Possibilities and Limitations of the Use of Seafloor Photographs for Estimating Polymetallic Nodule Resources—Case Study from IOM Area, Pacific Ocean
Abstract
1. Introduction
- The quality of photos and the accuracy of determining the seafloor area covered by each photograph;
- The coverage of nodules with sediments [9];
2. Research Objective and Study Area
- The percentage of seafloor nodule coverage at seafloor photography sites;
- Genetic types of nodules in the context of their fraction distribution;
- Coverage of nodules with bottom sediments;
- Nodules fraction distributions.

3. Materials
4. Analysis of the Factors Affecting the Effectiveness of the Use of Photography to Assess the Nodule Abundance
4.1. Statistics of the Nodule Coverage of the Seafloor and the Grid and the Nodule Abundance in Block H22
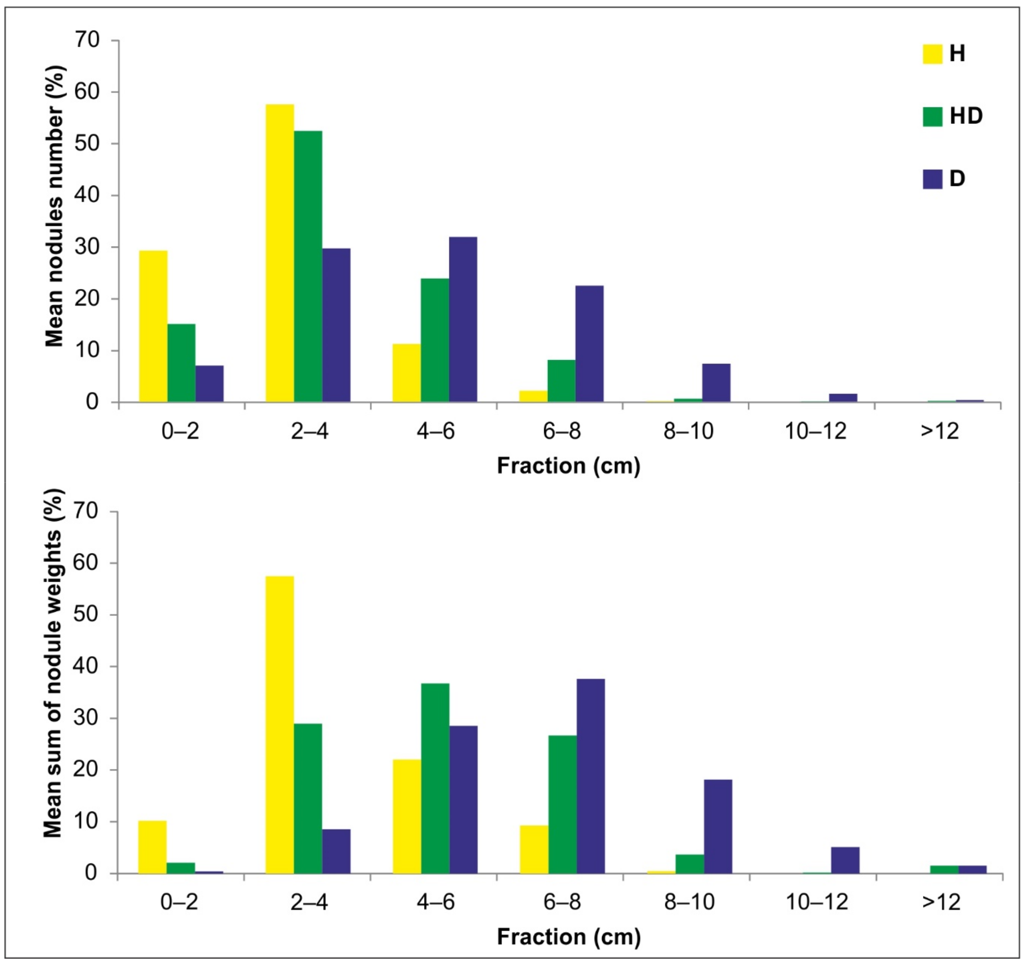
4.2. Genotypes of Nodules and Fraction Distribution
- Type 2: HD (hydrogenetic-diagenetic)—nodules intermediate in size (by convention, from 3 to 6 cm in diameter) with smooth upper and rough lower surface, predominantly ellipsoidal, flattened, and plate-shaped;
- Type 3: D (diagenetic)—large nodules, 6–12 cm in diameter, predominantly discoidal and ellipsoidal in shape and with rough surfaces.

