Abstract
Despite the growing recognition of sustainability in forest management, comprehensive multi-criteria evaluations of silvicultural practices remain scarce, particularly in Patagonia. In this study, we applied a multi-criteria decision analysis to evaluate the sustainability of different strip-cutting intensities in secondary Nothofagus antarctica forests in Northern Patagonia, Argentina. The performance of four management alternatives was assessed: no cutting, low cutting intensity, medium cutting intensity, and high cutting intensity. These alternatives were evaluated across 11 indicators of nature’s contributions to people. Indicator values were estimated from previous research across three contrasting sites, complemented by expert surveys to estimate weights and target values for each indicator. The results indicate that the key indicators included those associated with firewood harvesting, fire and invasions prevention, and timber species plantation performance. Medium cutting intensity consistently emerged as the most sustainable option across all sites, models, and scenarios. In contrast, no cutting performed poorly across most sites, models, and scenarios. These findings underscore the importance of integrating diverse ecological and socioeconomic indicators into forest management planning. The promotion of medium cutting intensity has the potential to enhance sustainability in N. antarctica forests, thereby contributing to the development of resilient and multifunctional landscapes in Northern Patagonia.
1. Introduction
Sustainability is a fundamental concept in contemporary natural resource management. Forestry, specifically, has undergone significant transformation in line with the vision of sustainable land use [,,]. For instance, over the past decades, there has been an increasing interest in multi-objective approaches to forest management, given the recognition that economic returns can be sustainable only if the other nature contributions to people these ecosystems provide (NCPs) are maintained []. Consequently, when evaluating management alternatives, non-material contributions (e.g., biodiversity) and regulating contributions (e.g., carbon, soil protection, etc.) are increasingly recognised as selecting criteria, thus extending the traditional materials-focused approach (e.g., firewood, wood, pulp, etc. []). The simultaneous pursuit of multiple objectives necessitates multipurpose planning methods, which, to date, have not been extensively explored in some forestry settings [].
Multicriteria Decision Analysis (MCDA) is a formal analytical approach that allows for the incorporation of various dimensions in decision-making. It has been utilised to address forest resource management challenges for the past three decades [,]. Among MCDA methods, goal programming (GP) is one of the most extensively studied and frequently applied in forestry [,]. The methodology involves the aggregation of indicators into a composite index trough the minimisation of topological distances between the values achieved by the different indicators of each management scenario and a reference vector of target values. The application of GP has been extensively documented in addressing various forest resource management issues, both at the stand and country levels [].
Despite South America possessing over 20% of the world’s forest area, the formal sustainability analysis and evaluation is infrequent in forestry research agendas. In Argentina, specifically, the forest law (National Law 26.331) demands the sustainable management of millions of hectares of native forests. However, no formal sustainability analysis has been developed to compare management strategies, which logically are region-specific. In some cases, it has been assumed that equal weight is assigned to each indicator of sustainability []. However, this assumption is often unrealistic because the importance given to indicators can vary significantly across decision makers [].
In the Northern Patagonian region of Argentina, the Nothofagus antarctica (G. Forst) Oerst. forests in both pure and mix forms cover more than 180.000 has []. These forests have been subject to various disturbances, predominantly of anthropogenic origin, including conversion to pasture and fuelwood extraction (Reque et al. []), resulting mostly in a secondary forest in the present day. Depending on site conditions and disturbance history, the forests may be co-dominated by other species [,]. The main woody species in these short-tree forests regenerate primarily by sprouting [], are highly flammable [], and facilitate the spread of fire []. In the absence of disturbances, these species are typically replaced over time by tall-tree forests of Austrocedrus chilensis (D. Don) Pic. Serm. & Bizzarri. []. Despite the existence of considerable scientific knowledge regarding the ecology of these and other forest types in Northern Patagonia, silviculture in the native forests of this region remains uncommon, partly due to the failure to translate empirical knowledge into realistic management proposals [,]. Given the particularities of N. antarctica secondary forests, the integration of data from locally tailored silvicultural experiments is highly valuable [].
In the context of silvicultural studies conducted in Northern Patagonia, one of the emerging proposals entails the management of forests through the implementation of cutting strips [,]. However, it is vital to assess the impact of diverse silvicultural alternatives on the NCPs these ecosystems provide. The objective of this paper is to derive a sustainability ranking of four strip-cutting intensities (SCIs) in N. antarctica secondary forests of Northern Patagonia. To this end, 11 indicators and a GP-MCDA framework were used to select the best alternative in terms of sustainability []. While the effect of management on some of these indicators has been discussed [], a formal analysis measuring the sustainability of different management alternatives has yet to be conducted. To the best of the researcher’s knowledge, this is the first application of an MCDA in native forest management in Northern Patagonia, Argentina
2. Materials and Methods
2.1. Experiment and Data
The present research is based on an experiment that was conducted at three sites located approximately 80 km south of San Carlos de Bariloche, El Foyel with northern (FN) and southern (FS) face orientation, and Los Repollos (LR) (Figure 1). LR is situated in an upland valley bottom. Consequently, these three sites embody contrasting conditions: the first two represent medium- to high-productivity stands, while the last is a low-productivity stand []. The local vegetation is characterised by mixed forests, predominantly short-statured trees of N. antarctica in LR, while in FN and FS, it is co-dominated by several species, including Lomatia hirsuta (Lam.) Diels., Diostea juncea (Gillies & Hook.) Miers., and Schinus patagonicus (Phil.) I.M. Johnst. among others [] (Figure A1). The climate is typical of the deciduous forests of the sub-Antarctic region, with an average annual temperature of 9.7 °C (frost is possible throughout the year) and average annual precipitation ranging from 920 mm to 1300 mm [].

