Assessing Riparian Vegetation Condition and Function in Disturbed Sites of the Arid Northwestern Mexico
Abstract
:1. Introduction
2. Materials and Methods
2.1. Study Area
2.2. Disturbance Assessment
2.3. Field Measurements and Derivation of Diversity Index
2.4. Aerial Imagery Sampling and Mosaicking
2.4.1. Aerial Imagery Sampling
2.4.2. Mosaicking process
2.5. Satellite Imagery
2.6. Vegetation Index Derivation
2.7. Land Cover Assessment
2.8. Cover Estimations from the Combination of Aerial and Satellite Imagery
2.9. Photosynthesis Analysis on Land Cover Classes
2.9.1. Seasonal Photosynthetic Activity per Land Cover Class
2.9.2. Photosynthetic Activity of Riparian Vegetation and Riparian Mesquite Woodland
2.9.3. Photosynthetic Activity and Disturbance
3. Results
3.1. Site Classification According to the ADI
3.2. Cover, Composition and Diversity from Field Estimations
3.2.1. Vegetation Strata Cover for Riparian Vegetation and Desert Scrub Stands
3.2.2. Shrub and Tree Composition for Riparian Vegetation and Desert Scrub Stands
3.2.3. Shrub and Tree Diversity and Richness for Riparian Vegetation and Desert Scrub Stands
3.3. Land Cover Assessment from Aerial Imagery
3.4. Photosynthetic Activity Analysis
3.4.1. Seasonal Photosynthetic Activity per Vegetation Type
3.4.2. Photosynthetic Activity of Riparian Vegetation and Riparian Mesquite Woodland
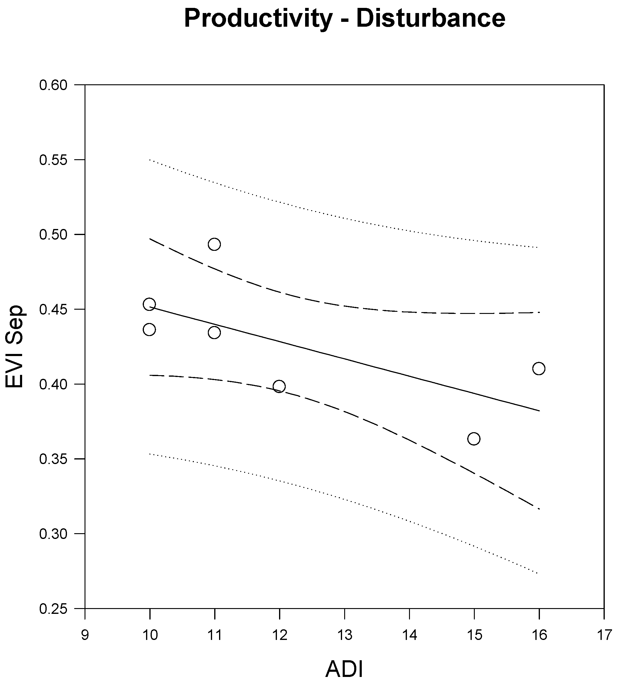
3.4.3. Photosynthetic Activity and Disturbance
4. Discussion
4.1. Disturbance in the SMR Watershed
4.2. Cover and Composition of Riparian habitats and Desert Habitats
4.3. Photosynthetic Activity of Riparian Habitats and Desert Habitats
5. Conclusions
Supplementary Materials
Acknowledgments
Author Contributions
Conflicts of Interest
References
- Stromberg, J.; Tellman, B. Ecology and Conservation of the San Pedro River; The University of Arizona Press: Tucson, AZ, USA, 2009. [Google Scholar]
- Stromberg, J.; Briggs, M.; Gourley, C.; Scott, M.; Shafroth, P.; Stevens, L. Human alterations of riparian ecosystems. In Riparian Areas of the Southwestern United States. Hydrology, Ecology, and Management; Baker, M.B., Ffolliott, P.F., DeBano, L., Neary, D.G., Eds.; Lewis Publishers: Boca Raton, FL, USA, 2004; p. 429. [Google Scholar]
- Obedzinski, R.A.; Shaw, C.G.; Neary, D.G. Declining woody vegetation in riparian ecosystems of the western united states. West. J. Appl. For. 2001, 16, 169–181. [Google Scholar]
- Zaimes, G. Understanding Arizona’s Riparian Areas; Zaimes, G., Ed.; Arizona Cooperative Extension—The University of Arizona: Tucson, AZ, USA, 2007. [Google Scholar]
- CONAGUA. Actualización de la Disponibilidad Media Anual de Agua en el Acuífero Río San Miguel (2625), Estado de Sonora; Secretaría de Medio Ambiente y Recursos Naturales—Comisión Nacional del Agua: México, 2015.
