Land Cover Change Detection in Ulaanbaatar Using the Breaks for Additive Seasonal and Trend Method
Abstract
:1. Introduction

2. Materials and Methods
2.1. Study Area

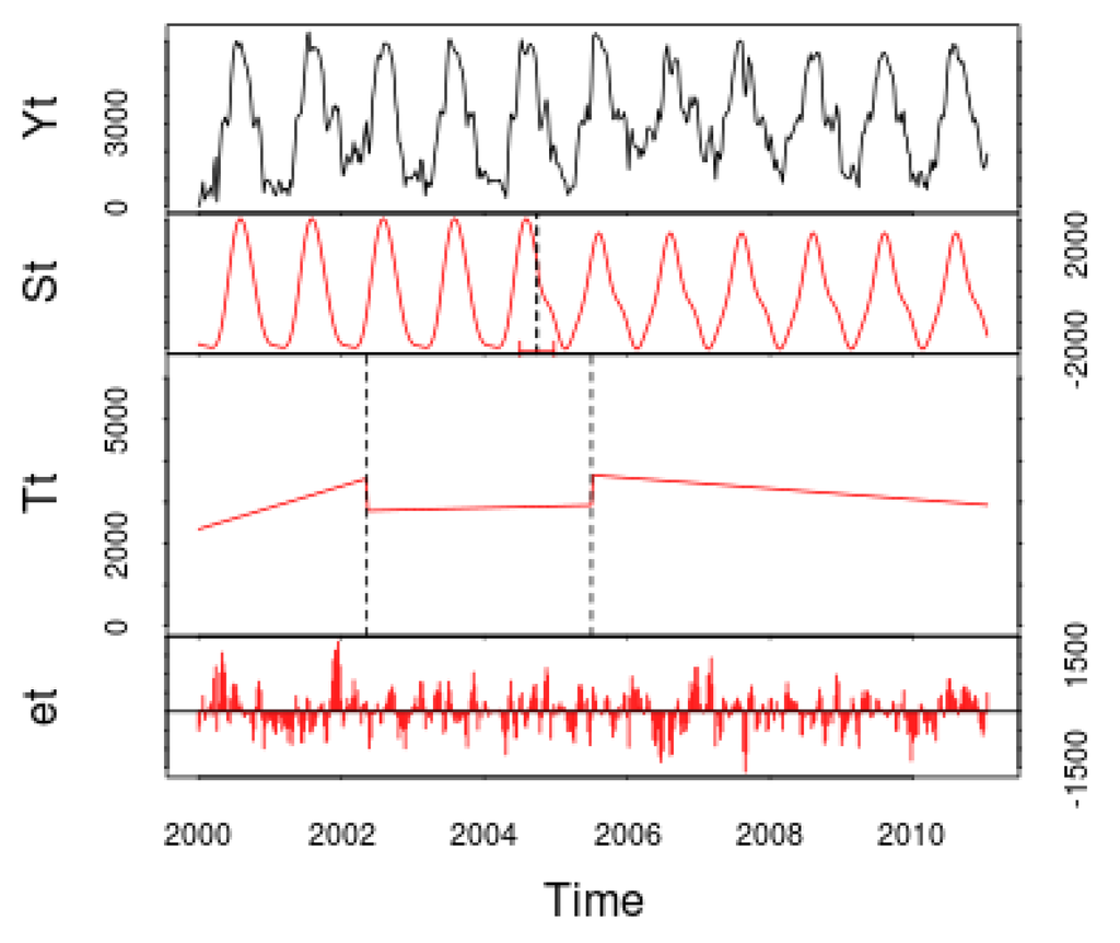
2.2. BFAST Method
, such that:
and
represents the piecewise phenological cycle on different p + 1 (p ≥ 0) segments divided by the seasonal breakpoints,
and
), shown as:
are estimated using the residuals-based moving sum (MOSUM) test, and are assessed by minimizing Bayesian information criterion (BIC) from the seasonally adjusted data
, where
is first found by the STL method [41]; (2)
and
are estimated using robust regression based on M-estimations; (3) breakpoints
are similarly estimated by MOSUM and BIC from the de-trended data
; (4) revised
is estimated based on the M-estimation; (5) the estimation of parameters is iteratively performed until the number and position of breakpoints are unchanging.2.3. Data Pre-Processing and Implementation

3. Results



4. Discussion

5. Conclusions
Acknowledgments
Conflict of Interest
References and Notes
- Department of Economic and Social Affairs of United Nations. World Urbanization Prospects, The 2011 Revision. 2012. Available online: http://esa.un.org/unpd/wup/index.htm (accessed on 3 July 2013).