Figure 1.
FN, FS, and LR locations in Río Negro province, Northern Patagonia, Argentina. In green, the distribution of N. antarctica secondary forests along the province.
The experiment was initiated in 2013 and 2014, when eight permanent plots were established at each site (totalling 24 plots of 31.5 × 45.0 m, with altitudes ranging from 790 to 873 m a.s.l.), with varying cutting intensities applied. The plots exhibited characteristics of fire secondary forests, and all were treated with six longitudinal strips with stems cut at ground level with chainsaw. The intensity of strip cutting (SCI) was determined by modifying the width of the six strips of each plot between 0, 1.5, 2.5, and 3.5 m, corresponding in this paper to no cutting (NO), low cutting intensity (LOW), medium cutting intensity (MID), and high cutting intensity (HI).
These plots were monitored after cuttings as part of a permanent research project that analysed the interventions based on a range of environmental and productive indicators. Consequently, a substantial body of research papers was published reporting on the effects of management across multiple variables. These variables included, for example: soil properties and microorganisms [], plant community [], ecological functions [], biotic interactions [,], invasions [], and silviculture [,]), including the establishment of native timber species []. The measurement of all variables generally took place between 2015 and 2017. As a result, these previous studies provided key information on multiple environmental and productive variables, which served as the basis for selecting the indicators and their values incorporated in the present MCDA.
2.2. Dimensions and Indicators
The three groups of dimensions, material, non-material, and regulating (criteria in the MCDA context) were employed in this study to distinguish within the generalising perspective of NCPs []. The selection of indicators within the dimensions was guided by their relevance to the main ecological and management goals of the study. These objectives included the assessment of forest productivity and biodiversity while ensuring ecosystem functions and mitigating risks related to fire, invasions, and folivory. The indicators that were identified in the previous studies as being influenced by management were incorporated in the present study (see Table A1). The values of each indicator for each management alternative and site used in this study were exclusively derived from the models estimated in these previous studies. Given the acknowledged challenges of evaluating sustainability through the use of multiple indicators [], particularly in contexts where conflicting linear aggregation methods arise [], this study chose a methodological approach that involved performing a Pearson’s correlation analysis. This analytical procedure was undertaken with the objective of identifying and eliminating indicators that exhibited a high degree of correlation. This process subsequently facilitated the identification of the final set of indicators to be aggregated. With regard to the specific context of fire prevention (Regulation of hazards (NCP 9)), two indicators that showed contrasting responses to SCI were used: live fuel continuity and live fuel moisture content [].
2.3. MCDA Approach—Extended Goal Programming Model
As a preliminary step, given that the final indicators differed in units, it was necessary to normalise them. In this study, a normalisation system proposed by Diaz-Balteiro and Romero [] was employed. This method transforms indicator values so that they are dimensionless and bounded between 0 and 1, expressed in a “more is better” sense. Accordingly, the values 0 and 1 represent the worst and best achievable value, respectively (see the cited paper for more details). The normalisation process was carried out separately for each site.
For the purpose of aggregating all normalised indicators, the Extended Goal Programming (EGP) structure was used. The EGP structure encompasses both the Archimedean and Chebyshev GP variants in a unified format [] and has been successfully applied for ranking forest management alternatives (for example, [,,,]). Specifically, the following equation was used, taken from the previously cited papers:
Goals and constraints are subject to the following:
In this equation, nj denotes the underachievement of j indicator relative to the target value tj, whereas represents the specific weight of the j-th indicator. The possible overachievement pj was not incorporated into the optimisation process, since the objective was to include solely the negative deviations in accordance with the normalisation, which adopted the “more is better” approach []. In Equation (1), D represents the maximum negative deviation achieved by an indicator and its target tj; Rij is the normalised value reached by the j indicator in the i-management alternative (NO, LOW, MID, HI); and represents a control parameter. For = 1, the solution obtained is optimising the “average” achievement, whereas for = 0, the most “balanced” solution is determined. A compromise between these two solutions is achieved for = 0.5 [,], and this value for the control parameter was also evaluated. Finally, the binary Xi variables are equal to 1 if the i-th forest management alternative is chosen and are equal to 0 otherwise. The “sustainable ranking” of the SCI was established interactively for each site by solving for the three values for the control parameter ( = 1, = 0, = 0.5). The optimisations were carried out in Lingo 21.0 software [].
