Spatiotemporal Evolution and Driving Mechanisms of Non-Grain Production Rate of Planting Structure in Jilin Province from the Perspective of Grain Security
Abstract
1. Introduction
2. Materials and Methods
2.1. Study Area
2.2. Data Sources and Preprocessing
2.3. Methods
2.3.1. Non-Grain Production Rate of Planting Structure
2.3.2. Gravity Center and Standard Deviation Ellipse Models
2.3.3. Spatial Autocorrelation Analysis
2.3.4. Geo-Detector
3. Results and Discussion
3.1. Overall Change Trend of NGPRPS
- Stage 1 (2000–2006): Fluctuation Period
- Stage 2 (2006–2015): Declining Period
- Stage 3 (2015–2020): First Increase, Then Decrease
3.2. Spatiotemporal Process Characteristics of NGPRPS
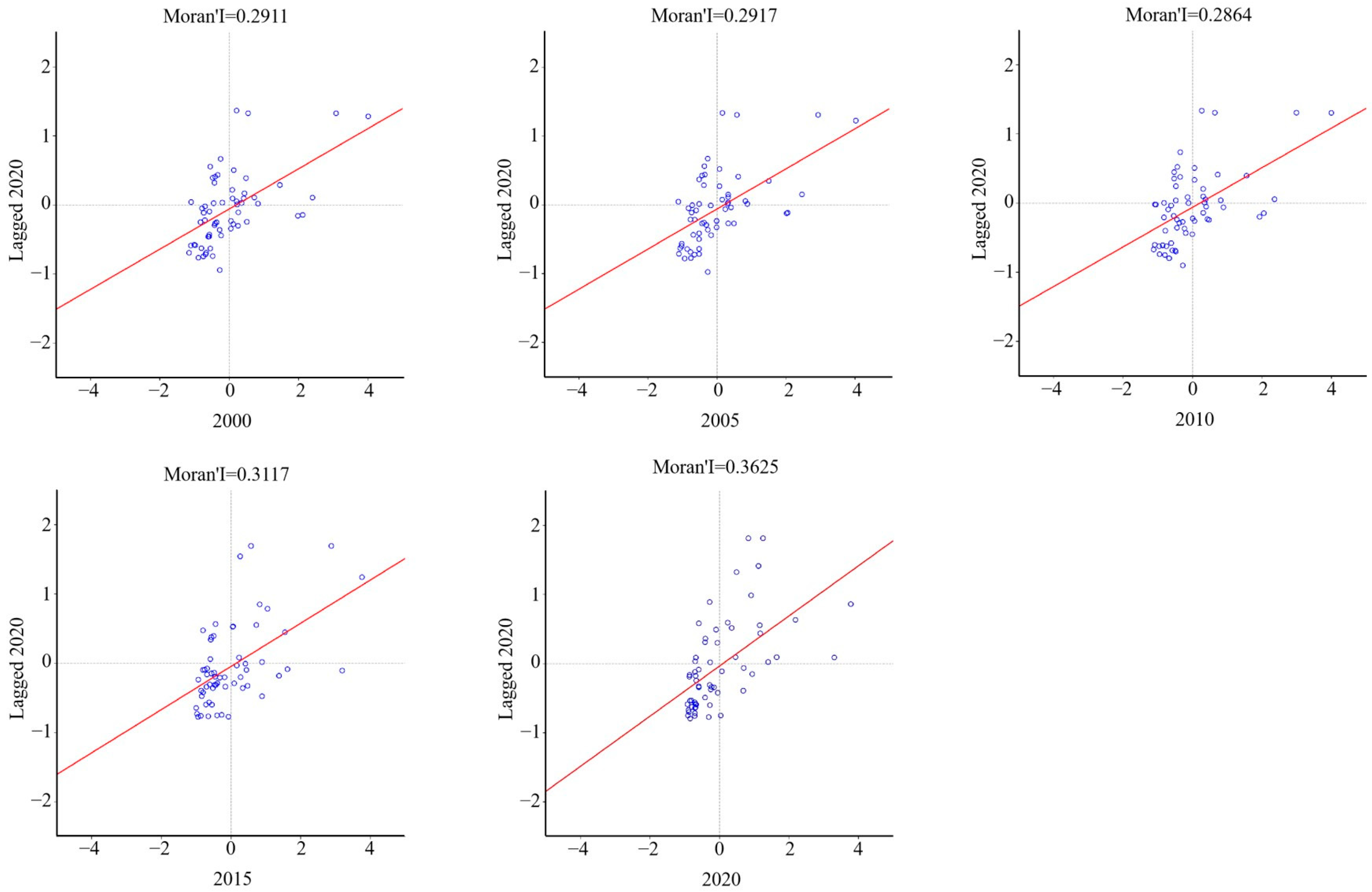
3.3. Spatial Autocorrelation Characteristics of NGPRPS
3.4. Influencing Factors of Spatiotemporal Pattern Change in NGPRPS
| Factor | Variable | Definitions | References |
|---|---|---|---|
| Natural environment | Slope (X6) | The slope of cultivated field, reflecting whether it is suitable for growing crops. | [13,18,46] |
| Annual precipitation (X9) | The average value of the total annual precipitation divided by the number of years, reflecting the adaptability of cultivated land. | [18,34,46] | |
| Productive resources | Cultivated land area per capita (X8) | Total area of cultivated land divided by the agricultural population, reflecting the abundance or scarcity of cultivated land resources per capita. | [11,34,41,47] |
| Machine-cultivated land area (X3) | Actual arable cultivated land area by agricultural machinery, reflecting the intensity of scientific and technological investment. | [9,41,48] | |
| Cultivated land production potential (X7) | The maximum production potential of cultivated land under the current tillage technology level, reflecting the production potential of cultivated land. | [49,50] | |
| Grain yield per unit area (X4) | Grain yield divided by the grain sowing area, reflecting the production capacity of cultivated land. | [13,41] | |
| Economic level | Per capita GDP (X5) | Regional GDP divided by regional population, reflecting the regional economic level. | [13,18] |
| Disposable income ratio of urban and rural residents (X2) | The ratio of per capita disposable income of urban residents to per capita disposable income of rural residents, reflecting the urban–rural income gap. | [13,18] | |
| Social development | Rural population (X10) | Number of rural permanent residents in the region, reflecting the situation of rural surplus labor force. | [16,46] |
| Urbanization rate (X1) | Ratio of urban population to total population, reflecting the level of urbanization in the region. | [11,45] |
3.5. Strategies Analysis on the Problem of NGPPS Based on the Perspective of Grain Security
3.5.1. Optimize Agricultural Subsidy Policies to Enhance the Economic Attractiveness of Grain Planting
3.5.2. Promote Modern Agricultural Technologies to Improve Grain Production Efficiency
3.5.3. Strengthen Media Publicity and Education to Enhance Grain Security Awareness
3.6. Limitations and Suggestions for Further Research
4. Conclusions
Author Contributions
Funding
Data Availability Statement
