Thermal Disturbances in Permafrost Due to Open Pit Mining and Tailings Impoundment
Abstract
1. Introduction
2. The Proposed Kiggavik Project
2.1. Geology of the Kiggavik Project Area
2.2. Climate Data of the Kiggavik Site
2.3. The Proposed Mine and Tailings Management Plan
3. Climate Change Considered for Long-Term Simulations
4. Numerical Simulation of Thermal Disturbances in Permafrost
4.1. Heat Transfer with Phase Change in Porous Media
4.2. Freezing Point Depression
Freezing Point Depression at the Proposed Kiggavik Project
4.3. Initial and Boundary Conditions
4.4. Material Properties
5. Results and Discussion
5.1. Thermal Disturbances during the Mine and Mill Operation
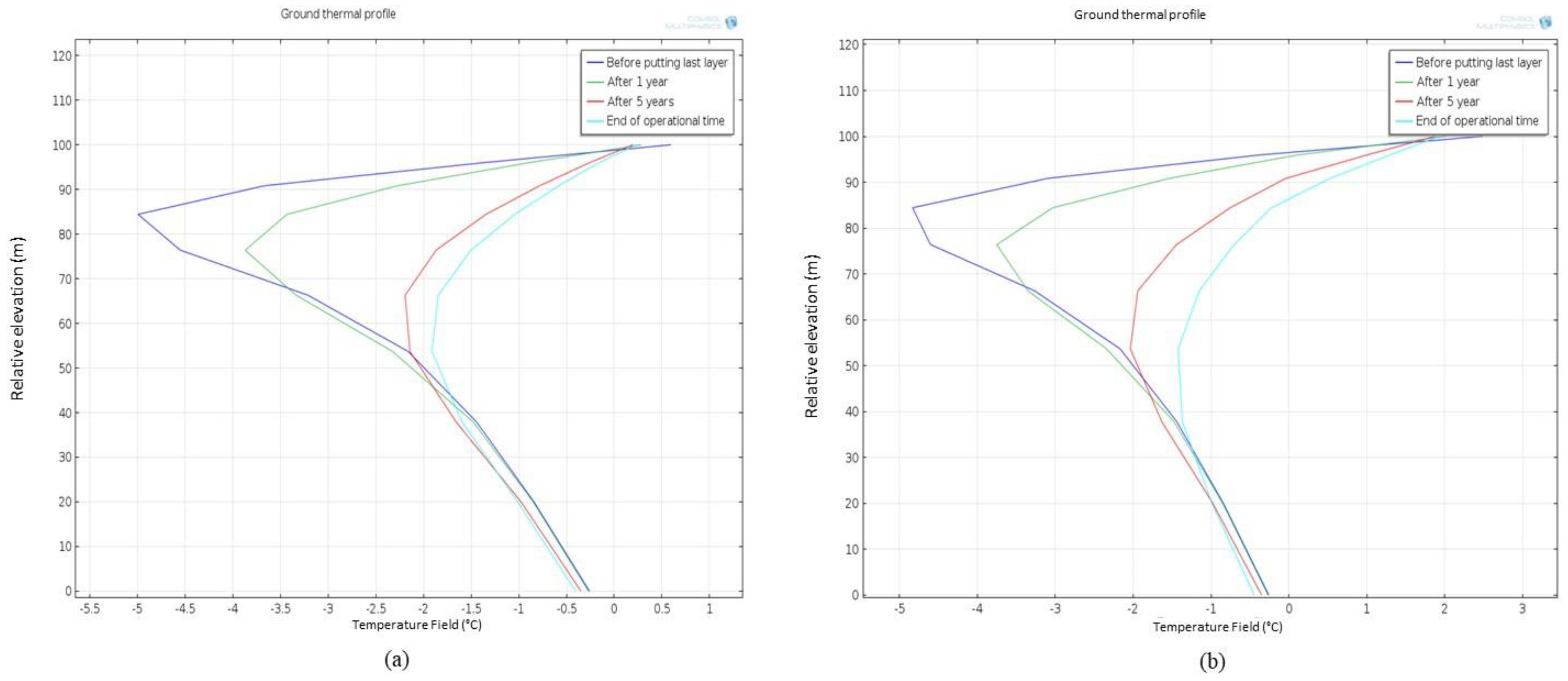
5.1.1. The Center Zone
5.1.2. The Main Zone
5.2. Long-Term Thermal Disturbance with Consideration of Climate Change
6. Summary and Conclusion
Author Contributions
Funding
Acknowledgments
Conflicts of Interest
References
- Heginbottom, J.A.; Dubreuil, M.A.; Harker, P.A. Canada: Permafrost. National Atlas of Canada, 5th ed. In Natural Resources of Canada: MCR 4177; Natural Resources Canada: Ottawa, ON, Canada, 1995. [Google Scholar]
- Lachenbruch, A.H.; Brewer, M.C.; Greene, G.W.; Marshall, B.V. Temperatures in Permafrost, in Temperature—Its Measurement and Control in Science and Industry; Reinhold: New York, NY, USA, 1962; Volume 3, pp. 791–803. [Google Scholar]
- Mackay, J.R. A full-scale field experiment (1978–1995) on the growth of permafrost by means of lake drainage, western Arctic coast: A discussion of the method and some results. Can. J. Earth Sci. 1997, 34, 17–33. [Google Scholar] [CrossRef]
- Burn, C.R. Tundra lakes and permafrost, Richards Island, Western Arctic Coast, Canada. Can. J. Earth Sci. 2002, 39, 1281–1298. [Google Scholar] [CrossRef]
- Johnston, G.H.; Brown, R.J.E. Some Observations on Permafrost Distribution at a Lake in the Mackenzie Delta, N.W.T.: Canada. Arctic 1964, 17, 162–175. [Google Scholar] [CrossRef][Green Version]
- Ling, F.; Zhang, T. Numerical simulation of permafrost thermal regime and talik development under shallow thaw lakes on the Alaskan Arctic Coastal Plain. J. Geophys. Res. 2003, 108, 4511. [Google Scholar] [CrossRef]
- Zhou, W.; Huang, S.L. Modeling impacts of thaw lakes to ground thermal regime in northern Alaska. J. Cold Reg. Eng. 2004, 18, 70–87. [Google Scholar] [CrossRef]
- West, J.J.; Plug, L.J. Time-dependent morphology of thaw lakes and taliks in deep and shallow ground ice. J. Geophys. Res. 2008, 113, F01009. [Google Scholar] [CrossRef]
