Spatial and Temporal Distribution and Influencing Factors of “Water-Energy-Food-Ecology” System Resilience
Abstract
1. Introduction
2. Materials and Methods
2.1. Study Area and Index System Construction
2.1.1. Study Area and Data Source
2.1.2. Index System Construction
2.2. Methods
2.2.1. Kernel Density Estimation
2.2.2. Moran’s I
2.2.3. Partial Least Squares Regression Method
2.2.4. Spatial Econometric Model
3. Results and Discussion
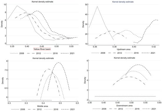
3.1. Temporal Evolution Feature
3.2. Spatial Evolution
3.3. Spatial Correlation Analysis
3.4. Influencing Factors and Analysis
3.5. Spatial Effect Test
3.6. Discussion
4. Conclusions and Policy Implications
4.1. Conclusions
4.2. Policy Implications
Author Contributions
Funding
Data Availability Statement
Conflicts of Interest
Appendix A
- (1)
- Build initial matrix, where m is the number of cities, n is the number of indicators of the evaluation system, and is the original value corresponding to the j index of city i in year k.
- (2)
- To eliminate the influence of different dimensions, the index data are standardized. Shift to the right M units to ensure that the data may be zero after normalization. The m value is 0.001.
- (3)
- Calculate the proportion of the index value of city i under the j-th index in year k as follows:
- (4)
- Calculate the information entropy of item j index in year k:
- (5)
- Calculate the weight of item j in year k:
- (6)
- Calculate the overall score of each city:
References
- Zhou, Z.; Sun, X.; Zhang, X.; Wang, Y. Inter-regional ecological compensation in the Yellow River Basin based on the value of ecosystem services. J. Environ. Manag. 2022, 322, 116073. [Google Scholar] [CrossRef] [PubMed]
- Song, M.; Xiao, J. Coupling coordinated modern governance system of ecological protection and high-quality development in the Yellow River Basin. J. Xi ’an Univ. Financ. Econ. 2023, 36, 90–99. [Google Scholar]
- Zhang, C.; Zhao, X.; Shi, C. Efficiency assessment and scenario simulation of the water-energy-food system in the Yellow river basin, China. Energy 2024, 305, 132279. [Google Scholar] [CrossRef]
- Yang, Z.; Cui, X.; Dong, Y.; Guan, J.; Wang, J.; Xi, Z.; Li, C. Spatio-temporal heterogeneity and influencing factors in the synergistic enhancement of urban ecological resilience: Evidence from the Yellow River Basin of China. Appl. Geogr. 2024, 173, 103459. [Google Scholar] [CrossRef]
- Siciliano, G.; Rulli, M.C.; D’odorico, P. European large-scale farmland investments and the land-water-energy-food nexus. Adv. Water Resour. 2017, 110, 579–590. [Google Scholar] [CrossRef]
- Zhang, T.; Tan, Q.; Yu, X.; Zhang, S. Synergy assessment and optimization for water-energy-food nexus: Modeling and application. Renew. Sustain. Energy Rev. 2020, 134, 110059. [Google Scholar] [CrossRef]
- Liu, S.; Zhao, L. Development and synergetic evolution of the water-energy-food nexus system in the Yellow River Basin. Environ. Sci. Pollut. Res. 2022, 29, 65549–65564. [Google Scholar] [CrossRef]
