University Campuses as Vital Urban Green Infrastructure: Quantifying Ecosystem Services Based on Field Inventory in Nizhny Novgorod, Russia
Abstract
1. Introduction
2. Materials and Methods
2.1. Study Area and Cover Type Inventory
2.2. Tree and Shrub Inventory
2.3. Quantification of Urban Ecosystem Services
2.3.1. Carbon Storage and Sequestration
2.3.2. Air Pollution Removal
2.3.3. Runoff Retention
3. Results
3.1. Campus Surface Cover
3.2. Vegetation Structure
3.3. Quantification of Urban Ecosystem Services
3.3.1. Carbon Storage and Sequestration
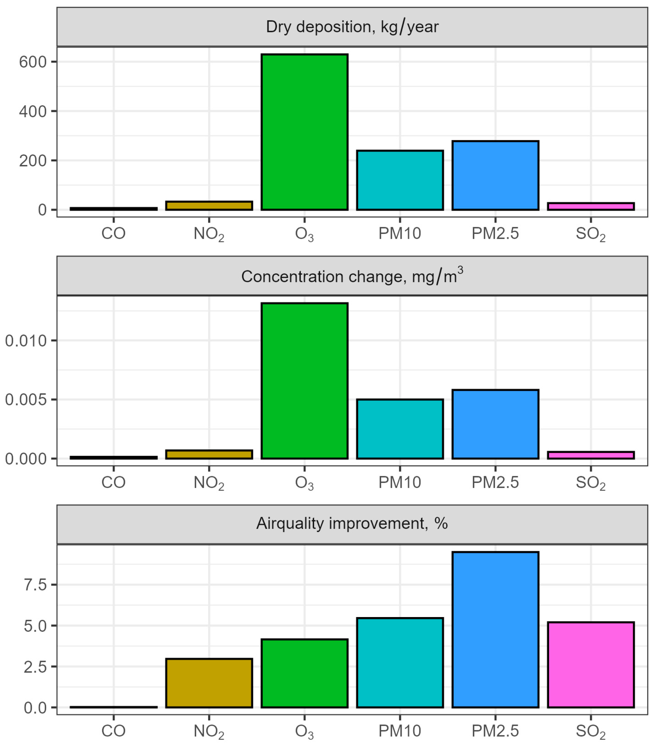
3.3.2. Air Pollution Removal
3.3.3. Runoff Retention
4. Discussion
- Informing strategies for tree maintenance and renewal, by identifying high-performing zones and specimens that are critical to preserving ecosystem service benefits.
- Guiding future species selection to maximize specific ecosystem services (e.g., carbon sequestration, air purification, shading) based on comparative data.
- Supporting the integration of green infrastructure into broader urban development plans by providing a replicable framework and tangible evidence of the economic and well-being returns on investment.
5. Conclusions
- SDG 11 (Sustainable Cities and Communities): Through documented ecosystem services like air purification and runoff retention, fundamental for enhancing urban resilience and making cities more inclusive, safe, and sustainable.
- SDG 13 (Climate Action): Via the significant role of the campus’s urban forest in carbon storage and sequestration, representing a tangible NBS for climate change mitigation.
- SDG 3 (Good Health and Well-being): By improving air quality and providing aesthetic and recreational spaces, the campus’s green infrastructure directly contributes to ensuring healthy lives and promoting well-being.
