Effect of Vegetation Removal on Soil Erosion and Bank Stability in Agricultural Drainage Ditches
Abstract
1. Introduction
2. Materials and Methods
2.1. Field Site
2.2. Sample Preparation
2.3. Texture Analysis
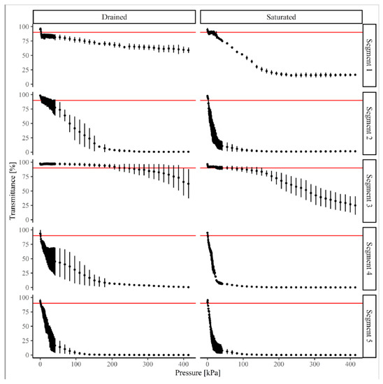
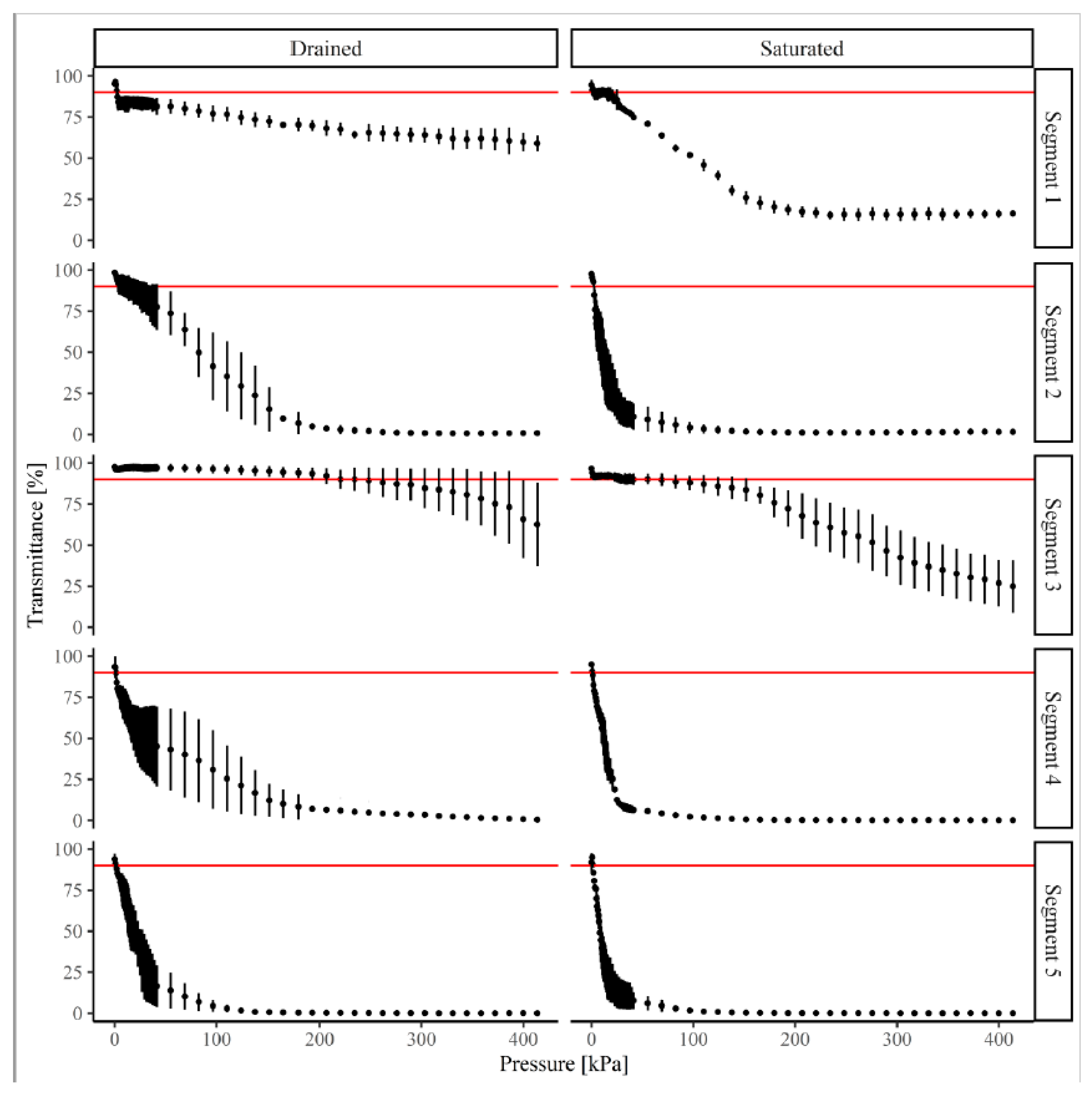
2.4. Cohesive Strength Meter (CSM)
2.5. Unsaturated Direct Shear Test
2.6. Plant Roots in the Soil
2.7. Estimation of Water-Induced Shear Stresses
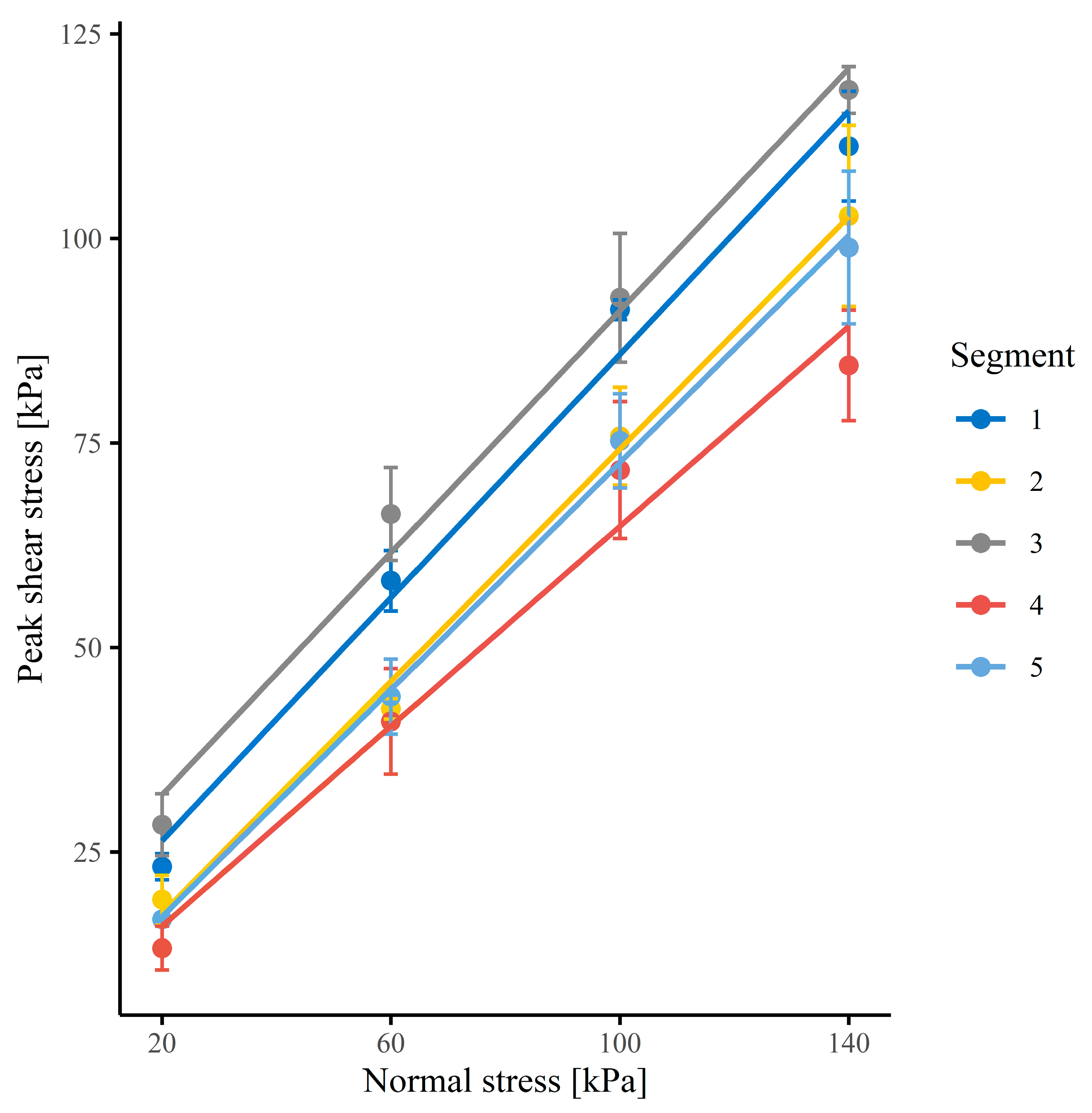
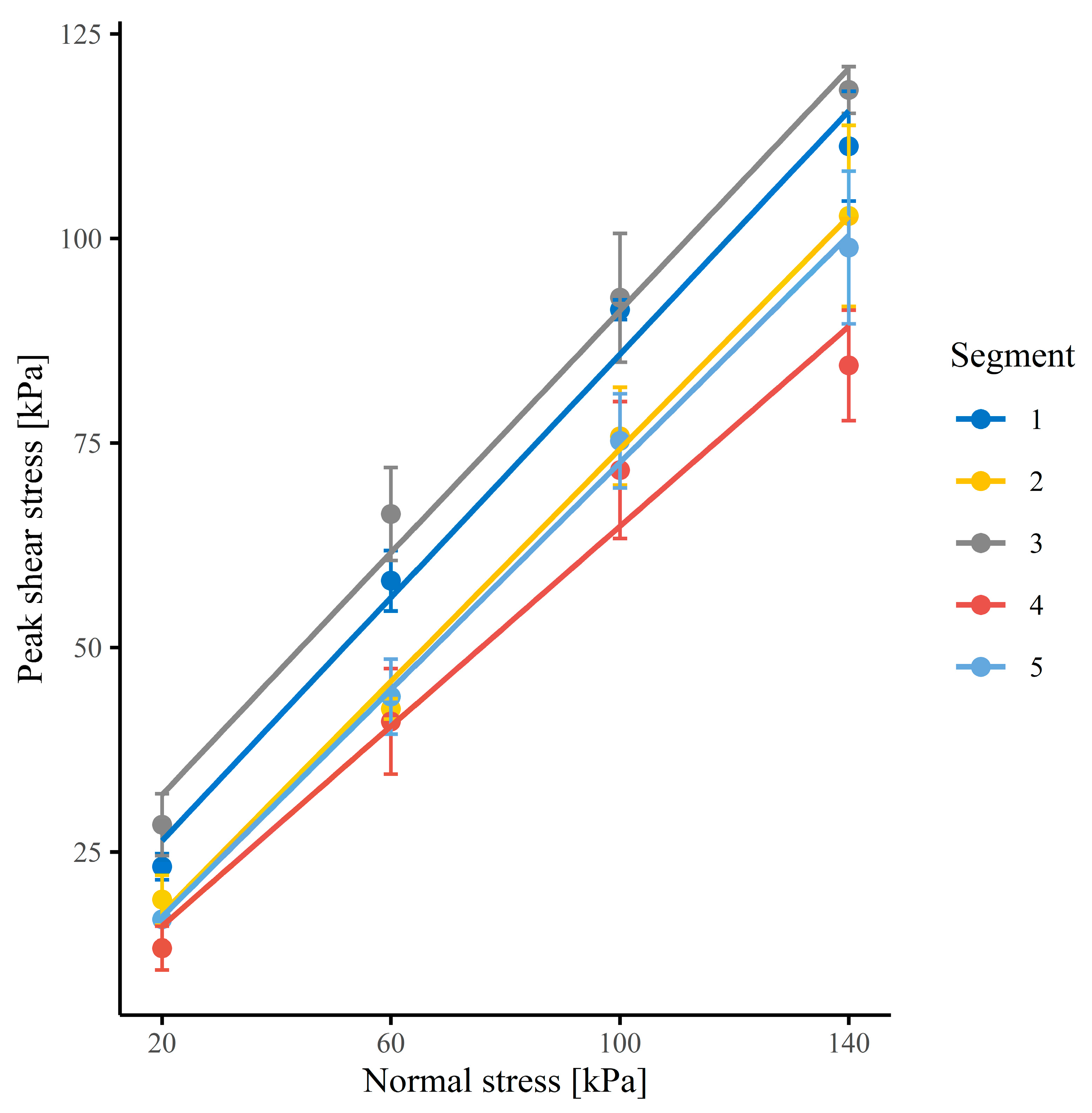
3. Results and Discussion
4. Conclusions
Author Contributions
Funding
Acknowledgments
Conflicts of Interest
References
- Dotterweich, M. The history of human-induced soil erosion: Geomorphic legacies, early descriptions and research, and the development of soil conservation-A global synopsis. Geomorphology 2013, 201, 1–34. [Google Scholar] [CrossRef]
- Montgomery, D.R. Soil erosion and agricultural sustainability. Proc. Natl. Acad. Sci. USA 2007, 104, 13268–13272. [Google Scholar] [CrossRef] [PubMed]
- Szilassi, P.; Jordan, G.; van Rompaey, A.; Csillag, G. Impacts of historical land use changes on erosion and agricultural soil properties in the Kali Basin at Lake Balaton, Hungary. Catena 2006, 68, 96–108. [Google Scholar] [CrossRef]
- Lal, R. Soil erosion and the global carbon budget. Environ. Int. 2003, 29, 437–450. [Google Scholar] [CrossRef]
