Spatio-Temporal Assessment of Landscape Ecological Risk and Associated Drivers: A Case Study of the Yellow River Basin in Inner Mongolia
Abstract
1. Introduction
2. Materials and Methods
2.1. Study Area
2.2. Analysis of LULC Change in the YRBIM
2.3. Analysis of Spatial and Temporal Changes in Ecological Risk in the YRBIM
2.4. Analysis of Spatial Heterogeneity Driving Ecological Risk in the YRBIM
3. Results
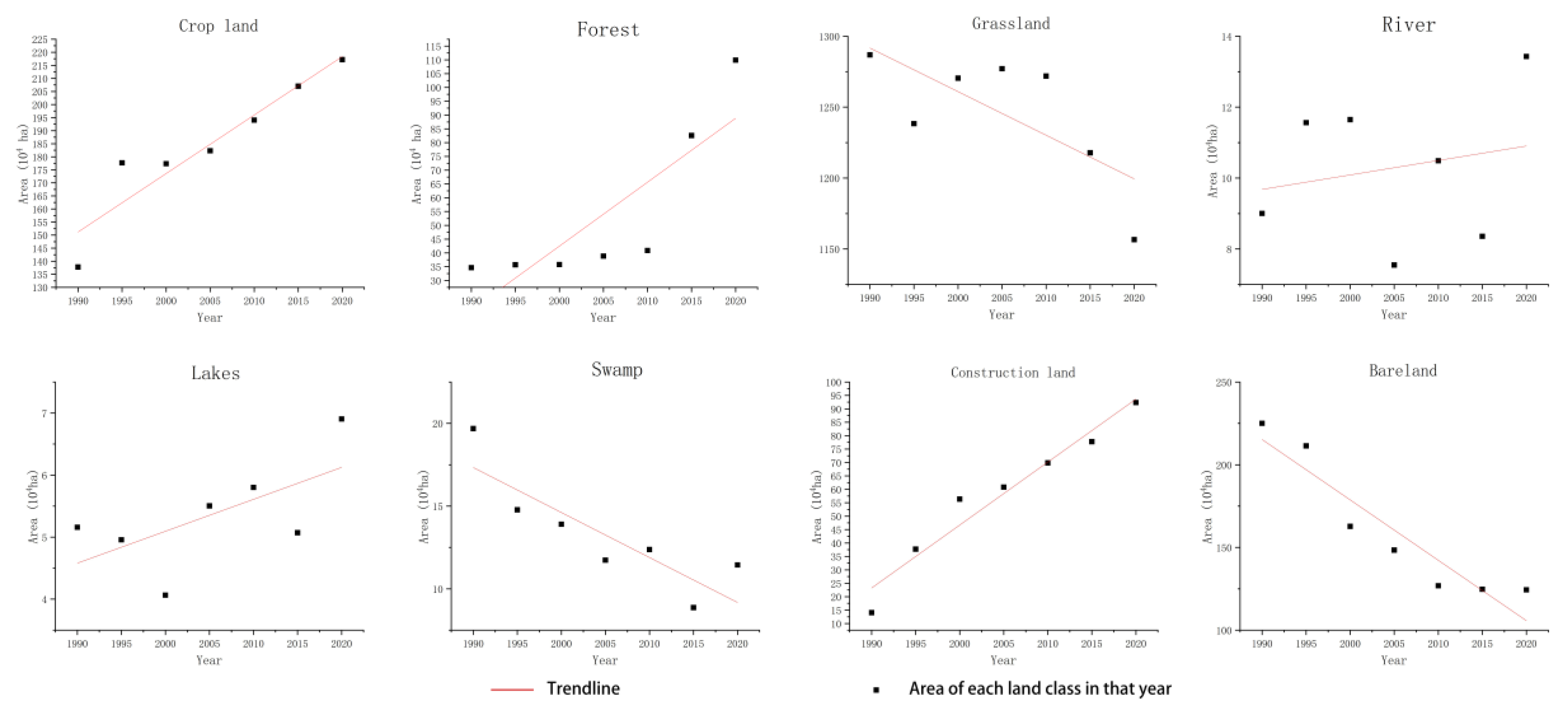
3.1. Spatial and Temporal Characteristics of LULC Change
3.2. Spatial and Temporal Variation in Landscape Ecological Risk
3.3. Analysis of the Drivers of Change in Landscape Ecology Risk
4. Discussion
4.1. Characteristics of Land Type Transfer in the YRBIM
4.2. Ecological Risks in the YRBIM Show a Decreasing Trend
4.3. Human Activity Is the Dominant Factor Driving Ecological Risk Change in the YRBIM
4.4. Policy Recommendations and Research Limitations
5. Conclusions
Author Contributions
Funding
Data Availability Statement
Acknowledgments
Conflicts of Interest
References
- Liu, Y.C.; Liu, Y.X.; Li, J.L.; Lu, W.Y.; Wei, X.L.; Sun, C. Evolution of Landscape Ecological Risk at the Optimal Scale: A Case Study of the Open Coastal Wetlands in Jiangsu, China. Int. J. Environ. Res. Public Health 2018, 15, 1691. [Google Scholar] [CrossRef] [PubMed]
- Xing, L.; Hu, M.S.; Wang, Y. Integrating ecosystem services value and uncertainty into regional ecological risk assessment: A case study of Hubei Province, Central China. Sci. Total Environ. 2020, 740, 140126. [Google Scholar] [CrossRef] [PubMed]
- Fu, B.J.; Liu, G.H.; Wang, X.K.; Ouyang, Z.Y. Ecological issues and risk assessment in China. Int. J. Sustain. Dev. World Ecol. 2004, 11, 143–149. [Google Scholar] [CrossRef]
- Estoque, R.C.; Murayama, Y. Measuring Sustainability Based upon Various Perspectives: A Case Study of a Hill Station in Southeast Asia. Ambio 2014, 43, 943–956. [Google Scholar] [CrossRef] [PubMed]
- Yin, R.S.; Yin, G.P. China’s Primary Programs of Terrestrial Ecosystem Restoration: Initiation, Implementation, and Challenges. Environ. Manag. 2010, 45, 429–441. [Google Scholar] [CrossRef] [PubMed]
- Leuven, R.; Poudevigne, I. Riverine landscape dynamics and ecological risk assessment. Freshw. Biol. 2002, 47, 845–865. [Google Scholar] [CrossRef]
- Depietri, Y. The social-ecological dimension of vulnerability and risk to natural hazards. Sustain. Sci. 2020, 15, 587–604. [Google Scholar] [CrossRef]
- Hunsaker, C.T.; Graham, R.L.; Suter, G.W., II; O’Neill, R.V.; Barnthouse, L.W.; Gardner, R.H. Assessing ecological risk on a regional scale. Environ. Manag. 1990, 14, 325–332. [Google Scholar] [CrossRef]
- Landis, W.G. Ecological risk assessment conceptual model formulation for nonindigenous species. Risk Anal. 2004, 24, 847–858. [Google Scholar] [CrossRef]
- Hakanson, L. An ecological risk index for aquatic pollution control a sedimentological approach. Water Res. 1980, 14, 975–1002. [Google Scholar] [CrossRef]