Supplementary Materials
Author Contributions
Funding
Data Availability Statement
Acknowledgments
Conflicts of Interest
Appendix A

References
- Seto, K.C.; Güneralp, B.; Hutyra, L.R. Global Forecasts of Urban Expansion to 2030 and Direct Impacts on Biodiversity and Carbon Pools. Proc. Natl. Acad. Sci. USA 2012, 109, 16083. [Google Scholar] [CrossRef]
- Davies, Z.G.; Edmondson, J.L.; Heinemeyer, A.; Leake, J.R.; Gaston, K.J. Mapping an Urban Ecosystem Service: Quantifying Above-ground Carbon Storage at a City-wide Scale. J. Appl. Ecol. 2011, 48, 1125. [Google Scholar] [CrossRef]
- Raciti, S.M.; Hutyra, L.R.; Rao, P.; Finzi, A.C. Inconsistent Definitions of “Urban” Result in Different Conclusions about the Size of Urban Carbon and Nitrogen Stocks. Ecol. Appl. 2012, 22, 1015. [Google Scholar] [CrossRef] [PubMed]
- Rao, P.; Hutyra, L.R.; Raciti, S.M.; Finzi, A.C. Field and Remotely Sensed Measures of Soil and Vegetation Carbon and Nitrogen across an Urbanization Gradient in the Boston Metropolitan Area. Urban Ecosyst. 2013, 16, 593. [Google Scholar] [CrossRef]
- Gurjar, B.R.; Butler, T.M.; Lawrence, M.G.; Lelieveld, J. Evaluation of Emissions and Air Quality in Megacities. Atmos. Environ. 2008, 42, 1593. [Google Scholar] [CrossRef]
- Dasgupta, S.; Gosain, A.K.; Rao, S.; Roy, S.; Sarraf, M. A Megacity in a Changing Climate: The Case of Kolkata. Clim. Change 2013, 116, 747. [Google Scholar] [CrossRef]
- Mourshed, M. The Impact of the Projected Changes in Temperature on Heating and Cooling Requirements in Buildings in Dhaka, Bangladesh. Appl. Energy 2011, 88, 3737. [Google Scholar] [CrossRef]
- Cameron, R.W.F.; Blanuša, T. Green Infrastructure and Ecosystem Services—Is the Devil in the Detail? Ann. Bot. 2016, 118, 377. [Google Scholar] [CrossRef]
- Elmqvist, T.; Setälä, H.; Handel, S.; Van Der Ploeg, S.; Aronson, J.; Blignaut, J.; Gómez-Baggethun, E.; Nowak, D.; Kronenberg, J.; De Groot, R. Benefits of Restoring Ecosystem Services in Urban Areas. Curr. Opin. Environ. Sustain. 2015, 14, 101. [Google Scholar] [CrossRef]
- McDonald, R.; Marcotullio, P. Global Effects of Urbanization on Ecosystem Services; Oxford University Press: Oxford, UK, 2011; p. 193. ISBN 978-0-19-956356-2. [Google Scholar]
- Alamgir, M.; Turton, S.M.; Macgregor, C.J.; Pert, P.L. Assessing Regulating and Provisioning Ecosystem Services in a Contrasting Tropical Forest Landscape. Ecol. Indic. 2016, 64, 319. [Google Scholar] [CrossRef]
- Bagdon, B.A.; Huang, C.-H.; Dewhurst, S. Managing for Ecosystem Services in Northern Arizona Ponderosa Pine Forests Using a Novel Simulation-to-Optimization Methodology. Ecol. Model. 2016, 324, 11. [Google Scholar] [CrossRef]
- Camps-Calvet, M.; Langemeyer, J.; Calvet-Mir, L.; Gómez-Baggethun, E. Ecosystem Services Provided by Urban Gardens in Barcelona, Spain: Insights for Policy and Planning. Environ. Sci. Policy 2016, 62, 14. [Google Scholar] [CrossRef]
- Wang, B.; Liu, Z.; Mei, Y.; Li, W. Assessment of Ecosystem Service Quality and Its Correlation with Landscape Patterns in Haidian District, Beijing. Int. J. Environ. Res. Public Health 2019, 16, 1248. [Google Scholar] [CrossRef]
