Comprehensive Assessment of Drought Susceptibility Using Predictive Modeling, Climate Change Projections, and Land Use Dynamics for Sustainable Management
Abstract
1. Introduction
2. Materials and Methods
2.1. Study Area
2.2. Data Sources
2.2.1. Drought-Controlling Factors
Remote Sensing Indices
Land Use
Ground-Based Data
2.2.2. Evidence Layer
2.2.3. Future Land Use and Climate Data
- Land Use Projection: In this study, we utilized Land Change Modeler (LCM) to project future land use changes, employing both the cellular automata–Markov chain model and machine learning techniques for more accurate predictions. Land Change Modeler is a robust tool for the analysis of historical land use patterns and projection of future changes, which are essential in understanding how land use evolves over time. To create the input maps for this projection, we used Landsat satellite imagery from the years 2000 and 2022. These images were first preprocessed and classified into different land use categories using the random forest classification model. This machine learning model, known for its accuracy and efficiency, was trained on labeled data, allowing us to classify the satellite imagery into relevant categories, such as urban areas, agricultural land, forests, and water bodies. Once the land use maps for the years 2000 and 2022 were generated, we applied the Markov chain model to simulate transitions between different land use types over time. This model helps to quantify the likelihood of one land use category changing into another based on observed historical trends. Using these tools, we projected land use maps for the period between 2030 and 2050.
- Climate Data: Data from the CMIP6 report were used under three shared socioeconomic pathways (SSPs).
- SSP1-2.6: Low emissions, representing a future with stringent climate mitigation;
- SSP2-4.5: Moderate emissions, being the middle path; and
- SSP5-8.5: High emissions, for rapid warming and extreme climate impacts [11].
2.3. Data Analysis and Processing
2.3.1. Current Conditions (2022)
2.3.2. Future Scenarios (2030–2050)
2.3.3. Drought Susceptibility Modeling Using Maximum Entropy
2.3.4. Model Validation and Performance Metrics
3. Results
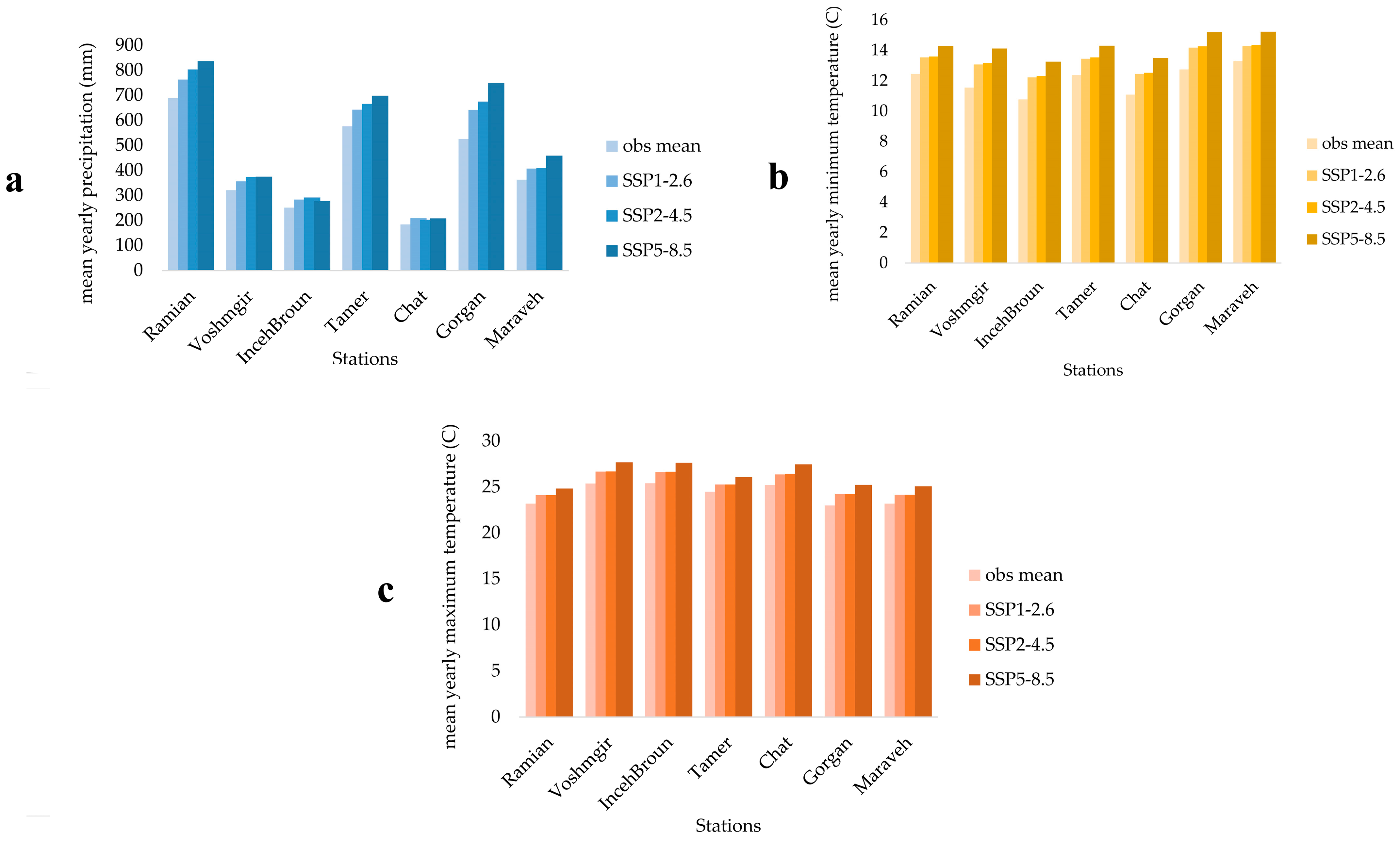
3.1. Monthly Climate Change Data
3.2. Annual Climate Change Data
3.3. Analysis of Land Use Change and Its Impact on Drought Conditions
3.4. Localized Analysis of Land Use Change in Golestan Province (2022 vs. 2030–2050)
3.5. Key Environmental Drivers and Evaluation of Drought Susceptibility Using MaxEnt: Insights from Jackknife and AUC Analysis
3.6. Integrated Analysis of Drought Susceptibility Classes and Their Link to Climate Change and Land Use Dynamics
4. Discussion
4.1. Monthly Climate Change Data
4.2. Annual Climate Change Data
4.3. Combined Monthly and Annual Climate Chnage
4.4. Analysis of Land Use Change and Its Impact on Drought Conditions
4.5. Localized Analysis of Land Use Change in Golestan Province (2022 vs. 2030–2050)
4.6. Climate Change Projections and Their Interaction with Land Use Changes
4.7. Key Environmental Drivers and Evaluation of Drought Susceptibility Using MaxEnt: Insights from Jackknife and AUC Analysis
4.8. Integrated Analysis of Drought Susceptibility Classes and Their Link to Climate Change and Land Use Dynamics
4.9. Comparison with Other Works
5. Conclusions
Author Contributions
Funding
Data Availability Statement
Conflicts of Interest
References
- Wilhite, D.A.; Glantz, M.H. Understanding: The Drought Phenomenon: The Role of Definitions. Water Int. 1985, 10, 111–120. [Google Scholar] [CrossRef]
- Orimoloye, I.R.; Belle, J.A.; Orimoloye, Y.M.; Olusola, A.O.; Ololade, O.O. Drought: A Common Environmental Disaster. Atmosphere 2022, 13, 111. [Google Scholar] [CrossRef]
- Wilhite, D.A.; Buchanan-Smith, M. Drought as Hazard: Understanding the Natural and Social Context. Drought Water Cris. Sci. Technol. Manag. Issues 2005, 3, 29. [Google Scholar]
- Byron-Cox, R. From Desertification to Land Degradation Neutrality: The UNCCD and the Development of Legal Instruments for Protection of Soils. In Legal Instruments for Sustainable Soil Management in Africa; Springer: Berlin/Heidelberg, Germany, 2020; pp. 1–13. [Google Scholar]
- Wilhite, D.A.; Sivakumar, M.V.K.; Pulwarty, R. Managing Drought Risk in a Changing Climate: The Role of National Drought Policy. Weather. Clim. Extrem. 2014, 3, 4–13. [Google Scholar] [CrossRef]
- Soltani, S.; Saboohi, R.; Yaghmaei, L. Rainfall and Rainy Days Trend in Iran. Clim. Change 2012, 110, 187–213. [Google Scholar] [CrossRef]
- Madani, K. Water Management in Iran: What Is Causing the Looming Crisis? J. Environ. Stud. Sci. 2014, 4, 315–328. [Google Scholar] [CrossRef]
- Karimi, S.; Rahemi, M.; Rostami, A.A.; Sedaghat, S. Drought Effects on Growth, Water Content and Osmoprotectants in Four Olive Cultivars with Different Drought Tolerance. Int. J. Fruit Sci. 2018, 18, 254–267. [Google Scholar] [CrossRef]