4.3. Homogeneity and Correlation of the Studied Variables
- • Continuous: nodule abundance (APN) and percentage coverage of the seafloor with nodules (NC-S);
- • Categorical (ordinal): genotype of nodules (GT) (hydrogenetic—1, hydrogenetic-diagenetic—2, diagenetic—3) and the degree of nodule coverage (SC) with sediments (low—1, medium—2, high—3, very high—4).
5. Discussion and Conclusions
- Estimation of the abundance of polymetallic nodules at seafloor photographic stations should be based not only on the quantitative assessment of the percentage of seafloor covered with nodules, but also on an approximate visual assessment of the coverage with bottom sediments, and the dominant genetic type of nodules;
- Visual assessment of the degree of seafloor coverage with sediments based on their photographs should be performed by a geologist experienced in photograph analysis or a specialist in related fields and recorded at the ordinal measurement scale as discrete variables;
- Preliminary assessment of the genetic type of nodules based on photographs can be made by determining the dominant classes of the distribution of diameters (fractions) of nodules.
Author Contributions
Funding
Acknowledgments
Conflicts of Interest
References
- Ellefmo, S.L.; Kuhn, T. Application of Soft Data in Nodule Resource Estimation. Nat. Resour. Res. 2020. [Google Scholar] [CrossRef]
- Kuhn, T.; Rühlemann, C.; Wiedicke-Hombach, M.M. Development of Methods and Equipment for the Exploration of Manganese Nodules in the German License Area in the Central Equatorial Pacific; The International Society of Offshore and Polar Engineers: Maui, HI, USA, 2011; pp. 174–177. [Google Scholar]
- Felix, D. Some Problems in Making Nodule Abundance Estimates from Seafloor Photographs. Mar. Min. 1980, 2, 293–302. [Google Scholar]
- Handa, K.; Tsurusaki, K. Manganese Nodules: Relationship between Coverage and Abundance in the Northern Part of Central Pacific Basin. Geol. Surv. Jpn. 1981, 15, 184–217. [Google Scholar]
- Lipton, I.; Nimmo, M.; Stevenson, I. NORI Area D Clarion Clipperton Zone Mineral Resource Estimate. Deep Green Metals Inc. Pacific Ocean; AMC Project 318010; AMC Consultants Pty Ltd.: Perth, WA, Australia, 2019. [Google Scholar]
- Chunhui, T.; Xiaobing, J.; Aifei, B.; Hongxing, L.; Xianming, D.; Jianping, Z.; Chunhua, G.; Tao, W.; Wilkens, R. Estimation of Manganese Nodule Coverage Using Multi-Beam Amplitude Data. Mar. Georesour. Geotechnol. 2015, 33, 283–288. [Google Scholar] [CrossRef]
- Sharma, R.; Sankar, S.J.; Samanta, S.; Sardar, A.A.; Gracious, D. Image Analysis of Seafloor Photographs for Estimation of Deep-Sea Minerals. Geo Mar. Lett. 2010, 30, 617–626. [Google Scholar] [CrossRef]
- Tsune, A.; Okazaki, M. Some Considerations about Image Analysis of Seafloor Photographs for Better Estimation of Parameters of Polymetallic Nodule Distribution. Proceedings of The Twenty-fourth International Ocean and Polar Engineering Conference, International Society of Offshore and Polar Engineers, Busan, Korea, 5–20 June 2014; pp. 72–77. [Google Scholar]
- Jung, M.Y.; Kim, I.K.; Kang, J.K. Analysis of Manganese Nodule Abundance in KODOS Area. Econ. Environ. Geol. 1995, 28, 429–437. [Google Scholar]