Weights, Target Values, and Scenarios
In order to solve Equation (1), it was necessary to estimate target (tj) and weight (αj) values for each indicator. These values were obtained through surveys conducted via email, with 18 surveys being sent to members of the public administration and researchers with experience working in this forest type in the Northern Patagonia region. Of these, 12 surveys were completed, yielding consistent responses that defined these experts as decision makers (DMs). For the purpose of determining weight, the relative importance of each NCP dimension was first evaluated, followed by an evaluation of the significance of the indicators within each dimension. The forms were conducted using a pairwise comparison approach with Saaty’s verbale scale [,], a format recommended for local assessment as in this study [] and extensively validated in practice (see, for example, []). For target setting, respondents were asked to specify a satisfying level for each indicator on a scale from 10% to 100%.
Finally, mean values of preferential weights and target values of all expert responses were calculated. In order to evaluate the sensitivity of the SCI ranking to weights established by DMs, two arbitrary scenarios were established: a “productive” scenario, where indicators associated with material NCP were multiplied by three, and a “conservative” scenario, where the same weight increase was applied to non-material and regulating NCP indicators. The weights were standardised to ensure that for each scenario. It should be noted that the scenarios were performed exclusively with = 0.5, in order to simplify the analysis.
3. Results
Significant correlations were identified exclusively within the non-material dimension, specifically between taxonomic plant diversity and functional diversity (Figure A2). Consequently, the latter indicator was excluded from the final set of indicators (Table 1). Taxonomic diversity was selected, as it was considered a more comprehensible concept for DMs. The final set of indicators (n = 11) represented a balanced selection, considering the three NCP dimensions (Table 1).

Table 1.
Final indicators considered in the analysis. Type indicates whether the indicators follow a “more is better” basis (+) or a “more is worse” basis (−) prior to the process of normalisation. NCP categories and the associated numeration are in accordance with the standards set out by Diaz et al. [].
As illustrated in Table 2, extreme values (0s and 1s) were frequently observed at the limits of the SCI range (Table 2), thereby reflecting the prevailing linear response of the studied indicators to cutting intensity. It is noteworthy that some indicators show the same response to SCI across the three sites, implying that the same relative values are maintained along the SCI range. For example, among the most important indicators (Figure 2), firewood harvesting (I1), fuel continuity (I8a), and invasibility (I9) exhibit the same relative values. In LR, I2 was excluded from further analysis due to its unsatisfactory performance across the SCI range.

Table 2.
Normalised indicators according to a “more is better” basis. I2 was subsequently excluded from LR due to the low performance of planted trees across the SCI range.

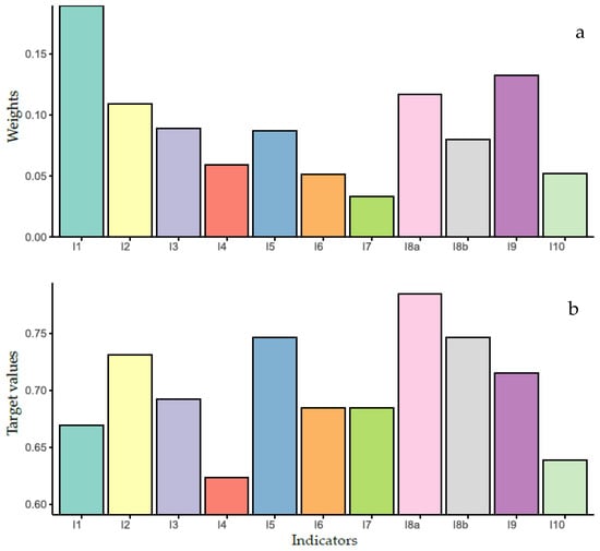
Figure 2.
Mean relative weights (a) and target values (b) for the considered indicators.
When analysing NCPs dimensions, the most significant dimension was found to be the regulating dimension (I6–I10), followed by material dimension (I1–I2) and non-material dimension (I3–I5). The main indicators for DMs, based on the relative weights calculated from the surveys (Figure 2), were firewood harvesting (I1), fuel continuity (I8a), timber species plantation performance (I2), and invasion prevention (I9). The sum of these indicators was 0.548 of the relative weights in FS and FN. However, in LR, this value was slightly different due to the exclusion of I2 and the constrain. In the context of fire prevention, DMs considered fuel continuity to be more important than fuel moisture (I8b) in terms of preventing fire. With regard to targets, fuel continuity exhibited the highest value, therefore reinforcing its relevance for global scoring (Figure 2).
FS and FN showed the equivalent rank across all models. MID intensity was identified as the best alternative for all three sites when the model optimised for the “average solution” = 1, as well as when solving the most “balanced solution” = 0 and the compromise between both solutions (Table 3). The only differences detected were in the worst site conditions (LR), in which, under the productive scenario, HI emerged as the second best alternative and in the conservative scenario where LOW ranked second and HI performed the worst. The same ranking was achieved under both scenarios for FS and FN.

Table 3.
Sustainability ranking of the management alternatives evaluated across the three sites for all models. = 1: average achievement, = 0: balanced solution, = 0.5: compromise between both solutions. P: productive scenario, C: conservative scenario.
