Next Article in Journal
A Spatial Modeling Approach for Optimizing the Locations of Large-Scale Biogas Plants from Livestock Manure in Bangladesh
Previous Article in Journal
Moderating Effects of Park Accessibility and External Environment on Park Satisfaction in a Mountainous City
 
 
Font Type:
Arial Georgia Verdana
Font Size:
Aa Aa Aa
Line Spacing:
Column Width:
Background:
Article

Temporal and Spatial Changes in Soil Quality at Shooting Ranges: A Case Study in Croatia

1
Department of General Agronomy, Division for Agroecology, Faculty of Agriculture, University of Zagreb, Svetošimunska Street 25, 10000 Zagreb, Croatia
2
Department of Fisheries, Apiculture, Wildlife Management and Special Zoology, Division for Animal Sciences, Faculty of Agriculture, University of Zagreb, Svetošimunska Street 25, 10000 Zagreb, Croatia
3
Department of Plant Breeding, Genetics and Biometrics, Division for Plant Sciences, Faculty of Agriculture, University of Zagreb, Svetošimunska Street 25, 10000 Zagreb, Croatia
*
Author to whom correspondence should be addressed.
Land 2025, 14(1), 78; https://doi.org/10.3390/land14010078
Submission received: 13 November 2024 / Revised: 27 December 2024 / Accepted: 30 December 2024 / Published: 3 January 2025

Abstract

In this study, the effect of ammunition on soil quality (physical and chemical indicators) at shooting ranges was investigated at four sites in Croatia. The sites differ in soil type (fluvisols, leptosols and terra rossa) and climatic conditions (Mediterranean and continental). The intensity of shooting range use (calculated from the age of the lane and the average number of targets used per year) and the distance from the shooting range (−40 m to +240 m) were examined in relation to soil chemical composition and soil quality. High contents of Pb and Sb at 100 m from the shooting position were observed in fluvisol and terra rossa soils, and the contamination factors (CFs) ranged from 6 up to 97. The study found high natural soil Cr and Ni content in leptosols and terra rossa due to paedogenic reasons (CFs < 1.3) and soil acidification (a decrease in soil pHKCl) due to ammunition/target use. Long-term measures for sustainable soil management and environment protection must be taken at shooting ranges to minimise the potential risks to ecosystems, wildlife and human health (an EU strategy).

