Multisensory Health and Well-Being of Chinese Classical Gardens: Insights from Humble Administrator’s Garden
Abstract
1. Introduction
- (1)
- Verify the positive effects of the traditional garden environment at the Humble Administrator’s Garden on human health.
- (2)
- Analyze the restorative benefits of various landscape environments in the Humble Administrator’s Garden and compare the differences and reasons behind different combinations of landscape elements and sensory channels.
- (3)
- Investigate the differences and reasons for psychological and physiological indicators within the same landscape environment as the Humble Administrator’s Garden.
2. Materials and Methods
2.1. Study Site and Time Period
2.2. Participants and Group
2.3. Experimental Methods and Procedure
2.3.1. Pre-Survey
2.3.2. Psychological Data Collection
- -
- TMD represents the total mood disturbance score, with lower values indicating a more positive emotional state.
- -
- TEN = tension, ANG = anger, FAT = fatigue, DEP = depression, CON = confusion, VIG = vigor, and ERA = self-esteem.
2.3.3. Physiological Data Collection
- Skin Temperature (SKT, °C): Reflects thermal regulation; lower skin temperatures are associated with better emotional and physiological states [43].
- Skin Conductance (SC, µS): Indicates stress levels; higher values reflect increased sympathetic nervous activity [43].
- Average Heart Rate (AVHR, bpm): Reflects emotional and physiological states; lower rates suggest stability, while higher rates indicate arousal or stress [44].
- High-Frequency Power (HF, ms2): Represents parasympathetic activity; higher values suggest relaxation and good health [45].
- Low-Frequency to High-Frequency Power Ratio (LF/HF, ms2): Indicates sympathetic dominance; higher ratios suggest increased stress [46].
- Standard Deviation of Normal-to-Normal (NN) Intervals (SDNN, ms): Measures heart rate variability (HRV); higher values indicate better autonomic regulation and cardiovascular health [47].
- Root Mean Square of Successive Differences (RMSSD, ms): Reflects short-term HRV and parasympathetic activity; higher values indicate stronger recovery and better health [44].