- Park, C.-Y.; Park, S.-H.; Kim, C.-W.; Kang, J.-K.; Kim, K.-H. An Image Analysis Technique for Exploration of Manganese Nodules. Mar. Georesour. Geotechnol. 1999, 17, 371–386. [Google Scholar] [CrossRef]
- Tsune, A. Effects of Size Distribution of Deep-Sea Polymetallic Nodules on the Estimation of Abundance Obtained from Seafloor Photographs Using Conventional Formulae. In Proceedings of the Eleventh Ocean Mining and Gas Hydrates Symposium, Big Island, HI, USA, 21–27 June 2015; International Society of Offshore and Polar Engineers: Kona, HI, USA, 2015; p. 7. [Google Scholar]
- Mucha, J.; Wasilewska-Błaszczyk, M. Estimation Accuracy and Classification of Polymetallic Nodule Resources Based on Classical Sampling Supported by Seafloor Photography (Pacific Ocean, Clarion-Clipperton Fracture Zone, IOM Area). Minerals 2020, 10, 263. [Google Scholar] [CrossRef]
- Halbach, P.; Scherhag, C.; Hebisch, U.; Marchig, V. Geochemical and Mineralogical Control of Different Genetic Types of Deep-Sea Nodules from the Pacific Ocean. Miner. Depos. 1981, 16, 59–84. [Google Scholar] [CrossRef]
- Kotliński, R. Relationships Between Nodule Genesis and Topography. In The Eastern Area of the C-C Region; International Seabed Authority: Nadi, Fiji, 2003. [Google Scholar]
- ISA, International Seabed Authority. A Geological Model of Polymetallic Nodule Deposits in the Clarion-Clipperton Fracture Zone. ISA Technical Study; Technical Study: No. 6; ISA, International Seabed Authority: Kingston, Jamaica, 2010; p. 211. [Google Scholar]
- Kuhn, T.; Rathke, M. Report on Visual Data Acquisition in the Field and Interpretation for SMnN. Blue Mining Project; Blue Mining Deliverable D1.31.; European Commission Seventh Framework Programme; Blue Mining; European Commission: Brussels, Belgium, 2017; p. 34. [Google Scholar]
- Sharma, R. Computation of Nodule Abundance from Seabed Photos. In Proceedings of the Offshore Technology Conference, Houston, TX, USA, 1–4 May 1989; pp. 201–212. [Google Scholar] [CrossRef]
- Sharma, R. Assessment of Distribution Characteristics of Polymetallic Nodules and Their Implications on Deep-Sea Mining. In Deep-Sea Mining: Resource Potential, Technical and Environmental Considerations; Sharma, R., Ed.; Springer International Publishing: Cham, Switzerland, 2017; pp. 229–256. [Google Scholar] [CrossRef]
- Sharma, R. Environmental Factors for Design and Operation of Deep-Sea Mining System: Based on Case Studies. In Environmental Issues of Deep-Sea Mining; Sharma, R., Ed.; Springer International Publishing: Cham, Switzerland, 2019; pp. 315–344. [Google Scholar] [CrossRef]
- Sharma, R.; Khadge, N.H.; Jai Sankar, S. Assessing the Distribution and Abundance of Seabed Minerals from Seafloor Photographic Data in the Central Indian Ocean Basin. Int. J. Remote Sens. 2013, 34, 1691–1706. [Google Scholar] [CrossRef]
- Chautru, J.-M.; Morel, Y.; Herrouin, G. Geostatistical Simulation of a Commercial Polymetallic Nodule Mining Site. In Proceedings of the Twentieth International Symposium on the Application of Computers and Mathematics in the Mineral Industries; SAIMM: Johannesburg, South Africa, 1987; Volume 3, pp. 177–185. [Google Scholar]