4. Discussion
A multidimensional analysis quantifying the sustainability of forest management is lacking in Northern Patagonia. Given the necessity of integrating multiple indicators to optimise sustainable management, this paper examines the short-term sustainability of cutting intensities in secondary forests of N. antarctica. A multi-criteria analysis combining published models with decision-maker surveys was applied to evaluate the different intensity levels. The finding of this study indicates that, irrespective of the site, medium cutting intensity (MID SCI, defined as 2.5 m harvest strips × 2.5 m non-harvest strips) emerged as the “best alternative” when optimising the 11 indicators associated with six categories of NCPs in all three NCPs dimensions under all assessed models.
In the present study, regulating NCPs was identified as the most important dimension for decision makers. This finding is consistent with the results of previous studies that found regulating ecosystem services as more important than others across Europe []. Specifically, two of the main categories among regulating NCPs were consistently the most important: fire prevention and invasion prevention. Indeed, these two contributions embrace two of the most important environmental impacts associated with this forest type. The first of these is the inherent vulnerability of this forest type to fire, which is a key driver of regional forest dynamics []. The slow regeneration of the fire-sensitive conifer, A. chilensis, combined with the abundance of fine fuels and the summer drought that characterises this region, drives fire occurrence. Furthermore, there is an expectation that summer droughts will increase during the 21st century [], which is likely to have influenced the importance given by DMs to fire prevention. This finding is consistent with other studies that identify protection against natural hazards as the most valued ecosystem service among stakeholders (including public administration, associations representatives, forest wood chain actors, and tourism sector actors) in conifer forests in the Italian Alps []. Forests experiencing catastrophic events that have a direct impact on human health and infrastructure, such as fire, likely increase societal awareness of prevention through management efforts. In the case of pine invasions, they are common in this region [] and create a positive feedback loop with fire []. Beyond this situation, a high proportion of pine afforestation are unmanaged in Patagonia, increasing fire risk and encroachment into native forests, affecting biodiversity []. The surveys indicate that the DMs of the forest sectors determined the weight performed by this NCP. Finally, our analysis showed a trade-off between both indicators, fire and invasions. High strip harvesting intensities led to increased invasion rates but also reduced fuel continuity which has been shown to decrease fire risk by limiting lateral fire spread []. This trade-off was consistent across the three sites, supporting medium harvesting intensity as the “best” solution.
The material NCP was also considered important by the DMs, and the fact that material NCP received slightly less weight than regulating NCP suggests that DM responses may be environmentally biassed. As DMs become more production-oriented, higher harvest intensities would be expected to perform better, given that these intensities provide more fuelwood and promote regrowth []. However, the planting of timber species, which performs better under lower harvest intensities, was also considered an important indicator. In the context of a productivity-focused scenario, medium cutting intensity remains as the most favourable alternative due this last indicator. The predominant utilisation of this forest type throughout history has been for firewood harvesting [], a practice that is reflected in the weight assigned to this activity. The region is distinguished by the presence of small ranches, characterised by limited financial resources, yet with a significant demand for firewood.
It is important to note that the analysis was conducted on indicators that responded to harvesting. Consequently, the results of this study may assist in decision making regarding the explored management alternatives. However, it is not possible to draw general conclusions about the sustainability of this forest type. Although the incorporation of additional indicators, such as forage production, which is of particular relevance to ranchers given its significance in this forest type [], could offer further insights, previous studies have hypothesised that medium cutting intensity could promote grass development [], thereby supporting the MID alternative. However, further research is necessary to elucidate the impact of SCI on forage production in diverse site conditions and to understand how cattle presence influences other indicators.
Despite incorporating 11 indicators to provide a more comprehensive understanding of the consequences of different management strategies, this study is limited by the characteristics of the available information. These include unexplored ecological, economic, and social aspects, as well as the lack of long-term data beyond the post-cutting period considered in this study. A long-term perspective is particularly relevant as secondary forests of N. antarctica mature into late-successional stages, evolving into tall forests. In contrast, disturbances have been shown to promote early successional stages []. Appropriate management strategies, such as cutting to reduce stand density, have been suggested to facilitate forest succession. This successional characteristic of these forests implies that, while the present analysis provides an initial framework for understanding the impacts of certain scenarios, only long-term monitoring can determine their actual effects.
For instance, forest ecosystems play a key role in the carbon cycle, storing substantial quantities of both aboveground biomass carbon and soil organic carbon []. The impact of partial cutting on the enhancement of carbon sequestration has been demonstrated, but this effect depends on cutting intensity []. As forests mature, they have been shown to sequester more carbon. Furthermore, a reduction in forest density has been shown to increase the resistance and resilience of these ecosystems to wildfires, thereby mitigating potential CO2 emissions []. Given the critical role of forests in the carbon cycle and the ongoing challenges posed by climate change, it is essential to empirically assess how cutting intensity influences carbon storage and sequestration to refine future multi-criteria analyses. The present study incorporates information related to firewood production but does not include other products such as fruits, leaves, stems, and roots, which have economic and social value as they are linked to many cultural practices [] that should be represented in future studies.
In neither scenarios, models, nor sites was the NO alternative identified as the best management strategy. It is interesting to note that, even under the extreme conservative scenario, harvesting is necessary to achieve sustainability according to the models that have been developed. The less productive site (LR) was the most sensible to weight changes from those analysed. Here, the productive scenario favoured more intense cutting because the planted tree species do not survive under any management alternative []. Consequently, since firewood provision (the only material NCP for this site) increases with cutting intensity, more intense cutting regimens tend to be selected. However, as demonstrated by the optimisation procedure showed, MID remains the best option in a productive scenario. Conversely, under the conservative scenario, HI is penalised due to its impact on regulating and non-material NCP.
