Microstructure Investigation of Oil-Bearing Rhyolites: A Case Study from the Hailar Basin, NE China
Abstract
1. Introduction
2. Geological Background

3. Samples and Methods
3.1. Samples
3.2. Methods
4. Results
4.1. Pore Type Classification and Qualitative Description of Microstructures
4.2. Estimates of Porosity and Connectivity of Rhyolites
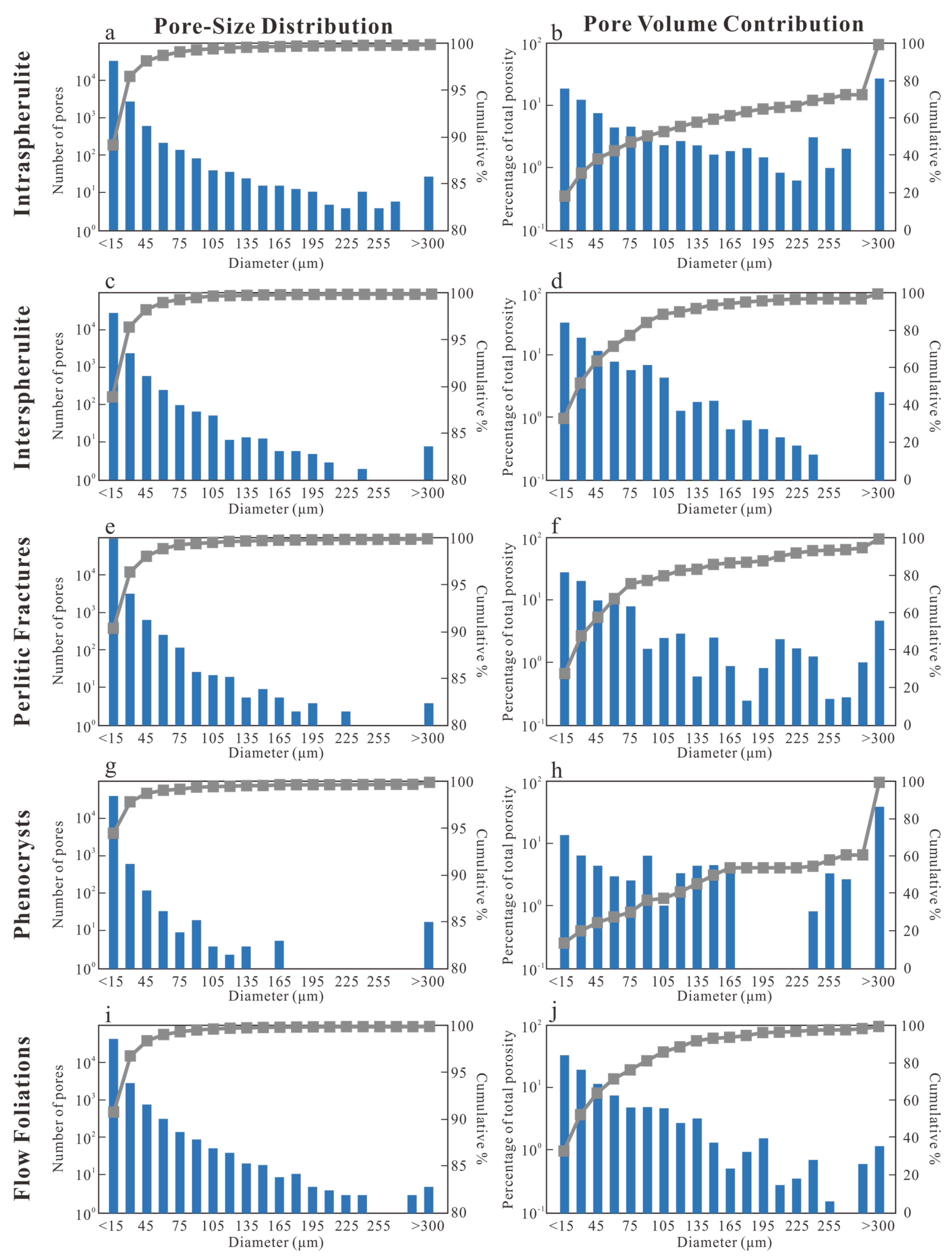
4.3. Quantitative Analyses of Microstructures and Pore System
5. Discussions
5.1. Formation Mechanisms
5.2. Evaluation of Microstructure-Related Reservoir Spaces
6. Conclusions
- Rhyolitic lavas are heterogeneous and porous and have complex microstructures. Embayment pore, cleavage, cavitational and shear fractures, and intracrystalline sieve pores are related to the phenocrysts of the porphyritic texture. The groundmass contains flow-parallel laminar and micropores. Perlitic fractures occur in perlitic textures. Spherulitic textures tend to fall into two classes, being clustered or isolated spherulites. Clustered spherulites are characterized by the development of interspherulite pores. Isolated spherulites contain numerous radiating micropores. Both types of spherulites may have water expulsion pores.