- Dai, A. Increasing Drought under Global Warming in Observations and Models. Nat. Clim. Chang. 2013, 3, 52–58. [Google Scholar] [CrossRef]
- Yasuhara, M.; Cronin, T.M.; Peter, B.; Okahashi, H.; Linsley, B.K.; Yang, H.; Wang, Y.; Liu, Z.; Work Group II; Weaver, A.J.; et al. IPCC 2014. Impacts, Adaptation and Vulnerability—Europe. Clim. Dyn. 2014, 26, 661–668. [Google Scholar] [CrossRef]
- Masson-Delmotte, V.; Zhai, P.; Pirani, A.; Connors, S.L.; Péan, C.; Berger, S.; Caud, N.; Chen, Y.; Goldfarb, L.; Gomis, M.I. Climate Change 2021: The Physical Science Basis. Contrib. Work. Group I Sixth Assess. Rep. Intergov. Panel Clim. Change 2021, 2, 2391. [Google Scholar]
- Kirtman, B.; Power, S.B.; Adedoyin, A.J.; Boer, G.J.; Bojariu, R.; Camilloni, I.; Doblas-Reyes, F.; Fiore, A.M.; Kimoto, M.; Meehl, G. Near-Term Climate Change: Projections and Predictability. In Climate Change 2013: The Physical Science Basis. IPCC Working Group I Contribution to AR5; Cambridge University Press: Cambridge, UK, 2013. [Google Scholar]
- Silakhori, E.; Dahmardeh Ghaleno, M.R.; Meshram, S.G.; Alvandi, E. To Assess the Impacts of Climate Change on Runoff in Golestan Province, Iran. Nat. Hazards 2022, 112, 281–300. [Google Scholar] [CrossRef]
- Asakereh, H.; Masoodian, S.A.; Tarkarani, F.; Zandkarimi, S. Decadal Change of Iran’s Precipitation Regime. Pure Appl. Geophys. 2023, 180, 4275–4293. [Google Scholar] [CrossRef]
- Morid, S.; Smakhtin, V.; Moghaddasi, M. Comparison of Seven Meteorological Indices for Drought Monitoring in Iran. Int. J. Climatol. 2006, 26, 971–985. [Google Scholar] [CrossRef]
- Ghaffari, G.; Keesstra, S.; Ghodousi, J.; Ahmadi, H. SWAT-simulated hydrological impact of land-use change in the Zanjanrood basin, Northwest Iran. Hydrol. Process. Int. J. 2010, 24, 892–903. [Google Scholar] [CrossRef]
- Rahmati, O.; Samadi, M.; Shahabi, H.; Azareh, A.; Rafiei-Sardooi, E.; Alilou, H.; Melesse, A.M.; Pradhan, B.; Chapi, K.; Shirzadi, A. SWPT: An Automated GIS-Based Tool for Prioritization of Sub-Watersheds Based on Morphometric and Topo-Hydrological Factors. Geosci. Front. 2019, 10, 2167–2175. [Google Scholar] [CrossRef]
- Bhimala, K.R.; Rakesh, V.; Prasad, K.R.; Mohapatra, G.N. Identification of Vegetation Responses to Soil Moisture, Rainfall, and LULC over Different Meteorological Subdivisions in India Using Remote Sensing Data. Theor. Appl. Climatol. 2020, 142, 987–1001. [Google Scholar] [CrossRef]
- Kouassi, J.-L.; Gyau, A.; Diby, L.; Bene, Y.; Kouamé, C. Assessing Land Use and Land Cover Change and Farmers’ Perceptions of Deforestation and Land Degradation in South-West Côte d’Ivoire, West Africa. Land 2021, 10, 429. [Google Scholar] [CrossRef]
- Silakhori, E.; Maleki, S.; Pourghasemi, H.R. Spatiotemporal Variations in Land Use of Mahvelat Plain in Iran Using Google Earth Engine from 2011 to 2030. In Advanced Tools for Studying Soil Erosion Processes; Elsevier: Amsterdam, The Netherlands, 2024; pp. 413–433. [Google Scholar]
- Emadodin, I.; Reinsch, T.; Taube, F. Drought and Desertification in Iran. Hydrology 2019, 6, 66. [Google Scholar] [CrossRef]
- Avazpour, N.; Faramarzi, M.; Omidipour, R.; Mehdizadeh, H. Monitoring the Drought Effects on Vegetation Changes Using Satellite Imagery (Case Study: Ilam Catchment). Geogr. Environ. Sustain. 2021, 11, 125–143. [Google Scholar]
- Khaledian, Y.; Kiani, F.; Ebrahimi, S. The Effect of Land Use Change on Soil and Water Quality in Northern Iran. J. Mt. Sci. 2012, 9, 798–816. [Google Scholar] [CrossRef]
- Zare, M.; Samani, A.A.N.; Mohammady, M. The Impact of Land Use Change on Runoff Generation in an Urbanizing Watershed in the North of Iran. Environ. Earth Sci. 2016, 75, 1–20. [Google Scholar] [CrossRef]
- Keshtkar, M.; Mokhtari, Z.; Sayahnia, R. Impact of Land Use/land Cover Change on Soil Retention Service: A Case of Agricultural-Urbanized Landscape in Northern Iran. J. Landsc. Ecol. 2022, 15, 34–58. [Google Scholar] [CrossRef]
- Zhao, T.; Dai, A. Uncertainties in Historical Changes and Future Projections of Drought. Part II: Model-Simulated Historical and Future Drought Changes. Clim. Change 2017, 144, 535–548. [Google Scholar] [CrossRef]
- Taylor, K.E.; Stouffer, R.J.; Meehl, G.A. An Overview of CMIP5 and the Experiment Design. Bull. Am. Meteorol. Soc. 2012, 93, 485–498. [Google Scholar] [CrossRef]
- IPCC. Climate Change. The Physical Science Basis. Contribution of Working Group I to the Fourth Assessment Report of the Intergovernmental Panel on Climate Change; Cambridge University Press: Cambridge, UK, 2007; pp. 747–785. [Google Scholar]
- Eyring, V.; Bony, S.; Meehl, G.A.; Senior, C.A.; Stevens, B.; Stouffer, R.J.; Taylor, K.E. Overview of the Coupled Model Intercomparison Project Phase 6 (CMIP6) Experimental Design and Organization. Geosci. Model Dev. 2016, 9, 1937–1958. [Google Scholar] [CrossRef]