2.4. Statistical and Analytical Methods
2.4.1. Psychological Data Processing
2.4.2. Physiological Data Processing
3. Results
3.1. Psychological Data
3.1.1. Pre-Entry and Post-Entry Data
3.1.2. Comparison of Data Results for Each Site
3.2. Physiological Data
3.2.1. Hypothesis Testing
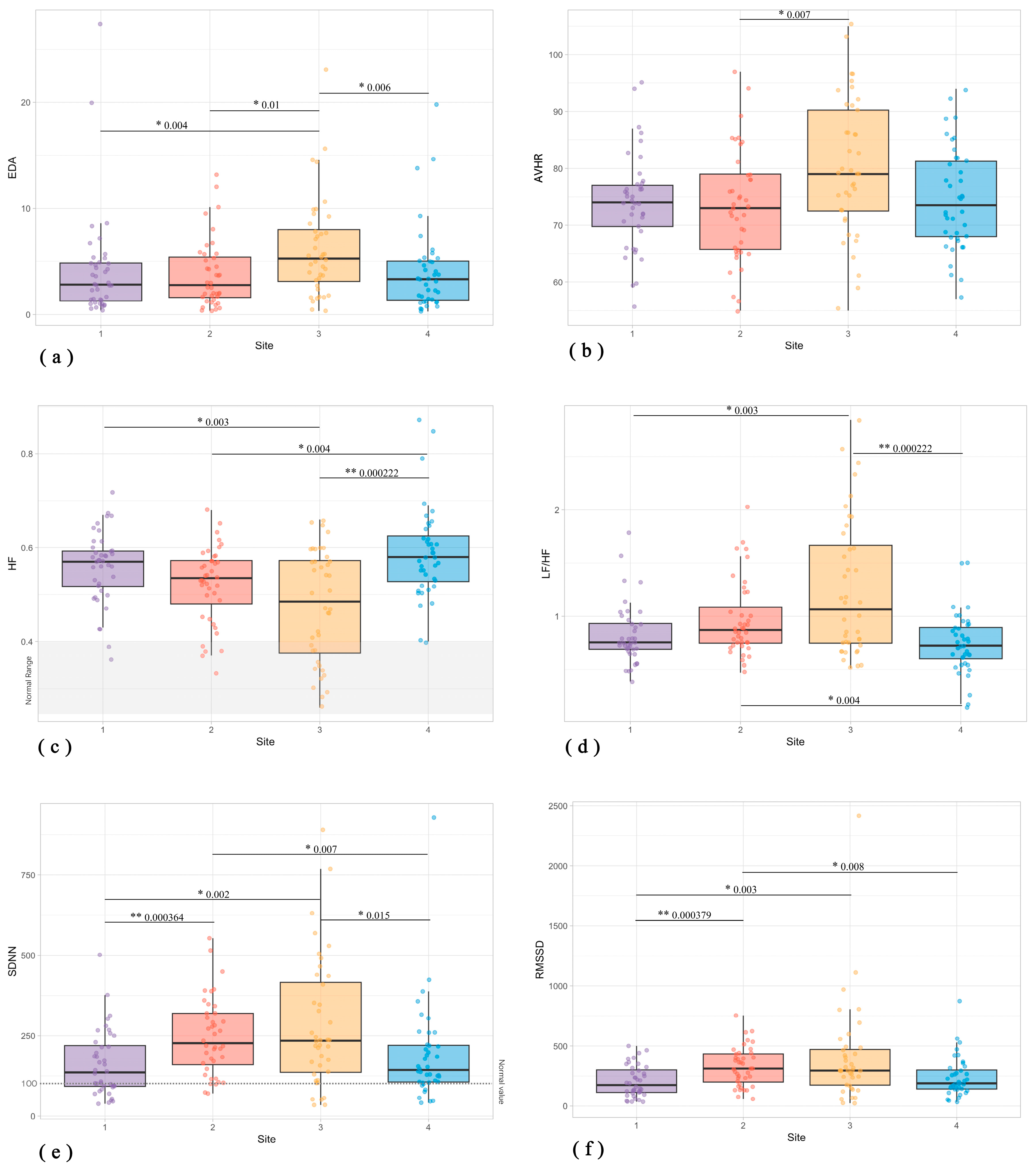
3.2.2. Skin Conductance (SC)
3.2.3. Average Heart Rate (AVHR)
3.2.4. High-Frequency Power (HF)
3.2.5. Low-Frequency to High-Frequency Ratio (LF/HF)
3.2.6. Standard Deviation of NN Intervals (SDNN)
3.2.7. Root Mean Square of Successive Differences (RMSSD)
3.3. Comparison of Psychological and Physiological Data
4. Discussion
4.1. Visual Landscape Diversity and Sensory Coordination for Health and Well-Being
4.2. Perceptual Differences in Psycho-Physiological Responses in Multisensory Scenes
4.3. Health Insights from Chinese Classical Gardens for Urban Green Space Design
4.4. Limitations and Future Directions
5. Conclusions
Author Contributions
Funding
Institutional Review Board Statement
Data Availability Statement
Acknowledgments
Conflicts of Interest
Abbreviations
References
- Yin, C.; Liu, J.; Sun, B. Effects of built and natural environments on leisure physical activity in residential and workplace neighborhoods. Health Place 2023, 81, 103018. [Google Scholar] [CrossRef]
- Xie, J.; Luo, S.; Furuya, K.; Kagawa, T.; Yang, M. A preferred road to mental restoration in the Chinese classical garden. Sustainability 2022, 14, 4422. [Google Scholar] [CrossRef]
- Zhang, X.; Li, X. On the Health Thoughts in Chinese Classical Garden: Taking the Imperial Garden in Qing Dynasty as Example. Chin. Landsc. Archit. 2019, 35, 28–33. [Google Scholar] [CrossRef]
- Bunkše, E.V. Sensescapes: Or a Paradigm Shift from Words and Images to All Human Senses in Creating Feelings of Home in Landscapes. Proc. Latv. Univ. Agric. Landsc. Archit. Art 2012, 1, 10. [Google Scholar]
- Da Silva, O.; Crilly, N.; Hekkert, P. How people’s appreciation of products is affected by their knowledge of the designers’ intentions. J. Int. J. Des. 2015, 9, 21–33. Available online: https://www.researchgate.net/publication/281437017 (accessed on 4 February 2025).