- Chen, H.; Jinsong, L.S.; Cao, Y.; Shuangcheng, L.C.; Ouyang, H. Ecological risk assessment of regions along the roadside of the Qinghai-Tibet highway and railway based on an artificial neural network. Hum. Ecol. Risk Assess. 2007, 13, 900–913. [Google Scholar] [CrossRef]
- Chow, T.E.; Gaines, K.F.; Hodgson, M.E.; Wilson, M.D. Habitat and exposure modelling for ecological risk assessment: A case study for the raccoon on the Savannah River Site. Ecol. Model. 2005, 189, 151–167. [Google Scholar] [CrossRef]
- Li, Y.F.; Lin, J.Y.; Sun, X. An early warning method on ecological risk and its application to improve landscape ecological security pattern regulation. Geogr. Res. 2017, 36, 485–494. [Google Scholar] [CrossRef]
- Cui, L.; Zhao, Y.H.; Liu, J.C.; Han, L.; Ao, Y.; Yin, S. Landscape ecological risk assessment in Qinling Mountain. Geol. J. 2018, 53, 342–351. [Google Scholar] [CrossRef]
- Li, X.P.; Li, S.S.; Zhang, Y.F.; O’Connor, P.J.; Zhang, L.W.; Yan, J.P. Landscape Ecological Risk Assessment under Multiple Indicators. Land 2021, 10, 739. [Google Scholar] [CrossRef]
- Zhang, D.H.; Jing, P.Q.; Sun, P.J.; Ren, H.H.; Ai, Z.M. The non-significant correlation between landscape ecological risk and ecosystem services in Xi’an Metropolitan Area, China. Ecol. Indic. 2022, 141, 109118. [Google Scholar] [CrossRef]
- Zhang, W.; Chang, W.J.; Zhu, Z.C.; Hui, Z. Landscape ecological risk assessment of Chinese coastal cities based on land use change. Appl. Geogr. 2020, 117, 102174. [Google Scholar] [CrossRef]
- Cao, Z.X.; Wan, B.; Xiao, Y.H.; Wu, M.H.; Tan, X.; Zhang, Q.F.; Wang, D.Z. Exploring the Impact of Landscape Ecological Risk on Water Quality in the Danjiangkou Reservoir, China. Earth Space Sci. 2022, 9, e2022EA002363. [Google Scholar] [CrossRef]
- Hou, M.J.; Ge, J.; Gao, J.L.; Meng, B.P.; Li, Y.C.; Yin, J.P.; Liu, J.; Feng, Q.S.; Liang, T.G. Ecological Risk Assessment and Impact Factor Analysis of Alpine Wetland Ecosystem Based on LUCC and Boosted Regression Tree on the Zoige Plateau, China. Remote Sens. 2020, 12, 368. [Google Scholar] [CrossRef]
- Yang, Y.P.; Chen, J.J.; Lan, Y.P.; Zhou, G.Q.; You, H.T.; Han, X.W.; Wang, Y.; Shi, X. Landscape Pattern and Ecological Risk Assessment in Guangxi Based on Land Use Change. Int. J. Environ. Res. Public Health 2022, 19, 1595. [Google Scholar] [CrossRef]
- Wang, B.B.; Ding, M.J.; Li, S.C.; Liu, L.S.; Ai, J.H. Assessment of landscape ecological risk for a cross-border basin: A case study of the Koshi River Basin, central Himalayas. Ecol. Indic. 2020, 117, 106621. [Google Scholar] [CrossRef]
- Yan, J.X.; Li, G.; Qi, G.P.; Yao, X.D.; Qiao, H.Q.; Song, M.; Gao, P.C.; Huang, C.X.; Li, J.; Da, Q.H. Dynamic prediction and impact factors analysis of ecological risk in Chinese farming-pastoral ecotone. Hum. Ecol. Risk Assess. 2023, 29, 123–143. [Google Scholar] [CrossRef]
- Fu, L.-h.; He, Y.-z.; Zhu, Y. Analysis with Landuse Ecological Risk Driving Factors in the Core Area of Changsha-Zhuzhou-Xiangtan. Hunan Shifan Daxue Ziran Kexue Xuebao 2012, 35, 85–89. [Google Scholar]