- Zhai, J.; Mondal, S.K.; Fischer, T.; Wang, Y.; Su, B.; Huang, J.; Tao, H.; Wang, G.; Ullah, W.; Uddin, M.J. Future Drought Characteristics through a Multi-Model Ensemble from CMIP6 over South Asia. Atmos. Res. 2020, 246, 105111. [Google Scholar] [CrossRef]
- Li, H.; Li, Z.; Chen, Y.; Liu, Y.; Hu, Y.; Sun, F.; Kayumba, P.M. Projected Meteorological Drought over Asian Drylands under Different CMIP6 Scenarios. Remote Sens. 2021, 13, 4409. [Google Scholar] [CrossRef]
- Yang, L.; Tian, J.; Fu, Y.; Zhu, B.; He, X.; Gao, M.; Odamtten, M.T.; Kong, R.; Zhang, Z. Will the Arid and Semi-Arid Regions of Northwest China Become Warmer and Wetter Based on CMIP6 Models? Hydrol. Res. 2022, 53, 29–50. [Google Scholar] [CrossRef]
- Yahaya, I.; Zhou, J.; Jiang, S.; Xu, R.H.; Huang, J.; Su, B.; Jing, C.; Qiu, F.; Jiang, T. Depiction of Drought Over Africa in the Light of Changing Climate from CMIP6 Models. Earth Syst. Environ. 2024, 8, 1011–1035. [Google Scholar] [CrossRef]
- Sierra-Soler, A.; Adamowski, J.; Qi, Z.; Saadat, H.; Pingale, S. High Accuracy Land Use Land Cover (LULC) Maps for Detecting Agricultural Drought Effects in Rainfed Agro-Ecosystems in Central Mexico. J. Water Land Dev. 2015, 26, 19–35. [Google Scholar] [CrossRef]
- Akinyemi, F.O. Vegetation Trends, Drought Severity and Land Use-Land Cover Change during the Growing Season in Semi-Arid Contexts. Remote Sens. 2021, 13, 836. [Google Scholar] [CrossRef]
- Patel, S.K.; Sharma, A.; Barla, A.; Singh, G.S. Traditional Farming in the Indian Himalayan Region: Preserving Agro-Biodiversity and Future Food Security. In The Resilience of Traditional Knowledge Systems for a Sustainable Future. Advances in Asian Human-Environmental Research; Springer: Cham, Switzerland, 2024; pp. 27–57. [Google Scholar]
- Gondim, R.; Silveira, C.; de Souza Filho, F.; Vasconcelos, F.; Cid, D. Climate Change Impacts on Water Demand and Availability Using CMIP5 Models in the Jaguaribe Basin, Semi-Arid Brazil. Environ. Earth Sci. 2018, 77, 550. [Google Scholar] [CrossRef]
- Xu, K.; Wu, C.; Zhang, C.; Hu, B.X. Uncertainty Assessment of Drought Characteristics Projections in Humid Subtropical Basins in China Based on Multiple CMIP5 Models and Different Index Definitions. J. Hydrol. 2021, 600, 126502. [Google Scholar] [CrossRef]
- Alemu, M.G.; Wubneh, M.A.; Worku, T.A.; Womber, Z.R.; Chanie, K.M. Comparison of CMIP5 Models for Drought Predictions and Trend Analysis over Mojo Catchment, Awash Basin, Ethiopia. Sci. Afr. 2023, 22, e01891. [Google Scholar] [CrossRef]
- El-Rawy, M.; Batelaan, O.; Al-Arifi, N.; Alotaibi, A.; Abdalla, F.; Gabr, M.E. Climate Change Impacts on Water Resources in Arid and Semi-Arid Regions: A Case Study in Saudi Arabia. Water 2023, 15, 606. [Google Scholar] [CrossRef]
- Dixit, S.; Atla, B.M.; Jayakumar, K. V Evolution and Drought Hazard Mapping of Future Meteorological and Hydrological Droughts Using CMIP6 Model. Stoch. Environ. Res. Risk Assess. 2022, 36, 3857–3874. [Google Scholar] [CrossRef]
- Ty, T.V.; Lavane, K.; Nguyen, P.C.; Downes, N.K.; Nam, N.D.G.; Minh, H.V.T.; Kumar, P. Assessment of Relationship between Climate Change, Drought, and Land Use and Land Cover Changes in a Semi-Mountainous Area of the Vietnamese Mekong Delta. Land 2022, 11, 2175. [Google Scholar] [CrossRef]
- Haider, S.; Masood, M.U.; Rashid, M.; Alshehri, F.; Pande, C.B.; Katipoğlu, O.M.; Costache, R. Simulation of the Potential Impacts of Projected Climate and Land Use Change on Runoff under CMIP6 Scenarios. Water 2023, 15, 3421. [Google Scholar] [CrossRef]
- Mohseni, U.; Agnihotri, P.G.; Pande, C.B.; Durin, B. Understanding the Climate Change and Land Use Impact on Streamflow in the Present and Future under CMIP6 Climate Scenarios for the Parvara Mula Basin, India. Water 2023, 15, 1753. [Google Scholar] [CrossRef]
- Phillips, S.J.; Anderson, R.P.; Schapire, R.E. Maximum Entropy Modeling of Species Geographic Distributions. Ecol. Modell. 2006, 190, 231–259. [Google Scholar] [CrossRef]
- Elith, J.; Phillips, S.J.; Hastie, T.; Dudík, M.; Chee, Y.E.; Yates, C.J. A Statistical Explanation of MaxEnt for Ecologists. Divers. Distrib. 2011, 17, 43–57. [Google Scholar] [CrossRef]
- Pérez Navarro, M.Á.; Sapes, G.; Batllori, E.; Serra-Diaz, J.M.; Esteve, M.A.; Lloret, F. Climatic Suitability Derived from Species Distribution Models Captures Community Responses to an Extreme Drought Episode. Ecosystems 2019, 22, 77–90. [Google Scholar] [CrossRef]
- Ghazipour, F.; Mahjouri, N. A Multi-Model Data Fusion Methodology for Seasonal Drought Forecasting under Uncertainty: Application of Bayesian Maximum Entropy. J. Environ. Manag. 2022, 304, 114245. [Google Scholar] [CrossRef] [PubMed]
- Eghtedarnezhad, M.; Malekinezhad, H.; Rafiei, E. Investigating the Effectiveness of the Maximum Entropy Model in Measuring the Potential of Areas Prone to Hydrological Drought of Underground Water Resources (Case Study: Jiroft Plain). Iran. J. Ecohydrol. 2024, 11, 105–124. [Google Scholar]