- Arnheim, R. Art and Visual Perception: A Psychology of the Creative Eye; Univ. of California Press: Berkeley, CA, USA, 1954. [Google Scholar]
- Bell, S. Landscape: Pattern, Perception and Process; Routledge: London, UK, 2012. [Google Scholar]
- Liang, H.; Li, W.; Zhang, Q. Semantic-based 3D information modelling and documentation of rockeries in Chinese Classical Gardens: A case study on the rockery at Huanxiu Shanzhuang, Suzhou, China. J. Cult. Herit. 2019, 37, 247–258. [Google Scholar] [CrossRef]
- Guo, S.; Zhou, Y.; Yu, J.; Yang, L. Effects of the Combination of Audio and Visual Factors on Mental Restoration in a Large-Scale Urban Greenway: Perspectives from Wuhan, China. Land 2022, 11, 2017. [Google Scholar] [CrossRef]
- O’Neill, M.E. Corporeal experience: A haptic way of knowing. J. Archit. Educ. 2001, 55, 3–12. [Google Scholar] [CrossRef][Green Version]
- Katz, D.; Krueger, L.E. The World of Touch; Psychology Press: New York, NY, USA, 1989. [Google Scholar] [CrossRef]
- Baumeister, R.F.; Muraven, M. Identity as adaptation to social, cultural, and historical context. J. Adolesc. 1996, 19, 405–416. [Google Scholar] [CrossRef]
- Li, X.; Xia, B.; Lusk, A.; Liu, X.; Lu, N. The Humanmade Paradise: Exploring the Perceived Dimensions and Their Associations with Aesthetic Pleasure for Liu Yuan, a Chinese Classical Garden. Sustainability 2019, 11, 1350. [Google Scholar] [CrossRef]
- Söderback, I.; Söderström, M.; Schälander, E. Horticultural therapy: The ‘healing garden’and gardening in rehabilitation measures at Danderyd Hospital Rehabilitation Clinic. Pediatr. Rehabil. 2004, 7, 245–260. [Google Scholar] [CrossRef]
- Ohly, H.; White, M.P.; Wheeler, B.W.; Bethel, A.; Ukoumunne, O.C.; Nikolaou, V.; Garside, R. Attention Restoration Theory: A systematic review of the attention restoration potential of exposure to natural environments. J. Toxicol. Environ. Health 2016, 19, 305–343. [Google Scholar] [CrossRef]
- Hartig, T.; Mang, M.; Evans, G.W. Restorative effects of natural environment experiences. Environ. Behav. 1991, 23, 3–26. [Google Scholar] [CrossRef]
- Herzog, T.R.; Black, A.M.; Fountaine, K.A.; Knotts, D.J. Reflection and attentional recovery as distinctive benefits of restorative environments. J. Environ. Psychol. 1997, 17, 165–170. [Google Scholar] [CrossRef]
- Hartig, T.; Evans, G.W.; Jamner, L.D.; Davis, D.S.; Gärling, T. Tracking restoration in natural and urban field settings. J. Environ. Psychol. 2003, 23, 109–123. [Google Scholar] [CrossRef]
- Hartig, T.; Mitchell, R.; De Vries, S.; Frumkin, H. Nature and health. Annu. Rev. Public Health 2014, 35, 207–228. [Google Scholar] [CrossRef]
- McMahan, E.A.; Estes, D. The effect of contact with natural environments on positive and negative affect: A meta-analysis. J. Posit. Psychol. 2015, 10, 507–519. [Google Scholar] [CrossRef]
- Brown, S.D.; Reavey, P. Vital spaces and mental health. Med. Humanit. 2019, 45, 131–140. [Google Scholar] [CrossRef]
- Lin, W.; Chen, Q.; Jiang, M.; Zhang, X.; Liu, Z.; Tao, J.; Wu, L.; Xu, S.; Kang, Y.; Zeng, Q. The effect of green space behaviour and per capita area in small urban green spaces on psychophysiological responses. Landsc. Urban Plan. 2019, 192, 103637. [Google Scholar] [CrossRef]
- Ulrich, R.S. Aesthetic and affective response to natural environment. In Behavior and the Natural Environment; Altman, I., Wohlwill, J.F., Eds.; Springer: Boston, MA, USA, 1983. [Google Scholar]
- Ulrich, R.S.; Simons, R.F.; Losito, B.D.; Fiorito, E.; Miles, M.A.; Zelson, M. Stress recovery during exposure to natural and urban environments. J. Environ. Psychol. 1991, 11, 201–230. [Google Scholar] [CrossRef]