Graphical Abstract

1. Introduction

It has long been recognised that soil provides many ecosystem services (healthy food, clean water, nutrient cycling, climate regulation and soil biota diversity) from primary to secondary activities for humans and wildlife. Recreational facilities, such as outdoor shooting ranges, provide secondary soil services to humans. However, shooting ranges have long been recognised as a potential source of soil pollution as they contain large amounts of spent ammunition, which contains significant amounts of heavy metals [1,2,3]. Due to past shooting activities, ammunition residues are usually spread over the designated field but can also extend over several hectares of land and pose a potential health and environmental risk to local biota and groundwater resources [4]. In general, however, the distribution of heavy metals in soil at shooting ranges can be spatially heterogeneous and often does not follow the same distribution trend [5,6].
Shooting sports are considered the second most important source of lead (Pb) contamination in soils after the battery industry [5,7], as each shotgun shell contains up to 36 g of Pb [8]. In the late 1990s, approximately 80,000 tonnes of Pb per year were used to manufacture bullets and shot in the United States. Almost all of this Pb ends up in the soil around shooting ranges [9]. This element is considered one of the major contributors to disturbance and has been found in the highest concentrations of 10,000–70,000 mgkg−1 in soils, of which 10–80% of the Pb is exchangeable and can leach into groundwater, posing a risk to wildlife and human health [1,10]. Clausen et al., 2011 [11] reported that the complete oxidation and dissolution of Pb bullets may take 30 to 300 years depending on the climatic conditions, soil chemical properties and fragmentation of the bullets, while according to other reports, the half-life of Pb in surface soils is estimated to be about 700 years [12,13]. Due to its high concentrations and toxicity, as 90% of bullets and 95% of shotgun pellets are mainly composed of Pb, it is the most studied and monitored element in shooting ranges [14].
Clay pigeons are used as targets on shooting ranges. For many years, they were constructed from 67% milled dolomitic limestone, 32% hot petroleum-based pitch and 1% fluorescent aqueous paint [15], although contamination from clay pigeons at shooting ranges is mainly due to pellets containing Pb, Sb, Ni, Cr, Zn and Mn [16,17]. In contrast, biodegradable (environmentally friendly) pigeons consist mainly of simple edible components (limestone, calcium carbonate and biodegradable polymers, for example, based on potato starch), and these have been increasingly used in recent years. However, the main environmental concern with the use of biodegradable pigeons is that they can decrease the soil reaction (pH) of the soil, which, in turn, can have an impact on the bioavailability of heavy metals [18].
In the late 19th century, it was slowly recognised that the ingestion of Pb from used ammunition can be lethal to wildlife, particularly birds [19,20,21]. Birds are at risk from the direct and indirect ingestion of Pb shot. In the case of direct ingestion, Pb shot usually ends up in the stomach because birds confuse Pb shot with the grains they normally eat. In indirect Pb exposure, whole ammunition or fragments of ammunition embedded in food are ingested when raptors and scavengers consume the meat or discarded remains of animals that have been shot at or ingested Pb [21,22]. Although birds were the most studied group, the weathering of munitions can affect all types of soil organisms, including bacteria or earthworms. This issue is particularly relevant in clay target areas, as earthworms can take up contaminants from shotgun pellets and clay targets [23,24]. However, there are also studies that show a negligible effect of pollution from shooting ranges. For example, in the case of domestic ruminants, grazing on areas contaminated by shooting activities does not appear to have a major impact on the accumulation of heavy metals [25].
Not only Pb is a problem. Antimony (Sb) is the second largest pollutant on shooting ranges, accounting for 7% of bullet composition [26]. This element is of particular interest due to its anionic nature and relative mobility in the environment compared to Pb [5].
For all these reasons, the European Chemicals Agency (ECHA) concluded that the use of Pb in ammunition and fisheries poses risks to wildlife, livestock, the environment and human health and that these risks are not adequately controlled and need to be addressed at an EU level [27]. The new regulation came into force in 2021 and has been applied since 2023 (EU Regulation EC No. 2021/57 Annex to Regulation No. 1907/2006 (REACH) 2021) [28]. This conclusion is in line with the restriction on the use of Pb shot in wetlands and other restrictions on Pb in outdoor shooting due to its toxicity, as well as the fact that at least 127 million birds are exposed to the risk of Pb poisoning every year, and 1 million waterfowl die every year in the EU from the direct ingestion of Pb shot [29].
Considering the potential environmental risks associated with shooting range contamination, studies on shooting ranges have been conducted in various countries in recent years [3,30]. However, soil Pb contamination and co-contamination as an impact of shooting range activities require additional research as they often raise environmental costs and human health concerns elsewhere. In this case study, the effects of different climatic conditions (from Mediterranean to continental), vegetation compositions and soil types in four shooting ranges in Croatia on heavy metal distribution in soil are investigated. To our knowledge, no similar studies with a comparable data set have been conducted in these areas. The aim of this study was to assess the environmental costs of four shooting ranges for soil pollution in relation to the temporal and spatial variability of soil pollutants.

2. Materials and Methods

2.1. Study Areas

In this study, four shooting ranges/sites that are only used for the Olympic disciplines of trap and/or skeet were examined: Zagreb (ZG), Osijek (OS), Zadar (ZD) and Novigrad (NG) (Figure 1).
According to the Köppen climate classification, in ZG and OS, there is a temperate humid climate with warm summers (Cfb); in ZD, there is a Mediterranean climate with hot summers (Csa); and in NG, there is a temperate humid climate with hot summers (Cfa) [31].
Forest trees and shrubs of the Salicaceae, including poplars (Populus spp.) and willows (Salix spp.), dominate in the vicinity of the ZG and OS shooting ranges. Mediterranean shrub vegetation dominates around the shooting range in ZD, while arable land, olive trees and vegetables dominate around the shooting range in NG. All the areas and land uses investigated are shown in Figure 2.
Trap is a discipline in which the shooters stand 15 m away from a trench in which the clay pigeon launching machines are located. Each pigeon release machine has a specific height and a specific release angle, whereby the maximum release angle in both directions is 45°, and each pigeon must fly 76 m. The shooters have two shots for each clay pigeon, except in the final, where they only have one shot. Skeet is a discipline in which the shooters change their position in a semi-circle from a high skeet house to a low skeet house from which clay pigeons are thrown. Each clay pigeon is shot once, sometimes in pairs, from a high and a low skeet house. The clay pigeons in the skeet discipline fly toward each other, and their range is 55 m. For these two disciplines, a Pb shot diameter of 2.41 mm for trap and 2.10 mm for skeet is standard. Only shotguns are used on the shooting ranges examined. They are most frequently calibre 12 and less frequently calibres 16 and 20.
A pallet of clay pigeons contains 8250 targets (one pallet contains 55 boxes with 150 clay pigeons each). The weight of a clay pigeon is 0.105 kg, and the mass of a pallet is 866.25 kg. On average, 11,000 pieces of ammunition are used per pallet per year. Each bullet contains an average of 24 g of Pb shot and 1.4 g of gunpowder.