- Phenocryst-rich rhyolitic lava, perlitic lava, and spherulitic rhyolite may be favorable targets for rhyolitic hydrocarbon exploration.
- The formation of microstructures and the related porosity of rhyolites are controlled by different processes, such as deuteric crystal dissolution, cavitation, ductile–brittle deformation, hydration, low- or high-T devitrification, and water expulsion.
- For all microstructures and their related porosity, although pores with diameters > 50 μm are often observed, small pores dominate in pore-size distribution. Small (<15 μm) and large (>300 μm) pores contribute the most volume in most cases. Medium-sized pores with diameters ranging from ~150 to 300 μm are the least developed and contribute the least to the total volume.
Author Contributions
Funding
Acknowledgments
Conflicts of Interest
References
- Wilkinson, B.H.; McElroy, B.J.; Kesler, S.E.; Peters, S.E.; Rothman, E.D. Global geologic maps are tectonic speedometers—Rates of rock cycling from area-age frequencies. Bull. Geol. Soc. Am. 2009, 121, 760–779. [Google Scholar] [CrossRef]
- Kingston, D.R.; Dishroom, C.P.; Williams, P.A. Hydrocarbon plays, global basin classification. Oil Gas J. 1985, 6, 265–270. [Google Scholar]
- Sun, H.T.; Zhong, D.K. Origin and forming process of the porosity in volcanic hydrocarbon reservoirs of China. J. Volcanol. Geoth. Res. 2018, 350, 61–68. [Google Scholar] [CrossRef]
- Schutter, S.R. Occurrences of hydrocarbons in and around igneous rocks. Geol. Soc. London Spec. Publ. 2003, 214, 35–68. [Google Scholar] [CrossRef]
- Luo, J.; Morad, S.; Liang, Z.; Zhu, Y. Controls on the quality of Archean metamorphic and Jurassic volcanic reservoir rocks from the Xinglongtai buried hill, western depression of Liaohe basin, China. Am. Assoc. Pet. Geol. Bull. 2005, 89, 1319–1346. [Google Scholar] [CrossRef]
- Sun, H.; Zhong, D.; Zhan, W. Reservoir characteristics in the Cretaceous volcanic rocks of Songliao Basin, China: A case of dynamics and evolution of the volcano-porosity and diagenesis. Energy Explor. Exploit. 2019, 37, 607–625. [Google Scholar] [CrossRef]
- Sruoga, P.; Rubinstein, N. Processes controlling porosity and permeability in volcanic reservoirs from the Austral and Neuquén basins, Argentina. Am. Assoc. Pet. Geol. Bull. 2007, 91, 115–129. [Google Scholar] [CrossRef]
- Lenhardt, N.; Götz, A.E. Volcanic settings and their reservoir potential: An outcrop analog study on the Miocene Tepoztlán Formation, Central Mexico. J. Volcanol. Geoth. Res. 2011, 204, 66–75. [Google Scholar] [CrossRef]
- Wang, P.; Chen, S. Cretaceous volcanic reservoirs and their exploration in the Songliao Basin, northeast China. Am. Assoc. Pet. Geol. Bull. 2015, 99, 499–523. [Google Scholar] [CrossRef]
- Zheng, H.; Sun, X.; Zhu, D.; Tian, J.; Wang, P.; Zhang, X. Characteristics and factors controlling reservoir space in the Cretaceous volcanic rocks of the Hailar Basin, NE China. Mar. Pet. Geol. 2018, 91, 749–763. [Google Scholar] [CrossRef]