- Moreno, J.L.; Marañón, B.; López, D. Los acuíferos sobreexplotados: Origen, crisis y gestión social. In El Agua en México: Cauces y Encauces; Academia Mexicana de Ciencias: Tlalpan, México, 2010; p. 702. [Google Scholar]
- CONAGUA. Disponibilidad Media Anual de Agua Subterránea. 2625 Río San Miguel; Secretaría de Medio Ambiente y Recursos Naturales—Comisión Nacional del Agua: México, 2009.
- Mendez-Estrella, R.; Romo-Leon, J.; Castellanos, A.; Gandarilla-Aizpuro, F.; Hartfield, K. Analyzing landscape trends on agriculture, introduced exotic grasslands and riparian ecosystems in arid regions of mexico. Remote Sens. 2016, 8, 664. [Google Scholar] [CrossRef]
- Williams, C.A.; Cooper, D.J. Mechanisms of riparian cottonwood decline along regulated rivers. Ecosystems 2005, 8, 382–395. [Google Scholar] [CrossRef]
- Petrakis, R.E.; van Leeuwen, W.J.D.; Villarreal, M.L.; Tashjian, P.; Dello Russo, R.; Scott, C.A. Historical analysis of riparian vegetation change in response to shifting management objectives on the middle rio grande. Land 2017, 6, 29. [Google Scholar] [CrossRef]
- Scott, M.L.; Nagler, P.L.; Glenn, E.P.; Valdes-Casillas, C.; Erker, J.A.; Reynolds, E.W.; Shafroth, P.B.; Gomez-Limon, E.; Jones, C.L. Assessing the extent and diversity of riparian ecosystems in Sonora, Mexico. Biodivers. Conserv. 2009, 18, 247–269. [Google Scholar] [CrossRef]
- Lite, S.J.; Bagstad, K.J.; Stromberg, J.C. Riparian plant species richness along lateral and longitudinal gradients of water stress and flood disturbance, san pedro river, arizona, USA. J. Arid Environ. 2005, 63, 785–813. [Google Scholar] [CrossRef]
- Stromberg, J.; Tiller, R.; Richter, B. Effects of ground water decline on riparian vegetation of semiarid regions: The san pedro, arizona. Ecol. Appl. 1996, 6, 113–131. [Google Scholar] [CrossRef]
- Shafroth, P.B.; Cleverly, J.R.; Dudley, T.L.; Taylor, J.P.; Van Riper, C., III; Weeks, E.P.; Stuart, J.N. Control of tamarix in the western united states: Implications for water salvage, wildlife use, and riparian restoration. Environ. Manag. 2005, 35, 231–246. [Google Scholar] [CrossRef] [PubMed]
- Villaseñor, J.F. Habitat Use and the Effects of Disturbance on Wintering Birds Using Riparian Habitats in Sonora, Mexico; University of Montana: Missoula, MT, USA, 2007. [Google Scholar]
- DeBano, L.F.; DeBano, S.J.; Wooster, D.E.; Baker, M.B. Linkages between riparian corridors and surrounding watersheds. In Riparian Areas of the Southwestern United States. Hydrology, Ecology, and Management; Baker, M.B., Ffolliott, P.F., DeBano, L., Neary, D.G., Eds.; Lewis Publishers: Boca Raton, FL, USA, 2004; p. 429. [Google Scholar]
- Nguyen, U.; Glenn, E.; Nagler, P.; Scott, R. Long-term decrease in satellite vegetation indices in response to environmental variables in an iconic desert riparian ecosystem: The Upper San Pedro, Arizona, USA. Ecohydrology 2014, 8, 610–625. [Google Scholar] [CrossRef]