- De Amorim, W.S.; Valduga, I.B.; Ribeiro, J.M.P.; Williamson, V.G.; Krauser, G.E.; Magtoto, M.K.; de Andrade, J.B.S.O. The nexus between water, energy, and food in the context of the global risks: An analysis of the interactions between food, water, and energy security. Environ. Impact Assess. Rev. 2018, 72, 1–11. [Google Scholar] [CrossRef]
- Li, W.; Jiang, S.; Zhao, Y.; Li, H.; Zhu, Y.; He, G.; Xu, Y.; Shang, Y. A copula-based security risk evaluation and probability calculation for water-energy-food nexus. Sci. Total Environ. 2023, 856, 159236. [Google Scholar] [CrossRef] [PubMed]
- Sun, Y.; Wang, Y.; Zhou, X.; Chen, W. Are shrinking populations stifling urban resilience? Evidence from 111 resource-based cities in China. Cities 2023, 141, 104458. [Google Scholar] [CrossRef]
- Lade, S.J.; Haider, L.J.; Engstrom, G.; Schluter, M. Resilience offers escape from trapped thinking on poverty alleviation. Sci. Adv. 2017, 3, e1603043. [Google Scholar] [CrossRef] [PubMed]
- Howells, M.; Hermann, S.; Welsch, M.; Bazilian, M.; Segerström, R.; Alfstad, T.; Ramma, I. Integrated analysis of climate change, land-use, energy and water strategies. Nat. Clim. Chang. 2013, 3, 621–626. [Google Scholar] [CrossRef]
- Sun, S.; Wang, Y.; Liu, J.; Cai, H.; Wu, P.; Geng, Q.; Xu, L. Sustainability assessment of regional water resources under the DPSIR framework. J. Hydrol. 2016, 532, 140–148. [Google Scholar] [CrossRef]
- Saladini, F.; Betti, G.; Ferragina, E.; Bouraoui, F.; Cupertino, S.; Canitano, G.; Gigliotti, M.; Autino, A.; Pulselli, F.; Riccaboni, A.; et al. Linking the water-energy-food nexus and sustainable development indicators for the Mediterranean region. Ecol. Indic. 2018, 91, 689–697. [Google Scholar] [CrossRef]
- Zhang, C.; Chen, X.; Li, Y.; Ding, W.; Fu, G. Water-energy-food nexus: Concepts, questions and methodologies. J. Clean. Prod. 2018, 195, 625–639. [Google Scholar] [CrossRef]
- Pahl-Wostl, C. Governance of the water-energy-food security nexus: A multi-level coordination challenge. Environ. Sci. Policy 2019, 92, 356–367. [Google Scholar] [CrossRef]
- Ding, T.; Chen, J.; Fang, L.; Ji, J.; Fang, Z. Urban ecosystem services supply-demand assessment from the perspective of the water-energy-food nexus. Sustain. Cities Soc. 2023, 90, 104401. [Google Scholar] [CrossRef]
- Cui, S.; Wang, S. Tracking water pressure on water-energy-food system in global trade. Sustain. Prod. Consum. 2024, 50, 227–238. [Google Scholar] [CrossRef]
- Ding, T.; Chen, J. Evaluation and obstacle factors of coordination development of regional water-energy-food-ecology system under green development: A case study of Yangtze River Economic Belt, China. Stoch. Environ. Res. Risk Assess. 2022, 36, 2477–2493. [Google Scholar]
- Shi, H.; Luo, G.; Zheng, H.; Chen, C.; Bai, J.; Liu, T.; Ochege, F.; De Maeyer, P. Coupling the water-energy-food-ecology nexus into a Bayesian network for water resources analysis and management in the Syr Darya River basin. J. Hydrol. 2020, 581, 124387. [Google Scholar] [CrossRef]
- Lv, C.; Hu, Y.; Ling, M.; Luo, A.; Yan, D. Comprehensive evaluation and obstacle factors of coordinated development of regional water-ecology-energy-food nexus. Environ. Dev. Sustain. 2024, 26, 20001–20025. [Google Scholar] [CrossRef]