- Nowak, D.J. Atmospheric Carbon Dioxide Reduction by Chicago’s Urban Forest; U.S. Department of Agriculture, Forest Service, Northeastern Forest Experiment Station: Radnor, PA, USA, 1994; p. 83. [Google Scholar]
- Ferrini, F.; Fini, A.; Mori, J.; Gori, A. Role of Vegetation as a Mitigating Factor in the Urban Context. Sustainability 2020, 12, 4247. [Google Scholar] [CrossRef]
- Lin, B.B.; Egerer, M.H.; Liere, H.; Jha, S.; Bichier, P.; Philpott, S.M. Local- and Landscape-Scale Land Cover Affects Microclimate and Water Use in Urban Gardens. Sci. Total Environ. 2018, 610, 570. [Google Scholar] [CrossRef]
- Pena Acosta, M.; Vahdatikhaki, F.; Santos, J.; Hammad, A.; Dorée, A.G. How to Bring UHI to the Urban Planning Table? A Data-Driven Modeling Approach. Sustain. Cities Soc. 2021, 71, 102948. [Google Scholar] [CrossRef]
- Coutts, A.M.; Tapper, N.J.; Beringer, J.; Loughnan, M.; Demuzere, M. Watering Our Cities: The Capacity for Water Sensitive Urban Design to Support Urban Cooling and Improve Human Thermal Comfort in the Australian Context. Prog. Phys. Geogr. Earth Environ. 2013, 37, 2. [Google Scholar] [CrossRef]
- Inkiläinen, E.N.M.; McHale, M.R.; Blank, G.B.; James, A.L.; Nikinmaa, E. The Role of the Residential Urban Forest in Regulating Throughfall: A Case Study in Raleigh, North Carolina, USA. Landsc. Urban Plan. 2013, 119, 91. [Google Scholar] [CrossRef]
- Baró, F.; Chaparro, L.; Gómez-Baggethun, E.; Langemeyer, J.; Nowak, D.J.; Terradas, J. Contribution of Ecosystem Services to Air Quality and Climate Change Mitigation Policies: The Case of Urban Forests in Barcelona, Spain. AMBIO 2014, 43, 466. [Google Scholar] [CrossRef]
- Jim, C.Y.; Chen, W.Y. Assessing the Ecosystem Service of Air Pollutant Removal by Urban Trees in Guangzhou (China). J. Environ. Manag. 2008, 88, 665. [Google Scholar] [CrossRef]
- Schäffler, A.; Swilling, M. Valuing Green Infrastructure in an Urban Environment under Pressure—The Johannesburg Case. Ecol. Econ. 2013, 86, 246. [Google Scholar] [CrossRef]
- Andersson, E.; McPhearson, T.; Kremer, P.; Gomez-Baggethun, E.; Haase, D.; Tuvendal, M.; Wurster, D. Scale and Context Dependence of Ecosystem Service Providing Units. Ecosyst. Serv. 2015, 12, 157. [Google Scholar] [CrossRef]
- Chiesura, A. The Role of Urban Parks for the Sustainable City. Landsc. Urban Plan. 2004, 68, 129. [Google Scholar] [CrossRef]
- Russo, A.; Cirella, G.T. Urban Ecosystem Services: Current Knowledge, Gaps, and Future Research. Land 2021, 10, 811. [Google Scholar] [CrossRef]
- Mitsch, W.J.; Jørgensen, S.E. Ecological Engineering: A Field Whose Time Has Come. Ecol. Eng. 2003, 20, 363. [Google Scholar] [CrossRef]
- Bauduceau, N.; Berry, P.; Cecchi, C.; Elmqvist, T.; Fernández, M.D.; Hartig, T.; Krull, W.; Mayerhofer, E.; Sandra, N.O.; Noring, L.; et al. Towards an EU Research and Innovation Policy Agenda for Nature-Based Solutions & Re-Naturing Cities: Final Report of the Horizon 2020 Expert Group on “Nature-Based Solutions and Re-Naturing Cities”; Technical University of Denmark: Kongens Lyngby, Denmark, 2015; p. 76. [Google Scholar]