- Jones, K.B.; Slonecker, E.T.; Nash, M.S.; Neale, A.C.; Wade, T.G.; Hamann, S. Riparian habitat changes across the continental united states (1972–2003) and potential impications for sustaining ecosystem services. Landsc. Ecol. 2010, 25, 1261–1275. [Google Scholar] [CrossRef]
- Chan, D. Using Ecosystem Services to Understand the Impact of Land Cover Change: A Case Study of the Upper San Pedro Watershed; University of Arizona: Tucson, AZ, USA, 2013. [Google Scholar]
- Patten, D. Riparian ecosytems of semi-arid north america: Diversity and human impacts. Wetlands 1998, 18, 498–512. [Google Scholar] [CrossRef]
- Navarro-Navarro, L.A.; Moreno-Vazquez, J.L.; Scott, C.A. Social networks for management of water scarcity: Evidence from the san miguel watershed, sonora, mexico. Water Altern. 2017, 10, 41–64. [Google Scholar]
- Lutz, A.N. Human Adaptation to Social and Environmental Change in Rural Communities of the San Miguel Watershed in Arid Northwest Mexico; The University of Arizona: Tucson, AZ, USA, 2017. [Google Scholar]
- Díaz-Caravantes, R.E.; Sánchez-Flores, E. Water transfer effects on peri-urban land use/land cover: A case study in a semi-arid region of mexico. Appl. Geogr. 2011, 31, 413–425. [Google Scholar] [CrossRef]
- House-Peters, L.; Scott, C.A. Assessing the impacts of land use change on water availability, management, and resilience in arid region riparian corridors: A case study of the san pedro and rio sonora watersheds in southwestern USA and northwestern mexico. In Proceedings of the XIV World Water Congress of the International Water Resources Association, Porto de Galinhas, Brazil, 25–29 September 2011. [Google Scholar]
- Ely, C.C.; Kepner, W.G.; Goodrich, D.C.; Nash, M.S. Investigating Historic Parcel Changes to Understand Land Use Trends—A Methodology and Application for the San Pedro River Watershed; United States Environmental Protection Agency: Washington, DC, USA, 2013.
- Webb, R.H.; Leake, S.A. Ground-water surface-water interactions and long-term change in riverine riparian vegetation in the southwestern united states. J. Hydrol. 2006, 320, 302–323. [Google Scholar] [CrossRef]
- Villarreal, M.; Leeuwen, W.V.; Romo, J.R. Mapping and monitoring riparian vegetation distribution, structure and composition with regression tree models and post-classification change metrics. Int. J. Remote Sens. 2012, 33, 4266–4290. [Google Scholar] [CrossRef]
- Castellanos-Villegas, A.; Bravo, L.; Koch, G.; Llano, J.; López, D.; Méndez, R.; Rodríguez, J.; Romo, R.; Sisk, T.D.; Yanes-Arvayo, G. Impactos ecológicos por el uso del terreno en el funcionamiento de ecosistemas áridos y semiáridos. In Diversidad Biológica de Sonora; Freaner, F.M., Devender, T.V., Eds.; UNAM-CONABIO: Hermosillo, Mexico, 2010. [Google Scholar]
- Búrquez, A.; Martínez-Yrízar, A. Conservation and landscape transformation in sonora, méxico. J. Southwest 1997, 39, 371–398. [Google Scholar]
- Akasheh, O.Z.; Neale, C.M.U.; Jayanthi, H. Detailed mapping of riparian vegetation in the middle rio grande river using high resolution multi-spectral airborne remote sensing. J. Arid Environ. 2008, 72, 1734–1744. [Google Scholar] [CrossRef]