Acknowledgments
Conflicts of Interest
References
- Liu, Z.; Zhong, H.; LI, Y.; Wen, Q.; Liu, X.; Jian, Y. Change in grain production in China and its impacts on spatial supply and demand distributions in recent two decades. J. Nat. Resour. 2021, 36, 1413–1425. [Google Scholar] [CrossRef]
- Foley, J.A.; Ramankutty, N.; Brauman, K.A.; Cassidy, E.S.; Gerber, J.S.; Johnston, M.; Mueller, N.D.; O’Connell, C.; Ray, D.K.; West, P.C. Solutions for a cultivated planet. Nature 2011, 478, 337–342. [Google Scholar] [CrossRef]
- Yu, D.; Hu, S.; Tong, L.; Xia, C. Spatiotemporal dynamics of cultivated land and its influences on grain production potential in Hunan province, China. Land 2020, 9, 510. [Google Scholar] [CrossRef]
- Clough, Y.; Kirchweger, S.; Kantelhardt, J. Field sizes and the future of farmland biodiversity in European landscapes. Conserv. Lett. 2020, 13, e12752. [Google Scholar] [CrossRef]
- Kuiper, M.; Cui, H.D. Using food loss reduction to reach food security and environmental objectives–A search for promising leverage points. Food Policy 2021, 98, 101915. [Google Scholar] [CrossRef]
- Deng, X.; Huang, J.; Rozelle, S.; Zhang, J.; Li, Z. Impact of urbanization on cultivated land changes in China. Land Use Policy 2015, 45, 1–7. [Google Scholar] [CrossRef]
- Liu, Z.; Yang, P.; Wu, W.; You, L. Spatiotemporal changes of cropping structure in China during 1980–2011. J. Geogr. Sci. 2018, 28, 1659–1671. [Google Scholar] [CrossRef]
- Su, B.; Li, Y.; Li, L.; Wang, Y. How does nonfarm employment stability influence farmers’ farmland transfer decisions? Implications for China’s land use policy. Land Use Policy 2018, 74, 66–72. [Google Scholar] [CrossRef]
- Su, Y.; Qian, K.; Lin, L.; Wang, K.; Guan, T.; Gan, M. Identifying the driving forces of non-grain production expansion in rural China and its implications for policies on cultivated land protection. Land Use Policy 2020, 92, 104435. [Google Scholar] [CrossRef]
- Zhou, Y.; Li, X.; Liu, Y. Cultivated land protection and rational use in China. Land Use Policy 2021, 106, 105454. [Google Scholar] [CrossRef]
- Sun, Y.; Chang, Y.; Liu, J.; Ge, X.; Liu, G.; Chen, F. Spatial differentiation of non-grain production on cultivated land and its driving factors in coastal China. Sustainability 2021, 13, 13064. [Google Scholar] [CrossRef]
- Pan, J.; Chen, Y.; Zhang, Y.; Chen, M.; Fennell, S.; Luan, B.; Wang, F.; Meng, D.; Liu, Y.; Jiao, L. Spatial-temporal dynamics of grain yield and the potential driving factors at the county level in China. J. Clean. Prod. 2020, 255, 120312. [Google Scholar] [CrossRef]
- Zhu, Z.; Dai, Z.; Li, S.; Feng, Y. Spatiotemporal evolution of non-grain production of cultivated land and its underlying factors in China. Int. J. Environ. Res. Public Health 2022, 19, 8210. [Google Scholar] [CrossRef] [PubMed]
- Zhao, H.; Zheng, H.; Miao, C.; Shao, T.; Feng, Y. Spatial-temporal pattern and factor diagnoses of agroecosystem health in major grain producting areas of Northeast China: A case study in Jilin Province. Chin. J. Appl. Ecol. 2016, 27, 3290–3298. [Google Scholar] [CrossRef]