5. Conclusions
Following the evaluation of the effects of varying levels of strip-cutting intensity on various NCPs in N. antarctica secondary forests using a MCDA, the results indicate that medium cutting intensity (2.5 m harvest strips × 2.5 m non-harvest strips) consistently emerges as the most sustainable management option. This result remained stable across all study sites, decision models, and both productive and conservative scenarios, demonstrating the robustness and reliability of the findings.
This study emphasises the significance of balancing multiple objectives in the management of these forests, particularly in ecosystems where ecological and socio-economic factors exert a strong influence on sustainability. Decision makers placed a higher priority on the regulating NCPs, such as fire prevention and invasion control, than on purely productive aspects, reflecting the substantial environmental challenges of the region and the mounting societal concerns about natural hazards.
A significant contribution of this work is the integration of various site-specific indicators derived from a number of permanent research efforts previously conducted on these experimental plots. This approach has enabled the synthesis of diverse environmental and production data into a coherent decision-making framework. While acknowledging the inherent limitations of relying on short-term monitoring data. The indicators selected were those most responsive to cutting intensity, rendering them suitable for assessing immediate management impacts. The incorporation of additional indicators, such as forage production or socio-cultural factors, the utilisation of longer-term datasets, different scenarios, and a larger number of decision makers, would serve to further enhance the robustness of the sustainability assessment.
The methodology presented here has been demonstrated to offer a replicable framework for evaluating sustainable forest management in other ecosystems facing similar trade-offs between conservation and production. The set of indicators can be adapted, and stakeholder preferences can be adjusted, thus enabling the multi-criteria approach to be tailored to different socio-ecological contexts. The flexibility of the methodology allows it to incorporate local priorities and diverse NCPs, making it a valuable tool for decision-makers seeking to operationalise sustainability in forest landscapes globally.
The findings of this study suggest that the implementation of medium disturbances intensities could serve as a viable strategy to reconcile conservation goals with local livelihoods, particularly in regions such as Northern Patagonia where firewood provision and ecosystem integrity are both central to sustainable forest use. It is recommended that forest policies and management plans prioritise interventions that maintain this balance, ensuring the long-term resilience and sustainability of N. antarctica secondary forests.
Author Contributions
Conceptualization, M.G.G. and L.A.G.; methodology, M.G.G. and C.H.; software, M.G.G. and C.H.; formal analysis, M.G.G. and C.H.; data curation, M.G.G. and J.I.A.; writing—original draft preparation, M.G.G.; writing—review and editing, M.G.G., C.H., F.J.O., J.I.A., M.E.N., G.J.M.P. and L.A.G. All authors have read and agreed to the published version of the manuscript.
Funding
This research was funded by PITES-03 (MINCyT Argentina) “Propuesta de conservación multicriterio de los bosques nativos de Argentina: Funcionalidad, biodiversidad, servicios ecosistémicos y resiliencia frente al cambio climático de Argentina”.
Data Availability Statement
The raw data supporting the conclusions of this article will be made available by the authors on request.
Conflicts of Interest
The authors declare no conflicts of interest.
Abbreviations
The following abbreviations are used in this manuscript:
NCP | Nature’s contributions to people |
MCDA | Multi criteria decision analysis |
GP | Goal Programming |
EGP | Extended Goal Programming |
DM | Decision makers |
NO | No cutting |
LOW | Low cutting intensity |
MID | Medium cutting intensity |
HI | High cutting intensity |
Appendix A

Table A1.
Indicators considered in the analysis that have shown a response to management.
Table A1.
Indicators considered in the analysis that have shown a response to management.
Indicator | Type | NCP Category | References |
---|---|---|---|
Firewood harvesting (m3 ha−1) | + | Energy (NCP 11) | [] |
Wood production (% survival of afforestation) | + | Provision of materials (NCP 13) | [] |
Pollinators diversity (Chao 1) | + | Maintenance of options (NCP 18) | [] |
Folivorous arthropods diversity (H’) | + | [] | |
Plant taxonomic diversity (H’) | + | [] | |
Plant functional diversity (Rao Q) | + | [] | |
Litter production (m2 ha−1) | + | Formation, protection of soils (NCP 8) | [] |
Litter decomposition (% o.m.r.) | + | [] | |
Fire prevention | Regulation of hazards (NCP 9) | [] | |
Live fuel continuity (m2 ha−1) | (−) | ||
Live fuel moisture content (%) | (+) | ||
Invasibility (% exotic pines germination) | − | Regulation of detrimental organisms and biological processes (NCP 10) | [] |
Folivory (% leaf damage) | − | [] |

Figure A1.
Experimental plots in FN (a), FS (b), and LR (c) sites.

Figure A2.
Correlation between functional and taxonomic diversity (red line). Blue points stand for the estimates of the four SCI and the three sites. Person’s correlation coefficients = 0.88.