- Zheng, H.; Sun, X.; Wang, J.; Zhu, D.; Zhang, X. Devitrification pores and their contribution to volcanic reservoirs: A case study in the Hailar Basin, NE China. Mar. Pet. Geol. 2018, 98, 718–732. [Google Scholar] [CrossRef]
- Saubin, E.; Kennedy, B.; Tuffen, H.; Villeneuve, M.; Davidson, J.; Burchardt, S. Comparative field study of shallow rhyolite intrusions in Iceland: Emplacement mechanisms and impact on country rocks. J. Volcanol. Geotherm. Res. 2001, 388, 106691. [Google Scholar] [CrossRef]
- Zou, C.N. Volcanic Reservoirs in Petroleum Exploration; Petroleum Industry Press: Beijing, China, 2013. [Google Scholar]
- Heap, M.J.; Tuffen, H.; Wadsworth, F.B.; Reuschlé, T.; Castro, J.M.; Schipper, C.I. The permeability evolution of tuffisites and implications for outgassing through dense rhyolitic magma. J. Geophy. Res. Solid Earth. 2019, 124, 8281–8299. [Google Scholar] [CrossRef]
- Zhao, X.; Blunt, M.J.; Yao, J. Pore-scale modelling: Effects wettability on waterflood oil recovery. J. Pet. Sci. Eng. 2010, 71, 169–178. [Google Scholar] [CrossRef]
- Suicmez, V.S.; Piri, M.; Blunt, M.J. Effects of wettability and pore-level displacement on hydrocarbon trapping. Adv. Water Res. 2008, 31, 503–512. [Google Scholar] [CrossRef]
- Eggertsson, G.H.; Lavallée, Y.; Kendrick, J.E.; Markússon, S.H. Improving fluid flow in geothermal reservoirs by thermal and mechanical stimulation: The case of Krafla volcano, Iceland. J. Volcanol. Geotherm. Res. 2020, 391, 106351. [Google Scholar] [CrossRef]
- Curtis, M.E.; Sondergeld, C.H.; Ambrose, R.J.; Rai, C.S. Microstructural investigation of gas shales in two and three dimensions using nanometer-scale resolution imaging. Am. Assoc. Pet. Geol. Bull. 2012, 96, 665–677. [Google Scholar] [CrossRef]
- Emmanuel, S.; Eliyahu, M.; Day-Stirrat, R.J.; Hofmann, R.; Macaulay, C.I. Impact of thermal maturation on nano-scale elastic properties of organic matter in shales. Mar. Pet. Geol. 2016, 70, 175–184. [Google Scholar] [CrossRef]
- Wang, W.X.; Li, J.; Fan, M.; Abedi, S. Characterization of electrical properties of organic-rich shales at nano/micro scales. Mar. Pet. Geol. 2016, 86, 563–572. [Google Scholar] [CrossRef]
- Clarkson, C.R.; Solano, N.; Bustin, R.M.; Bustin, A.M.M.; Chalmers, G.R.L.; He, L.; Melnichenko, Y.B.; Radlinki, A.P.; Blach, T.P. Pore structure characterization of North American shale gas reservoirs using USANS/SANS, gas adsorption, and mercury intrusion. Fuel 2013, 103, 606–616. [Google Scholar] [CrossRef]
- Kuila, U.; Prasad, M. Specific surface area and pore-size distribution in clays and shales. Geophys. Prospect. 2013, 61, 341–362. [Google Scholar] [CrossRef]
- Xi, Z.; Tang, S.; Wang, J.; Yi, J.; Guo, Y.; Wang, K. Pore Structure and Fractal Characteristics of Niutitang Shale from China. Minerals 2018, 8, 163. [Google Scholar] [CrossRef]
- Gao, Z.; Fan, Y.; Hu, Q.; Jiang, Z.; Cheng, Y. The effects of pore structure on wettability and methane adsorption capability of Longmaxi Formation shale from the southern Sichuan Basin in China. Am. Assoc. Pet. Geol. Bull. 2020, 104, 1375–1399. [Google Scholar] [CrossRef]