2.2. Soil Sampling

Surface soil composite samples (0–10 cm) were collected in three replicates from March to May 2020 at all four investigated sites according to the scheme (Figure 2) using standard protocols [32]. A total of 144 soil samples were taken, 18 per line and 36 per site. The total mass of the final investigated sample was 1.5 kg. Control soil samples were collected as composite samples at a distance of −40 m from the shooting position (in the opposite direction to shooting). At each site, the sampled soils were taken from two runways (Figure 2, lines I and II) at a distance of +5, +25, +50, +100 and +240 m from the shooting position (0 m) in the direction of shooting (Figure 2). Runways I and II differed at each site by the time of use as a shooting range (see Table S1). The intensity of use for each line was estimated as a product of the duration of use (in years) and number of pallets used per year.
The soil samples were air-dried, separated from any gravel and stones present, sieved (<2 mm), milled and homogenised. Before processing, the bullets and parts of clay pigeons were removed from the soil samples by hand [33].

2.3. Soil Analysis

In the control soil samples (−40 m), the soil physical (texture) and chemical indicators—soil reaction (pHKCl), organic matter (OM), electroconductivity (EC), available phosphorus (AP) and available potassium (AK), hydrolytic activity (HA), carbonate content (CaCO3), total nitrogen (TN), total carbon (TC), total sulphur (TS) and total elemental analysis (Pb, Sb, Cr and Ni)—were determined according to the methods described in Table S2.
In the studied soil samples (pHKCl, S, Pb, Sb, Cr and Ni) and clay pigeons (all from Mg to U), the total elements were analysed according to the methods described in Table S2.
Table S3 shows the associated detection limits (LODs, pXRF Vanta, Olympus VCR/G2 model, manufacturer’s specification, Olympus Europa, Hamburg, Germany) for all the measured elements (Pb, Sb, Cr and Ni) for the method used [34]. The maximum allowable concentrations (MACs according to the Croatian Ordinance on the Protection of Agricultural Land from Pollution (Official Gazette, OG 71, 2019)) [35]; mean natural values for Croatia (MNVs, Geochemical Atlas of Croatia) [36]; intervention values (INTs) for contaminated soils according to The Netherlands Soil Remediation Circular (NSRC 2013) [37]; and test values (TVs) according to German legislation (Eng. Federal Soil Protection and Contaminated Sites Ordinance, BBodSchV 1999) [38] for soil contamination through various land uses are given according to the manufacturer certificates, legislation and literature.

2.4. Quality Assurance and Quality Control

The laboratory participates every year in the proficiency testing programme of the International Soil Exchange (ISE) and WEPAL (Wageningen (The Netherlands) Evaluating Programmes for Analytical Laboratories) to verify external quality control. Internal quality control was checked daily with soil reference materials (ISE 863 and 874). The accuracy and precision of all measurements were satisfactory.

2.5. Statistical Analysis

To account for the variability in the environmental soil between sampling sites, the data at all sampling sites were recalculated as the difference from the environmental soil of the control (sample at −40 m). Mixed model analyses were performed to test the effect of location and distance from the sampling site on the concentration of each element analysed. For each element analysed as a dependent variable, the models included location and distance from the shooting position (as a continuous predictor) as fixed factors and lane use (estimated as years of use*pallets per year) as a random factor. The sequential sum of squares was used for all estimates, with location entered as the first effect. This analysis was performed using R software (version 4.3.0. for Windows) [39]. For all models where the interaction between location and distance from the launch site was statistically significant (at p < 0.05), we used the R package emmeans [40] to compare the regression slopes for different locations and produce figures.
The changes in soil pHKCl at the study sites were modelled by a linear model with location and distance from the shooting position as fixed effects.
For better understanding of the background values, influence of geological material and potential contamination by the studied activities, we calculated metal contamination factors (CFs) as a ratio of the measured and local background (control) element concentrations [6].