- Javidan, N.; Kavian, A.; Pourghasemi, H.R.; Conoscenti, C.; Jafarian, Z.; Rodrigo-Comino, J. Evaluation of Multi-Hazard Map Produced Using MaxEnt Machine Learning Technique. Sci. Rep. 2021, 11, 6496. [Google Scholar] [CrossRef] [PubMed]
- Soltanpour, H.; Serrhini, K.; Gill, J.C.; Fuchs, S.; Mohadjer, S. Multi-Hazard Susceptibility Mapping in the Karst Context Using a Machine-Learning Method (MaxEnt). EGUsphere 2024, 2024, 1–39. [Google Scholar]
- Orefice, S.; Innocenti, C. Regional Assessment of Coastal Landslide Susceptibility in Liguria, Northern Italy, Using MaxEnt. Nat. Hazards 2024, 1–27. [Google Scholar] [CrossRef]
- Qasimi, A.B.; Isazade, V.; Berndtsson, R. Flood Susceptibility Prediction Using MaxEnt and Frequency Ratio Modeling for Kokcha River in Afghanistan. Nat. Hazards 2024, 120, 1367–1394. [Google Scholar] [CrossRef]
- Wu, J.; Luo, J.; Zhang, H.; Qin, S.; Yu, M. Projections of Land Use Change and Habitat Quality Assessment by Coupling Climate Change and Development Patterns. Sci. Total Environ. 2022, 847, 157491. [Google Scholar] [CrossRef]
- Zougmoré, R.; Partey, S.; Ouédraogo, M.; Omitoyin, B.; Thomas, T.; Ayantunde, A.; Ericksen, P.; Said, M.; Jalloh, A. Toward Climate-Smart Agriculture in West Africa: A Review of Climate Change Impacts, Adaptation Strategies and Policy Developments for the Livestock, Fishery and Crop Production Sectors. Agric. Food Secur. 2016, 5, 1–16. [Google Scholar] [CrossRef]
- Gohari, A.; Mirchi, A.; Madani, K. System Dynamics Evaluation of Climate Change Adaptation Strategies for Water Resources Management in Central Iran. Water Resour. Manag. 2017, 31, 1413–1434. [Google Scholar] [CrossRef]
- Walker, W.E.; Haasnoot, M.; Kwakkel, J.H. Adapt or Perish: A Review of Planning Approaches for Adaptation under Deep Uncertainty. Sustainability 2013, 5, 955–979. [Google Scholar] [CrossRef]
- Hoseini Rostami, F.; Jahani, M.A. Analysis of Service Quality Gap between Perceptions and Expectations of Service Recipients Using SERVQUAL Approach in Selected Hospitals in Golestan Province. Iran. J. Health Sci. 2018, 6, 58–67. [Google Scholar] [CrossRef]
- Rahmati, M.; Mirás-Avalos, J.M.; Valsesia, P.; Davarynejad, G.H.; Bannayan, M.; Azizi, M.; Lescourret, F.; Génard, M.; Vercambre, G. Assessing the Effects of Water Stress on Peach Fruit Quality and Size Using the QualiTree Model. In Proceedings of the XXX International Horticultural Congress IHC2018: International Symposium on Cultivars, Rootstocks and Management Systems of 1281, Istanbul, Turkey, 12–16 August 2018; pp. 539–546. [Google Scholar]
- Ji, L.; Peters, A.J. Assessing Vegetation Response to Drought in the Northern Great Plains Using Vegetation and Drought Indices. Remote Sens. Environ. 2003, 87, 85–98. [Google Scholar] [CrossRef]
- Bajgiran, P.R.; Darvishsefat, A.A.; Khalili, A.; Makhdoum, M.F. Using AVHRR-Based Vegetation Indices for Drought Monitoring in the Northwest of Iran. J. Arid Environ. 2008, 72, 1086–1096. [Google Scholar] [CrossRef]
- Rousta, I.; Olafsson, H.; Moniruzzaman, M.; Zhang, H.; Liou, Y.-A.; Mushore, T.D.; Gupta, A. Impacts of Drought on Vegetation Assessed by Vegetation Indices and Meteorological Factors in Afghanistan. Remote Sens. 2020, 12, 2433. [Google Scholar] [CrossRef]
- Zhu, X.; Li, Q.; Guo, C. Evaluation of the Monitoring Capability of Various Vegetation Indices and Mainstream Satellite Band Settings for Grassland Drought. Ecol. Inform. 2024, 82, 102717. [Google Scholar] [CrossRef]
- Gitelson, A.A.; Kaufman, Y.J.; Merzlyak, M.N. Use of a Green Channel in Remote Sensing of Global Vegetation from EOS-MODIS. Remote Sens. Environ. 1996, 58, 289–298. [Google Scholar] [CrossRef]
- Crippen, R.E. Calculating the Vegetation Index Faster. Remote Sens. Environ. 1990, 34, 71–73. [Google Scholar] [CrossRef]
- Hunt, E.R., Jr.; Rock, B.N. Detection of Changes in Leaf Water Content Using near-and Middle-Infrared Reflectances. Remote Sens. Environ. 1989, 30, 43–54. [Google Scholar]
- Wang, L.; Qu, J.J. NMDI: A Normalized Multi-band Drought Index for Monitoring Soil and Vegetation Moisture with Satellite Remote Sensing. Geophys. Res. Lett. 2007, 34, L20405. [Google Scholar] [CrossRef]
- Rondeaux, G.; Steven, M.; Baret, F. Optimization of Soil-Adjusted Vegetation Indices. Remote Sens. Environ. 1996, 55, 95–107. [Google Scholar] [CrossRef]
- Zarco-Tejada, P.J.; Ustin, S.L. Modeling Canopy Water Content for Carbon Estimates from MODIS Data at Land EOS Validation Sites. In Proceedings of the IGARSS 2001. Scanning the Present and Resolving the Future. Proceedings. IEEE 2001 International Geoscience and Remote Sensing Symposium (Cat. No. 01CH37217), Sydney, NSW, Australia, 9–13 July 2001; Volume 1, pp. 342–344. [Google Scholar]