- Zhang, J.; Scherer, G.W. Permeability of shale by the beam-bending method. Int. J. Rock Mech. Min. Sci. 2012, 53, 179–191. [Google Scholar]
- Ma, L.; Taylor, K.G.; Lee, P.D.; Dobson, K.J.; Dowey, P.J.; Courtois, L. Novel 3D centimetre-to nano-scale quantification of an organic-rich mudstone: The Carboniferous Bowland Shale, Northern England. Mar. Pet. Geol. 2016, 72, 193–205. [Google Scholar] [CrossRef]
- Loucks, R.G.; Reed, R.M.; Ruppel, S.C.; Jarvie, D.M. Morphology, genesis, and distribution of nanometer-scale pores in siliceous mudstones of the Mississippian Barnett Shale. J. Sediment. Res. 2009, 79, 848–861. [Google Scholar] [CrossRef]
- Chalmers, G.R.; Bustin, R.M.; Power, I.M. Characterization of gas shale pore systems by porosimetry, pycnometry, surface area, and field emission scanning electron microscopy/transmission electron microscopy image analyses: Examples from the Barnett, Woodford, Haynesville, Marcellus, and Doig units. Am. Assoc. Pet. Geol. Bull. 2012, 96, 1099–1119. [Google Scholar]
- Keller, L.M.; Schuetz, P.; Erni, R.; Rossell, M.D.; Lucas, F.; Gasser, P.; Holzer, L. Characterization of multi-scale microstructural features in Opalinus Clay. Micropor. Mesopor. Mat. 2013, 170, 83–94. [Google Scholar] [CrossRef]
- Poonoosamy, J.; Haber-Pohlmeier, S.; Deng, H.; Deissmann, G.; Klinkenberg, M.; Gizatullin, B.; Stapf, S.; Brandt, F.; Bosbach, D.; Pohlmeier, A. Combination of MRI and SEM to Assess Changes in the Chemical Properties and Permeability of Porous Media due to Barite Precipitation. Minerals 2020, 10, 226. [Google Scholar] [CrossRef]
- Sun, X.M.; Lu, B.L.; Zhang, M.S.; Du, J.Y.; Xu, W.Q. Typical structural styles and deformation sequence in outcrop area of Hailaer basin and its margin. J. Jilin Univ. 2011, 41, 18–23, (In Chinese with English abstract). [Google Scholar]
- Minna, A.; Zhang, F.Q.; Yang, S.F.; Chen, H.L.; Batt, G.E.; Sun, M.D.; Meng, Q.A.; Zhu, D.F.; Cao, R.C.; Li, J.S. Early Cretaceous provenance change in the southern Hailar Basin, northeastern China and its implication for basin evolution. Cretac. Res. 2013, 40, 21–42. [Google Scholar] [CrossRef]
- Feng, Z.Q.; Zhang, X.D.; Ren, T.G.; Wu, H.Y.; Li, C.B.; Dong, W.B. Hydrocarbon reservoir forming characteristics and distribution rule of Hailar Basin. Petrol. Geol. Oilfield Dev. Daqing 2004, 23, 16–19, (In Chinese with English abstract). [Google Scholar]
- Song, J.; Liu, Z.; Wang, C.; Gao, X.; Liu, X. Multistage structural deformations of a superimposed basin system and its tectonic response to regional geological evolution: A case study from the Late Jurassic-Early Cretaceous Tanan depression, Hailar-Tamtsag basin. Mar. Pet. Geol. 2019, 110, 1–20. [Google Scholar] [CrossRef]
- Tian, J.X.; Sun, X.M.; Zhang, X.Q.; Shou, Y.C. Reservoir space types and the factors influencing the characteristics of spherulite in rhyolite. Sci. China Earth Sci. 2013, 56, 748–755. [Google Scholar] [CrossRef]