3. Results

3.1. Soil Characteristics

A total of 144 soil samples were collected and analysed. In ZG and OS, the soil type was defined as fluvisol on alluvial deposits of the rivers Sava (ZG) and Drava (OS); in ZD, the soil type is leptosol, with a significant amount of gravel and stones (21 vol%, Table 1); and the soil type in NG is luvisol [41] or much more commonly known as Mediterranean shallow terra rossa (Figure 3).
In the control soil samples, a high variability in parameters was observed in relation to the sites and soil types. The pHKCl ranged from slightly acidic (6.3), measured in NG on terra rossa, to alkaline (7.5), measured in OS on fluvisol. The CaCO3 content ranged from low (0.3%, terra rossa, NG) to medium carbonate content (21.7%, leptosols, ZD). The OM content ranged from moderate (3.0%, fluvisol, OS) to high (7.7%, leptosol, ZD). The values determined for the TN content of the soil ranged from good (0.174%, OS) to very high (0.371%, ZG). Table 1 shows the mean values of the soil physical and chemical parameters of the control samples (−40 m). The supply of AP to the soil was low at all four sites, while AK was good and abundant (Table 1; [42]).
The predominant element in the analysed clay pigeons was Ca, followed by the sum of light elements (LE), including C and followed by H, S, Si, K, Fe, Sr, Ti and Zn (Table S4).

3.1.1. pHKCl of Studied Soils

The mean values of soil pHKCl as a function of distance for all sites and their interactions are shown in Figure S1. In general, the lowest soil pHKCl values for all four sites in the present study were found at 100 m distance (Figure S1a), and a strong negative linear correlation was observed between the total soil sulphur content and pHKCl (r = 0.5919). Soil pHKCl decreased the most in ZG, up to 2.09 units at 100 m, followed by NG with 1.15 units, ZD with 1.05 units and OS with 0.18 units. Soil pHKCl differed significantly by site (soil type) but not by distance (linear model; pHKCl = location × distance; location p = 4.52 × 10−9; distance p = 0.65; location: distance p = 0.89; Figure S1b). The functional dependence of the average soil TS and pHKCl is shown in Figure S2a, while the average soil TS values for the investigated distances at all four study sites are shown in Figure S2b.

3.1.2. Elemental Analysis of Soils

For Pb, Sb, Cr and Ni, some values were observed that are above the INTs for contaminated soils according to the Dutch Soil Protection Amendment Act [37], which is why their behaviour is explained separately.
Table 2 shows the mean Pb, Ni, Cr and Sb values at all four study sites as a function of distance from the shooting range, and Table 3 shows the calculated contamination factors (CFs) for Pb and Sb for the relevant sites of ZG and NG only.
The mean measured Cr concentrations in all four shooting ranges and lines varied from 111 to 370 mgkg−1 and for Ni from 22 to 117 mgkg−1, with a high soil content in ZD (mean values of ~70 mgkg−1 for Ni and ~280 mgkg−1 for Cr) and NG (~95 mgkg−1 for Ni and ~243 mgkg−1 for Cr). All calculated CFs for Cr and Ni were low (<1.3), which confirms the high natural soil Cr and Ni content in leptosols and terra rossa due to paedogenic reasons.
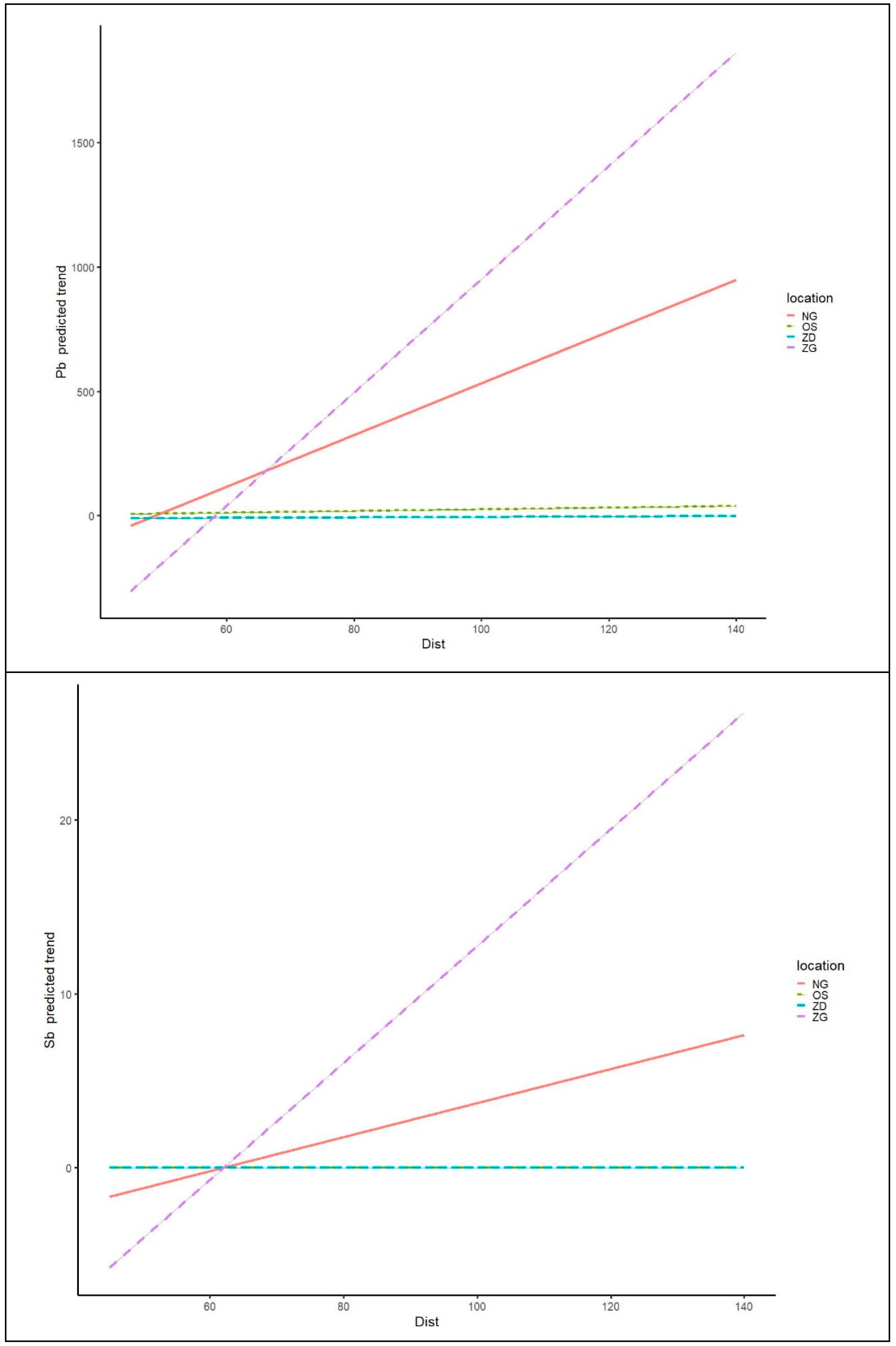
Table 4 shows the p-values of statistical analysis (interactions) for all the investigated elements at different locations, distances and usage of lines, while Figure 4 shows the trends. The interactions between locations and distribution, according to distance for the investigated elements, were calculated using the model described in Section 2.5 and are shown below.