- Sun, Y.P. Ecological Risk Assessment based on Climate Change. In Proceedings of the 4th Annual Meeting of Risk-Analysis-Council-of-China-Association-for-Disaster-Prevention, Changchun, China, 16–17 August 2010; pp. 146–147. [Google Scholar]
- Karimian, H.; Zou, W.M.; Chen, Y.L.; Xia, J.Q.; Wang, Z.R. Landscape ecological risk assessment and driving factor analysis in Dongjiang river watershed. Chemosphere 2022, 307, 135835. [Google Scholar] [CrossRef] [PubMed]
- Ding, Q.; Shi, X.; Zhuang, D.F.; Wang, Y. Temporal and Spatial Distributions of Ecological Vulnerability under the Influence of Natural and Anthropogenic Factors in an Eco-Province under Construction in China. Sustainability 2018, 10, 3087. [Google Scholar] [CrossRef]
- Yu, T.; Bao, A.M.; Xu, W.Q.; Guo, H.; Jiang, L.L.; Zheng, G.X.; Yuan, Y.; Nzabarinda, V. Exploring Variability in Landscape Ecological Risk and Quantifying Its Driving Factors in the Amu Darya Delta. Int. J. Environ. Res. Public Health 2020, 17, 79. [Google Scholar] [CrossRef]
- Chen, Y.L.; Li, H.C.; Karimian, H.; Li, M.M.; Fan, Q.; Xu, Z.G. Spatio-temporal variation of ozone pollution risk and its influencing factors in China based on Geodetector and Geospatial models. Chemosphere 2022, 302, 134843. [Google Scholar] [CrossRef]
- Wang, J.; Xu, C. Geodetector: Principle and prospective. Acta Geogr. Sin. 2017, 72, 116–134. [Google Scholar]
- Zhang, X.L.; Kong, Y.S.; Ding, X.H. How High-Quality Urbanization Affects Utilization Efficiency of Agricultural Water Resources in the Yellow River Basin under Double Control Action? Sustainability 2020, 12, 2869. [Google Scholar] [CrossRef]
- Qu, Y.B.; Zong, H.N.; Su, D.S.; Ping, Z.L.; Guan, M. Land Use Change and Its Impact on Landscape Ecological Risk in Typical Areas of the Yellow River Basin in China. Int. J. Environ. Res. Public Health 2021, 18, 11301. [Google Scholar] [CrossRef]
- Jia, X.; Wang, H.; Wan, H. Sources and trace element geochemical characteristics of the coarse sediment in the Ningxia-Inner Mongolia reaches of the Yellow River. Geosci. J. 2014, 18, 181–192. [Google Scholar] [CrossRef]
- Hossain, M.D.; Chen, D. Segmentation for Object-Based Image Analysis (OBIA): A review of algorithms and challenges from remote sensing perspective. ISPRS J. Photogramm. Remote Sens. 2019, 150, 115–134. [Google Scholar] [CrossRef]
- Wang, H.; Liu, X.; Zhao, C.; Chang, Y.; Liu, Y.; Zang, F. Spatial-temporal pattern analysis of landscape ecological risk assessment based on land use/land cover change in Baishuijiang National nature reserve in Gansu Province, China. Ecol. Indic. 2021, 124, 107454. [Google Scholar] [CrossRef]
- Gong, J.; Cao, E.; Xie, Y.; Xu, C.; Li, H.; Yan, L. Integrating ecosystem services and landscape ecological risk into adaptive management: Insights from a western mountain-basin area, China. J. Environ. Manag. 2021, 281, 111817. [Google Scholar] [CrossRef] [PubMed]