- Jensen, A.; Hardy, T.; McKee, M.; Chen, Y. Using a multispectral autonomous unmanned aerial remote sensing platform (aggieair) for riparian and wetlands applications. In Proceedings of the International Geoscience and Remote Sensing Symposium, Vancouver, BC, Canada, 24–29 July 2011; pp. 3413–3416. [Google Scholar]
- Box, E.O.; Fujiwara, K. Vegetation types and their broad-scale distribution. In Vegetation Ecology, 2nd ed.; John Wiley & Sons, Ltd.: New York, NY, USA, 2013; p. 578. [Google Scholar]
- Lambers, H.; Chapin, F.S., III; Pons, T.L. Plant Physiological Ecology, 2nd ed.; Springer: New York, NY, USA, 2008. [Google Scholar]
- Cohen, W.B.; Goward, S.N. Landsat’s role in ecological applications of remote sensing. BioScience 2004, 54, 535–545. [Google Scholar] [CrossRef]
- Mendez-Estrella, R.; Romo-Leon, J.; Castellanos, A. Mapping changes in carbon storage and productivity services provided by riparian ecosystems of semi-arid environments in northwestern mexico. Int. J. Geo-Inf. 2017, 6, 298. [Google Scholar] [CrossRef]
- Shreve, F.; Wiggins, I.L. Vegetation of the Sonoran Desert; Stanford University Press: Palo Alto, CA, USA, 1964. [Google Scholar]
- Galaz, O. Estructura y Diversidad de la Comunidad de Plantas Del Hábitat Ribereño de la Parte Baja Del Río San Miguel, Sonora; Universidad de Sonora: Hermosillo, Mexico, 2016. [Google Scholar]
- Vivoni, E.; Gutiérrez-Jurado, H.; Aragón, C.; Méndez-Baroso, L.; Rinehart, A.; Wyckoff, R. Variation of hydrometeorological conditions along a topographic transect in northwestern Mexico during the north american monsoon. J. Clim. 2007, 20, 1792–1809. [Google Scholar] [CrossRef]
- CONAGUA. Programa Detallado de Acciones de Gestión Integral Para la Restauración Hidrológica Del Río Sonora; Secretaría de Medio Ambiente y Recursos Naturales—Comisión Nacional del Agua: México, 2013.
- SIAFESON, R.D.E.M.A.D.S. Remas. Available online: http://www.siafeson.com/remas/index.php/ (accessed on 15 January 2018).
- Poff, B.; Koestner, K.A.; Neary, D.G.; Henderson, V. Threats to riparian ecosystems in western North America: An analysis of existing literature1. J. Am. Water Resour. Assoc. 2011, 47, 1241–1254. [Google Scholar] [CrossRef]
- González, M.; García, D. Riparian Quality Index (RQI): A methodology for characterising and assessing the environmental conditions of riparian zones. Limnetica 2011, 30, 235–254. [Google Scholar]
- Mueller-Dombois, D.; Ellenberg, H. Aims and Methods of Vegetation Ecology; John Wiley & Sons: New York, NY, USA, 1974. [Google Scholar]
- Gurevitch, J.; Scheiner, S.M.; Fox, G.A. The Ecology of Plants; Sinauer Associates, Inc.: Sunderland, MA, USA, 2006; p. 574. [Google Scholar]
- Mather, B.T.A.P.M. Classification Methods for Remotely Sensed Data, 2nd ed.; CRC Press—Taylor & Frances Group: Boca Raton, FL, USA, 2009; p. 357. [Google Scholar]
- USGS. Landsat Missions. Available online: https://landsat.usgs.gov/geometry (accessed on 15 January 2018).