- Fensholt, R.; Sandholt, I. Derivation of a Shortwave Infrared Water Stress Index from MODIS near-and Shortwave Infrared Data in a Semiarid Environment. Remote Sens. Environ. 2003, 87, 111–121. [Google Scholar] [CrossRef]
- Jafari, R.; Lewis, M.M.; Ostendorf, B. Evaluation of Vegetation Indices for Assessing Vegetation Cover in Southern Arid Lands in South Australia. Rangel. J. 2007, 29, 39–49. [Google Scholar] [CrossRef]
- Milner, N. Advanced Spatial Regression Modeling of Corn and Soybean Yield with 30 Vegetation Indices Derived from a Sentinel-2 Time-Series; Southern Illinois University at Edwardsville: Edwardsville, IL, USA, 2021; ISBN 9798780611400. [Google Scholar]
- Alahacoon, N.; Edirisinghe, M. A Comprehensive Assessment of Remote Sensing and Traditional Based Drought Monitoring Indices at Global and Regional Scale. Geomat. Nat. Hazards Risk 2022, 13, 762–799. [Google Scholar] [CrossRef]
- Gislason, P.O.; Benediktsson, J.A.; Sveinsson, J.R. Random Forests for Land Cover Classification. Pattern Recognit. Lett. 2006, 27, 294–300. [Google Scholar] [CrossRef]
- Rodriguez-Galiano, V.F.; Ghimire, B.; Rogan, J.; Chica-Olmo, M.; Rigol-Sanchez, J.P. An Assessment of the Effectiveness of a Random Forest Classifier for Land-Cover Classification. ISPRS J. Photogramm. Remote Sens. 2012, 67, 93–104. [Google Scholar] [CrossRef]
- Phan, T.N.; Kuch, V.; Lehnert, L.W. Land Cover Classification Using Google Earth Engine and Random Forest classifier—The Role of Image Composition. Remote Sens. 2020, 12, 2411. [Google Scholar] [CrossRef]
- Rhee, J.; Im, J.; Carbone, G.J. Monitoring Agricultural Drought for Arid and Humid Regions Using Multi-Sensor Remote Sensing Data. Remote Sens. Environ. 2010, 114, 2875–2887. [Google Scholar] [CrossRef]
- Kogan, F.N. Application of Vegetation Index and Brightness Temperature for Drought Detection. Adv. Sp. Res. 1995, 15, 91–100. [Google Scholar] [CrossRef]
- Liu, W.T.; Kogan, F.N. Monitoring Regional Drought Using the Vegetation Condition Index. Int. J. Remote Sens. 1996, 17, 2761–2782. [Google Scholar] [CrossRef]
- Du, L.; Tian, Q.; Yu, T.; Meng, Q.; Jancso, T.; Udvardy, P.; Huang, Y. A Comprehensive Drought Monitoring Method Integrating MODIS and TRMM Data. Int. J. Appl. Earth Obs. Geoinf. 2013, 23, 245–253. [Google Scholar] [CrossRef]
- Räisänen, J.; Ruokolainen, L.; Ylhäisi, J. Weighting of Model Results for Improving Best Estimates of Climate Change. Clim. Dyn. 2010, 35, 407–422. [Google Scholar] [CrossRef]
- Xu, Z.P.; Li, Y.P.; Huang, G.H.; Wang, S.G.; Liu, Y.R. A Multi-Scenario Ensemble Streamflow Forecast Method for Amu Darya River Basin under Considering Climate and Land-Use Changes. J. Hydrol. 2021, 598, 126276. [Google Scholar] [CrossRef]
- Voldoire, A.; Saint-Martin, D.; Sénési, S.; Decharme, B.; Alias, A.; Chevallier, M.; Colin, J.; Guérémy, J.; Michou, M.; Moine, M. Evaluation of CMIP6 Deck Experiments with CNRM-CM6-1. J. Adv. Model. Earth Syst. 2019, 11, 2177–2213. [Google Scholar] [CrossRef]
- John, J.G.; Blanton, C.; McHugh, C.; Radhakrishnan, A.; Rand, K.; Vahlenkamp, H.; Wilson, C.; Zadeh, N.T.; Dunne, J.P.; Dussin, R. Noaa-Gfdl Gfdl-esm4 Model Output Prepared for cmip6 Scenariomip; World Data Center for Climate: Hamburg, Germany, 2018. [Google Scholar]
- Good, P. MOHC HadGEM3-GC31-LL Model Output Prepared for CMIP6 ScenarioMIP; World Data Center for Climate: Hamburg, Germany, 2019. [Google Scholar]
- Jungclaus, J.; Mikolajewicz, U.; Kapsch, M.-L.; D’Agostino, R.; Wieners, K.-H.; Giorgetta, M.; Reick, C.; Esch, M.; Bittner, M.; Legutke, S. MPI-M MPIESM1. 2-LR Model Output Prepared for CMIP6 PMIP; World Data Center for Climate: Hamburg, Germany, 2019. [Google Scholar]
- Yukimoto, S.; Koshiro, T.; Kawai, H.; Oshima, N.; Yoshida, K.; Urakawa, S.; Tsujino, H.; Deushi, M.; Tanaka, T.; Hosaka, M. MRI MRI-ESM2. 0 Model Output Prepared for CMIP6 ScenarioMIP; World Data Center for Climate: Hamburg, Germany, 2019. [Google Scholar]
- Chen, W.; Pourghasemi, H.R.; Kornejady, A.; Zhang, N. Landslide Spatial Modeling: Introducing New Ensembles of ANN, MaxEnt, and SVM Machine Learning Techniques. Geoderma 2017, 305, 314–327. [Google Scholar] [CrossRef]
- Kornejady, A.; Kouchaki, E.; Boustan, A.; Pourghasemi, H.R.; Sadeghinia, M.; Heidari, A. Multihazard Risk Analysis and Governance across a Provincial Capital in Northern Iran. In Computers in Earth and Environmental Sciences; Elsevier: Amsterdam, The Netherlands, 2022; pp. 655–673. [Google Scholar]
- Seidenfeld, T. Entropy and Uncertainty. Philos. Sci. 1986, 53, 467–491. [Google Scholar] [CrossRef]
- Karmeshu, A.; Pal, N.R. Uncertainty, Entropy and Maximum Entropy Principle—An Overview. In Entropy Measures, Maximum Entropy Principle and Emerging Applications; Springer: Berlin/Heidelberg, Germany, 2003; pp. 1–78. [Google Scholar]
- Merow, C.; Smith, M.J.; Silander, J.A., Jr. A Practical Guide to MaxEnt for Modeling Species’ Distributions: What It Does, and Why Inputs and Settings Matter. Ecography 2013, 36, 1058–1069. [Google Scholar] [CrossRef]