- UNEP. Sustainable Development Goals and the 2030 Agenda: Why Environmental Sustainability and Gender Equality Are So Important to Reducing Poverty and Inequalities; UNEP Perspectives Issue 2015; UNEP: Nairobi, Kenya, 2015. [Google Scholar]
- Mersal, A. Sustainable Urban Futures: Environmental Planning for Sustainable Urban Development. Procedia Environ. Sci. 2016, 34, 49. [Google Scholar] [CrossRef]
- Russo, A.; Cirella, G.T. Urban Ecosystem Services: New Findings for Landscape Architects, Urban Planners, and Policymakers. Land 2021, 10, 88. [Google Scholar] [CrossRef]
- Escobedo, F.J.; Kroeger, T.; Wagner, J.E. Urban Forests and Pollution Mitigation: Analyzing Ecosystem Services and Disservices. Environ. Pollut. 2011, 159, 2078. [Google Scholar] [CrossRef]
- Nowak, D.; Crane, D.; Stevens, J.; Hoehn, R.; Walton, J.; Bond, J. A Ground-Based Method of Assessing Urban Forest Structure and Ecosystem Services. Arboric. Urban For. 2008, 34, 347. [Google Scholar] [CrossRef]
- Ziter, C.D.; Pedersen, E.J.; Kucharik, C.J.; Turner, M.G. Scale-Dependent Interactions between Tree Canopy Cover and Impervious Surfaces Reduce Daytime Urban Heat during Summer. Proc. Natl. Acad. Sci. USA 2019, 116, 7575. [Google Scholar] [CrossRef] [PubMed]
- Sharma, G.; Morgenroth, J.; Richards, D.R.; Ye, N. Advancing Urban Forest and Ecosystem Service Assessment through the Integration of Remote Sensing and I-Tree Eco: A Systematic Review. Urban For. Urban Green. 2025, 104, 128659. [Google Scholar] [CrossRef]
- Lin, J.; Kroll, C.N.; Nowak, D.J.; Greenfield, E.J. A Review of Urban Forest Modeling: Implications for Management and Future Research. Urban For. Urban Green. 2019, 43, 126366. [Google Scholar] [CrossRef]
- Nowak, D.J. Understanding I-Tree: 2021 Summary of Programs and Methods; U.S. Department of Agriculture, Forest Service, Northern Research Station: Madison, WI, USA, 2021. [Google Scholar]
- Chen, Z.; Xu, B.; Gao, B. Assessing Visual Green Effects of Individual Urban Trees Using Airborne Lidar Data. Sci. Total Environ. 2015, 536, 232. [Google Scholar] [CrossRef] [PubMed]
- Nowak, D.J.; Greenfield, E.J.; Hoehn, R.E.; Lapoint, E. Carbon Storage and Sequestration by Trees in Urban and Community Areas of the United States. Environ. Pollut. 2013, 178, 229. [Google Scholar] [CrossRef] [PubMed]
- Buchel, S.; Frantzeskaki, N. Citizens’ Voice: A Case Study about Perceived Ecosystem Services by Urban Park Users in Rotterdam, the Netherlands. Ecosyst. Serv. 2015, 12, 169. [Google Scholar] [CrossRef]
- Langemeyer, J.; Baró, F.; Roebeling, P.; Gómez-Baggethun, E. Contrasting Values of Cultural Ecosystem Services in Urban Areas: The Case of Park Montjuïc in Barcelona. Ecosyst. Serv. 2015, 12, 178. [Google Scholar] [CrossRef]
- Breuste, J.H.; Artmann, M. Allotment Gardens Contribute to Urban Ecosystem Service: Case Study Salzburg, Austria. J. Urban Plan. Dev. 2015, 141, A5014005. [Google Scholar] [CrossRef]