- Angel, S.; Parent, J.; Civco, D.L.; Blei, A.; Potere, D. The dimensions of global urban expansion: Estimates and projections for all countries, 2000–2050. Prog. Plann. 2011, 75, 53–107. [Google Scholar] [CrossRef]
- Seto, K.C.; Güneralp, B.; Hutyra, L.R. Global forecasts of urban expansion to 2030 and direct impacts on biodiversity and carbon pools. Proc. Natl. Acad. Sci. USA 2012, 109, 16083–16088. [Google Scholar] [CrossRef]
- Seto, K.C.; Roberto, S.; Fragkias, M. The new geography of contemporary urbanization and the environment. Annu. Rev. Env. Resour. 2010, 35, 167–194. [Google Scholar] [CrossRef]
- Mcdonald, R.I.; Kareiva, P.; Forman, R.T.T. The implications of current and future urbanization for global protected areas and biodiversity conservation. Biol. Conserv. 2008, 141, 1695–1703. [Google Scholar] [CrossRef]
- Rojas, C.; Pino, J.; Basnou, C.; Vivanco, M. Assessing land-use and -cover changes in relation to geographic factors and urban planning in the metropolitan area of Concepción (Chile). Implications for biodiversity conservation. Appl. Geog. 2013, 39, 93–103. [Google Scholar] [CrossRef]
- Habibi, S.; Asadi, N. Causes, results and methods of controlling urban sprawl. Procedia. Eng. 2011, 21, 133–141. [Google Scholar] [CrossRef]
- Döös, B.R. Population growth and loss of arable land. Glob. Environ. Chang. 2002, 12, 303–311. [Google Scholar] [CrossRef]
- Hasse, J.E.; Lathrop, R.G. Land resource impact indicators of urban sprawl. Appl. Geog. 2003, 23, 159–175. [Google Scholar] [CrossRef]
- DeFries, R.S.; Rudel, T.; Uriarte, M.; Hansen, M. Deforestation driven by urban population growth and agricultural trade in the twenty-first century. Nat. Geosci. 2010, 3, 178–181. [Google Scholar] [CrossRef]
- Dubovyk, O.; Sliuzas, R.; Flacke, J. Spatio-temporal modelling of informal settlement development in Sancaktepe district, Istanbul, Turkey. ISPRS J. Photogramm.Remote Sens. 2011, 66, 235–246. [Google Scholar] [CrossRef]
- Augustijn-Beckers, E.-W.; Flacke, J.; Retsios, B. Simulating informal settlement growth in Dar es Salaam, Tanzania: An agent-based housing model. Comput. Environ. Urban. 2011, 35, 93–103. [Google Scholar] [CrossRef]
- Kamata, T.; Reichert, J.A.; Tsevegmid, T.; Kim, Y.; Sedgewick, B. Mongolia Enhancing Policies and Practices for Ger Area Development in Ulaanbaatar; The World Bank: Washington, DC, USA, 2010. [Google Scholar]
- Solongo, A. Growth of Internal and International Migration in Mongolia. In Proceedings of 8th International Conference of Asia Pacific Migration Research Network—Migration, Development and Poverty Reduction, Fuzhou, China, 25–29 May 2007.