- Lal, R. Soil degradation by erosion. Land Degrad. Dev. 2001, 12, 519–539. [Google Scholar] [CrossRef]
- Pimentel, D.; Burgess, M. Soil Erosion Threatens Food Production. Agriculture 2013, 3, 443–463. [Google Scholar] [CrossRef]
- Pimentel, D.; Allen, J.; Beers, A.; Guinand, L.; Linder, R.; McLaughlin, P.; Meer, B.; Musonda, D.; Perdue, D.; Poisson, S.; et al. World Agriculture and Soil Erosion. BioScience 1987, 37, 277–283. [Google Scholar] [CrossRef]
- Dollinger, J.; Dagès, C.; Bailly, J.-S.; Lagacherie, P.; Voltz, M. Managing ditches for agroecological engineering of landscape. A review. Agron. Sustain. Dev. 2015, 35, 999–1020. [Google Scholar] [CrossRef]
- Bos, M.; Boers, T.M. Land drainage: Why and how. Drain. Princ. Appl. 2006, 3, 23–32. [Google Scholar]
- Avilés, D. Soil Erosion and Mass Movement in Agricultural Drainage Ditches. Ph.D. Thesis, Swedish University of Agricultural Sciences, Uppsala, Sweden, 2020. [Google Scholar]
- Magner, J.A.; Hansen, B.J.; Anderson, C.; Wilson, B.N.; Nieber, J.L. Minnesota agricultural ditch reach assessment for stability (MADRAS): A decision support tool. In Proceedings of the 9th International Drainage Symposium Held Jointly with CIGR and CSBE/SCGAB Proceedings, Québec City Convention Centre, Quebec City, QC, Canada, 13–16 June 2010. [Google Scholar]