- Kaplan, R.; Kaplan, S. The Experience of Nature: A Psychological Perspective; Cambridge University Press: New York, NY, USA, 1989. [Google Scholar]
- Liu, C.; Li, S. A review of restorative natural environment research from a multidisciplinary perspective. Chin. Gard. 2020, 36, 55–59. [Google Scholar] [CrossRef]
- McCleary, R.A. The nature of the galvanic skin response. Psychol. Bull. 1950, 47, 97. [Google Scholar] [CrossRef]
- Giggins, O.M.; Persson, U.M.; Caulfield, B. Biofeedback in rehabilitation. J. Neuroeng. Rehabil. 2013, 10, 1–11. [Google Scholar] [CrossRef]
- Antonelli, M.; Barbieri, G.; Donelli, D. Effects of forest bathing (shinrin-yoku) on levels of cortisol as a stress biomarker: A systematic review and meta-analysis. Int. J. Biometeorol. 2019, 63, 1117–1134. [Google Scholar] [CrossRef]
- Elsadek, M.; Nasr, A.; Guo, L.; Gong, X.; Hassan, A.; Zhang, D. Urban Trees and Elderly Well-Being: Species-Specific Strategies for Thermal Comfort in Heat-Stressed Cities. Forests 2025, 16, 55. [Google Scholar] [CrossRef]
- de Brito, J.N.; Pope, Z.C.; Mitchell, N.R.; Schneider, I.E.; Larson, J.M.; Horton, T.H.; Pereira, M.A. The effect of green walking on heart rate variability: A pilot crossover study. Environ. Res. 2020, 185, 109408. [Google Scholar] [CrossRef]
- Caruelle, D.; Gustafsson, A.; Shams, P.; Lervik-Olsen, L. The use of electrodermal activity (EDA) measurement to understand consumer emotions–A literature review and a call for action. J. Bus. Res. 2019, 104, 146–160. [Google Scholar] [CrossRef]
- Shukla, J.; Barreda-Angeles, M.; Oliver, J.; Nandi, G.C.; Puig, D. Feature extraction and selection for emotion recognition from electrodermal activity. IEEE Trans. Affect. Comput. 2019, 12, 857–869. [Google Scholar] [CrossRef]
- Wan, R.; Wan, R.; Qiu, Q. Progress and Prospects of Research on the Impact of Forest Therapy on Mental Health: A Bibliometric Analysis. Forests 2024, 15, 1013. [Google Scholar] [CrossRef]
- Deng, L.; Luo, H.; Ma, J.; Huang, Z.; Sun, L.X.; Jiang, M.Y.; Li, X. Effects of integration between visual stimuli and auditory stimuli on restorative potential and aesthetic preference in urban green spaces. Urban For. Urban Green. 2020, 53, 126702. [Google Scholar] [CrossRef]
- Cao, S.; Song, C.; Jiang, S.; Luo, H.; Zhang, P.; Huang, Y.; Yu, J.; Li, K.; Li, N.; Guo, B.; et al. Effects of Urban Greenway Environmental Types and Landscape Characteristics on Physical and Mental Health Restoration. Forests 2024, 15, 679. [Google Scholar] [CrossRef]
- Xu, J.; Qiu, B.; Zhang, F.; Zhang, J. Restorative Effects of Pocket Parks on Mental Fatigue among Young Adults: A Comparative Experimental Study of Three Park Types. Forests 2024, 15, 286. [Google Scholar] [CrossRef]
- Zhong, B.; Xie, H.; Gao, T.; Qiu, L.; Li, H.; Zhang, Z. The effects of spatial characteristics and visual and smell environments on the soundscape of waterfront space in mountainous cities. Forests 2022, 14, 10. [Google Scholar] [CrossRef]
- Pheasant, R.J.; Fisher, M.N.; Watts, G.R.; Whitaker, D.J.; Horoshenkov, K.V. The importance of auditory-visual interaction in the construction of ‘tranquil space’. J. Environ. Psychol. 2010, 30, 501–509. [Google Scholar] [CrossRef]
- Jahani, A.; Saffariha, M. Aesthetic preference and mental restoration prediction in urban parks: An application of environmental modeling approach. Urban For. Urban Green. 2020, 54, 126775. [Google Scholar] [CrossRef]