- Li, S.Q.; Hegner, E.; Yang, Y.Z.; Wu, J.D.; Chen, F.K. Age constraints on late Mesozoic lithospheric extension and origin of bimodal volcanic rocks from the Hailar Basin, NE China. Lithos 2014, 190–191, 204–219. [Google Scholar] [CrossRef]
- Chen, J.L.; Wu, H.Y.; Zhu, D.F.; Lin, C.H.; Yu, D.S. Tectonic evolution of the Hailar Basin and its potentials of oil-gas exploration. Chinese J. Geol. 2007, 42, 147–159, (In Chinese with English abstract). [Google Scholar]
- McPhie, J.; Doyle, M.; Allen, R. Volcanic Textures: A Guide to the Interpretation of Textures in Volcanic Rocks; University of Tasmania: Tasmania, Australia, 1993. [Google Scholar]
- Anthony, J.W.; Bideaux, R.A.; Bladh, K.W.; Nichols, M.C. Handbook of Mineralogy; Mineralogical Society of America: Chantilly, VA, USA, 2015. [Google Scholar]
- Smith, J.V.; Miyake, Y.; Oikawa, T. Interpretation of porosity in dacite lava domes as ductile-brittle failure textures. J. Volcanol. Geotherm. Res. 2001, 112, 25–35. [Google Scholar] [CrossRef]
- Smith, J.V. Structural analysis of flow-related textures in lavas. Earth-Sci. Rev. 2002, 57, 279–297. [Google Scholar] [CrossRef]
- Magnall, N.; James, M.R.; Tuffen, H.; Vye-Brown, C.; Ian Schipper, C.; Castro, J.M.; Davies, A.G. The origin and evolution of breakouts in a cooling-limited rhyolite lava flow. Bull. Geol. Soc. Am. 2019, 131, 137–154. [Google Scholar] [CrossRef]
- Wallace, P.A.; Kendrick, J.E.; Miwa, T.; Ashworth, J.D.; Coats, R.; Utley, J.E.P.; De Angelis, S.H.; Mariani, E.; Biggin, A.; Kendrick, R.; et al. Petrological architecture of a magmatic shear zone: A multidisciplinary investigation of strain localisation during magma ascent at Unzen volcano, Japan. J. Petrol. 2019, 60, 791–826. [Google Scholar] [CrossRef]
- Fink, J.H. Structure and emplacement of a rhyolitic obsidian flow: Little Glass Mountain, Medicine Lake Highland, northern California. GSA Bull. 1983, 94, 362–380. [Google Scholar] [CrossRef]
- von Aulock, F.W.; Nichols, A.R.L.; Kennedy, B.M.; Oze, C. Timescales of texture development in a cooling lava dome. Geochim. Cosmochim. Acta 2013, 114, 72–80. [Google Scholar] [CrossRef]
- Rowe, M.C.; Ellis, B.S.; Lindeberg, A. Quantifying crystallization and devitrification of rhyolites by means of X-ray diffraction and electron microprobe analysis. Am. Mineral. 2012, 97, 1685–1699. [Google Scholar] [CrossRef]
- Castro, J.M.; Beck, P.; Tuffen, H.; Nichols, A.R.L.; Dingwell, D.B.; Martin, M.C. Timescales of spherulite crystallization in obsidian inferred from water concentration profiles. Am. Mineral. 2008, 93, 1816–1822. [Google Scholar] [CrossRef]
- Manga, M.; Voltolini, M.; Wenk, H.R. Microlite orientation in obsidian flow measured by synchrotron X-ray diffraction. Contrib. Mineral. Petrol. 2018, 173, 58. [Google Scholar] [CrossRef]
- Denton, J.S.; Tuffen, H.; Gilbert, J.S. Variations in hydration within perlitised rhyolitic lavas—evidence from Torfajökull, Iceland. J. Volcanol. Geotherm. Res. 2012, 223–224, 64–73. [Google Scholar] [CrossRef]