- Bull, L.J. Magnitude and variation in the contribution of bank erosion to the suspended sediment load of the River Severn, UK. Earth Surf. Process. Landf. 1997, 22, 1109–1123. [Google Scholar] [CrossRef]
- Bordoni, M.; Meisina, C.; Vercesi, A.; Bischetti, G.B.; Chiaradia, E.A.; Vergani, C.; Chersich, S.; Valentino, R.; Bittelli, M.; Comolli, R.; et al. Quantifying the contribution of grapevine roots to soil mechanical reinforcement in an area susceptible to shallow landslides. Soil Tillage Res. 2016, 163, 195–206. [Google Scholar] [CrossRef]
- Fan, C.C.; Su, C.F. Role of roots in the shear strength of root-reinforced soils with high moisture content. Ecol. Eng. 2008, 33, 157–166. [Google Scholar] [CrossRef]
- Li, Y.; Wang, Y.; Ma, C.; Zhang, H.; Wang, Y.; Song, S.; Zhu, J. Influence of the spatial layout of plant roots on slope stability. Ecol. Eng. 2016, 91, 477–486. [Google Scholar] [CrossRef]
- Comino, E.; Marengo, P.; Rolli, V. Root reinforcement effect of different grass species: A comparison between experimental and models results. Soil Tillage Res. 2010, 110, 60–68. [Google Scholar] [CrossRef]
- Chok, Y.; Jaksa, M.; Kaggwa, W.; Griffiths, D. Assessing the influence of root reinforcement on slope stability by finite elements. Int. J. Geo Eng. 2015, 6, 1–13. [Google Scholar] [CrossRef]
- Curran, J.C.; Hession, W.C. Vegetative impacts on hydraulics and sediment processes across the fluvial system. J. Hydrol. 2013, 505, 364–376. [Google Scholar] [CrossRef]