- Derkzen, M.L.; Van Teeffelen, A.J.A.; Verburg, P.H. Quantifying Urban Ecosystem Services Based on High-resolution Data of Urban Green Space: An Assessment for Rotterdam, the Netherlands. J. Appl. Ecol. 2015, 52, 1020. [Google Scholar] [CrossRef]
- Kim, G.; Miller, P.A.; Nowak, D.J. Assessing Urban Vacant Land Ecosystem Services: Urban Vacant Land as Green Infrastructure in the City of Roanoke, Virginia. Urban For. Urban Green. 2015, 14, 519. [Google Scholar] [CrossRef]
- Selmi, W.; Weber, C.; Rivière, E.; Blond, N.; Mehdi, L.; Nowak, D. Air Pollution Removal by Trees in Public Green Spaces in Strasbourg City, France. Urban For. Urban Green. 2016, 17, 192. [Google Scholar] [CrossRef]
- Filho, W.L.; Özuyar, P.G.; Dinis, M.A.P.; Azul, A.M.; Alvarez, M.G.; da Silva Neiva, S.; Sálvia, A.L.; Borsari, B.; Nita, A.C.; Vasconcelos, C.R.P. Living Labs in the Context of the UN Sustainable Development Goals: State of the Art. Sustain. Sci. 2022, 18, 1163. [Google Scholar] [CrossRef]
- Villegas-Ch, W.; Palacios-Pacheco, X.; Luján-Mora, S. Application of a Smart City Model to a Traditional University Campus with a Big Data Architecture: A Sustainable Smart Campus. Sustainability 2019, 11, 2857. [Google Scholar] [CrossRef]
- Wang, D.; Xu, P.; An, B.-W.; Guo, Q. Urban Green Infrastructure: Bridging Biodiversity Conservation and Sustainable Urban Development through Adaptive Management Approach. Front. Ecol. Evol. 2024, 12, 1440477. [Google Scholar] [CrossRef]
- Nandini, N.; Kumar, K.; Tandon, S. Assessment of Carbon Sequestration in Trees of Jnanabharathi Campus-Bangalore University. Ecol. Environ. Conserv. 2009, 15, 503. [Google Scholar]
- De Villiers, C.; Chen, S.; Jin, C.; Zhu, Y. Carbon Sequestered in the Trees on a University Campus: A Case Study. Sustain. Account. Manag. Policy J. 2014, 5, 149. [Google Scholar] [CrossRef]
- Fox, W.; Dwivedi, P.; Lowe, I.; Welch, S.; Fuller, M. Estimating Carbon Stock of Live Trees Located on the Main Campus of the University of Georgia. J. For. 2020, 118, 457. [Google Scholar] [CrossRef]
- Sharma, R.; Pradhan, L.; Kumari, M.; Bhattacharya, P. Assessment of Carbon Sequestration Potential of Tree Species in Amity University Campus Noida. Environ. Sci. Proc. 2021, 3, 52. [Google Scholar] [CrossRef]
- Vishnu, P.R.; Patil, S.S. Sequestration and Storage of Carbon by Trees in and around University Campus of Aurangabad City in Maharashtra, India. Int. Res. J. Eng. Technol. 2017, 4, 598. [Google Scholar]
- Hepcan, C.C.; Hepcan, S. Assessing Regulating Ecosystem Services Provided by the Ege University Rectorship Garden. Urban For. Urban Green. 2018, 34, 10. [Google Scholar] [CrossRef]
- Martin, N.; Chappelka, A.; Somers, G.; Loewenstein, E.; Keever, G. Evaluation of Sampling Protocol for I-Tree Eco: A Case Study in Predicting Ecosystem Services at Auburn University. Arboric. Urban For. 2013, 39, 56–61. [Google Scholar] [CrossRef]
- Hintural, W.P.; Jeon, H.J.; Kim, S.C.; Go, S.-J.; Park, B.B. Quantifying Regulating Ecosystem Services of Urban Trees: A Case Study of a Green Space at Chungnam National University Using i-Tree Eco. Forests 2024, 15, 1446. [Google Scholar] [CrossRef]