- Bannari, A.; Morin, D.; Bonn, F.; Huete, A.R. A review of vegetation indices. Remote Sens. Rev. 1995, 13, 95–120. [Google Scholar] [CrossRef]
- Glenn, E.; Huete, A.; Nagler, P.; Nelson, S. Relationship between remotely-sensed vegetation indices, canopy attributes and plant physiological processes: What vegetation indices can and cannot tell us about the landscape. Sensors 2008, 8, 2136–2160. [Google Scholar] [CrossRef] [PubMed]
- Running, S.W.; Nemani, R.R.; Heinsch, F.A.; Zhao, M.; Reeves, M.; Hashimoto, H. A continuous satellite-derived measure of global terrestrial primary production. BioScience 2004, 54, 547–560. [Google Scholar] [CrossRef]
- Huete, A.; Didan, K.; Miura, T.; Rodriguez, E.P.; Gao, X.; Ferreira, L.G. Overview of the radiometric and biophysical performance of the modis vegetation indices. Remote Sens. Environ. 2002, 83, 195–213. [Google Scholar] [CrossRef]
- McLaughiln, S.P. Riparian flora. In Riparian Areas of the Southwestern United States. Hydrology, Ecology, and Management; Baker, M.B., Ffolliott, P.F., DeBano, L., Neary, D.G., Eds.; Lewis Publishers: Boca Raton, FL, USA, 2004; pp. 127–140. [Google Scholar]
- Clary, W.P.; Kruse, W.H. Livestock grazing in riparian areas: Environmental impacts, management practices and management implications. In Riparian Areas of the Southwestern United States. Hydrology, Ecology, and Management; Baker, M.B., Ffolliott, P.F., DeBano, L., Neary, D.G., Eds.; Lewis Publishers: Boca Raton, FL, USA, 2004; p. 429. [Google Scholar]
- Stromberg, J. Riparian mesquite forests: A review of their ecology, threats, and recovery potential. J. Ariz-Nev. Acad. Sci. 1993, 27, 111–124. [Google Scholar]
- Stromberg, J.C.; Setaro, D.L.; Gallo, E.L.; Lohse, K.A.; Meixner, T. Riparian vegetation of ephemeral streams. J. Arid Environ. 2017, 138, 27–37. [Google Scholar] [CrossRef]
- Malanson, G.P. Riparian Landscapes; Cambridge University Press: Cambridge, UK, 1993; p. 306. [Google Scholar]
- Fernandes, M.R.; Aguiar, F.C.; Ferreira, M.T. Assessing riparian vegetation structure and the influence of land use using landscape metrics and geostatistical tools. Landsc. Urban Plan. 2011, 99, 166–177. [Google Scholar] [CrossRef]
- Fu, B.; Burgher, I. Riparian vegetation ndvi dynamics and its relationship with climate, surface water and groundwater. J. Arid Environ. 2015, 113, 59–68. [Google Scholar] [CrossRef]
- Mendoza, M. Vegetación Ribereña: Indicador de la Salud Del Río de la Reserva de la Biósfera de la Barranca de Metztitlán; Colegio de Postgraduados: Texcoco, Mexico, 2014. [Google Scholar]
- Ramírez, J.E. Caracterización Del Ecosistema de Ribera y su Valor Indicador Del Estado Ecológico en la Subcuenca Valle de Bravo-Amanalco, Estado de México; Universidad Nacional Autónoma de México: Mexico City, Mexico, 2010. [Google Scholar]
- LANCIS. Evidencias de Las Afectaciones a la Integridad Funcional de Los Ecosistemas Del Río Bacanuchi y el Río Sonora Por el Derrame de la Mina Buena Vista Del Cobre: Avances Del Diagnóstico Ambiental; Universidad Nacional Autónoma de México—Laboratorio Nacional de Ciencias de la Sostenibilidad: Mexico City, Mexico, 2016. [Google Scholar]
- Nabhan, G.; Sheridan, T. Living fencerows of the Rio San Miguel, Sonora, Mexico: Traditional technology for floodplain management. Hum. Ecol. 1977, 5, 97–111. [Google Scholar] [CrossRef]
- DeBano, L.F.; Schmidt, L.J. Definitions and classifications. In Riparian Areas of the Southwestern United States. Hydrology, Ecology, and Management; Baker, M.B., Ffolliott, P.F., DeBano, L., Neary, D.G., Eds.; Lewis Publishers: Boca Raton, FL, USA, 2004; p. 429. [Google Scholar]
- CONABIO. Malezas de México. Available online: http://www.conabio.gob.mx/malezasdemexico/2inicio/home-malezas-mexico.htm (accessed on 15 January 2018).