- Levavasseur, F. Time-varying impacts of different management regimes on vegetation cover in agricultural ditches. Agric. Water Manag. 2014, 140, 14–19. [Google Scholar] [CrossRef]
- Singh, H.V.; Thompson, A.M. Effect of antecedent soil moisture content on soil critical shear stress in agricultural watersheds. Geoderma 2016, 262, 165–173. [Google Scholar] [CrossRef]
- Lantbruksnämnden i Södermanlands län Kilaån: Förslag till rensningsplan för Kilaåns regleringsföretag av år 1919–1920, ritningsnummer 23:48. 1979.
- SMHI. Dataserier Med Normalvärden för Perioden 1961–1990. Available online: http://www.smhi.se/data/meteorologi/dataserier-med-normalvarden-1.7354 (accessed on 23 October 2020).
- Lantmäteriet. Vi Känner Till Varenda Plats I Sverige. Available online: https://www.lantmateriet.se/ (accessed on 29 October 2020).
- Eshel, G.; Levy, G.J.; Mingelgrin, U.; Singer, M.J. Critical evaluation of the use of laser diffraction for particle-size distribution analysis. Soil Sci. Soc. Am. J. 2004, 68, 736–743. [Google Scholar] [CrossRef]
- Avilés, D.; Berglund, K.; Wesström, I.; Joel, A. Effect of liming products on soil detachment resistance, measured with a cohesive strength meter. Acta Agric. Scand. Sect. B Soil Plant Sci. 2020, 70, 48–55. [Google Scholar] [CrossRef]