- Liu, Q.; Cheng, K.; Zhuang, Y. Estimation of city energy consumption in China based on downscaling energy balance tables. Energy 2022, 256, 124658. [Google Scholar] [CrossRef]
- Gu, B.; Zhang, T.; Meng, H.; Zhang, J. Short-term forecasting and uncertainty analysis of wind power based on long short-term memory, cloud model and non-parametric kernel density estimation. Renew. Energy 2021, 164, 687–708. [Google Scholar] [CrossRef]
- Chen, J.; Wang, L.; Li, Y. Natural resources, urbanization and regional innovation capabilities. Resour. Policy 2020, 66, 101643. [Google Scholar] [CrossRef]
- Liu, Y.; Dong, F. How technological innovation impacts urban green economy efficiency in emerging economies: A case study of 278 Chinese cities. Resour. Conserv. Recycl. 2021, 169, 105534. [Google Scholar] [CrossRef]
- Lazaro, L.L.B.; Giatti, L.L.; Bermann, C.; Giarolla, A.; Ometto, J. Policy and governance dynamics in the water-energy-food-land nexus of biofuels: Proposing a qualitative analysis model. Renew. Sustain. Energy Rev. 2021, 149, 111384. [Google Scholar] [CrossRef]
- Zhang, W.; Xiang, C. Alternative renewable energy consumption on energy efficiency effect research. J. Xi’an Univ. Financ. Econ. 2024, 37, 115–128. [Google Scholar]
- Li, J.; Xia, Y. New urbanization, market reform and digital economy development. J. Stat. Inf. 2024, 39, 32–44. [Google Scholar]
- Nie, C.; Feng, Y.; Chen, Z. The Theoretical basis and Empirical Facts of digital technology Innovation Enabling common Prosperity. J. Stat. Inf. 2024, 12, 1–13. [Google Scholar]
- Wen, H.; Liu, Y.; Zhou, F. New-type infrastructure and urban economic resilience: Evidence from Chin. Int. Rev. Econ. Financ. 2024, 96, 103560. [Google Scholar] [CrossRef]
- Zhou, Q.; Qi, Z. Urban economic resilience and human capital: An exploration of heterogeneity and mechanism in the context of spatial population mobility. Sustain. Cities Soc. 2023, 99, 104983. [Google Scholar] [CrossRef]







| Target Layer | Criterion Layer | Index Level | Index Measure | Index Property |
|---|---|---|---|---|
| The System Resilience of “Water-Energy-Food-Ecology” | Drivers (D) | Economic Development | GDP (CNY Ten Thousand) | + |
| GDP Growth Rate (%) | + | |||
| Output Value of the Tertiary Industry/GDP (%) | + | |||
| Social Development | Population Density (km2) | + | ||
| Domestic Tourism Revenue (CNY Million) | + | |||
| Per Capita Disposable Income (CNY) | − | |||
| Pressures (P) | Resource Pressure | Energy Consumption per Unit of GDP (Ton Standard Coal) | − | |
| Per Capita Daily Domestic Water Consumption (L) | − | |||
| Fertilizer Application Intensity (kg/hm2) | − | |||
| Environmental Pressure | Industrial Wastewater Discharge (Ten Thousand Tons) | − | ||
| Industrial SO2 Emissions | − | |||
| PM2.5 (μg/m3) | − | |||
| States (S) | Resource Supply | Per Capita Energy Production (t) | + | |
| Per Capita Water Supply (Ten Thousand Tons) | + | |||
| Grain Sown Area/Total Area (%) | + | |||
| Ecological Restoration | Green Coverage Rate of Built-Up Area (%) | + | ||
| Green Land Rate in Built-Up Area (%) | + | |||
| Impacts (I) | Resource Stock | Per Capita Grain Output (kg) | + | |
