41 × 10−5 | 1.23 × 10−4 | 2.32 × 10−2 | 3.98 × 10−2 | 3.65 | 3.65 | ||
| −0.5 | 1920 | 1400 | 43.1 | 79.5 | 3.74 × 10−4 | 1.66 × 10−4 | 5.36 × 10−8 | 3.12 × 10−8 | 1.55 × 10−4 | 1.16 × 10−4 | 3.80 × 10−2 | 1.96 × 10−1 | 11.6 | 11.6 | ||
| 0 | 3490 | 2680 | 337 | 1240 | 1.42 × 10−3 | 6.22 × 10−4 | 1.05 × 10−8 | 9.23 × 10−10 | 4.65 × 10−4 | 1.48 × 10−4 | 1.17 × 10−1 | 8.29 × 10−1 | 36.9 | 36.8 | ||
| ξ | Eh, V | pH | Prevailing Ion Concentrations, mg/L | |||||||||||
| CO32− | HCO3− | HSiO3− | SiO2 * | SO42− | ||||||||||
| 0.05 L | 0.01 L | 0.05 L | 0.01 L | 0.05 L | 0.01 L | 0.05 L | 0.01 L | 0.05 L | 0.01 L | 0.05 L | 0.01 L | 0.05 L | 0.01 L | |
| −6.0 | 0.85 | 0.81 | 6.4 | 7.0 | 6.80 × 10−5 | 1.31 × 10−3 | 6.97 × 10−1 | 3.03 | 6.38 × 10−4 | 7.89 × 10−3 | 9.17 × 10−1 | 2.61 | 2.32 × 10−3 | 1.15 × 10−2 |
| −5.5 | 0.82 | 0.78 | 6.9 | 7.5 | 6.79 × 10−4 | 1.19 × 10−2 | 2.2 | 9.12 | 6.12 × 10−3 | 3.67 × 10−2 | 2.79 | 4.03 | 6.50 × 10−3 | 3.23 × 10−2 |
| −5.0 | 0.79 | 0.75 | 7.3 | 8.0 | 4.65 × 10−3 | 1.16 × 10−1 | 5.75 | 28.3 | 1.52 × 10−2 | 2.54 × 10−1 | 2.66 | 9.01 | 2.01 × 10−2 | 1.00 × 10−1 |
| −4.5 | 0.77 | 0.73 | 7.8 | 8.4 | 4.73 × 10−2 | 1.05 | 18.2 | 84.6 | 1.34 × 10−1 | 7.60 × 10−1 | 7.35 | 8.99 | 6.41 × 10−2 | 3.17 × 10−1 |
| −4.0 | 0.74 | 0.70 | 8.3 | 8.9 | 4.34 × 10−1 | 8.75 | 54.9 | 242 | 4.95 × 10−1 | 2.17 | 9.01 | 8.98 | 2.26 × 10−1 | 1.11 |
| −3.5 | 0.71 | 0.68 | 8.7 | 9.3 | 3.66 | 64 | 158 | 646 | 1.44 | 5.85 | 8.99 | 8.98 | 7.84 × 10−1 | 3.8 |
| −3.0 | 0.69 | 0.66 | 9.2 | 9.6 | 29.2 | 253 | 439 | 1260 | 4.09 | 11.6 | 8.99 | 8.97 | 2.51 | 11.7 |
| −2.5 | 0.66 | 0.64 | 9.6 | 9.9 | 208 | 1140 | 1120 | 2580 | 11.2 | 17.5 | 8.98 | 6.36 | 7.51 | 32.2 |
| −2.0 | 0.64 | 0.62 | 9.9 | 10.3 | 645 | 5210 | 1830 | 5010 | 19.6 | 20.6 | 8.51 | 3.37 | 21.9 | 72.4 |
| −1.5 | 0.62 | 0.61 | 10.3 | 10.5 | 3310 | 12,200 | 3070 | 5940 | 24.3 | 33.9 | 3.59 | 3.03 | 52.4 | 180 |
| −1.0 | 0.58 | 0.58 | 11.1 | 11.0 | 9000 | 12,700 | 1590 | 2100 | 59.2 | 49.6 | 1.65 | 1.5 | 117 | 688 |
| −0.5 | 0.48 | 0.43 | 12.8 | 13.6 | 8580 | 7240 | 31.3 | 3.18 | 609 | 2100 | 3.36 × 10−1 | 1.61 × 10−1 | 303 | 1070 |
| 0 | 0.42 | 0.35 | 13.8 | 15.4 | 2760 | 1180 | 1.05 | 1.02 × 10−2 | 2050 | 4970 | 1.24 × 10−1 | 2.77 × 10−2 | 474 | 1300 |
| ξ | Prevailing Ion Concentrations. mg/L | |||||||||||||
| Na+ | K+ | Ca2+ | Mg2+ | Sr2+ | Al(OH)4− | F− | ||||||||
| 0.05 L | 0.01 L | 0.05 L | 0.01 L | 0.05 L | 0.01 L | 0.05 L | 0.01 L | 0.05 L | 0.01 L | 0.05 L | 0.01 L | 0.05 L | 0.01 L | |
| −6.0 | 1.95 × 10−1 | 9.23 × 10−1 | 6.90 × 10−2 | 2.29 × 10−1 | 1.37 × 10−2 | 6.92 × 10−2 | 2.34 × 10−3 | 1.18 × 10−2 | 5.12 × 10−3 | 2.56 × 10−2 | 6.18 × 10−5 | 2.74 × 10−4 | 1.42 × 10−3 | 7.10 × 10−3 |
| −5.5 | 6.32 × 10−1 | 2.89 | 2.19 × 10−1 | 4.13 × 10−1 | 5.28 × 10−2 | 2.63 × 10−1 | 8.17 × 10−3 | 4.01 × 10−2 | 1.71 × 10−2 | 8.55 × 10−2 | 1.99 × 10−4 | 3.03 × 10−4 | 4.37 × 10−3 | 2.18 × 10−2 |
| −5.0 | 1.85 | 9.17 | 2.20 × 10−1 | 1.43 | 1.42 × 10−1 | 4.02 × 10−1 | 3.18 × 10−2 | 1.58 × 10−1 | 5.72 × 10−2 | 2.92 × 10−1 | 4.16 × 10−4 | 1.92 × 10−4 | 9.67 × 10−3 | 1.90 × 10−2 |