- Avilés, D.; Wesström, I.; Joel, A. Status assessment of agricultural drainage ditches. Trans. ASABE 2018, 61, 263–271. [Google Scholar] [CrossRef]
- Tolhurst, T.J.; Black, K.S.; Shayler, S.A.; Mather, S.; Black, I.; Baker, K.; Paterson, D.M. Measuring the in situ erosion shear stress of intertidal sediments with the cohesive strength meter (CSM). Estuar. Coast. Shelf Sci. 1999, 49, 281–294. [Google Scholar] [CrossRef]
- Vardy, S.; Saunders, J.E.; Tolhurst, T.J.; Davies, P.A.; Paterson, D.M. Calibration of the high-pressure cohesive strength meter (CSM). Cont. Shelf Res. 2007, 27, 1190–1199. [Google Scholar] [CrossRef]
- Grabowski, R.C.; Droppo, I.G.; Wharton, G. Estimation of critical shear stress from cohesive strength meterderived erosion thresholds. Limnol. Oceanogr. Methods 2010, 8, 678–685. [Google Scholar]
- Griffiths, D.; Lane, P. Slope stability analysis by finite elements. Geotechnique 1999, 49, 387–403. [Google Scholar] [CrossRef]
- Smith, I.M.; Griffiths, D.V.; Margetts, L. Programming the Finite Element Method, 5th ed.; John Wiley & Sons: The Atrium, UK; Southern Gate, UK; Chichester, UK; West Sussex, UK, 2013. [Google Scholar]
- Lane, E.W. Design of stable channels. Trans. Am. Soc. Civ. Eng. 1955, 120, 1234–1260. [Google Scholar]
- SMHI. Om Data i Vattenwebb. Available online: https://www.smhi.se/data/hydrologi/vattenwebb/om-data-i-vattenwebb (accessed on 29 October 2020).