| Gross Industrial Output Value Above Designated Size (CNY Ten Thousand) | + | |||
| Environmental Quality | Centralized Treatment Rate of Sewage Treatment Plant (%) | + | ||
| Per Capita Green Park Area (m2) | + | |||
| AQI | − | |||
| Responses (R) | Environmental Governance | Investment in Environmental Pollution Control (CNY Ten Thousand) | + | |
| Harmless Treatment Rate of Household Garbage (%) | + | |||
| Scientific and Technological Progress | Technology Expenditure/GDP | + | ||
| The Number of Green Patents Granted per 10,000 People | + |
| Year | Shanxi | Inner Mongolia | Shandong | Henan | Shaanxi | Gansu | Ningxia | Yellow River Basin |
|---|---|---|---|---|---|---|---|---|
| 2008 | 0.3598 | 0.3589 | 0.5292 | 0.4259 | 0.4014 | 0.3650 | 0.3596 | 0.3968 |
| 2009 | 0.3689 | 0.3645 | 0.5339 | 0.4311 | 0.4039 | 0.3564 | 0.3660 | 0.3998 |
| 2010 | 0.3746 | 0.3761 | 0.5385 | 0.4374 | 0.4117 | 0.3569 | 0.3661 | 0.4050 |
| 2011 | 0.3779 | 0.3825 | 0.5619 | 0.4377 | 0.4427 | 0.3552 | 0.3644 | 0.4132 |
| 2012 | 0.3816 | 0.3841 | 0.5503 | 0.4336 | 0.4486 | 0.3603 | 0.3690 | 0.4150 |
| 2013 | 0.3848 | 0.3889 | 0.5694 | 0.4434 | 0.4629 | 0.3642 | 0.3744 | 0.4223 |
| 2014 | 0.3887 | 0.3940 | 0.5681 | 0.4514 | 0.4587 | 0.3713 | 0.3781 | 0.4258 |
| 2015 | 0.3907 | 0.3966 | 0.5685 | 0.4504 | 0.4604 | 0.3800 | 0.3817 | 0.4286 |
| 2016 | 0.3921 | 0.3997 | 0.5578 | 0.4549 | 0.4615 | 0.3829 | 0.3782 | 0.4294 |
| 2017 | 0.3955 | 0.4008 | 0.5599 | 0.4581 | 0.4625 | 0.3830 | 0.3860 | 0.4322 |
| 2018 | 0.3986 | 0.4044 | 0.5619 | 0.4615 | 0.4671 | 0.3928 | 0.3886 | 0.4371 |
| 2019 | 0.4031 | 0.4080 | 0.5656 | 0.4662 | 0.4725 | 0.4061 | 0.3932 | 0.4422 |
| 2020 | 0.4083 | 0.4116 | 0.5495 | 0.470 | 0.4641 | 0.4239 | 0.3979 | 0.4417 |
| 2021 | 0.4128 | 0.4232 | 0.5696 | 0.4789 | 0.4769 | 0.4244 | 0.3994 | 0.4506 |
| Year | Moran’s I | p | Year | Moran’s I | p |
|---|---|---|---|---|---|
| 2008 | −0.122 | 0.000 | 2015 | −0.113 | 0.000 |
| 2009 | −0.128 | 0.000 | 2016 | −0.110 | 0.000 |
| 2010 | −0.129 | 0.000 | 2017 | −0.109 | 0.000 |
| 2011 | −0.122 | 0.000 | 2018 | −0.107 | 0.000 |
| 2012 | −0.107 | 0.000 | 2019 | −0.103 | 0.000 |
| 2013 | −0.114 | 0.000 | 2020 | −0.087 | 0.000 |
| 2014 | −0.118 | 0.000 | 2021 | −0.087 | 0.000 |
| Variable | WEFE System Resilience | |||||||
|---|---|---|---|---|---|---|---|---|
| Yellow River Basin | Shanxi | Inner Mongolia | Shandong | Henan | Shaanxi | Gansu | Ningxia | |
| Infrastructure Construction | 0.0002 *** (3.34) | 0.0017 *** (3.22) | 0.0017 *** (3.06) | 0.0005 ** (2.99) | 0.0008 ** (2.07) | 0.0037 *** (7.02) | 0.0020 ** (2.32) | 0.0016 *** (2.90) |
| Government Intervention | 0.1047 ** (2.10) | 0.3179 *** (2.88) | 0.5511 *** (4.76) | 0.9969 *** (6.03) | 0.6195 ** (2.28) | 0.2118 *** (2.62) | −0.3311 *** (−2.82) | −0.0355 (−0.29) |
| Human Capital | 0.0074 *** (5.85) | 0.0002 ** (2.12) | 0.0056 *** (4.25) | 0.0055 *** (5.43) | 0.0003 ** (2.14) | 0.0116 *** (8.67) | 0.0046 *** (3.11) | 0.0055 * (1.87) |
| Industrial Structure | 0.0006 *** (2.71) | −0.0003 (−1.20) | 0.0001 (1.52) | 0.0014 *** (4.60) | 0.0016 *** (6.08) | 0.0005 *** (2.69) | −0.0014 *** (6.26) | −0.0016 *** (−7.83) |