- Van Devender, T.; Felger, R.; Fishbein, M.; Molina-Freaner, F.; Sánchez-Escalante, J.; Reina-Guerrero, A. Biodiversidad de las plantas vasculares. In Diversidad Biológica de Sonora; Molina-Freaner, F., Van Devender, T., Eds.; UNAM—CONABIO: Hermosillo, Mexico, 2010; pp. 229–262. [Google Scholar]
- Stromberg, J.; Beauchamp, V.; Dixon, M.; Lite, S.; Paradzick, C. Importance of low-flow and high-flow characteristics to restoration of riparian vegetation along rivers in arid south-western united states. Freshw. Biol. 2007, 52, 651–679. [Google Scholar] [CrossRef]
- Richardson, D.; Holmes, P.; Esler, K.; Galatowitsch, S.; Stromberg, J.; Kirkamn, S.; Pysek, P.; Hobbs, R. Riparian vegetation: Degradation, alien plant invasions, and restoration prospects. Divers. Distrib. 2007, 13, 126–139. [Google Scholar] [CrossRef]
- Trujillo, C. Interacciones Bióticas y de Nutrientes en el Suelo de la Vegetación Ribereña y Mezquital en el río San Miguel, Sonora; Universidad de Sonora: Hermosillo, Mexico, 2014. [Google Scholar]









| Yes | VALUE | Little/Few | VALUE | No | VALUE | |
|---|---|---|---|---|---|---|
| Superficial water flow | Continuous flow | 1 | Intermittent flow | 2 | Dry riverbed | 3 |
| Presence of Populus and/or Salix species | High frequency of these species | 1 | Lower frequency than other trees | 2 | Absence of these species | 3 |
| Presence or evidence of cattle | Absence of cattle | 1 | Evidence of grazing, feces, or buffel grass | 2 | Cattle was seen near or around the river | 3 |
| Agriculture | No agricultural areas were seen | 1 | Presence of agricultural areas smaller than 100 sq. meters | 2 | Agricultural areas less than 500 m from the river | 3 |
| Roads and/or human settlements | Study site located 500 m away from any road or house | 1 | Presence of roads but no houses | 2 | Houses and roads near the river | 3 |
| Recreational activity | No human presence or infrastructure | 1 | Human presence but no infrastructure | 2 | Evidence of human presence (parking places, grills, trash cans, trash) | 3 |
| ADI | Disturbance Category |
|---|---|
| 6–8 | Low: there’s no observable evidence of anthropogenic disturbance. Superficial water flow is continuous (during rainy season); vegetation is dominated by obligate-riparian species. |
| 9–11 | Low-medium: there’s an observable evidence of human activities in low intensity; vegetation is dominated by obligate-riparian species. |
| 12–14 | Intermediate: superficial water flow may be intermittent, human activities diversify; vegetation is characterized by the presence of facultative-riparian species along with obligate-riparian species. |
| 15–17 | Medium-high: superficial water flow is intermittent or the riverbed is dry, human activities diversify, absence of obligate-riparian species and dominance of non-riparian species. |
| 18 | High: dry riverbed, human activities intensify, absence of obligate-riparian species and dominance of non-riparian species. |
| Variable | Description | How Was It Measured? |
|---|---|---|
| Composition | The list of species found in each stand. | Field identification and registry, herbarium identification. |