- Verbakel, J.Y.; Steyerberg, E.W.; Uno, H.; De Cock, B.; Wynants, L.; Collins, G.S.; Van Calster, B. ROC Curves for Clinical Prediction Models Part 1. ROC Plots Showed No Added Value above the AUC When Evaluating the Performance of Clinical Prediction Models. J. Clin. Epidemiol. 2020, 126, 207–216. [Google Scholar] [CrossRef]
- Hou, S.; Liu, Y.; Yang, Q. Real-Time Prediction of Rock Mass Classification Based on TBM Operation Big Data and Stacking Technique of Ensemble Learning. J. Rock Mech. Geotech. Eng. 2022, 14, 123–143. [Google Scholar] [CrossRef]
- Zhou, Y.; Wu, W.; Wang, H.; Zhang, X.; Yang, C.; Liu, H. Identification of Soil Texture Classes under Vegetation Cover Based on Sentinel-2 Data with SVM and SHAP Techniques. IEEE J. Sel. Top. Appl. Earth Obs. Remote Sens. 2022, 15, 3758–3770. [Google Scholar] [CrossRef]
- Jenks, Y.F. The data model concept in statistical mapping. Int. Yearb. Cartogr. 1967, 7, 186–190. [Google Scholar]
- Ayalew, L.; Yamagishi, H. The application of GIS-based logistic regression for landslide susceptibility mapping in the Kakuda-Yahiko Mountains, Central Japan. Geomorphology 2005, 65, 15–31. [Google Scholar] [CrossRef]
- Akgun, A. A comparison of landslide susceptibility maps produced by logistic regression, multi-criteria decision, and likelihood ratio methods: A case study at İzmir, Turkey. Landslides 2012, 9, 93–106. [Google Scholar] [CrossRef]












| Index Name | Description | Formula | Reference |
|---|---|---|---|
| Green Normalized Difference Vegetation Index (GNDVI) | GNDVI is an index used to evaluate the health and greenness of vegetation. It primarily measures the chlorophyll content in leaves, which decreases during drought conditions. | [64] | |
| Infrared Percentage Vegetation Index (IPVI) | IPVI is a simple vegetation index focusing on the percentage of infrared reflectance. Vegetation health can be inferred from the balance between infrared and visible light reflected by plant surfaces. | [65] | |
| Moisture Stress Index (MSI) | MSI is a reflectance measurement, sensitive to increases in leaf water content. It is applicable for densely vegetated areas and is more sensitive at the canopy level rather than the leaf level. | [66] | |
| Normalized Multi-Band Drought Index (NMDI) | NMDI is used to monitor the water content in vegetation and soil, making it highly relevant in detecting droughts. It leverages both near-infrared (NIR) and shortwave infrared (SWIR) bands. | [67] | |
| Optimized Soil-Adjusted Vegetation Index (OSAVI) | OSAVI is a modification of NDVI, designed to reduce soil brightness influences. It works well in environments with minimal vegetation cover, helping to accurately assess vegetation health. | [68] | |
| Ratio-Based Vegetation Index (RVI) | RVI is a straightforward vegetation index comparing near-infrared and red reflectance, providing a ratio that correlates with vegetation health. | [69] | |
| Simple Ratio Water Index (SRWI) | SRWI is designed to detect moisture levels in vegetation and soil, particularly in water-stressed environments. | [69] | |
| Soil Moisture Stress Index (SIWSI) | SIWSI measures water stress by combining information from the near-infrared and shortwave infrared bands. | [70] | |
| Stress-Related Vegetation Index (SRVI) | SRVI is sensitive to stress in vegetation and can detect early signs of drought stress before visible symptoms appear. | [71,72] | |
| Transformed Vegetation Index (TVI) | TVI is a normalized vegetation index that helps to reduce atmospheric effects, making it more robust under variable conditions. | [73] |
| Index Name | Description | Formula | Reference |
|---|---|---|---|
| Standardized Drought Condition Index (SDCI) | The SDCI is an integrated index that combines multiple drought-related factors to provide a comprehensive assessment of drought conditions. | [77] | |
| Temperature Condition Index (TCI) | TCI assesses vegetation stress due to temperature extremes, helping to identify areas impacted by heat stress or cooling deficits. | [78] | |
| Vegetation Condition Index (VCI) | VCI evaluates vegetation health and stress using satellite-derived Normalized Difference Vegetation Index (NDVI) values. | [79] | |
| Precipitation Condition Index (PCI) | PCI measures precipitation anomalies to identify areas experiencing drought or excess rainfall. | [80] |
| Model | Modeling Center | Resolution (Atmosphere) Latitude × Longitude | Reference |
|---|---|---|---|
| CNRM-CM6-1 | Centre National de Recherches Meteorologiques/Centre Europeen de Recherche et Formation Avancees en Calcul Scientifique | 1.4° × 1.4° | [83] |
| GFDL-ESM4 | Geophysical Fluid Dynamics Laboratory (GFDL), USA | 1.25° × 1.0° | [84] |
| HadGEM3-GC31-LL | Meteorological Office Hadley Centre, UK | 1.88° × 1.25° | [85] |
| MPI-ESM1-2-LR | Meteorological Research Institute, Japan | 1.9° × 1.9° | [86] |