- Byambadorj, T.; Amati, M.; Ruming, K.J. Twenty-first century nomadic city: Ger districts and barriers to the implementation of the Ulaanbaatar city master plan. Asia Pac. Viewp. 2011, 52, 165–177. [Google Scholar] [CrossRef]
- National Statistics Office of Mongolia, Mongolian Statistical Yearbook; National Statistics Office of Mongolia: Ulaanbaatar, Mongolia, 2011.
- UN-Habitat, UN-Habitat Planning for Disaster Risk Reduction in Ulaanbaatar—The Unur Community Action Plan Closing Workshop GUSIP Report; UN-Habitat Mongolia Office: Ulaanbaatar, Mongolia, 2010.
- Kamata, T.; Reichert, J.; Tsevegmid, T.; Kim, Y.; Sedgewick, B. Managing Urban Expansion in Mongolia: Best Practices in Scenario-Based Urban Planning; The World Bank: Washington, DC, USA, 2010. [Google Scholar]
- Asia Development Bank, Economic Update Mongolia; ADB: Manila, Philippine, 2003.
- Batbileg, C. Does Land Privatization Support the Development of Land Market? In Proceedings of International Workshop: Land Policies, Land Registration and Economic Development, Experiences in Central Asian Countries, Tashkent, Uzbekistan, 31 October–3 November 2007.
- Mongolia: Heating in Poor, Peri-Urban Ger areas of Ulaanbaatar; The World Bank: Washington, DC, USA, 2009.
- Tv, R.; Aithal, B.H.; Sanna, D.D. Insights to urban dynamics through landscape spatial pattern analysis. Int. J. Appl. Earth. Obs. 2012, 18, 329–343. [Google Scholar] [CrossRef]
- Verbesselt, J.; Hyndman, R.; Newnham, G.; Culvenor, D. Detecting trend and seasonal changes in satellite image time series. Remote Sens. Environ. 2010, 114, 106–115. [Google Scholar] [CrossRef]
- Running, S.W.; Loveland, T.R.; Pierce, L.L.; Nemani, R.R.; Hunt, E.R. Classification Logic for Global Land Cover Analysis. Remote Sens. Environ. 1995, 51, 39–48. [Google Scholar] [CrossRef]
- Lasaponara, R. On the use of principal component analysis (PCA) for evaluating interannual vegetation anomalies from SPOT/VEGETATION NDVI temporal series. Ecol. Model. 2006, 194, 429–434. [Google Scholar] [CrossRef]
- Galford, G.L.; Mustard, J.F.; Melillo, J.; Gendrin, A.; Cerri, C.C.; Cerri, C.E.P. Wavelet analysis of MODIS time series to detect expansion and intensification of row-crop agriculture in Brazil. Remote Sens. Environ. 2008, 112, 576–587. [Google Scholar] [CrossRef]
- Yu, X.J.; Ng, C.N. Spatial and temporal dynamics of urban sprawl along two urban–rural transects: A case study of Guangzhou, China. Landsc. Urban Plan. 2007, 79, 96–109. [Google Scholar] [CrossRef]
- Jat, M.K.; Garg, P.K.; Khare, D.; Jat, M. Monitoring and modelling of urban sprawl using remote sensing and GIS techniques. Int. J. Appl. Earth. Obs. 2008, 10, 26–43. [Google Scholar] [CrossRef]
- Alphan, H. Land-use change and urbanization of Adana, Turkey. Land Degrad. Dev. 2003, 14, 575–586. [Google Scholar] [CrossRef]
- Weber, C.; Puissant, A. Urbanization pressure and modeling of urban growth: example of the Tunis Metropolitan Area. Remote Sens. Environ. 2003, 86, 341–352. [Google Scholar] [CrossRef]
- Lu, D.; Mausel, P.; Brondízio, E.; Moran, E. Change detection techniques. Int. J. Remote Sens. 2003, 25, 2365–2407. [Google Scholar]
- Deng, J.S.; Wang, K.; Deng, Y.H.; Qi, G.J. PCA-based land-use change detection and analysis using multitemporal and multisensor satellite data. Int. J. Remote Sens. 2008, 29, 4823–4838. [Google Scholar] [CrossRef]