- Knobloch, A.; Kuhn, T.; Rühlemann, C.; Hertwig, T.; Zeissler, K.-O.; Noack, S. Predictive Mapping of the Nodule Abundance and Mineral Resource Estimation in the Clarion-Clipperton Zone Using Artificial Neural Networks and Classical Geostatistical Methods. In Deep-Sea Mining: Resource Potential, Technical and Environmental Considerations; Sharma, R., Ed.; Springer International Publishing: Cham, Switzerland, 2017; pp. 189–212. [Google Scholar] [CrossRef]
- Wong, L.J.; Kalyan, B.; Chitre, M.; Vishnu, H. Acoustic Assessment of Polymetallic Nodule Abundance Using Sidescan Sonar and Altimeter. IEEE J. Ocean. Eng. 2020, 1–11. [Google Scholar] [CrossRef]
- Gazis, I.-Z.; Schoening, T.; Alevizos, E.; Greinert, J. Quantitative Mapping and Predictive Modeling of Mn Nodules’ Distribution from Hydroacoustic and Optical AUV Data Linked by Random Forests Machine Learning. Biogeosciences 2018, 15, 7347–7377. [Google Scholar] [CrossRef]
- Maciąg, Ł.; Harff, J. Application of Multivariate Geostatistics for Local-Scale Lithological Mapping–Case Study of Pelagic Surface Sediments from the Clarion-Clipperton Fracture Zone, North-Eastern Equatorial Pacific (Interoceanmetal Claim Area). Comput. Geosci. 2020, 139, 104474. [Google Scholar] [CrossRef]
- Toro, N.; Robles, P.; Jeldres, R.I. Seabed Mineral Resources, an Alternative for the Future of Renewable Energy: A Critical Review. Ore Geol. Rev. 2020, 126, 103699. [Google Scholar] [CrossRef]
- Petersen, S.; Krätschell, A.; Augustin, N.; Jamieson, J.; Hein, J.R.; Hannington, M.D. News from the Seabed–Geological Characteristics and Resource Potential of Deep-Sea Mineral Resources. Mar. Policy 2016, 70, 175–187. [Google Scholar] [CrossRef]
- Toro, N.; Jeldres, R.I.; Órdenes, J.A.; Robles, P.; Navarra, A. Manganese Nodules in Chile, an Alternative for the Production of Co and Mn in the Future—A Review. Minerals 2020, 10, 674. [Google Scholar] [CrossRef]
- Watzel, R.; Rühlemann, C.; Vink, A. Mining Mineral Resources from the Seabed: Opportunities and Challenges. Mar. Policy 2020, 114, 103828. [Google Scholar] [CrossRef]
- Hein, J.R.; Koschinsky, A.; Kuhn, T. Deep-Ocean Polymetallic Nodules as a Resource for Critical Materials. Nat. Rev. Earth Environ. 2020, 1, 158–169. [Google Scholar] [CrossRef]
- Abramowski, T.; Stoyannova, V. Deep-Sea Polymetallic Nodules: Renewed Interest as Resources for Environmentally Sustainable Development. In Proceedings of the 12th International Multidisciplinary Scientific GeoConference, SGEM2012 Conference Proceedings, Albena, Bulgaria, 17–23 June 2012; Volume 1, pp. 515–522. [Google Scholar] [CrossRef]
- Hein, J.R.; Mizell, K.; Conrad, T.A. Deep-Ocean Mineral Deposits as a Source of Critical Metals for High- and Green-Technology Applications: Comparison with Land-Based Resources. Ore Geol. Rev. 2013, 51, 1–14. [Google Scholar] [CrossRef]
- Pérez, K.; Villegas, Á.; Saldaña, M.; Jeldres, R.I.; González, J.; Toro, N. Initial Investigation into the Leaching of Manganese from Nodules at Room Temperature with the Use of Sulfuric Acid and the Addition of Foundry Slag—Part II. Sep. Sci. Technol. 2020, 1–6. [Google Scholar] [CrossRef]