| Land Use Structure | 0.0537 *** (3.65) | −0.0442 ** (−2.49) | 0.0176 * (1.99) | −0.0856 *** (−3.72) | 0.0350 (1.30) | 0.0151 (1.77) | 0.0042 ** (2.06) | 0.0116 ** (2.35) |
| Natural Resource Endowments | 0.0108 ** (2.21) | 0.0651 ** (2.02) | 0.0601 *** (3.83) | 0.0016 (1.08) | 0.4077 *** (3.69) | −0.0174 (−0.48) | 0.0067 * (1.97) | 0.0363 *** (3.69) |
| Innovation | 0.0424 *** (2.82) | 0.1482 *** (2.69) | 0.0288 ** (2.33) | 0.1325 *** (3.96) | 0.0270 ** (2.39) | 0.1207 ** (2.17) | 0.0048 ** (2.11) | −0.0398 (−0.72) |
| Urbanization | 0.0648 *** (2.92) | 0.0988 *** (2.53) | 0.0189 ** (2.25) | 0.0230 ** (1.96) | −0.1532 *** (−2.46) | 0.0839 *** (3.74) | 0.0858 *** (2.95) | 0.0587 *** (2.79) |
| Constant | 0.4126 *** (28.49) | 0.3891 *** (17.11) | 0.3292 *** (22.28) | 0.4039 *** (12.99) | 0.4693 *** (20.38) | 0.4444 *** (27.36) | 0.4282 *** (21.87) | 0.4167 *** (44.51) |
| Variable | Direct Effect | Indirect Effect | Total Effect |
|---|---|---|---|
| Infrastructure Construction | 0.0029 *** (3.41) | −0.0003 *** (−3.34) | 0.0026 *** (3.06) |
| Government Intervention | 0.147 *** (−2.98) | 0.725 ** (−2.29) | 0.872 *** (−2.65) |
| Human Capital | 0.0009 * (1.69) | 0.0220 (−1.01) | 0.0229 * (−1.75) |
| Industrial Structure | 0.0005 *** (−4.59) | −0.0005 (−0.57) | 0.0000 *** (−3.02) |
| Land Use Structure | 0.0066 * (−1.74) | 0.0084 * (−1.48) | 0.015 * (−1.83) |
| Natural Resource Endowments | 0.0101 (−1.37) | 0.0843 ** (−2.33) | 0.0944 * (−1.77) |
| Innovation | 0.0028 * (−1.87) | −0.031 * (−1.81) | −0.0283 * (−1.90) |
| Urbanization | 0.0131 (−1.18) | 0.197 *** (−2.58) | 0.210 *** (−2.69) |
| Fixed Time | Yes | Yes | Yes |
| Fixed City | Yes | Yes | Yes |
| N | 1050 | 1050 | 1050 |
Disclaimer/Publisher’s Note: The statements, opinions and data contained in all publications are solely those of the individual author(s) and contributor(s) and not of MDPI and/or the editor(s). MDPI and/or the editor(s) disclaim responsibility for any injury to people or property resulting from any ideas, methods, instructions or products referred to in the content. |
© 2024 by the authors. Licensee MDPI, Basel, Switzerland. This article is an open access article distributed under the terms and conditions of the Creative Commons Attribution (CC BY) license (https://creativecommons.org/licenses/by/4.0/).
Share and Cite
Yang, Y.; Chen, Y.; Li, X. Spatial and Temporal Distribution and Influencing Factors of “Water-Energy-Food-Ecology” System Resilience. Land 2025, 14, 8. https://doi.org/10.3390/land14010008
Yang Y, Chen Y, Li X. Spatial and Temporal Distribution and Influencing Factors of “Water-Energy-Food-Ecology” System Resilience. Land. 2025; 14(1):8. https://doi.org/10.3390/land14010008
Chicago/Turabian StyleYang, Yaofeng, Yajuan Chen, and Xiuqing Li. 2025. "Spatial and Temporal Distribution and Influencing Factors of “Water-Energy-Food-Ecology” System Resilience" Land 14, no. 1: 8. https://doi.org/10.3390/land14010008
APA StyleYang, Y., Chen, Y., & Li, X. (2025). Spatial and Temporal Distribution and Influencing Factors of “Water-Energy-Food-Ecology” System Resilience. Land, 14(1), 8. https://doi.org/10.3390/land14010008