- Plug, L.J.; West, J.J. Thaw lake expansion in a two-dimensional coupled model of heat transfer, thaw subsidence, and mass movement. J. Geophys. Res. 2009, 114, F01002. [Google Scholar] [CrossRef]
- Rowland, J.C.; Travis, B.J.; Wilson, C.J. The role of advective heat transport in talik development beneath lakes and ponds in discontinuous permafrost. Geophys. Res. Lett. 2011, 38, L17504. [Google Scholar] [CrossRef]
- Jafarov, E.E.; Marchenko, S.S.; Romanovsky, V.E. Numerical modeling of permafrost dynamics in Alaska using a high spatial resolution dataset. Cryosphere 2012, 6, 613–624. [Google Scholar] [CrossRef]
- Kessler, M.A.; Plug, L.J.; Walter, K.M. Simulating the decadal—To millennial-scale dynamics of morphology and sequestered carbon mobilization of two thermokarst lakes in NW Alaska. J. Geophys. Res. 2012, 117, G00M06. [Google Scholar] [CrossRef]
- Matell, N.; Anderson, R.S.; Overeem, I.; Wobus, C.; Urban, F.E.; Clow, G.D. Modeling the subsurface thermal impact of Arctic thaw lakes in a warming climate. Comput. Geosci. 2013, 53, 69–79. [Google Scholar] [CrossRef]
- Li, S.; Zhan, H.; Lai, Y.; Sun, Z.; Pei, W. The coupled moisture-heat process of permafrost around a thermokarst pond in Qinghai-Tibet Plateau under global warming. J. Geophys. Res. 2014, 119, 836–853. [Google Scholar] [CrossRef]
- Ling, F.; Wu, Q.B.; Niu, F.J.; Zhang, T.J. Modeled response of talik development under thermokarst lakes to permafrost thickness on the Qinghai-Tibet Plateau. Sci. Cold Arid Reg. 2014, 6, 0521–0530. [Google Scholar] [CrossRef]
- Jafarov, E.E.; Coon, E.T.; Harp, D.R.; Wilson, C.J.; Painter, S.L.; Atchley, A.L.; Romanovsky, V.E. Modelling the role of preferential snow accumulation in through talik development and hillslope groundwater flow in a transitional permafrost landscape. Environ. Res. Lett. 2018, 13, 105006. [Google Scholar] [CrossRef]
- Ling, F.; Zhang, T. Progress in numerical simulation of long-term impact of thermokarst lakes on permafrost thermal regime. Adv. Earth Sci. 2018, 33, 51–66. [Google Scholar]
- Yin, G.; Zheng, H.; Niu, F.; Luo, J.; Lin, Z.; Liu, M. Numerical Mapping and Modeling Permafrost Thermal Dynamics across the Qinghai-Tibet Engineering Corridor, China Integrated with Remote Sensing. Remote Sens. 2018, 10, 2069. [Google Scholar] [CrossRef]
- Ling, F.; Pan, F. Quantifying Impacts of Mean Annual Lake Bottom Temperature on Talik Development and Permafrost Degradation below Expanding Thermokarst Lakes on the Qinghai-Tibet Plateau. Water 2019, 11, 706. [Google Scholar] [CrossRef]
- Areva Resources Canada Inc. Kiggavik Project Final Environmental Impact Statement; Areva Resources Canada Inc.: Saskatoon, SK, Canada, 2014. [Google Scholar]