- Denton, J.S.; Tuffen, H.; Gilbert, J.S.; Odling, N. The hydration and alteration of perlite and rhyolite. J. Geol. Soc. 2009, 166, 895–904. [Google Scholar] [CrossRef]
- Friedman, I.; Smith, R.G.; Long, W.D. Hydration of natural glass and formation of perlite. Geol. Soc. Am. Bull. 1966, 77, 323–328. [Google Scholar] [CrossRef]
- Gránásy, L.; Pusztai, T.; Tegze, G.; Warren, J.A.; Douglas, J.F. Growth and form of spherulites. Phys. Rev. E—Stat. Nonlinear Soft Matter Phys. 2005, 72, 1–15. [Google Scholar] [CrossRef]
- Watkins, J.; Manga, M.; Huber, C.; Martin, M. Diffusion-controlled spherulite growth in obsidian inferred from H2O concentration profiles. Contrib. Mineral. Petrol. 2009, 157, 163–172. [Google Scholar] [CrossRef]
- Lofgren, G. An experimental study of plagioclase crystal morphology: Isothermal crystallization. Am. J. Sci. 1974, 274, 243–273. [Google Scholar] [CrossRef]
- Breitkreuz, C. Spherulites and lithophysae—200 years of investigation on high-temperature crystallization domains in silica-rich volcanic rocks. Bull. Volcanol. 2013, 75, 705. [Google Scholar] [CrossRef]
- Bullock, L.A.; Gertisser, R.; O’Driscoll, B. Spherulite formation in obsidian lavas in the Aeolian Islands, Italy. Period. Mineral. 2017, 86, 37–54. [Google Scholar]
- Tuffen, H.; Dingwell, D.B.; Pinkerton, H. Repeated fracture and healing of silicic magma generate flow banding and earthquakes? Geology 2003, 31, 1089–1092. [Google Scholar] [CrossRef]
- Dobson, P.F.; Kneafsey, T.J.; Hulen, J.; Simmons, A. Porosity, permeability, and fluid flow in the Yellowstone geothermal system, Wyoming. J. Volcanol. Geotherm. Res. 2003, 123, 313–324. [Google Scholar] [CrossRef]
- Stemprok, M.; Dolejš, D.; Müller, A.; Seltmann, R. Textural evidence of magma decompression, devolatilization and disequilibrium quenching: An example from the Western Krušnéhory/Erzgebirge granite pluton. Contrib. Mineral. Petrol. 2008, 155, 93–109. [Google Scholar] [CrossRef]
- Fossen, H. Structural Geology; Cambridge University Press: New York, NY, USA, 2010. [Google Scholar]
- Hodge, K.F.; Carazzo, G.; Jellinek, A.M. Experimental constraints on the deformation and breakup of injected magma. Earth Planet. Sci. Lett. 2012, 325–326, 52–62. [Google Scholar] [CrossRef]
- Payacán, I.; Gutiérrez, F.; Gelman, S.E.; Bachmann, O.; Parada, M.Á. Comparing magnetic and magmatic fabrics to constrain the magma flow record in La Gloria pluton, central Chile. J. Struct. Geol. 2014, 69, 32–46. [Google Scholar] [CrossRef]
- Zhao, S.R.; Bian, Q.J.; Wang, Q.Y. Crystallography and Mineralogy, 2nd ed.; Higher Education Press: Beijing, China, 2010. (In Chinese) [Google Scholar]
- Rafferty, P.J. Rocks (Geology: Landforms, Minerals, and Rocks); Rosen Educational Services: New York, NY, USA, 2012. [Google Scholar]