- Tian, T.; Ma, Y. Interactive effect and spatial characteristics of agricultural development level and transport superiority degree in main grain-producing areas of the central Jilin Province, China. Chin. Geogr. Sci. 2022, 32, 643–664. Available online: https://link.springer.com/article/10.1007/s11769-022-1291-3 (accessed on 28 September 2024). [CrossRef]
- Wang, L.; Xu, J.; Liu, Y.; Zhang, S.J.L. Spatial Characteristics of the Non-Grain Production Rate of Cropland and Its Driving Factors in Major Grain-Producing Area: Evidence from Shandong Province, China. Land 2023, 13, 22. [Google Scholar] [CrossRef]
- Chen, F.; Liu, J.; Chang, Y.; Zhang, Q.; Yu, H.; Zhang, S. Spatial pattern differentiation of non-grain cultivated land and its driving factors in China. China Land Sci. 2021, 35, 33–43. [Google Scholar] [CrossRef]
- Guo, Y.; Wang, J. Identifying the determinants of nongrain farming in China and its implications for agricultural development. Land 2021, 10, 902. [Google Scholar] [CrossRef]
- Jiang, G.; Wang, M.; Qu, Y.; Zhou, D.; Ma, W. Towards cultivated land multifunction assessment in China: Applying the “influencing factors-functions-products-demands” integrated framework. Land Use Policy 2020, 99, 104982. [Google Scholar] [CrossRef]
- Zhang, Y.; Feng, Y.; Wang, F.; Chen, Z.; Li, X. Spatiotemporal differentiation and driving mechanism of cultivated land non-grain conversion in Guangdong Province. Resour. Sci. 2022, 44, 480–493. [Google Scholar] [CrossRef]
- Xu, G.; Lu, L.; Yang, C.; Huang, L.; Wan, C. Identification and driving mechanisms of non-grain cultivated land in hilly and mountainous areas based on multi-temporal Sentinel-1A images. Trans. Chin. Soc. Agric. Eng. 2023, 39, 236–245. [Google Scholar] [CrossRef]
- Hao, Q.; Zhang, T.; Cheng, X.; He, P.; Zhu, X.; Chen, Y. GIS-based non-grain cultivated land susceptibility prediction using data mining methods. Sci. Rep. 2024, 14, 4433. [Google Scholar] [CrossRef] [PubMed]
- Li, Q.; Chen, W.; Shi, H.; Zhang, S. Assessing the environmental impact of agricultural production structure transformation—Evidence from the non-grain production of cropland in China. Environ. Impact Assess. Rev. 2024, 106, 107489. [Google Scholar] [CrossRef]
- Ran, D.; Zhang, Z.; Jing, Y. A Study on the Spatial–Temporal Evolution and Driving Factors of Non-Grain Production in China’s Major Grain-Producing Provinces. Int. J. Environ. Res. Public Health 2022, 19, 16630. [Google Scholar] [CrossRef] [PubMed]
- Yang, Q.; Zhang, D. The influence of agricultural industrial policy on non-grain production of cultivated land: A case study of the "one village, one product" strategy implemented in Guanzhong Plain of China. Land Use Policy 2021, 108, 105579. [Google Scholar] [CrossRef]
- Fu, S.; Zhuo, H.; Song, H.; Wang, J.; Ren, L. Examination of a coupling coordination relationship between urbanization and the eco-environment: A case study in Qingdao, China. Environ. Sci. Pollut. Res. 2020, 27, 23981–23993. [Google Scholar] [CrossRef] [PubMed]
- Peng, B.; Sheng, X.; Wei, G. Does environmental protection promote economic development? From the perspective of coupling coordination between environmental protection and economic development. Environ. Sci. Pollut. Res. 2020, 27, 39135–39148. [Google Scholar] [CrossRef] [PubMed]