- International Panel on Climate Change. Climate Change 2014—Impacts, Adaptation and Vulnerability: Regional Aspects; Cambridge University Press: Cambridge, UK; New York, NY, USA, 2014. [Google Scholar]
- Dagher, E.E.; Nguyen, T.S.; Su, G. Numerical Modelling of Coupled Heat Transfer and Groundwater Flow: Applications to Tailings Management Facility in Permafrost Environments in Northern Canada. In Proceedings of the 65th Canadian Geotechnical Conference, Winnipeg, MB, Canada, 30 September–3 October 2012; 10p. [Google Scholar]
- Booshehrian, A.; Wan, R. Numerical Modelling of Mining Operational Sequences and Related Issues, Part 2 of Final Report for Contract 870055-11-0480: R493.1; Canadian Nuclear Safety Commission: Ottawa, ON, Canada, 2015.
- Mottaghy, D.; Rath, V. Latent heat effects in subsurface heat transport modelling and their impact on palaeo-temperature reconstructions. Int. J. Geophys. 2006, 164, 236–245. [Google Scholar] [CrossRef]
- Noetzli, J.; Gruber, S. Transient thermal effects in Alpine permafrost. Cryosphere 2009, 3, 85–99. [Google Scholar] [CrossRef]
- Thomson, W. On equilibrium of vapour at a curved surface of a liquid. Philo. Mag. 1871, 42, 448–452. [Google Scholar] [CrossRef]
- Liu, Z.; Muldrew, K.; Wan, R.G.; Elliot, J.A.W. Measurement of freezing point depression of water in glass capillaries and the associated ice front shape. Phys. Rev. E 2003, 67, 061602. [Google Scholar] [CrossRef]
- Woodruff, D.P. The Solid-Liquid Interface; Cambridge University Press: London, UK, 1973. [Google Scholar]
- Hiling, W.B. Measurement of interface free energy for ice/water system. J. Cryst. Growth 1998, 183, 463–468. [Google Scholar]
- Klene, A.E.; Nelson, F.E.; Shiklomanov, N.I.; Hinkel, K.M. The N-Factor in Natural Landscapes: Variability of Air and Soil-Surface Temperatures, Kuparuk River Basin, Alaska, USA. Arct. Antarct. Alp. Res. 2001, 33, 140–148. [Google Scholar] [CrossRef]
- Booshehrian, A.; Wan, R.; Su, X. Hydraulic variations in permafrost due to open-pit mining and climate change: A case study in the Canadian Arctic. Acta Geotech. 2019. [Google Scholar] [CrossRef]




















| Month | Warmest and Coldest Day in the Month | Mean Monthly °C | |||
|---|---|---|---|---|---|
| Extremes | Means | ||||
| Maximum °C | Minimum °C | Maximum °C | Minimum °C | ||
| May (a) | −0.9 | −18.9 | −7.4 | −12.0 | −9.6 |
| June | 20.8 | −6.6 | 8.4 | 0.2 | 4.6 |
| July | 22.4 | 1.3 | 16.3 | 6.6 | 11.7 |
| August | 22.3 | 0.3 | 14.2 | 5.5 | 9.8 |
| September (b) | 11.5 | 3.7 | - | - | - |
| October | 2.3 | −23.9 | −6.0 | −9.7 | −7.8 |