- Gugan, A.; Walker, H.; Mooney, H.; Scott, C.; Birch, H.; Bliss, T.; Chowdhury, A.; Cooney, P.; Doick, K.; Robinson, S. University of Leeds: Enhancing the Benefits of Trees on Campus; United Bank of Carbon & Leeds Ecosystem, Atmosphere and Forest Centre, University of Leeds: Leeds, UK, 2019. [Google Scholar]
- Klimanova, O.; Illarionova, O.; Grunewald, K.; Bukvareva, E. Green Infrastructure, Urbanization, and Ecosystem Services: The Main Challenges for Russia’s Largest Cities. Land 2021, 10, 1292. [Google Scholar] [CrossRef]
- Henry, M.; Bombelli, A.; Trotta, C.; Alessandrini, A.; Birigazzi, L.; Sola, G.; Vieilledent, G.; Santenoise, P.; Longuetaud, F.; Valentini, R.; et al. GlobAllomeTree: International Platform for Tree Allometric Equations to Support Volume, Biomass and Carbon Assessment. Iforest—Biogeosci. For. 2013, 6, 326. [Google Scholar] [CrossRef]
- Cairns, M.A.; Brown, S.; Helmer, E.H.; Baumgardner, G.A. Root Biomass Allocation in the World’s Upland Forests. Oecologia 1997, 111, 1–11. [Google Scholar] [CrossRef]
- Chow, P.; Rolfe, G. Carbon and Hydrogen Contents of Short-Rotation Biomass of Five Hardwood Species. Wood Fiber Sci. 1989, 21, 30. [Google Scholar]
- Nowak, D.J.; Hirabayashi, S.; Bodine, A.; Greenfield, E. Tree and Forest Effects on Air Quality and Human Health in the United States. Environ. Pollut. 2014, 193, 119. [Google Scholar] [CrossRef]
- Nowak, D.J.; Crane, D.E.; Stevens, J.C. Air Pollution Removal by Urban Trees and Shrubs in the United States. Urban For. Urban Green. 2006, 4, 115. [Google Scholar] [CrossRef]
- Lovett, G.M. Atmospheric Deposition of Nutrients and Pollutants in North America: An Ecological Perspective. Ecol. Appl. 1994, 4, 630. [Google Scholar] [CrossRef]
- Baldocchi, D. A Multi-Layer Model for Estimating Sulfur Dioxide Deposition to a Deciduous Oak Forest Canopy. Atmos. Environ. 1967 1988, 22, 869. [Google Scholar] [CrossRef]
- Nowak, D.J. Estimating Leaf Area and Leaf Biomass of Open-Grown Deciduous Urban Trees. For. Sci. 1996, 42, 504. [Google Scholar] [CrossRef]
- Wang, J.; Endreny, T.A.; Nowak, D.J. Mechanistic Simulation of Tree Effects in an Urban Water Balance Model. JAWRA J. Am. Water Resour. Assoc. 2008, 44, 75. [Google Scholar] [CrossRef]
- Nowak, D.J.; Greenfield, E.J. Tree and Impervious Cover in the United States. Landsc. Urban Plan. 2012, 107, 21. [Google Scholar] [CrossRef]
- Strashok, O.; Бідолах, Д.І.; Ziemiańska, M. Ecosystem Benefits of Urban Woody Plants for Sustainable Green Space Planning: A Case Study from Wroclaw. Sci. Rep. 2025, 15, 10999. [Google Scholar] [CrossRef]
- Rogers, K.; Sacre, K.; Goodenough, J.; Doick, K. Valuing London’s Urban Forest; Treeconomics: London, UK, 2015. [Google Scholar]
- Nowak, D.J.; Crane, D.E. Carbon Storage and Sequestration by Urban Trees in the USA. Environ. Pollut. 2002, 116, 381. [Google Scholar] [CrossRef] [PubMed]
- Strohbach, M.W.; Haase, D. Above-Ground Carbon Storage by Urban Trees in Leipzig, Germany: Analysis of Patterns in a European City. Landsc. Urban Plan. 2012, 104, 95. [Google Scholar] [CrossRef]