| Cover | Vertical crown or shoot-area projection for each vegetation strata (herbs, shrubs and trees) per plot. | Continuous (65%) = crown touching. Intermittent (30–64%) = interlocking or touching crowns interrupted by openings. Open (29%) = crowns not touching or infrequently touching. |
| Richness | Total number of species per stand (for tree and shrub strata only). | Count the different species present on each stand. |
| Diversity | Diversity of each stand (for tree and shrub strata only). | Represented by the Shannon-Weiner diversity index. |
| Dominance | Tree and shrub species with the highest number of individuals per stand. | Count the number of individuals per species. |
| Land Cover Class | Description | Literature |
|---|---|---|
| Riparian Vegetation | The most important tree species found in riparian ecosystems in Sonora are Salix goodingii and S. bonplandiana, Prosopis velutina and Populus fremontii. Common shrubs include Baccharis salicifolia, Hymenoclea monogyra, Acacia constricta and A. farnesiana, Celtis pallida, Nicotiana glauca. | Scott et al. 2009 [11] |
| Riparian Mesquite Woodland | Common vegetation found on streamways includes Prosopis, Parkinsonia florida, Olneya, Acacia greggii and Acacia occidentalis. Common shrubs include Celtis pallida, Baccharis sarothroides and Lycium. | Shreve and Wiggins, 1964 [36] |
| Desert Scrub | Open scrubland with small, low-branching trees, with irregular colonies of shrubs and widely spaced columnar cacti (Stenocereus thurberi, Lophocereus schottii). Parkinsonia, Olneya and Prosopis find their optimum conditions, alternated with colonies of Larrea. Common shrubs include Phaulothamnus spinescens, Mimosa laxiflora and Celtis pallida. | Shreve and Wiggins, 1964 [36] |
| Herbaceous cover | This cover was considered as an independent class, due to the amount of cover variation between seasons, which has a considerable influence on EVI values. | All herbaceous cover identified from the orthomosaic was integrated in this class. |
| Superficial Water Flow | Presence of Populus and/or Salix Species | Presence or Evidence of Cattle | Agriculture | Roads and/or Human Settlements | Recreational Activity | ADI | Disturbance Category | |||||||||||||
|---|---|---|---|---|---|---|---|---|---|---|---|---|---|---|---|---|---|---|---|---|
| Y | L/F | N | Y | L/F | N | Y | L/F | N | Y | L/F | N | Y | L/F | N | Y | L/F | N | |||
| Aguilar Ranch | X | X | X | X | X | X | 11 | Low-medium | ||||||||||||
| Cienega | X | X | X | X | X | X | 12 | Intermediate | ||||||||||||
| Living Fences | X | X | X | X | X | X | 12 | Intermediate | ||||||||||||
| El Cajon | X | X | X | X | X | X | 16 | Medium-high | ||||||||||||
| Nogalera | X | X | X | X | X | X | 15 | Medium-high | ||||||||||||
| Galera | X | X | X | X | X | X | 11 | Low-medium | ||||||||||||
| San Juan Ranch | X | X | X | X | X | X | 10 | Low-medium | ||||||||||||
| Tomas Ranch | X | X | X | X | X | X | 10 | Low-medium | ||||||||||||
| Aguilar Ranch | Cienega | Living Fences | El Cajon | Nogalera | Galera | San Juan Ranch | Tomas Ranch | |
|---|---|---|---|---|---|---|---|---|
| Bushes | Ricinus communis Baccharis salicifolia | Celtis pallida | Baccharis salicifolia Nicotiana glauca | Celtis pallida Vallesia glabra | Lycium berlandieri | Ricinus communis Nicotiana glauca Ambrosia ambrosioides | Nicotiana glauca Baccharis salicifolia Ricinus communis | Baccharis salicifolia |