| MRI-ESM2.0 | Meteorological Research Institute, Japan | 1.0° × 1.0° | [87] |
| Class | Land Use | 2022 (ha) | 2030–2050 (ha) | Percent Change | Areal Change (ha) |
|---|---|---|---|---|---|
| 1 | Forest | 339,409 | 338,110 | −0.06 | −1299 |
| 2 | Rangeland | 708,347 | 651,052 | −2.83 | −57,295 |
| 3 | Agricultural | 805,055 | 747,267 | −2.85 | −57,788 |
| 4 | Bare land | 123,473 | 229,675 | 5.24 | 106,202 |
| 5 | Water body | 7210 | 11,920 | 0.23 | 4710 |
| 6 | Wetland | 8818 | 7878 | −0.05 | −940 |
| 7 | Built-up | 35,801 | 42,221 | 0.32 | 6420 |
| County | Land Use Change | Status | |
|---|---|---|---|
| Ali Abad | Forest | Slight increase (+0.34%) from 45.79% to 46.13% | Ali-Abad’s forest area is well preserved, with a slight increase projected, which should help to buffer hydrological drought by maintaining water retention and reducing surface runoff. However, the increase in bare land (+0.30%) is concerning, as this trend could exacerbate agricultural drought by reducing the productive land available for farming. The rise in agricultural land may reflect increased irrigation needs, which could place pressure on local water resources. With Ali Abad located centrally, near the forested and agricultural heart of the province, its stable forest cover will mitigate some drought effects, but land degradation (bare land) must be addressed to avoid worsening conditions. |
| Rangeland | Decrease (−1.62%) | ||
| Agricultural | Increase (+0.60%) | ||
| Bare Land | Significant rise from 0.07% to 0.37% | ||
| Aqqala | Rangeland | Substantial decline from 7.21% to 2.32% | Aqqala faces severe degradation, with rangeland loss (−4.89%) and an alarming increase in bare land (+12.45%). Aqqala’s location in the northern plains, which is prone to drought and aridification, exacerbates this trend. The significant decrease in agricultural land reflects the impact of increasing drought severity, as water shortages likely make farming unsustainable. The bare land expansion directly correlates with worsening agricultural and hydrological drought, and climate projections from nearby stations likely indicate drier future conditions, requiring urgent intervention to halt desertification. |
| Agricultural | Decrease (−7.13%) | ||
| Bare Land | Significant rise from 13.68% to 26.13% | ||
| Azadshahr | Rangeland | Decrease (−1.09%) | Azadshahr’s moderate rangeland decrease and slight agricultural increase suggest a transition in land use towards farming, but the rise in bare land signals potential soil degradation. This county, located in the southeast, is prone to drought stress due to climate variability. The increase in bare land may be driven by reduced rainfall and rising temperatures projected for nearby synoptic stations, pushing the land towards more desert-like conditions. The conservation of the remaining rangelands will be crucial to maintain moisture in the soil and prevent the further expansion of degraded areas. |
| Agricultural | Slight increase (+0.62%) | ||
| Bare Land | Increase from 0.28% to 0.44% | ||
| Bandar Gaz | Forest | Slight decrease (−0.28%) | Urbanization in Bandar Gaz, located along the Caspian Sea, is notable, with a +0.60% increase in built-up areas. This rise, along with the small reduction in forest and agricultural lands, could worsen hydrological drought due to increased impermeable surfaces (urban areas) that reduce groundwater recharge. Although forest loss is minimal, the rising urban footprint suggests that the water demand and management issues could become more severe as climate change leads to warmer temperatures and more erratic rainfall patterns. |
| Agricultural | Minimal decrease (−0.50%) | ||
| Built-up | Rise from 5.57% to 6.17% | ||
| Bandar-e Torkman | Agricultural | Slight decrease (−0.63%) | Bandar-e Torkman, another Caspian coastal area, shows a steady expansion in urban areas (+0.73%) and a small increase in bare land (+0.03%), while agricultural land shrinks slightly. Although the changes are not dramatic, this county’s strong dependence on agriculture makes even minor land use shifts critical. With projections of rising temperatures and altered precipitation patterns in the coastal zones, agricultural drought could intensify, particularly if water resources are strained by expanding urbanization. Efforts to improve urban water management and protect agricultural land from overuse will be vital. |
| Bare Land | Small increase (+0.03%) | ||
| Built-up | Increase from 6.28% to 7.01% | ||
| Galikesh | Forest | Slight increase (+0.17%) | Galikesh, situated near the Alborz Mountains, retains a large forested area, which sees a small increase (+0.17%), helping to stabilize the local hydrological cycle. However, the reduction in rangeland (−2.60%) and the increase in agricultural land (+2.21%) point to intensifying land use pressures, likely driven by an increasing demand for farming. Given Galikesh’s mountainous geography, changes in climate (precipitation and temperature) will have a pronounced effect on the agricultural drought risk, especially if rainfall patterns shift and temperatures rise. |