- Toro, N.; Saldaña, M.; Castillo, J.; Higuera, F.; Acosta, R. Leaching of Manganese from Marine Nodules at Room Temperature with the Use of Sulfuric Acid and the Addition of Tailings. Minerals 2019, 9, 289. [Google Scholar] [CrossRef]
- Usui, A.; Hino, H.; Suzushima, D.; Tomioka, N.; Suzuki, Y.; Sunamura, M.; Kato, S.; Kashiwabara, T.; Kikuchi, S.; Uramoto, G.-I.; et al. Modern Precipitation of Hydrogenetic Ferromanganese Minerals during On-Site 15-Year Exposure Tests. Sci. Rep. 2020, 10, 3558. [Google Scholar] [CrossRef] [PubMed]
- Usui, A.; Nishi, K.; Sato, H.; Nakasato, Y.; Thornton, B.; Kashiwabara, T.; Tokumaru, A.; Sakaguchi, A.; Yamaoka, K.; Kato, S.; et al. Continuous Growth of Hydrogenetic Ferromanganese Crusts since 17Myr Ago on Takuyo-Daigo Seamount, NW Pacific, at Water Depths of 800–5500 m. Ore Geol. Rev. 2017, 87, 71–87. [Google Scholar] [CrossRef]
- Blengini, G.A.; Latunussa, C.E.; Eynard, U.; de Torres Matos, C.; Wittmer, D.; Georgitzikis, K.; Pavel, C.; Carrara, S.; Mancini, L.; Unguru, M.; et al. Study on the EU’s List of Critical Raw Materials–Final Report; European Commission: Luxemburg, 2020. [Google Scholar]
- Kotlinski, R.A. Activities of the Interoceanmetal Joint Organization (IOM) in Relation to Deep Seabed Mineral Resources Development. In Proceedings of the Seabed: The New Frontier, Madrid, Spain, 24–26 February 2010; ISA: Madrid, Spain, 2010; p. 29. [Google Scholar]
- Polish Geological Institute—National Research Institute. Technical Report on the Interoceanmetal Joint Organization Polymetallic Nodules Project in the Pacific Ocean Clarion-Clipperton Fracture Zone. Part 1; Polish Geological Institute—National Research Institute: Warsaw, Poland, 2016; p. 147. [Google Scholar]
- Balaz, P.; Krawcewicz, A.; Abramowski, T. 30 Years of Deep Seabed Exploration; Interoceanmetal: Szczecin, Poland, 2017. [Google Scholar]
- Rühlemann, C.; Kuhn, T.; Wiedicke, M.; Kasten, S.; Mewes, K.; Picard, A. Current Status of Manganese Nodule Exploration In the German License Area. In Proceedings of the Ninth (2011) ISOPE Ocean Mining Symposium, Maui, HI, USA, 19–24 June 2011; The International Society of Offshore and Polar Engineers: Maui, HI, USA, 2011; pp. 168–173. [Google Scholar]
- Glasby, G.P.; Li, J.; Sun, Z. Deep-Sea Nodules and Co-Rich Mn Crusts. Mar. Georesour. Geotechnol. 2015, 33, 72–78. [Google Scholar] [CrossRef]
- Kazmin, Y. Existing Geological Information in Respect of Polymetallic Nodules. In Establishment of a Geological Model of Polymetallic Nodule Deposits in the Clarion-Clipperton Fracture Zone of the Equatorial North Pacific Ocean; ISA: Kingston, Jamaica, 2009; pp. 106–144. [Google Scholar]
- Hein, J.R.; Koschinsky, A.; Halbach, P.; Manheim, F.T.; Bau, M.; Kang, J.-K.; Lubick, N. Iron and Manganese Oxide Mineralization in the Pacific. Geol. Soc. Spec. Publ. 1997, 119, 123138. [Google Scholar] [CrossRef]
- Clarion-Clipperton Fracture Zone Exploration Areas for Polymetallic Nodules. Available online: https://www.isa.org.jm/contractors/exploration-areas (accessed on 20 January 2020).