- Liang, X.; Jin, X.; Liu, J.; Yin, Y.; Gu, Z.; Zhang, J.; Zhou, Y. Formation mechanism and sustainable productivity impacts of non-grain croplands: Evidence from Sichuan Province, China. Land Degrad. Dev. 2023, 34, 1120–1132. [Google Scholar] [CrossRef]
- Liu, Y.; Feng, Y.; Zhao, Z.; Zhang, Q.; Su, S. Socioeconomic drivers of forest loss and fragmentation: A comparison between different land use planning schemes and policy implications. Land Use Policy 2016, 54, 58–68. [Google Scholar] [CrossRef]
- Zhao, Z.; Xing, A.; Sun, Z.; Huang, Y.; Cao, M.; Li, Z.; Zhang, S. Synergies and trade-offs of agro-ecosystem in dry-farming areas in Northeast China. Chin. J. Eco-Agric. 2018, 26, 892–902. [Google Scholar] [CrossRef]
- Ouyang, L.; Wang, Z.; Jia, M.; Mao, D.; Liu, M.; Ren, C.; Man, W. Spatial pattern analysis on quantity and quality of cultivated land in Midwest Jilin province based on remote sensing. Trans. Chin. Soc. Agric. Eng. 2016, 32, 234–242. [Google Scholar] [CrossRef]
- Holzkämper, A.; Fossati, D.; Hiltbrunner, J.; Fuhrer, J. Spatial and temporal trends in agro-climatic limitations to production potentials for grain maize and winter wheat in Switzerland. Reg. Environ. Change 2015, 15, 109–122. [Google Scholar] [CrossRef]
- Zhang, Z.; Zhang, Y.; Shao, X. Coupling coordination analysis and spatiotemporal heterogeneity of the agricultural eco-economic system in the main grain-producing areas of Jilin Province. Environ. Sci. Pollut. Res. 2023, 30, 41782–41793. [Google Scholar] [CrossRef]
- Zhang, D.; Yang, W.; Kang, D.; Zhang, H. Spatial-temporal characteristics and policy implication for non-grain production of cultivated land in Guanzhong Region. Land Use Policy 2023, 125, 106466. [Google Scholar] [CrossRef]
- Wang, N.; Fu, X.; Wang, S. Spatial-temporal variation and coupling analysis of residential energy consumption and economic growth in China. Appl. Energy 2022, 309, 118504. [Google Scholar] [CrossRef]
- Anselin, L. Quantile local spatial autocorrelation. Lett. Spat. Resour. Sci. 2019, 12, 155–166. [Google Scholar] [CrossRef]
- Anselin, L.; Li, X. Operational local join count statistics for cluster detection. J. Geogr. Syst. 2019, 21, 189–210. [Google Scholar] [CrossRef]
- Wen, S.; Wang, Y.; Tang, T.; Su, C.; Li, B.; Bilal, M.A.; Meng, Y. The Spatial-Temporal Patterns and Driving Mechanisms of the Ecological Barrier Transition Zone in the Western Jilin, China. Land 2024, 13, 856. [Google Scholar] [CrossRef]
- Wang, J.; Xu, C. Geodetector: Principle and prospective. Acta Geogr. Sin. 2017, 72, 116–134. [Google Scholar] [CrossRef]
- Ariti, A.T.; Van Vliet, J.; Verburg, P.H. Farmers’ participation in the development of land use policies for the Central Rift Valley of Ethiopia. Land Use Policy 2018, 71, 129–137. [Google Scholar] [CrossRef]
- Huang, T.; Lu, Z.; Zheng, H. The formation characteristics of non-grain cultivated land in the urban suburb under the peasant household scale- a case study of Guangfo area. Rural Econ. Sci.-Technol. 2022, 33, 68–72. [Google Scholar] [CrossRef]