| Rangeland | Sharp decline (−2.60%) | ||
| Agricultural | Increase (+2.21%) | ||
| Gomishan | Rangeland | Sharp decline (−7.84%) | Gomishan experiences one of the most dramatic shifts, with a large increase in bare land (+13.24%) and a steep reduction in rangeland (−7.84%). This county, located in the low-lying coastal areas of the province, is vulnerable to land degradation and salinization due to its proximity to the Caspian Sea. The increase in water bodies (+5.11%) may reflect rising water levels or changes in water management, but it is not enough to offset the effects of widespread land degradation. These trends suggest a growing risk of desertification and hydrological drought due to increased bare land exposure. |
| Bare Land | Large increase (+13.24%) | ||
| Water Bodies | Significant rise (+5.11%) | ||
| Gonbad-e Kavus | Rangeland | Decrease (−2.04%) | Gonbad-e Kavus, a central agricultural hub, shows one of the largest bare land increases (+11.44%), coupled with a sharp decline in agricultural land (−9.27%). These changes indicate a strong correlation between increasing agricultural drought and the degradation of farmland into bare land, which exacerbates water scarcity issues. Rangeland also sees a notable decline (−2.04%), further highlighting the challenges faced by this region. The high degree of land degradation points to rising temperatures and reduced rainfall contributing to worsening drought conditions. |
| Agricultural | Large decline (−9.27%) | ||
| Bare Land | Significant rise from 9.96% to 21.40% | ||
| Gorgan | Rangeland | Decrease (−2.55%) | As the provincial capital, Gorgan shows a balance between urban expansion and land use changes. The rise in bare land (+0.54%) and reduction in rangeland (−2.55%) suggest increasing pressure on the available land, while agriculture expands slightly. The city’s location near the Alborz foothills suggests that the increase in bare land could lead to hydrological drought, as urbanization and reduced rangeland disrupt natural water retention mechanisms. |
| Agricultural | Increase (+1.48%) | ||
| Bare Land | Increase (+0.54%) | ||
| Kalaleh | Moderate rangeland decline (−2.97%), with an increase in agricultural land (+2.86%) | This shift may lead to a heightened drought risk as land degradation continues. | |
| Kordkuy | Small but important rise in bare land (+0.39%) | It indicates growing degradation, with slight reductions in forest and rangeland. | |
| Maraveh Tappeh | Significant bare land expansion (+2.62%) | It signals increasing vulnerability to drought, particularly as rangelands shrink. | |
| Minudasht and Ramiyan | Small increases in forest and agricultural land but some declines in rangeland | These counties show moderate stability. Minimal bare land expansion helps to maintain local drought resilience. | |
Disclaimer/Publisher’s Note: The statements, opinions and data contained in all publications are solely those of the individual author(s) and contributor(s) and not of MDPI and/or the editor(s). MDPI and/or the editor(s) disclaim responsibility for any injury to people or property resulting from any ideas, methods, instructions or products referred to in the content. |
© 2025 by the authors. Licensee MDPI, Basel, Switzerland. This article is an open access article distributed under the terms and conditions of the Creative Commons Attribution (CC BY) license (https://creativecommons.org/licenses/by/4.0/).
Share and Cite
Liu, J.; Li, M.; Li, R.; Shalamzari, M.J.; Ren, Y.; Silakhori, E. Comprehensive Assessment of Drought Susceptibility Using Predictive Modeling, Climate Change Projections, and Land Use Dynamics for Sustainable Management. Land 2025, 14, 337. https://doi.org/10.3390/land14020337
Liu J, Li M, Li R, Shalamzari MJ, Ren Y, Silakhori E. Comprehensive Assessment of Drought Susceptibility Using Predictive Modeling, Climate Change Projections, and Land Use Dynamics for Sustainable Management. Land. 2025; 14(2):337. https://doi.org/10.3390/land14020337
Chicago/Turabian StyleLiu, Jinping, Mingzhe Li, Renzhi Li, Masoud Jafari Shalamzari, Yanqun Ren, and Esmaeil Silakhori. 2025. "Comprehensive Assessment of Drought Susceptibility Using Predictive Modeling, Climate Change Projections, and Land Use Dynamics for Sustainable Management" Land 14, no. 2: 337. https://doi.org/10.3390/land14020337
APA StyleLiu, J., Li, M., Li, R., Shalamzari, M. J., Ren, Y., & Silakhori, E. (2025). Comprehensive Assessment of Drought Susceptibility Using Predictive Modeling, Climate Change Projections, and Land Use Dynamics for Sustainable Management. Land, 14(2), 337. https://doi.org/10.3390/land14020337