- Millward, A.A.; Piwowar, J.M.; Howarth, P.J. Time-series analysis of medium-resolution, multisensor satellite data for identifying landscape change. PE&RS 2006, 72, 653–663. [Google Scholar]
- Lunetta, R.S.; Knight, J.F.; Ediriwickrema, J.; Lyon, J.G.; Worthy, L.D. Land-cover change detection using multi-temporal MODIS NDVI data. Remote Sens. Environ. 2006, 105, 142–154. [Google Scholar] [CrossRef]
- Kleynhans, W.; Olivier, J.C.; Wessels, K.J.; Salmon, B.P.; van den Bergh, F.; Steenkamp, K. Detecting land cover change using an extended kalman filter on MODIS NDVI time-series data. IEEE Geosci. Remote Sens. Lett. 2011, 8, 507–511. [Google Scholar] [CrossRef]
- Verbesselt, J.; Hyndman, R.; Zeileis, A.; Culvenor, D. Phenological change detection while accounting for abrupt and gradual trends in satellite image time series. Remote Sens. Environ. 2010, 114, 2970–2980. [Google Scholar] [CrossRef]
- Buyantuyev, A.; Wu, J. Urbanization alters spatiotemporal patterns of ecosystem primary production: A case study of the Phoenix metropolitan region, USA. J. Arid Environ. 2009, 73, 512–520. [Google Scholar] [CrossRef]
- Buyantuyev, A.; Wu, J. Urbanization diversifies land surface phenology in arid environments: Interactions among vegetation, climatic variation, and land use pattern in the Phoenix metropolitan region, USA. Landsc. Urban Plan. 2012, 105, 149–159. [Google Scholar] [CrossRef]
- Badamdorj, C. Changes in the internal structure of Ulaanbaatar, Mongolia. Sci. Annu. Korea Mong.Econ. Assoc. 2004, 14, 39–59. [Google Scholar]
- Jong, R.; Verbesselt, J.; Schaepman, M.E.; Bruin, S. Trend changes in global greening and browning: contribution of short-term trends to longer-term change. Glob. Chang. Biol. 2012, 18, 642–655. [Google Scholar] [CrossRef]
- R Development Core Team, R: A Language and Environment for Statistical Computing; R Foundation for Statistical Computing: Vienna, Austria, 2011.
- Schucknecht, A.; Erasmi, S.; Niemeyer, I.; Matschullat, J. Assessing vegetation variability and trends in north-eastern Brazil using AVHRR and MODIS NDVI time series. Eur. J. Remote Sens. 2013, 46, 40–59. [Google Scholar]
- Vermote, E.F.; Kotchenova, S.Y.; Ray, J.P. MODIS Surface Reflectance User’s Guide Version 1.3. February 2011. Available online: http://modis-sr.ltdri.org/products/MOD09_UserGuide_v1_3.pdf (accessed on 15 May 2013).
- Jönsson, P.; Eklundh, L. TIMESAT—A program for analyzing time-series of satellite sensor data. Comput. Geosci. 2004, 30, 833–845. [Google Scholar] [CrossRef]
- Erasmi, S.; Bothe, M.; Petta, R.A. Enhanced Filtering of MODIS Time Series Data for the Analysis of Desertification Process in Northeast Brazil. In Proceedings of the ISPRS/ITC-Midterm Symposium—Remote Sensing: From Pixels to Processes, Enschede, The Netherlands, 8–11 May 2006; pp. 8–11.
- Fang, H.; Liang, S.; Townshend, J.; Dickinson, R. Spatially and temporally continuous LAI data sets based on an integrated filtering method: Examples from North America. Remote Sens. Environ. 2008, 112, 75–93. [Google Scholar] [CrossRef]
- Chen, J.; Jo, P.; Jonsson, P.; Tamura, M.; Gu, Z.; Matsushita, B.; Eklundh, L.; Jönsson, P. A simple method for reconstructing a high-quality NDVI time-series data set based on the Savitzky-Golay filter. Remote Sens. Environ. 2004, 91, 332–344. [Google Scholar] [CrossRef]
- Frelat, R.; Gerard, B. ndvits: NDVI Time Series Extraction and Analysis; R Package Version 1.0.1. Available online: http://cran.r-project.org/package=ndvits (accessed on 10 January 2013).