- Sterk, R.; Stein, J.K. Seabed Mineral Deposits: An Overview of Sampling Techniques and Future Developments; Deep Sea Mining Summit: Aberdeen, Scotland, 2015; p. 29. [Google Scholar]
- Dreiseitl, I. Deep Sea Exploration for Metal Reserves–Objectives, Methods and Look into the Future. In Deep Sea Mining Value Chain: Organization, Technology and Development; Abramowski, T., Ed.; Interoceanmetal Join Organization: Szczecin, Poland, 2016; pp. 105–117. [Google Scholar]
- Schoening, T.; Kuhn, T.; Nattkemper, T.W. Estimation of Poly-Metallic Nodule Coverage in Benthic Images. In Proceedings of the 41st Conference of the Underwater Mining Institute (UMI), Shanghai, China, 15–20 October 2012. [Google Scholar]
- Sinclair, A.J.; Blackwell, G.H. Applied Mineral Inventory Estimation; Cambridge University Press: Cambridge, NY, USA; Melbourne, VIC, Australia, 2006. [Google Scholar]
- Mucha, J.; Wasilewska-Blaszczyk, M.; Kotlinski, R.A.; Maciag, L. Variability and Accuracy of Polymetallic Nodules Abundance Estimations in the IOM Area-Statistical and Geostatistical Approach. In Proceedings of the Tenth ISOPE Ocean Mining and Gas Hydrates Symposium; Szczecin, Poland, 22–26 September 2013, International Society of Offshore and Polar Engineers: Szczecin, Poland, 2013; pp. 27–31. [Google Scholar]
- Sharma, R.; Kodagali, V.N. Influence of Seabed Topography on the Distribution of Manganese Nodules and Associated Features in the Central Indian Basin: A Study Based on Photographic Observations. Mar. Geol. 1993, 110, 153–162. [Google Scholar] [CrossRef]
- Kotlinski, R.; Stoyanova, V. Buried and Surface Polymetallic Nodule Distribution in the Eastern Clarion-Clipperton Zone: Main Distinctions and Similarities. In Advances in Geosciences; Advances in Geosciences; World Scientific Publishing Company: Singapore, 2007; Volume 9, pp. 67–74. [Google Scholar] [CrossRef]
- Games, P.A.; Howell, J.F. Pairwise Multiple Comparison Procedures with Unequal N’s and/or Variances: A Monte Carlo Study. J. Educ. Stat. 1976, 1, 113–125. [Google Scholar] [CrossRef]
- STATGRAPHICS® Centurion XVII User Manual. Available online: http://statvision.com/user_guide.htm (accessed on 10 November 2020).
- Mucha, J.; Wasilewska-Blaszczyk, M. Estimating the Resources of Polymetallic Nodules in the Pacific on the Basis of Their Genetic Characteristics and Geostatistical Methods (Clarion-Clipperton Zone, The Interoceanmetal Area). In Proceedings of the 18th International Multidisciplinary Scientific Geoconference SGEM 2018, Albena, Bulgaria, 2–8 July 2018; Exploration and Mining: Albena, Bulgaria, 2018; Volume 18, pp. 407–414. [Google Scholar] [CrossRef]










| Parameter | Cruise Year | Count | Mini-mum | Maxi-mum | Arithmetic Mean | Standard Deviation | Coeff. of Variation | Skewness | Stnd. Skewness | Stnd. Kurtosis |
|---|---|---|---|---|---|---|---|---|---|---|