- Davis, B.K.; McPhie, J. Spherulites, quench fractures and relict perlite in a Late Devonian rhyolite dyke, Queensland, Australia. J. Volcanol. Geoth. Res. 1996, 71, 1–11. [Google Scholar] [CrossRef]






| Texture/Microstructure | Pore Type | Connectivity | Origin | Time of Formation | Reference | |
|---|---|---|---|---|---|---|
| Porphyritic texture | Phenocryst | Embayment pore | Catenary–closed | Deuteric crystal dissolution | Syn-volcanic | [7,10,38] |
| Cleavage | Catenary–cul-de-sac | Crystallization | Pre-volcanic | [39] | ||
| Cavitational fracture | Catenary | Cavitation | Syn-volcanic | [40,41] | ||
| Shear fracture | Catenary | Shear failure | Syn-volcanic | [41,42,43] | ||
| Intracrystalline sieve pore | Catenary–closed | Deuteric crystal dissolution | Syn-volcanic | [7,10,38] | ||
| Groundmass | Flow-parallel laminar pore | Catenary | Ductile–brittle failure | Syn-volcanic | [7,41,44] | |
| Flow-parallel micropore | Catenary | Low-T devitrification | Post-volcanic | [11,45,46,47,48] | ||
| Perlitic texture | Perlitic fracture | Catenary | Hydration | Post-volcanic | [45,49,50,51] | |
| Spherulitic texture | Clustered spherulite | Interspherulite pore | Catenary | High-T devitrification | Syn-volcanic | [47,52,53,54,55,56] |
| Spherulite | Water expulsion pore | Catenary | Expulsion of magmatic water | Syn-volcanic | [47,52,53,55] | |
| Isolated spherulite | Radiating micropore | Catenary | High-T devitrification | Syn-volcanic | [47,52,53,54,55,56] | |
| Lithology | Sample Number | Effective Porosity, FIA (%) | Connectivity, FIA | Texture | |||
|---|---|---|---|---|---|---|---|
| Min | Median | Max | Mean | ||||
| Phenocryst-rich lava | 8 | 4.7 | 11.7 | 29.8 | 14.3 | Fairly good | Porphyritic |
| Perlitic lava | 6 | 2.9 | 9.3 | 31.9 | 10.9 | Moderate | Perlitic |
| Spherulitic rhyolite I | 10 | 4.6 | 11.0 | 19.7 | 11.2 | Fairly good | Spherulitic and perlitic |
| Spherulitic rhyolite II | 10 | 4.8 | 15.7 | 28.5 | 16.8 | Good | Spherulitic and perlitic |
© 2020 by the authors. Licensee MDPI, Basel, Switzerland. This article is an open access article distributed under the terms and conditions of the Creative Commons Attribution (CC BY) license (http://creativecommons.org/licenses/by/4.0/).
Share and Cite
Mao, A.; Zheng, H.; Sun, X. Microstructure Investigation of Oil-Bearing Rhyolites: A Case Study from the Hailar Basin, NE China. Minerals 2020, 10, 699. https://doi.org/10.3390/min10080699
Mao A, Zheng H, Sun X. Microstructure Investigation of Oil-Bearing Rhyolites: A Case Study from the Hailar Basin, NE China. Minerals. 2020; 10(8):699. https://doi.org/10.3390/min10080699
Chicago/Turabian StyleMao, Anqi, Han Zheng, and Xiaomeng Sun. 2020. "Microstructure Investigation of Oil-Bearing Rhyolites: A Case Study from the Hailar Basin, NE China" Minerals 10, no. 8: 699. https://doi.org/10.3390/min10080699
APA StyleMao, A., Zheng, H., & Sun, X. (2020). Microstructure Investigation of Oil-Bearing Rhyolites: A Case Study from the Hailar Basin, NE China. Minerals, 10(8), 699. https://doi.org/10.3390/min10080699