- Nowak, D.J.; Hirabayashi, S.; Doyle, M.; McGovern, M.; Pasher, J. Air Pollution Removal by Urban Forests in Canada and Its Effect on Air Quality and Human Health. Urban For. Urban Green. 2018, 29, 40. [Google Scholar] [CrossRef]
- Guo, W.; Wen, H.; Liu, X. Research on the Psychologically Restorative Effects of Campus Common Spaces from the Perspective of Health. Front. Public Health 2023, 11, 1131180. [Google Scholar] [CrossRef]
- Gao, W.; Tang, B.M.; Liu, B. Effects of Landscape Characteristic Perception of Campus on College Students’ Mental Restoration. Behav. Sci. 2025, 15, 470. [Google Scholar] [CrossRef] [PubMed]
- Liu, H.; Wang, Y.; He, Q.; Wang, X.; Cui, C.; Gong, Y. Assessing the Restorative Effects of Campus Greeness on Student Depression: A Comparative Study across Three Distinct University Campus Type in Macau. BMC Public Health 2025, 25, 907. [Google Scholar] [CrossRef]
- Malekinezhad, F.; Courtney, P.; Lamit, H.; Vigani, M. Investigating the Mental Health Impacts of University Campus Green Space Through Perceived Sensory Dimensions and the Mediation Effects of Perceived Restorativeness on Restoration Experience. Front. Public Health 2020, 8, 578241. [Google Scholar] [CrossRef] [PubMed]
- Bukvareva, E.; Zamolodchikov, D. Ecosystem Services of Russia: Prototype National Report. Vol. 1. Terrestrial Ecosystems Services; BCC Press: Moscow, Russia, 2018. [Google Scholar]
- Bukvareva, E.; Sviridova, T. Ecosystem Services of Russia: Prototype National Report. Vol. 2. Biodiversity and Ecosystem Services; BCC Press: Moscow, Russia, 2020. [Google Scholar]
- Bukvareva, E.; Grunewald, K.; Klimanova, O.; Kolbovsky, E.; Shcherbakov, A.; Sviridova, T.; Zamolodchikov, D. TEEB-Russia: Towards National Ecosystem Accounting. Sustainability 2021, 13, 6678. [Google Scholar] [CrossRef]
- García-Pardo, K.A.; Moreno-Rangel, D.; Domínguez-Amarillo, S.; García-Chávez, J.R. Remote Sensing for the Assessment of Ecosystem Services Provided by Urban Vegetation: A Review of the Methods Applied. Urban For. Urban Green. 2022, 74, 127636. [Google Scholar] [CrossRef]
- Wei, S.; Cheng, S. An Artificial Intelligence Approach for Identifying Efficient Urban Forest Indicators on Ecosystem Service Assessment. Front. Environ. Sci. 2022, 10, 994389. [Google Scholar] [CrossRef]
- Endreny, T.A.; Santagata, R.; Perna, A.M.; Stefano, C.D.; Rallo, R.F.; Ulgiati, S. Implementing and Managing Urban Forests: A Much Needed Conservation Strategy to Increase Ecosystem Services and Urban Wellbeing. Ecol. Model. 2017, 360, 328. [Google Scholar] [CrossRef]
- Haq, S.M.A. Urban Green Spaces and an Integrative Approach to Sustainable Environment. J. Environ. Prot. 2011, 2, 601. [Google Scholar] [CrossRef]





| Parameter | Type | Description | Carbon Storage and Sequestration | Air Pollution Removal | Runoff Retention |
|---|---|---|---|---|---|
| Species | Categorical | Species identity | + 1 | ||
| Diameter at breast height, cm | Continuous | Tree stem diameter at breast height (1.37 m) | + | ||