| −4.5 | 5.77 | 29.9 | 1.07 | 1.28 | 2.47 × 10−1 | 1.16 | 1.29 × 10−1 | 6.25 × 10−1 | 1.84 × 10−1 | 1.40 × 10−1 | 1.93 × 10−4 | 4.16 × 10−4 | 1.24 × 10−2 | 5.91 × 10−2 |
| −4.0 | 18.8 | 95.1 | 1.32 | 1.15 | 7.37 × 10−1 | 3.04 | 4.35 × 10−1 | 9.09 × 10−2 | 3.06 × 10−1 | 1.78 × 10−2 | 3.06 × 10−4 | 8.75 × 10−4 | 3.65 × 10−2 | 1.82 × 10−1 |
| −3.5 | 60.1 | 296 | 1.18 | 1.07 | 2.11 | 1.94 × 10−1 | 1.88 × 10−1 | 1.32 × 10−2 | 3.73 × 10−2 | 2.61 × 10−3 | 6.51 × 10−4 | 1.74 × 10−3 | 1.15 × 10−1 | 5.76 × 10−1 |
| −3.0 | 190 | 682 | 1.06 | 1.04 | 3.97 × 10−1 | 2.14 × 10−2 | 2.39 × 10−2 | 3.58 × 10−3 | 4.86 × 10−3 | 7.18 × 10−4 | 1.36 × 10−3 | 2.79 × 10−3 | 3.65 × 10−1 | 1.82 |
| −2.5 | 590 | 1870 | 9.75 × 10−1 | 12.1 | 2.16 × 10−2 | 1.41 × 10−2 | 3.34 × 10−3 | 1.04 × 10−3 | 7.31 × 10−4 | 1.81 × 10−4 | 2.75 × 10−3 | 2.90 × 10−3 | 1.15 | 5.76 |
| −2.0 | 1200 | 5940 | 13.7 | 40.5 | 3.73 × 10−2 | 7.34 × 10−3 | 1.16 × 10−3 | 4.39 × 10−4 | 2.67 × 10−4 | 4.93 × 10−5 | 1.83 × 10−3 | 6.26 × 10−3 | 3.65 | 18.1 |
| −1.5 | 3740 | 11,500 | 19.7 | 515 | 1.03 × 10−2 | 4.83 × 10−3 | 3.19 × 10−4 | 8.64 × 10−5 | 5.96 × 10−5 | 2.79 × 10−5 | 7.88 × 10−3 | 4.49 × 10−3 | 11.5 | 59.2 |
| −1.0 | 7510 | 11,100 | 307 | 493 | 1.53 × 10−3 | 1.94 × 10−3 | 3.73 × 10−6 | 6.78 × 10−6 | 2.03 × 10−5 | 2.57 × 10−5 | 2.06 × 10−2 | 1.90 × 10−2 | 36.3 | 224 |
| −0.5 | 7710 | 15,200 | 2880 | 15,300 | 5.41 × 10−3 | 4.75 × 10−3 | 1.25 × 10−9 | 3.09 × 10−11 | 1.74 × 10−5 | 2.86 × 10−5 | 2.39 × 10−1 | 3.31 × 10−1 | 118 | 778 |
| 0 | 12,600 | 97,100 | 18,800 | 216,000 | 1.57 × 10−2 | 1.71 × 10−2 | 1.41 × 10−11 | 0 | 5.00 × 10−5 | 1.50 × 10−4 | 5.37 × 10−1 | 5.64 × 10−2 | 416 | 7150 |
Publisher’s Note: MDPI stays neutral with regard to jurisdictional claims in published maps and institutional affiliations. |
© 2021 by the authors. Licensee MDPI, Basel, Switzerland. This article is an open access article distributed under the terms and conditions of the Creative Commons Attribution (CC BY) license (https://creativecommons.org/licenses/by/4.0/).
Share and Cite
Mazukhina, S.; Krasavtseva, E.; Makarov, D.; Maksimova, V. Thermodynamic Modeling of Hypergene Processes in Loparite Ore Concentration Tailings. Minerals 2021, 11, 996. https://doi.org/10.3390/min11090996
Mazukhina S, Krasavtseva E, Makarov D, Maksimova V. Thermodynamic Modeling of Hypergene Processes in Loparite Ore Concentration Tailings. Minerals. 2021; 11(9):996. https://doi.org/10.3390/min11090996
Chicago/Turabian StyleMazukhina, Svetlana, Eugenia Krasavtseva, Dmitriy Makarov, and Victoria Maksimova. 2021. "Thermodynamic Modeling of Hypergene Processes in Loparite Ore Concentration Tailings" Minerals 11, no. 9: 996. https://doi.org/10.3390/min11090996
APA StyleMazukhina, S., Krasavtseva, E., Makarov, D., & Maksimova, V. (2021). Thermodynamic Modeling of Hypergene Processes in Loparite Ore Concentration Tailings. Minerals, 11(9), 996. https://doi.org/10.3390/min11090996