| November | −5.2 | −24.2 | −12.9 | −18.8 | −15.8 |
| December | −8.1 | −34.6 | −20.7 | −25.8 | −23.4 |
| Month | Warmest and Coldest Day in the Month | Mean Monthly °C | |||
|---|---|---|---|---|---|
| Extremes | Means | ||||
| Maximum °C | Minimum °C | Maximum °C | Minimum °C | ||
| January | −8.3 | −33.9 | −22.0 | −28.1 | −25.2 |
| February | −11.8 | −39.1 | −22.7 | −27.6 | −25.1 |
| March | −5.8 | −31.9 | −15.4 | −21.1 | −18.2 |
| April | 0.6 | −19.4 | −5.5 | −10.6 | −7.9 |
| May | −1.2 | −17.1 | −5.7 | −10.1 | −7.7 |
| June | 18.7 | −5.4 | 7.5 | 0.8 | 4.4 |
| July | 23.8 | 2.7 | 17.2 | 8.2 | 12.9 |
| August (a) | 21.8 | 1.6 | 14.6 | 6.3 | 10.4 |

Not Excavated;
Excavated;
Backfilled with Tailings.| Open Pit | Excavation Duration (Year) | Proposed Excavation Steps | Proposed Backfilling Steps | Open Pit Depth (m) | Thickness of Excavation Layers (m) | Thickness of Backfilling Layers (m) |
|---|---|---|---|---|---|---|
| East Zone | 1 | 2 | 2 | 100 | 50 | 50 |
| Center Zone | 1 | 2 | 2 | 110 | 55 | 55 |
| Main Zone | 5 | 10 | 6 | 235 | 23.5 | 23.5 |
| Material | Thermal Conductivity W/m·K | Volumetric Heat Capacity KJ/m3·K | Porosity | Volumetric Ice/Water Content % | ||
|---|---|---|---|---|---|---|
| Unfrozen | Frozen | Unfrozen | Frozen | |||
| Overburden | 1.90 | 2.00 | 1678 | 1565 | 0.20 | 5 |
| Metasediment | 2.90 | 2.97 | 1880 | 1812 | 0.03 | 3 |
| Granite | 2.97 | 2.99 | 1832 | 1810 | 0.01 | 1 |
| Tailings | 1.35 | 2.35 | 3055 | 1885 | 0.52 | 52 |
| Waste rock traffic | 1.56 | 1.86 | 2099 | 1722 | 0.30 | 18 |
| Waste rock | 0.82 | 0.86 | 1597 | 1471 | 0.30 | 6 |
© 2019 by the authors. Licensee MDPI, Basel, Switzerland. This article is an open access article distributed under the terms and conditions of the Creative Commons Attribution (CC BY) license (http://creativecommons.org/licenses/by/4.0/).
Share and Cite
Booshehrian, A.; Wan, R.; Su, G. Thermal Disturbances in Permafrost Due to Open Pit Mining and Tailings Impoundment. Minerals 2020, 10, 35. https://doi.org/10.3390/min10010035
Booshehrian A, Wan R, Su G. Thermal Disturbances in Permafrost Due to Open Pit Mining and Tailings Impoundment. Minerals. 2020; 10(1):35. https://doi.org/10.3390/min10010035
Chicago/Turabian StyleBooshehrian, Ahmad, Richard Wan, and Grant Su. 2020. "Thermal Disturbances in Permafrost Due to Open Pit Mining and Tailings Impoundment" Minerals 10, no. 1: 35. https://doi.org/10.3390/min10010035
APA StyleBooshehrian, A., Wan, R., & Su, G. (2020). Thermal Disturbances in Permafrost Due to Open Pit Mining and Tailings Impoundment. Minerals, 10(1), 35. https://doi.org/10.3390/min10010035