- Lin, W.; Zeng, C.; Bao, Z.; Jin, H. The therapeutic look up: Stress reduction and attention restoration vary according to the sky-leaf-trunk (SLT) ratio in canopy landscapes. Landsc. Urban Plan. 2023, 234, 104730. [Google Scholar] [CrossRef]
- Henderson, R. The Gardens of Suzhou; University of Pennsylvania Press: Philadelphia, PA, USA, 2012. [Google Scholar]
- Critchley, H.D. Electrodermal Responses: What Happens in the Brain? Neuroscientist 2002, 8, 132–142. [Google Scholar] [CrossRef]
- Thayer, J.F.; Åhs, F.; Fredrikson, M.; Sollers, J.J.; Wager, T.D. A Meta-Analysis of Heart Rate Variability and Neuroimaging Studies: Implications for Heart Rate Variability as a Marker of Stress and Health. Neurosci. Biobehav. Rev. 2012, 36, 747–756. [Google Scholar] [CrossRef]
- Laborde, S.; Mosley, E.; Thayer, J.F. Heart rate variability and cardiac vagal tone in psychophysiological research—Recommendations for experiment planning, data analysis, and data reporting. Front. Psychol. 2017, 8, 213. [Google Scholar] [CrossRef] [PubMed]
- Task Force of the European Society of Cardiology and the North American Society of Pacing and Electrophysiology. Heart rate variability: Standards of measurement, physiological interpretation and clinical use. Circulation 1996, 93, 1043–1065. [Google Scholar] [CrossRef]
- Shaffer, F.; Ginsberg, J.P. An Overview of Heart Rate Variability Metrics and Norms. Front. Public Health 2017, 5, 258. [Google Scholar] [CrossRef]
- Ilali, E.S.; Taraghi, Z.; Jafari-Koulaee, A.; Elyasi, F.; Moosazadeh, M. Comparison of the effect of multisensory stimulation intervention and aromatherapy inhalation with lavender essence on anxiety and depression in the older adults undergoing hemodialysis. J. Nurs. Midwif. Sci. 2021, 8, 155–162. [Google Scholar] [CrossRef]
- Carles, J.; Bernáldez, F.; Lucio, J.d. Audio-visual interactions and soundscape preferences. Landsc. Res. 1992, 17, 52–56. [Google Scholar] [CrossRef]
- Qi, Y.; Chen, Q.; Lin, F.; Liu, Q.; Zhang, X.; Guo, J.; Qiu, L.; Gao, T. Comparative study on birdsong and its multi-sensory combinational effects on physio-psychological restoration. J. Environ. Psychol. 2022, 83, 101879. [Google Scholar] [CrossRef]
- Yao, T.; Lin, W.; Bao, Z.; Zeng, C. Natural or balanced? The physiological and psychological benefits of window views with different proportions of sky, green space, and buildings. Sustain. Cities Soc. 2024, 104, 105293. [Google Scholar] [CrossRef]
- Yin, J.; Ramanpong, J.; Chang, J.; Wu, C.-D.; Chao, P.-H.; Yu, C.-P. Effects of blue space exposure in urban and natural environments on psychological and physiological responses: A within-subject experiment. Urban For. Urban Green. 2023, 87, 128066. [Google Scholar] [CrossRef]
- Korpilo, S.; Nyberg, E.; Vierikko, K.; Ojala, A.; Kaseva, J.; Lehtimäki, J.; Kopperoinen, L.; Cerwén, G.; Hedblom, M.; Castellazzi, E. Landscape and soundscape quality promote stress recovery in nearby urban nature: A multisensory field experiment. Urban For. Urban Green. 2024, 95, 128286. [Google Scholar] [CrossRef]
- He, B.J.; Zhao, D.; Dong, X.; Xiong, K.; Feng, C.; Qi, Q.; Darko, A.; Sharifi, A.; Pathak, M. Perception, physiological and psychological impacts, adaptive awareness and knowledge, and climate justice under urban heat: A study in extremely hot-humid Chongqing, China. Sustain. Cities Soc. 2022, 79, 103685. [Google Scholar] [CrossRef]
- Zhou, W. The History of Classical Chinese Gardens; Tsinghua University Press: Beijing, China, 1999. [Google Scholar]