- Qiu, L.; Zhu, J.; Pan, Y.; Wu, S.; Dang, Y.; Xu, B.; Yang, H. The positive impacts of landscape fragmentation on the diversification of agricultural production in Zhejiang Province, China. J. Clean. Prod. 2020, 251, 119722. [Google Scholar] [CrossRef]
- Lu, C. Does household laborer migration promote farmland abandonment in China? Growth Change 2020, 51, 1804–1836. [Google Scholar] [CrossRef]
- Hou, M.; Deng, Y.; Yao, S. Coordinated relationship between urbanization and grain production in China: Degree measurement, spatial differentiation and its factors detection. J. Clean. Prod. 2022, 331, 129957. [Google Scholar] [CrossRef]
- Wang, J.; Dai, C. Identifying the spatial–temporal pattern of cropland’s non-grain production and its effects on food security in China. Foods 2022, 11, 3494. [Google Scholar] [CrossRef] [PubMed]
- Zhu, Z.; Duan, J.; Li, R.; Feng, Y. Spatial evolution, driving mechanism, and patch prediction of grain-producing cultivated land in China. Agriculture 2022, 12, 860. [Google Scholar] [CrossRef]
- Zhang, R.; Li, P.; Xu, L.; Zhong, S.; Wei, H. An integrated accounting system of quantity, quality and value for assessing cultivated land resource assets: A case study in Xinjiang, China. Glob. Ecol. Conserv. 2022, 36, e02115. [Google Scholar] [CrossRef]
- Qiu, T.; Choy, S.B.; Li, S.; He, Q.; Luo, B. Does land renting-in reduce grain production? Evidence from rural China. Land Use Policy 2020, 90, 104311. [Google Scholar] [CrossRef]
- Qi, Y.; Li, Y.; Zhu, D. Study on the non-grain utilization of cultivated land from the perspective of cultivated land capitalization. China Land Sci. 2021, 35, 47–56. [Google Scholar] [CrossRef]
- Su, Y.; Su, C.; Xie, Y.; Li, T.; Li, Y.; Sun, Y. Controlling non-grain production based on cultivated land multifunction assessment. Int. J. Environ. Res. Public Health 2022, 19, 1027. [Google Scholar] [CrossRef] [PubMed]









| Dataset | Year | Scale | Source |
|---|---|---|---|
| Administrative boundary | - | RESDC (https://www.resdc.cn/, accessed on 28 September 2024) | |
| Cultivated land production potential | 2000, 2020 | 1 km | |
| DEM | 2000, 2020 | 30 m | USGS (https://www.usgs.gov/, accessed on 28 September 2024) |
| Slope | 2000, 2020 | 30 m | Calculate from DEM |
| Annual precipitation | 2000, 2020 | - | Jilin Statistical Yearbook (http://tjj.jl.gov.cn/tjsj/tjnj/, accessed on 28 September 2024) |
| Cultivated land area per capita | 2000, 2020 | - | |
| Machine-cultivated land area | 2000, 2020 | - | |
| Grain yield per unit area | 2000, 2020 | - | |
| Per capita GDP | 2000, 2020 | - | |
| Disposable income ratio of urban and rural residents | 2000, 2020 | - | |
| Rural population | 2000, 2020 | - | |
| Urbanization rate | 2000, 2020 | - |
| Criteria | Type of Interaction |
|---|---|
| (q(X1∩X2)) < Min(q(X1),q(X2)) | Nonlinear Attenuation |
| Min(q(X1),q(X2)) < (q(X1∩X2)) < Max(q(X1),q(X2)) | Single-Factor Nonlinear Attenuation |
| (q(X1∩X2)) > Max(q(X1),q(X2)) | Dual-Factor Enhancement |
| (q(X1∩X2)) = q(X1) + q(X2) | Two-Factor Independence |
| (q(X1∩X2)) > q(X1) + q(X2) | Nonlinear Enhancement |
| Year | Rotation (°) | Semi-Major Axis (km) | Semi-Minor Axis (km) | Oblateness | Area (km2) |
|---|---|---|---|---|---|
| 2000 | 117.80 | 127.20 | 64.08 | 0.496 | 102,414 |