- U.S. Army Corps of Engineers Table 3-1 Manning’s “n” values. In HEC-RAS River Analysis System Hydraulic Reference Manual. Version 5.0; Hydrologic Engineering Center Davis: Davis, CA, USA, 2016; pp. 3–14, 3–16.
- NRCS Soils. Soil Texture Calculator. Available online: https://www.nrcs.usda.gov/wps/portal/nrcs/detail/soils/survey/?cid=nrcs142p2_054167 (accessed on 23 October 2020).
- Pollen, N. Temporal and spatial variability in root reinforcement of streambanks: Accounting for soil shear strength and moisture. Catena 2007, 69, 197–205. [Google Scholar] [CrossRef]
- Baets, S.D.; Poesen, J.; Gyssels, G.; Knapen, A. Effects of grass roots on the erodibility of topsoils during concentrated flow. Geomorphology 2006, 76, 54–67. [Google Scholar] [CrossRef]
- Pollen-Bankhead, N.; Simon, A.; Thomas, R.E. The Reinforcement of Soil by Roots: Recent Advances and Directions for Future Research. Treatise Geomorphol. 2013, 12, 107–124. [Google Scholar]






| Description | Fine 1 |
|---|---|
| Jet duration (s) | 1.0 |
| Data logged for (s) | 3.0 |
| Data logged every (s) | 0.1 |
| Starting pressure * (kPa) | 0.7 |
| Pressure increment (kPa) | 0.7 |
| Up to (kPa) | 16.5 |
| Then from (kPa) | 18.6 |
| Increasing by (kPa) | 2.1 |
| Up to (kPa) | 41.4 |
| Then from (kPa) | 55.1 |
| Increasing by (kPa) | 13.7 |
| Up to (kPa) | 413.7 |
| Segment | Fine Clay | Coarse Clay | Silt | Sand |
|---|---|---|---|---|
| (<0.2 µm) | (0.2–2 µm) | (2–20 µm) | (20–2000 µm) | |
| 1 | 4.4 ± 0.1 | 22.2 ± 0.3 | 61.2 ± 0.8 | 12.2 ± 0.5 |
| 2 | 6.3 ± 0.4 | 21.2 ± 1.6 | 63.2 ± 1.6 | 9.3 ± 0.7 |
| 3 | 5.2 ± 0.9 | 22.2 ± 0.3 | 64.2 ± 1.8 | 8.4 ± 2.9 |
| 4 | 4.1 ± 0.3 | 21.7 ± 0.8 | 63.4 ± 2.6 | 10.8 ± 1.5 |
| 5 | 6.4 ± 2.6 | 25.2 ± 1.5 | 53.3 ± 5.2 | 15.1 ± 1.5 |
| Pi_cr (kPa) | T (%) | Psurface_cr (Pa) | τcrit (Pa) | |||||
|---|---|---|---|---|---|---|---|---|
| Segment | Drained | Saturated | Drained | Saturated | Drained | Saturated | Drained | Saturated |
| 1 | 2.75 | 2.75 | 87.3 | 89 | 13.69 | 13.69 | 0.22 | 0.22 |
| 2 | 10.34 | 2.75 | 89.9 | 84.9 | 54.49 | 13.69 | 0.76 | 0.22 |
| 3 | 248.21 | 35.16 | 89.3 | 89.9 | 1236.08 | 175.09 | 16.11 | 2.32 |
| 4 | 1.38 | 1.38 | 89.9 | 88.6 | 6.87 | 6.87 | 0.14 | 0.14 |
| 5 | 2.07 | 1.38 | 85.6 | 89.8 | 10.3 | 6.87 | 0.18 | 0.14 |
| Segment | Total Cohesion, cT (kPa) | Slope/ϕ’ | Root Density (kg/m3) | Vegetation Status |