| Total height, m | Continuous | Height from the ground to the top of the tree | + | + | + |
| Crown base heigh, m | Continuous | Height from the ground to the base of the live crown | + | + | |
| Crown width, m | Continuous | The width of the crown in two directions: north–south and east–west | + | + | |
| Crown light exposure | Integer | Number of sides of the tree receiving sunlight from above (maximum of 5) | + | + | |
| Percent crown missing | Percentage | Percent of the crown volume that is not occupied by branches and leaves | + | + | + |
| Crown dieback | Percentage | Percent of the crown volume that is composed of dead branches | + | + | + |
| Cover Class | Points | % Cover ± SE | Area (ha) ± SE |
|---|---|---|---|
| Grass/Herbaceous | 13 | 6.57 ± 1.76 | 0.85 ± 0.23 |
| Impervious Buildings | 69 | 34.85 ± 3.39 | 4.52 ± 0.44 |
| Impervious Other | 7 | 3.54 ± 1.34 | 0.46 ± 0.17 |
| Impervious Road | 11 | 5.56 ± 1.63 | 0.72 ± 0.21 |
| Soil/Bare Ground | 8 | 4.04 ± 1.43 | 0.52 ± 0.19 |
| Tree/Shrub | 90 | 45.45 ± 3.54 | 5.90 ± 0.46 |
| Water | 0 | 0.00 ± 0.00 | 0.00 ± 0.00 |
| Total | 198 | 100 | 12.98 |
Disclaimer/Publisher’s Note: The statements, opinions and data contained in all publications are solely those of the individual author(s) and contributor(s) and not of MDPI and/or the editor(s). MDPI and/or the editor(s) disclaim responsibility for any injury to people or property resulting from any ideas, methods, instructions or products referred to in the content. |
© 2025 by the authors. Licensee MDPI, Basel, Switzerland. This article is an open access article distributed under the terms and conditions of the Creative Commons Attribution (CC BY) license (https://creativecommons.org/licenses/by/4.0/).
Share and Cite
Yakimov, B.N.; Zaznobina, N.I.; Kuznetsova, I.M.; Bolshakova, A.D.; Kovaleva, T.A.; Markelov, I.N.; Onishchenko, V.V. University Campuses as Vital Urban Green Infrastructure: Quantifying Ecosystem Services Based on Field Inventory in Nizhny Novgorod, Russia. Land 2025, 14, 2073. https://doi.org/10.3390/land14102073
Yakimov BN, Zaznobina NI, Kuznetsova IM, Bolshakova AD, Kovaleva TA, Markelov IN, Onishchenko VV. University Campuses as Vital Urban Green Infrastructure: Quantifying Ecosystem Services Based on Field Inventory in Nizhny Novgorod, Russia. Land. 2025; 14(10):2073. https://doi.org/10.3390/land14102073
Chicago/Turabian StyleYakimov, Basil N., Nataly I. Zaznobina, Irina M. Kuznetsova, Angela D. Bolshakova, Taisia A. Kovaleva, Ivan N. Markelov, and Vladislav V. Onishchenko. 2025. "University Campuses as Vital Urban Green Infrastructure: Quantifying Ecosystem Services Based on Field Inventory in Nizhny Novgorod, Russia" Land 14, no. 10: 2073. https://doi.org/10.3390/land14102073
APA StyleYakimov, B. N., Zaznobina, N. I., Kuznetsova, I. M., Bolshakova, A. D., Kovaleva, T. A., Markelov, I. N., & Onishchenko, V. V. (2025). University Campuses as Vital Urban Green Infrastructure: Quantifying Ecosystem Services Based on Field Inventory in Nizhny Novgorod, Russia. Land, 14(10), 2073. https://doi.org/10.3390/land14102073