| Trees | Populus fremontii Prosopis velutina Acacia farnesiana | Fraxinus velutina | Salix gooddingii | Prosopis velutina | Parkinsonia florida Prosopis velutina | Populus fremontii Parkinsonia aculeata | Salix gooddingii | Salix gooddingii |
| Aguilar Ranch | Cienega | Living Fences | El Cajon | Nogalera | Galera | San Juan Ranch | Tomas Ranch | |
|---|---|---|---|---|---|---|---|---|
| Bushes | Celtis pallida | Lycium berlandieri Celtis pallida | Mimosa laxiflora | Mimosa laxiflora | Jathropha cardiophylla | Celtis pallida | n/a | Celtis pallida |
| Trees | Prosopis velutina | Prosopis velutina | Prosopis velutina | Stenocereus thurberi Olneya tesota | Olneya tesota Parkinsonia florida | Prosopis velutina | n/a | Prosopis velutina |
| Riparian Vegetation | Desert Scrub | |||
|---|---|---|---|---|
| Shannon-Weiner Diversity Index | Richness | Shannon-Weiner Diversity Index | Richness | |
| Aguilar Ranch | 1.5821 | 8 | 1.6510 | 11 |
| Cienega | 0.4957 | 4 | 1.1365 | 9 |
| Living Fences | 1.8725 | 13 | 1.8230 | 11 |
| El Cajon | 1.8535 | 11 | 1.7179 | 7 |
| Nogalera | 1.3557 | 12 | 1.9141 | 14 |
| Galera | 1.9389 | 11 | 0.9598 | 7 |
| San Juan Ranch | 1.8029 | 11 | ||
| Tomas Ranch | 0.5909 | 3 | 1.0350 | 11 |
| EVI-May | P | EVI-September | P | |||
|---|---|---|---|---|---|---|
| RV | RMW | RV | RMW | |||
| Aguilar Ranch | 0.408 | 0.372 | 0.132 | 0.432 | 0.408 | 0.228 |
| Living Fences | 0.364 | 0.221 | 0.003 * | 0.361 | 0.425 | 0.145 |
| Galera | 0.364 | 0.406 | 0.009 * | 0.484 | 0.469 | 0.132 |
| San Juan Ranch | 0.330 | 0.201 | 0.001 * | 0.456 | 0.349 | 0.001 * |
| Tomas Ranch | 0.388 | 0.211 | 0.008 * | 0.436 | 0.354 | 0.001 * |
© 2018 by the authors. Licensee MDPI, Basel, Switzerland. This article is an open access article distributed under the terms and conditions of the Creative Commons Attribution (CC BY) license (http://creativecommons.org/licenses/by/4.0/).
Share and Cite
Cornejo-Denman, L.; Romo-Leon, J.R.; Castellanos, A.E.; Diaz-Caravantes, R.E.; Moreno-Vázquez, J.L.; Mendez-Estrella, R. Assessing Riparian Vegetation Condition and Function in Disturbed Sites of the Arid Northwestern Mexico. Land 2018, 7, 13. https://doi.org/10.3390/land7010013
Cornejo-Denman L, Romo-Leon JR, Castellanos AE, Diaz-Caravantes RE, Moreno-Vázquez JL, Mendez-Estrella R. Assessing Riparian Vegetation Condition and Function in Disturbed Sites of the Arid Northwestern Mexico. Land. 2018; 7(1):13. https://doi.org/10.3390/land7010013
Chicago/Turabian StyleCornejo-Denman, Lara, Jose Raul Romo-Leon, Alejandro E. Castellanos, Rolando E. Diaz-Caravantes, Jose Luis Moreno-Vázquez, and Romeo Mendez-Estrella. 2018. "Assessing Riparian Vegetation Condition and Function in Disturbed Sites of the Arid Northwestern Mexico" Land 7, no. 1: 13. https://doi.org/10.3390/land7010013
APA StyleCornejo-Denman, L., Romo-Leon, J. R., Castellanos, A. E., Diaz-Caravantes, R. E., Moreno-Vázquez, J. L., & Mendez-Estrella, R. (2018). Assessing Riparian Vegetation Condition and Function in Disturbed Sites of the Arid Northwestern Mexico. Land, 7(1), 13. https://doi.org/10.3390/land7010013