|---|---|---|---|---|
| 1 | 11.5 | 0.74/36.5° | 17.4 ± 3.4 | Present |
| 2 | 3.3 | 0.71/35.4° | 2.5 * ± 1.3 | Removed |
| 3 | 17.2 | 0.73/36.1° | 12 ±2.2 | Present |
| 4 | 3.7 | 0.61/31.4° | 2.2 * ± 1.0 | Removed |
| 5 | 3.2 | 0.69/34.6° | 1.8 ± 0.9 | Removed |
| Soil Status | Total Cohesion (cT) (kPa) | Angle of Friction (ϕ’) |
|---|---|---|
| Vegetated | 14.3 | 36.3° |
| Non-vegetated | 3.4 | 33.8° |
| FoS | ||||
|---|---|---|---|---|
| Scenario * | Depth of Root Region (h) [m] | 1:0.25 | Slope (V:H) 1:0.5 | 1:1 |
| Entire cross-section with soil with low root density | - | 0.90 | 1.12 | 1.56 |
| Top of the slope with soil with high root density | 0.1 | 0.93 | 1.14 | 1.60 |
| Top and slope with soil with high root density | 1.12 | 1.34 | 1.63 | |
| Top of the slope with soil with high root density | 0.6 | 1.17 | 1.41 | 1.88 |
| Top and slope with soil with high root density | 1.73 | 1.84 | 2.05 | |
| Segment Status | τcrit (Pa) | τbank (Pa) |
|---|---|---|
| Non-vegetated (segments 2, 4, 5) | 0.14–2.22 | 11.1–11.4 |
| Vegetated (segments 1 and 3) | 0.22–16.11 | 16.1–16.7 |
Publisher’s Note: MDPI stays neutral with regard to jurisdictional claims in published maps and institutional affiliations. |
© 2020 by the authors. Licensee MDPI, Basel, Switzerland. This article is an open access article distributed under the terms and conditions of the Creative Commons Attribution (CC BY) license (http://creativecommons.org/licenses/by/4.0/).
Share and Cite
Aviles, D.; Wesström, I.; Joel, A. Effect of Vegetation Removal on Soil Erosion and Bank Stability in Agricultural Drainage Ditches. Land 2020, 9, 441. https://doi.org/10.3390/land9110441
Aviles D, Wesström I, Joel A. Effect of Vegetation Removal on Soil Erosion and Bank Stability in Agricultural Drainage Ditches. Land. 2020; 9(11):441. https://doi.org/10.3390/land9110441
Chicago/Turabian StyleAviles, Daniel, Ingrid Wesström, and Abraham Joel. 2020. "Effect of Vegetation Removal on Soil Erosion and Bank Stability in Agricultural Drainage Ditches" Land 9, no. 11: 441. https://doi.org/10.3390/land9110441
APA StyleAviles, D., Wesström, I., & Joel, A. (2020). Effect of Vegetation Removal on Soil Erosion and Bank Stability in Agricultural Drainage Ditches. Land, 9(11), 441. https://doi.org/10.3390/land9110441