- Ai, J.; Yu, K.; Zeng, Z.; Yang, L.; Liu, Y.; Liu, J. Assessing the dynamic landscape ecological risk and its driving forces in an island city based on optimal spatial scales: Haitan Island, China. Ecol. Indic. 2022, 137, 108771. [Google Scholar] [CrossRef]
- Liu, D.; Chen, H.; Zhang, H.; Geng, T.; Shi, Q. Spatiotemporal Evolution of Landscape Ecological Risk Based on Geomorphological Regionalization during 1980–2017: A Case Study of Shaanxi Province, China. Sustainability 2020, 12, 941. [Google Scholar] [CrossRef]
- Ghulam, A.; Ghulam, O.; Maimaitijiang, M.; Freeman, K.; Porton, I.; Maimaitiyiming, M. Remote Sensing Based Spatial Statistics to Document Tropical Rainforest Transition Pathways. Remote Sens. 2015, 7, 6257–6279. [Google Scholar] [CrossRef]
- Fu, J.; Zhang, Q.; Wang, P.; Zhang, L.; Tian, Y.; Li, X. Spatio-Temporal Changes in Ecosystem Service Value and Its Coordinated Development with Economy: A Case Study in Hainan Province, China. Remote Sens. 2022, 14, 970. [Google Scholar] [CrossRef]
- Ma, W.; Feng, G.; Zhang, Q. Status of Nature Reserves in Inner Mongolia, China. Sustainability 2016, 8, 889. [Google Scholar] [CrossRef]
- Li, Q.; Zhang, X.; Liu, Q.; Liu, Y.; Yong, D.; Zhang, Q. Impact of Land Use Intensity on Ecosystem Services: An Example from the Agro-Pastoral Ecotone of Central Inner Mongolia. Sustainability 2017, 9, 1030. [Google Scholar] [CrossRef]
- Song, Y.; Wang, J.; Ge, Y.; Xu, C. An optimal parameters-based geographical detector model enhances geographic characteristics of explanatory variables for spatial heterogeneity analysis: Cases with different types of spatial data. GIScience Remote Sens. 2020, 57, 593–610. [Google Scholar] [CrossRef]
- Wang, J.-F.; Zhang, T.-L.; Fu, B.-J. A measure of spatial stratified heterogeneity. Ecol. Indic. 2016, 67, 250–256. [Google Scholar] [CrossRef]
- Wu, J.G.; Zhang, Q.; Li, A.; Liang, C.Z. Historical landscape dynamics of Inner Mongolia: Patterns, drivers, and impacts. Landsc. Ecol. 2015, 30, 1579–1598. [Google Scholar] [CrossRef]
- Levita, T.; Miao, Q.F.; Goncalves, D.M.; Goncalves, J.M.; IEEE. Developing a Web-based service to support on-farm irrigation on Hetao Irrigation District, China. In Proceedings of the 14th Iberian Conference on Information Systems and Technologies (CISTI), Coimbra, Portugal, 19–22 June 2019. [Google Scholar]
- Huang, G.Q.; Tsai, F.S. Social Innovation for Food Security and Tourism Poverty Alleviation: Some Examples from China. Front. Psychol. 2021, 12, 614469. [Google Scholar] [CrossRef] [PubMed]
- Dong, X.M.; Xu, S.N. Spatial evolution characteristics of urban and rural settlements in Inner Mongolia. Arab. J. Geosci. 2020, 13, 1214. [Google Scholar] [CrossRef]
- Du, L.; Dong, C.; Kang, X.; Qian, X.; Gu, L. Spatiotemporal evolution of land cover changes and landscape ecological risk assessment in the Yellow River Basin, 2015–2020. J. Environ. Manag. 2023, 332, 117149. [Google Scholar] [CrossRef]