| 2005 | 118.65 | 127.35 | 64.17 | 0.496 | 102,680 |
| 2010 | 119.52 | 127.30 | 64.38 | 0.494 | 102,976 |
| 2015 | 121.30 | 127.69 | 65.03 | 0.491 | 104,337 |
| 2020 | 124.49 | 129.30 | 63.91 | 0.506 | 103,831 |
| Year | Moran’s I | p-Value | z |
|---|---|---|---|
| 2000 | 0.2911 | 0.0003 | 3.6251 |
| 2005 | 0.2917 | 0.0003 | 3.6323 |
| 2010 | 0.2864 | 0.0004 | 3.5701 |
| 2015 | 0.3117 | 0.0001 | 3.8676 |
| 2020 | 0.3625 | 0.0 | 4.4647 |
| Time | Key Policies or Plans | Trend | Rate (%) |
|---|---|---|---|
| 2000–2005 | Conversion of Farmland to Forests | - | 17.8% |
| Preventing NGPCL and Stabilizing Grain Production | ↓ | 13.87% | |
| Conversion of Farmland to Grassland Program | ↑ | 14.91% | |
| Jilin Province’s Tenth Five-Year Plan for National Economic and Social Development | ↑ | 13.30% | |
| 2006–2015 | Control of the Total Amount of Rural Construction Land | ↑ | 13.22% |
| Agricultural Machinery Purchase Subsidy | ↓ | 11.18% | |
| 100 Billion Jin Grain Production Capacity Project | ↓ | 10.29% | |
| Jilin Province’s Twelfth Five-Year Plan | ↓ | 10.02% | |
| Jilin Province’s No. 1 Document | ↓ | 7.73% | |
| 2016–2020 | Agricultural “Three Subsidies” Reform | ↑ | 8.59% |
| Strengthening Arable Land Protection and Improving the Balance of Land Occupation and Compensation Policy | ↓ | 7.91% | |
| Jilin Province’s Overall Plan for Agricultural Modernization | ↓ | 7.63% |
Disclaimer/Publisher’s Note: The statements, opinions and data contained in all publications are solely those of the individual author(s) and contributor(s) and not of MDPI and/or the editor(s). MDPI and/or the editor(s) disclaim responsibility for any injury to people or property resulting from any ideas, methods, instructions or products referred to in the content. |
© 2025 by the authors. Licensee MDPI, Basel, Switzerland. This article is an open access article distributed under the terms and conditions of the Creative Commons Attribution (CC BY) license (https://creativecommons.org/licenses/by/4.0/).
Share and Cite
Tang, T.; Wang, Y.; Wen, S.; Yu, T.; Liu, L.; Yang, H. Spatiotemporal Evolution and Driving Mechanisms of Non-Grain Production Rate of Planting Structure in Jilin Province from the Perspective of Grain Security. Land 2025, 14, 212. https://doi.org/10.3390/land14020212
Tang T, Wang Y, Wen S, Yu T, Liu L, Yang H. Spatiotemporal Evolution and Driving Mechanisms of Non-Grain Production Rate of Planting Structure in Jilin Province from the Perspective of Grain Security. Land. 2025; 14(2):212. https://doi.org/10.3390/land14020212
Chicago/Turabian StyleTang, Tianqi, Yongzhi Wang, Shibo Wen, Tengrui Yu, Liye Liu, and Hongzhi Yang. 2025. "Spatiotemporal Evolution and Driving Mechanisms of Non-Grain Production Rate of Planting Structure in Jilin Province from the Perspective of Grain Security" Land 14, no. 2: 212. https://doi.org/10.3390/land14020212
APA StyleTang, T., Wang, Y., Wen, S., Yu, T., Liu, L., & Yang, H. (2025). Spatiotemporal Evolution and Driving Mechanisms of Non-Grain Production Rate of Planting Structure in Jilin Province from the Perspective of Grain Security. Land, 14(2), 212. https://doi.org/10.3390/land14020212