- Yunfa, W.; Xiaowen, L. Research on molding and design of waterfront space from the perspective of regional culture: A case study on the water system renovation of Chaohu City. In Proceedings of the 2013 Fourth International Conference on Digital Manufacturing & Automation, Shinan, China, 29–30 June 2013; pp. 1094–1096. [Google Scholar] [CrossRef]
- Zhang, R.; Wang, J.; Brown, S. ‘The Charm of a Thousand Years’: Exploring tourists’ perspectives of the ‘culture-nature value’ of the Humble Administrator’s Garden. Landsc. Res. 2021, 46, 1071–1088. [Google Scholar] [CrossRef]
- Lu, L.; Liu, M. Exploring a spatial-experiential structure within the Chinese literati garden: The Master of the Nets Garden as a case study. Front. Archit. Res. 2023, 12, 923–946. [Google Scholar] [CrossRef]









| Time | Group | Experimental Path |
|---|---|---|
| 18 April 2023 | Group 1 | ①Xiuqi Pavilion—②Yuanxiang Hall—③Xiaofeihong—④Grand Rockery |
| Group 2 | ②Yuanxiang Hall—③Xiaofeihong—④Grand Rockery—①Xiuqi Pavilion | |
| 19 April 2023 | Group 3 | ③Xiaofeihong—④Grand Rockery—①Xiuqi Pavilion—②Yuanxiang Hall |
| Group 4 | ④Grand Rockery—①Xiuqi Pavilion—②Yuanxiang Hall—③Xiaofeihong |
| Sorting | Plots | Visual Landscape Elements | Auditory Landscape Elements | Tactile Landscape Elements |
|---|---|---|---|---|
| 1 | Site 3 | Water feature > Architecture > Plant | The sound of flowing water | — |
| 2 | Site 2 | Water feature > Plant > Architecture | Birdsong | — |
| 3 | Site 1 | Architecture > Plant | Birdsong | — |
| 4 | Site 4 | Rockery > Plant | Birdsong | Rockery |
| Sorting | Plots | Visual Landscape Elements | Auditory Landscape Elements | Tactile Landscape Elements |
|---|---|---|---|---|
| 2 | Site 2 | Water feature > Plant > Architecture | Birdsong | — |
| 1 | Site 3 | Water feature > Architecture > Plant | The sound of flowing water | — |
| 3 | Site 1 | Architecture > Plant | Birdsong | — |
| 4 | Site 4 | Rockery > Plant | Birdsong | Rockery |
Disclaimer/Publisher’s Note: The statements, opinions and data contained in all publications are solely those of the individual author(s) and contributor(s) and not of MDPI and/or the editor(s). MDPI and/or the editor(s) disclaim responsibility for any injury to people or property resulting from any ideas, methods, instructions or products referred to in the content. |
© 2025 by the authors. Licensee MDPI, Basel, Switzerland. This article is an open access article distributed under the terms and conditions of the Creative Commons Attribution (CC BY) license (https://creativecommons.org/licenses/by/4.0/).
Share and Cite
Guo, L.; Gong, X.; Li, Y.; Zhang, D.; Elsadek, M.; Yun, J.; Ahmad, H.; Yao, M.; Li, N. Multisensory Health and Well-Being of Chinese Classical Gardens: Insights from Humble Administrator’s Garden. Land 2025, 14, 317. https://doi.org/10.3390/land14020317
Guo L, Gong X, Li Y, Zhang D, Elsadek M, Yun J, Ahmad H, Yao M, Li N. Multisensory Health and Well-Being of Chinese Classical Gardens: Insights from Humble Administrator’s Garden. Land. 2025; 14(2):317. https://doi.org/10.3390/land14020317
Chicago/Turabian StyleGuo, Li, Xueqian Gong, Yinan Li, Deshun Zhang, Mohamed Elsadek, Jiayan Yun, Hassan Ahmad, Manqin Yao, and Nian Li. 2025. "Multisensory Health and Well-Being of Chinese Classical Gardens: Insights from Humble Administrator’s Garden" Land 14, no. 2: 317. https://doi.org/10.3390/land14020317
APA StyleGuo, L., Gong, X., Li, Y., Zhang, D., Elsadek, M., Yun, J., Ahmad, H., Yao, M., & Li, N. (2025). Multisensory Health and Well-Being of Chinese Classical Gardens: Insights from Humble Administrator’s Garden. Land, 14(2), 317. https://doi.org/10.3390/land14020317