References
- Achim, A.; Moreau, G.; Coops, N.C.; Axelson, J.N.; Barrette, J.; Bédard, S.; Byrne, K.E.; Caspersen, J.; Dick, A.R.; D’Orangeville, L.; et al. The changing culture of silviculture. For. Int. J. For. Res. 2021, 95, 143–152. [Google Scholar] [CrossRef]
- O’Hara, K.L. What is close-to-nature silviculture in a changing world? For. Int. J. For. Res. 2015, 89, 1–6. [Google Scholar] [CrossRef]
- Fabbio, G.; Cantiani, P.; Ferretti, F.; Di Salvatore, U.; Bertini, G.; Becagli, C.; Chiavetta, U.; Marchi, M.; Salvati, L. Sustainable Land Management, Adaptive Silviculture, and New Forest Challenges: Evidence from a Latitudinal Gradient in Italy. Sustainability 2018, 10, 2520. [Google Scholar] [CrossRef]
- Díaz, S.; Pascual, U.; Stenseke, M.; Martín-López, B.; Watson, R.T.; Molnár, Z.; Hill, R.; Chan, K.M.A.; Baste, I.A.; Brauman, K.A.; et al. Assessing nature’s contributions to people. Science 2018, 359, 270–272. [Google Scholar] [CrossRef]
- Díaz-Yáñez, O.; Pukkala, T.; Packalen, P.; Lexer, M.J.; Peltola, H. Multi-objective forestry increases the production of ecosystem services. For. Int. J. For. Res. 2020, 94, 386–394. [Google Scholar] [CrossRef]
- Kangas, J.; Kangas, A. Multiple criteria decision support in forest management: The approach, methods applied, and experiences gained. For. Ecol. Manag. 2005, 207, 133–143. [Google Scholar] [CrossRef]
- Ananda, J.; Herath, G.A. Critical Review of Multi-Criteria Decision Making Methods with Special Reference to Forest Management and Planning. Ecol. Econ. 2009, 68, 2535–2548. [Google Scholar] [CrossRef]
- Marques, M.; Reynolds, K.M.; Marto, M.; Lakicevic, M.; Caldas, C.; Murphy, P.J.; Borges, J.G. Multicriteria decision analysis and group Decision-Making to select Stand-Level forest management models and support Landscape-Level collaborative planning. Forests 2021, 12, 399. [Google Scholar] [CrossRef]
- Mendoza, G.A.; Martins, H. Multi-criteria decision analysis in natural resource management: A critical review of methods and new modelling paradigms. For. Ecol. Manag. 2006, 230, 1–22. [Google Scholar] [CrossRef]
- Kpadé, C.P.; Tamini, L.D.; Pepin, S.; Khasa, D.P.; Abbas, Y.; Lamhamedi, M.S. Evaluating Multi-Criteria Decision-Making Methods for Sustainable Management of Forest Ecosystems: A Systematic Review. Forests 2024, 15, 1728. [Google Scholar] [CrossRef]
- Carabelli, E.; Bigsby, H.R.; Cullen, R.; Peri, P.L. Measuring Sustainable Forest Management in Tierra del Fuego, Argentina. J. Sustain. For. 2007, 24, 85–108. [Google Scholar] [CrossRef]
- Diaz-Balteiro, L.; Voces, R.; Romero, C. Making Sustainability Rankings Using Compromise Programming. An Application to European Paper Industry. Silva Fenn. 2011, 45, 761–773. [Google Scholar] [CrossRef]
- CIEFAP y MAyDS. Actualización de la Clasificación de Tipos Forestales y Cobertura del Suelo de la Región Bosque Andino Patagónico. Informe Final; CIEFAP: Buenos Aires, Argentina, 2016; p. 111. [Google Scholar]
- Reque, J.A.; Sarasola, M.; Gyenge, J.; Fernández, M.E. Caracterización silvícola de ñirantales del norte de la Patagonia para la gestión forestal sostenible. Bosque 2007, 28, 33–45. [Google Scholar] [CrossRef]
- Coulin, C.; Aizen, M.A.; Garibaldi, L.A. Contrasting responses of plants and pollinators to woodland disturbance. Austral Ecol. 2019, 44, 1040–1051. [Google Scholar] [CrossRef]
- Goldenberg, M.G.; Oddi, F.J.; Amoroso, M.M.; Garibaldi, L.A. Effects of harvesting intensity and site conditions on biomass production of northern Patagonia shrublands. Eur. J. For. Res. 2020, 139, 881–891. [Google Scholar] [CrossRef]
- Tiribelli, F.; Kitzberger, T.; Morales, J.M. Changes in vegetation structure and fuel characteristics along post-fire succession promote alternative stable states and positive fire–vegetation feedbacks. J. Veg. Sci. 2018, 29, 147–156. [Google Scholar] [CrossRef]
- Morales, J.M.; Mermoz, M.; Gowda, J.H.; Kitzberger, T. A stochastic fire spread model for north Patagonia based on fire occurrence maps. Ecol. Model. 2015, 300, 73–80. [Google Scholar] [CrossRef]
- Landesmann, J.B.; Gowda, J.H.; Kitzberger, T. Temporal shifts in the interaction between woody resprouters and an obligate seeder tree during a post-fire succession in Patagonia. J. Veg. Sci. 2016, 27, 1198–1208. [Google Scholar] [CrossRef]