- Huang, T.; Zhang, Y. Transformation of land use function and response of eco-environment based on "production-life-ecology space": A case study of resource-rich area in western Guangxi. Acta Ecol. Sin. 2020, 41, 348–359. [Google Scholar]
- Deng, J.S.; Wang, K.; Hong, Y.; Qi, J.G. Spatio-temporal dynamics and evolution of land use change and landscape pattern in response to rapid urbanization. Landsc. Urban Plan. 2009, 92, 187–198. [Google Scholar] [CrossRef]
- Wang, S.J.; Li, J.; Wu, D.Q.; Liu, J.; Zhang, K.; Wang, R.Q. The strategic ecological impact assessment of urban development policies: A case study of Rizhao City, China. Stoch. Environ. Res. Risk Assess. 2009, 23, 1169–1180. [Google Scholar] [CrossRef]
- Liu, C.; Chen, L.; Vanderbeck, R.M.; Valentine, G.; Zhang, M.; Diprose, K.; McQuaid, K. A Chinese route to sustainability: Postsocialist transitions and the construction of ecological civilization. Sustain. Dev. 2018, 26, 741–748. [Google Scholar] [CrossRef]
- Zhao, Y.; Yan, Y.; Liu, Q.; Li, F.Y. How Willing Are Herders to Participate in Carbon Sequestration and Mitigation? An Inner Mongolian Grassland Case. Sustainability 2018, 10, 2808. [Google Scholar] [CrossRef]
- Li, T.T.; Zhang, Q.; Singh, V.P.; Zhao, J.Q.; Song, J.B.; Sun, S.; Wang, G.; Shen, Z.X.; Wu, W.H. Identification of Degradation Areas of Ecological Environment and Degradation Intensity Assessment in the Yellow River Basin. Front. Earth Sci. 2022, 10, 1220. [Google Scholar] [CrossRef]
- Li, Q. Study on the Construction of the Legal Guarantee System of Ecological Civilization Construction at Present. In Proceedings of the International Conference on Arts, Management, Education and Innovation (ICAMEI), Seoul, Republic of Korea, 12–14 January 2019; pp. 739–742. [Google Scholar]
- Wang, N.; Guo, J.L.; Zhang, J.; Fan, Y. Comparing eco-civilization theory and practice: Big-data evidence from China. J. Clean. Prod. 2022, 380, 134754. [Google Scholar] [CrossRef]
- Hope, B.K. An examination of ecological risk assessment and management practices. Environ. Int. 2006, 32, 983–995. [Google Scholar] [CrossRef] [PubMed]
- Meng, J.J.; Xiang, Y.Y.; Yan, Q.; Mao, X.Y.; Zhu, L.K. Assessment and management of ecological risk in an agricultural-pastoral ecotone: Case study of Ordos, Inner Mongolia, China. Nat. Hazards 2015, 79, 195–213. [Google Scholar] [CrossRef]









| 1990/2020 | Cropland | Forest | Grassland | Rivers | Lakes | Swamp | Construction Land | Bare Land | Total |
|---|---|---|---|---|---|---|---|---|---|
| Cropland | 72.16 | 4.77 | 26.49 | 1.00 | 0.16 | 1.32 | 7.66 | 3.53 | 117.09 |
| Forest | 1.51 | 24.46 | 2.59 | 0.15 | 0.04 | 0.19 | 0.51 | 0.01 | 29.46 |
| Grassland | 89.76 | 63.15 | 845.69 | 2.70 | 1.70 | 2.98 | 50.22 | 37.23 | 1093.44 |
| Rivers | 0.86 | 0.04 | 0.90 | 3.02 | 0.33 | 0.60 | 1.07 | 0.83 | 7.65 |
| Lakes | 0.14 | 0.04 | 0.24 | 0.36 | 2.64 | 0.51 | 0.39 | 0.06 | 4.37 |
| Swamp | 4.42 | 0.14 | 2.70 | 1.83 | 0.53 | 2.73 | 2.28 | 2.09 | 16.72 |
| Building | 2.05 | 0.18 | 2.22 | 0.28 | 0.06 | 0.24 | 6.05 | 0.85 | 11.94 |