- Verbesselt, J.; Hyndman, R.; Newnham, G.; Culvenor, D. Detecting trend and seasonal changes in satellite image time series. Remote Sens. Environ. 2009, 114, 106–115. [Google Scholar]
- Irwin, E.G.; Bockstael, N.E.; Hg, O.; Puga, D.; Ma, T. The evolution of urban sprawl: Evidence of spatial heterogeneity and increasing land fragmentation. Proc. Natl. Acad. Sci. USA 2007, 104, 20672–20677. [Google Scholar] [CrossRef]
- Cheng, J.; Masser, I. Urban growth pattern modeling: A case study of Wuhan city, PR China. Landsc. Urban Plan. 2003, 62, 199–217. [Google Scholar] [CrossRef]
- Sexton, J.O.; Song, X.-P.; Huang, C.; Channan, S.; Baker, M.E.; Townshend, J.R. Urban growth of the Washington, D.C.–Baltimore, MD metropolitan region from 1984 to 2010 by annual, Landsat-based estimates of impervious cover. Remote Sens. Environ 2013, 129, 42–53. [Google Scholar] [CrossRef]
- Zanganeh, S.; Sauri, D.; Serra, P.; Modugno, S.; Seifolddini, F.; Pourahmad, A. Urban sprawl pattern and land-use change detection in Yazd , Iran. Habitat Int. 2011, 35, 521–528. [Google Scholar] [CrossRef]
- Gitas, I.Z.; Katagis, T.; Toukiloglou, P. Burned area mapping and post-fire monitoring of a Mediterranean forest using NDVI time-series of low resolution imagery and the BFAST method. Rev.Ambiência 2012, 8, 461–470. [Google Scholar] [CrossRef]
- Lambert, J.; Jacquin, A.; Denux, J.; Chéret, V. Comparison of Two Remote Sensing Time Series Analysis Methods for Monitoring Forest Decline. In Proceedings of the International Conference on Geographic Information Science (AGILE’2012), Avignon, France, 24–27 April 2012; pp. 93–96.
- Foody, G.M. Status of land cover classification accuracy assessment. Remote Sens. Environ. 2002, 80, 185–201. [Google Scholar] [CrossRef]
© 2013 by the authors; licensee MDPI, Basel, Switzerland. This article is an open access article distributed under the terms and conditions of the Creative Commons Attribution license (http://creativecommons.org/licenses/by/3.0/).
Share and Cite
Tsutsumida, N.; Saizen, I.; Matsuoka, M.; Ishii, R. Land Cover Change Detection in Ulaanbaatar Using the Breaks for Additive Seasonal and Trend Method. Land 2013, 2, 534-549. https://doi.org/10.3390/land2040534
Tsutsumida N, Saizen I, Matsuoka M, Ishii R. Land Cover Change Detection in Ulaanbaatar Using the Breaks for Additive Seasonal and Trend Method. Land. 2013; 2(4):534-549. https://doi.org/10.3390/land2040534
Chicago/Turabian StyleTsutsumida, Narumasa, Izuru Saizen, Masayuki Matsuoka, and Reiichiro Ishii. 2013. "Land Cover Change Detection in Ulaanbaatar Using the Breaks for Additive Seasonal and Trend Method" Land 2, no. 4: 534-549. https://doi.org/10.3390/land2040534
APA StyleTsutsumida, N., Saizen, I., Matsuoka, M., & Ishii, R. (2013). Land Cover Change Detection in Ulaanbaatar Using the Breaks for Additive Seasonal and Trend Method. Land, 2(4), 534-549. https://doi.org/10.3390/land2040534