- Grosfeld, J.; Chauchard, L.; Gowda, J.H. Debates: ¿Podemos manejar sustentablemente el bosque nativo de Patagonia Norte? Ecol. Aust. 2019, 29, 156–163. [Google Scholar] [CrossRef]
- Gowda, J.H.; Kitzberger, T.; Musso, R.G. Modelos de cambio en cobertura forestal de la cuenca del río Manso inferior ¿Una herramienta para definir estrategias de manejo? Bosque 2023, 44, 273–284. [Google Scholar] [CrossRef]
- Paritsis, J. Short-stature trees: Need for expanded knowledge on stand dynamics for their ecological and silvicultural management. J. Appl. Ecol. 2024, 61, 1496–1499. [Google Scholar] [CrossRef]
- Nacif, M.E.; Goldenberg, M.G.; Oddi, F.J.; Pastorino, M.J.; Aparicio, A.G.; Garibaldi, L.A. Plantación de especies forestales nativas en matorrales de Patagonia norte: Respuesta a la apertura inicial de dosel en sitios contrastantes. Bosque 2023, 44, 219–239. [Google Scholar] [CrossRef]
- Diaz-Balteiro, L.; Belavenutti, P.; Ezquerro, M.; González-Pachón, J.; Nobre, S.R.; Romero, C. Measuring the sustainability of a natural system by using multi-criteria distance function methods: Some critical issues. J. Environ. Manag. 2018, 214, 197–203. [Google Scholar] [CrossRef] [PubMed]
- Goldenberg, M.G.; Oddi, F.J.; Gowda, J.H.; Garibaldi, L.A. Effects of firewood harvesting intensity on biodiversity and ecosystem services in shrublands of northern Patagonia. For. Ecosyst. 2020, 7, 47. [Google Scholar] [CrossRef]
- Gyenge, J.; Fernández, M.E.; Fernández, M.E.; Sarasola, M.; de Urquiza, M.; Schlichter, T. Ecuaciones para la estimación de biomasa aérea y volumen de fuste de algunas especies leñosas nativas en el valle del río Foyel, NO de la Patagonia argentina. Bosque 2009, 30, 95–101. [Google Scholar] [CrossRef]
- Nabaes Jodar, D.N.; García, I.M.; Goldenberg, M.G.; Garibaldi, L.A. Producción de restos vegetales y descomposición de hojarasca foliar bajo distintas intensidades de corta en fajas en matorrales. Ecol. Aust. 2023, 33, 178–187. [Google Scholar] [CrossRef]
- Chillo, V.; Goldenberg, M.; Pérez-Méndez, N.; Garibaldi, L.A. Diversity, functionality, and resilience under increasing harvesting intensities in woodlands of northern Patagonia. For. Ecol. Manag. 2020, 474, 118349. [Google Scholar] [CrossRef]
- Nacif, M.E.; Quintero, C.; Garibaldi, L.A. Intermediate harvesting intensities enhance native tree performance of contrasting species while conserving herbivore diversity in a Patagonian woodland. For. Ecol. Manag. 2020, 483, 118719. [Google Scholar] [CrossRef]
- Dimarco, R.D.; Nacif, M.E.; Garibaldi, L.A.; Nuñez, M.A. Higher establishment of nonnative trees with increased harvest intensity in strip cuttings. New For. 2024, 55, 1439–1453. [Google Scholar] [CrossRef]
- Goldenberg, M.G.; Nacif, M.E.; Oddi, F.J.; Garibaldi, L.A. Early response of Nothofagus antarctica forests to thinning intensity in northern Patagonia. Can. J. For. Res. 2020, 51, 493–499. [Google Scholar] [CrossRef]
- Erol, I.; Sencer, S.; Sari, R. A new fuzzy multi-criteria framework for measuring sustainability performance of a supply chain. Ecol. Econ. 2011, 70, 1088–1100. [Google Scholar] [CrossRef]
- Diaz-Balteiro, L.; Romero, C. In search of a natural systems sustainability index. Ecol. Econ. 2004, 49, 401–405. [Google Scholar] [CrossRef]
- Romero, C. Extended lexicographic goal programming: A unifying approach. Omega 2001, 29, 63–71. [Google Scholar] [CrossRef]
- Diaz-Balteiro, L.; Alonso, R.; Martínez-Jaúregui, M.; Pardos, M. Selecting the best forest management alternative by aggregating ecosystem services indicators over time: A case study in central Spain. Ecol. Indic. 2017, 72, 322–329. [Google Scholar] [CrossRef]
- Ezquerro, M.; Diaz-Balteiro, L.; Pardos, M. Implications of forest management on the conservation of protected areas: A new proposal in Central Spain. For. Ecol. Manag. 2023, 548, 121428. [Google Scholar] [CrossRef]
- Ezquerro, M.; Pardos, M.; Diaz-Balteiro, L. Integrating variable retention systems into strategic forest management to deal with conservation biodiversity objectives. For. Ecol. Manag. 2019, 433, 585–593. [Google Scholar] [CrossRef]
- Lindo Systems, Inc. LINGO; (Version 21.0); Lindo Systems, Inc.: Chicago, IL, USA, EE.UU; 2024; Available online: https://www.lindo.com/ (accessed on 1 September 2024).