| Bare land | 13.62 | 0.61 | 101.94 | 2.07 | 0.41 | 1.15 | 10.28 | 61.12 | 191.20 |
| Total | 184.53 | 93.38 | 982.76 | 11.41 | 5.87 | 9.72 | 78.48 | 105.72 |
| Lowest Risk | Lower Risk | Middle Risk | Higher Risk | Highest Risk | ||||||
|---|---|---|---|---|---|---|---|---|---|---|
| Percent (%) | Area (104 ha) | Percent (%) | Area (104 ha) | Percent (%) | Area (104 ha) | Percent (%) | Area (104 ha) | Percent (%) | Area (104 ha) | |
| 1990 | 10.86% | 143,869.68 | 46.59% | 617,184.18 | 17.65% | 233,826.30 | 15.35% | 203,295.78 | 9.55% | 126,554.94 |
| 1995 | 9.74% | 129,007.44 | 48.73% | 64,5529.50 | 18.73% | 248,102.10 | 14.38% | 190,527.75 | 8.42% | 111,564.09 |
| 2000 | 10.90% | 144,393.84 | 54.50% | 721,953.54 | 19.71% | 261,117.09 | 10.30% | 136,412.91 | 4.59% | 60,853.41 |
| 2005 | 11.75% | 155,696.58 | 54.59% | 723,161.34 | 20.03% | 265,330.89 | 9.76% | 129,247.83 | 3.87% | 51,294.25 |
| 2010 | 15.07% | 199,674.18 | 57.26% | 758,584.62 | 13.72% | 181,704.87 | 9.74% | 129,068.73 | 4.20% | 55,698.42 |
| 2015 | 9.81% | 129,933.09 | 62.66% | 830,081.25 | 18.01% | 238,548.51 | 6.51% | 862,24.19 | 3.01% | 39,917.73 |
| 2020 | 10.71% | 141,858.63 | 60.46% | 800,966.97 | 17.51% | 231,920.01 | 7.87% | 104,287.77 | 3.45% | 45,697.49 |
Disclaimer/Publisher’s Note: The statements, opinions and data contained in all publications are solely those of the individual author(s) and contributor(s) and not of MDPI and/or the editor(s). MDPI and/or the editor(s) disclaim responsibility for any injury to people or property resulting from any ideas, methods, instructions or products referred to in the content. |
© 2023 by the authors. Licensee MDPI, Basel, Switzerland. This article is an open access article distributed under the terms and conditions of the Creative Commons Attribution (CC BY) license (https://creativecommons.org/licenses/by/4.0/).
Share and Cite
Zhang, H.; Zhang, J.; Lv, Z.; Yao, L.; Zhang, N.; Zhang, Q. Spatio-Temporal Assessment of Landscape Ecological Risk and Associated Drivers: A Case Study of the Yellow River Basin in Inner Mongolia. Land 2023, 12, 1114. https://doi.org/10.3390/land12061114
Zhang H, Zhang J, Lv Z, Yao L, Zhang N, Zhang Q. Spatio-Temporal Assessment of Landscape Ecological Risk and Associated Drivers: A Case Study of the Yellow River Basin in Inner Mongolia. Land. 2023; 12(6):1114. https://doi.org/10.3390/land12061114
Chicago/Turabian StyleZhang, Hengrui, Jianing Zhang, Zhuozhuo Lv, Linjie Yao, Ning Zhang, and Qing Zhang. 2023. "Spatio-Temporal Assessment of Landscape Ecological Risk and Associated Drivers: A Case Study of the Yellow River Basin in Inner Mongolia" Land 12, no. 6: 1114. https://doi.org/10.3390/land12061114
APA StyleZhang, H., Zhang, J., Lv, Z., Yao, L., Zhang, N., & Zhang, Q. (2023). Spatio-Temporal Assessment of Landscape Ecological Risk and Associated Drivers: A Case Study of the Yellow River Basin in Inner Mongolia. Land, 12(6), 1114. https://doi.org/10.3390/land12061114