| APN (kg/m2) | 2014 | 48 | 1.5 | 19.3 | 12.5 | 4.4 | 35.3 | −0.62 | −1.76 | −0.23 |
| 2019 | 20 | 6.9 | 23.1 | 15.9 | 4.4 | 27.9 | −0.19 | −0.35 | −0.68 | |
| 2014 + 2019 | 68 | 1.5 | 23.1 | 13.5 | 4.6 | 34.4 | −0.38 | −1.29 | −0.10 | |
| NC-T (%) | 2014 | 48 | 5.2 | 63.2 | 41.4 | 12.5 | 30.1 | −1.08 | −3.04 | 2.02 |
| 2019 | 20 | 24.0 | 70.0 | 55.0 | 10.7 | 19.4 | −1.03 | −1.88 | 2.18 | |
| 2014 + 2019 | 68 | 5.2 | 70 | 45.4 | 13.4 | 29.6 | −0.80 | −2.70 | 1.87 | |
| NC-S (%) | 2014 | 48 | 7.0 | 72.0 | 37.9 | 13.3 | 35.1 | −0.37 | −1.06 | 0.56 |
| 2019 | 20 | 18.0 | 59.0 | 43.3 | 10.3 | 23.7 | −1.00 | −1.82 | 1.02 | |
| 2014 + 2019 | 68 | 7.0 | 72 | 39.5 | 12.6 | 32.0 | −0.56 | −1.89 | 0.77 |
| Genetic Type | Number of Sampling Sites | APN | NC-S | NC-T | |||||||||
|---|---|---|---|---|---|---|---|---|---|---|---|---|---|
| Mean | Group 1 | Group 2 | Group 3 | Mean | Group 1 | Group 2 | Group 3 | Mean | Group 1 | Group 2 | Group 3 | ||
| H | 8 | 8.41 | X | 46.1 | X | 42.2 | X | ||||||
| HD | 17 | 11.25 | X | 42.2 | X | 44.4 | X | ||||||
| D | 43 | 15.29 | X | 37.2 | X | 46.4 | X | ||||||
| Correlation p-Value | Kendall’s Tau-b Rank Correlation | ||||
|---|---|---|---|---|---|
| APN (kg/m2) | NC-S (%) | GT | SC | ||
| Spearman Rank Correlation | APN (kg/m2) | X | 0.408 * 0.001 * | 0.514 0.000 | −0.169 0.079 |
| NC-S (%) | - | X | −0.207 0.035 | −0.573 0.000 | |
| GT | 0.623 0.000 | −0.258 0.035 | X | 0.088 0.433 | |
| SC | −0.219 0.073 | −0.685 0.000 | 0.095 0.437 | X | |
Publisher’s Note: MDPI stays neutral with regard to jurisdictional claims in published maps and institutional affiliations. |
© 2020 by the authors. Licensee MDPI, Basel, Switzerland. This article is an open access article distributed under the terms and conditions of the Creative Commons Attribution (CC BY) license (http://creativecommons.org/licenses/by/4.0/).
Share and Cite
Wasilewska-Błaszczyk, M.; Mucha, J. Possibilities and Limitations of the Use of Seafloor Photographs for Estimating Polymetallic Nodule Resources—Case Study from IOM Area, Pacific Ocean. Minerals 2020, 10, 1123. https://doi.org/10.3390/min10121123
Wasilewska-Błaszczyk M, Mucha J. Possibilities and Limitations of the Use of Seafloor Photographs for Estimating Polymetallic Nodule Resources—Case Study from IOM Area, Pacific Ocean. Minerals. 2020; 10(12):1123. https://doi.org/10.3390/min10121123
Chicago/Turabian StyleWasilewska-Błaszczyk, Monika, and Jacek Mucha. 2020. "Possibilities and Limitations of the Use of Seafloor Photographs for Estimating Polymetallic Nodule Resources—Case Study from IOM Area, Pacific Ocean" Minerals 10, no. 12: 1123. https://doi.org/10.3390/min10121123
APA StyleWasilewska-Błaszczyk, M., & Mucha, J. (2020). Possibilities and Limitations of the Use of Seafloor Photographs for Estimating Polymetallic Nodule Resources—Case Study from IOM Area, Pacific Ocean. Minerals, 10(12), 1123. https://doi.org/10.3390/min10121123