- Saaty, T.L. The Analytic Hierarchy Process: Planning, Priority Setting, Resource Allocation, 2nd ed.; McGraw-Hill: New York, NY, USA, 1980; p. 287. [Google Scholar]
- Saaty, T.L. A scaling method for priorities in hierarchical structures. J. Math. Psychol. 1977, 15, 234–281. [Google Scholar] [CrossRef]
- Diaz-Balteiro, L.; Rodriguez, L.C. Optimal rotations on Eucalyptus plantations including carbon sequestration—A comparison of results in Brazil and Spain. For. Ecol. Manag. 2006, 229, 247–258. [Google Scholar] [CrossRef]
- Grammatikopoulou, I.; Vačkářová, D. The value of forest ecosystem services: A meta-analysis at the European scale and application to national ecosystem accounting. Ecosyst. Serv. 2021, 48, 101262. [Google Scholar] [CrossRef]
- Kitzberger, T.; Tiribelli, F.; Barberá, I.; Gowda, J.H.; Morales, J.M.; Zalazar, L.; Paritsis, J. Projections of fire probability and ecosystem vulnerability under 21st century climate across a trans-Andean productivity gradient in Patagonia. Sci. Total Environ. 2022, 839, 156303. [Google Scholar] [CrossRef]
- Grilli, G.; Nikodinoska, N.; Paletto, A.; De Meo, I. Stakeholders’ Preferences and Economic Value of Forest Ecosystem Services: An Example in the Italian Alps. Balt. For. 2015, 21, 298–307. Available online: https://www.cabdirect.org/cabdirect/abstract/20163062277 (accessed on 7 October 2024).
- Franzese, J.; Raffaele, E.; Chiuffo, M.C.; Blackhall, M. The legacy of pine introduction threatens the fuel traits of Patagonian native forests. Biol. Conserv. 2022, 267, 109472. [Google Scholar] [CrossRef]
- Raffaele, E.; Nuñez, M.A.; Eneström, J.; Blackhall, M. Fire as mediator of pine invasion: Evidence from Patagonia, Argentina. Biol. Invasions 2015, 18, 597–601. [Google Scholar] [CrossRef]
- Franzese, J.; Urrutia, J.; García, R.A.; Taylor, K.; Pauchard, A. Pine invasion impacts on plant diversity in Patagonia: Invader size and invaded habitat matter. Biol. Invasions 2016, 19, 1015–1027. [Google Scholar] [CrossRef]
- Rusch, V.E.; López, D.R.; Cavallero, L.; Rusch, G.M.; Garibaldi, L.A.; Grosfeld, J.; Peri, P. Modelo de estados y transiciones de los ñirantales del NO de la Patagonia como herramienta para el uso silvopastoril sustentable. Ecol. Aust. 2016, 27, 266–278. [Google Scholar] [CrossRef]
- Tognetti, R.; Smith, M.; Panzacchi, P. An introduction to Climate-Smart forestry in mountain regions. In Managing Forest Ecosystems; Springer: Berlin/Heidelberg, Germany, 2021; pp. 1–33. [Google Scholar] [CrossRef]
- Batjes, N.H. Total carbon and nitrogen in the soils of the world. Eur. J. Soil Sci. 1996, 47, 157–163. [Google Scholar] [CrossRef]
- Ameray, A.; Bergeron, Y.; Valeria, O.; Montoro Girona, M.; Cavard, X. Forest carbon management: A review of silvicultural practices and management strategies across boreal, temperate and tropical forests. Curr. For. Rep. 2021, 7, 245–266. [Google Scholar] [CrossRef]
- Loguercio, G.A.; Simon, A.; Winter, A.N.; Ivancich, H.; Reiter, E.J.; Caselli, M.; Heinzle, F.G.; Leuschner, C.; Walentowski, H. Carbon density and sequestration in the temperate forests of northern Patagonia, Argentina. Front. For. Glob. Change 2024, 7, 1373187. [Google Scholar] [CrossRef]
- Chillo, V.; Ladio, A.H.; Salinas Sanhueza, J.; Soler, R.; Arpigiani, D.F.; Rezzano, C.A.; Cardozo, A.G.; Peri, P.; Amoroso, M.M. Silvopastoral Systems in Northern Argentine-Chilean Andean Patagonia: Ecosystem Services Provision in a Complex Territory. In Ecosystem Services in Patagonia, Natural and Social Sciences of Patagonia; Springer: Berlin/Heidelberg, Germany, 2021; pp. 115–137. [Google Scholar] [CrossRef]
Disclaimer/Publisher’s Note: The statements, opinions and data contained in all publications are solely those of the individual author(s) and contributor(s) and not of MDPI and/or the editor(s). MDPI and/or the editor(s) disclaim responsibility for any injury to people or property resulting from any ideas, methods, instructions or products referred to in the content. |
© 2025 by the authors. Licensee MDPI, Basel, Switzerland. This article is an open access article distributed under the terms and conditions of the Creative Commons Attribution (CC BY) license (https://creativecommons.org/licenses/by/4.0/).