4. Discussion

The trap and/or skeet Olympic shooting ranges led to significant changes in the analysed parameters in the soils at all four sites. The duration of use of the shooting range and the distance to the shooting position influenced soil quality. Our results show no concern regarding the elemental chemical composition of clay pigeons used nowadays in Croatia (Table S4). However, using biodegradable pigeons (which can contain a high S content (>40%) and decrease soil pH [18]) or clay pigeons (which can contain polycyclic aromatic hydrocarbons (PAHs) [15]) could have some negative impact on soil quality.
Soil acidification was observed, with the pHKCl being lowest at a 100 m distance at all four sites. The lowest decrease of 0.18 pHKCl units in fluvisol in OS and the highest decrease of 2.10 pHKCl units in fluvisol in ZG with the same soil type but different durations of shooting range use (31 years in ZG vs. 12 years in OS) was observed between the pHKCl in the control soil samples and those at 100 m from the shooting range. The pH value of the soil at different shooting ranges was investigated in Lithuania [43], where they observed significantly higher pH values in the shooting range soil than in the control soil. In a South Korean shooting range [44], a complete correlation (0.93) was found between the total heavy metal content and soil pH. In addition, the effect of soil pH on the solubility and mobility of heavy metals has been studied in detail, and it is believed that high soil pH promotes the immobilisation of heavy metals in soil [3,45]
At +100 m distance at sites ZG and NG, very high Pb values were observed at both lines (I and II), ranging from 827 to 2333 mgkg−1 (Table 2). Six other values above the MACs were measured: four at +50 m (ZG, ZD and NG) and two at +5 and +25 m (NG, line II, Table 2). According to Croatian legislation [35], the MAC value for Pb in agricultural soils depends on the pHKCl values. For terra rossa (NG), the MAC value was 100 mgkg−1 (mean pHKCl = 5.76), and for all other soils investigated, it was 150 mgkg−1 (mean pHKCl > 6). The INT for Pb in contaminated non-agricultural soils was 530 mgkg−1, according to Dutch legislation [37]. German legislation regarding some pollutants and their TVs in soil is one of the few that distinguishes between TVs in soil and different land use types [38]. For example, the TV of Pb depends on the Pb content in the soil, i.e., 200, 400, 1000 and 2000 mgkg−1 for children’s playgrounds, residential areas, parks and recreational areas, and industrial areas, respectively (Table S3) [38]. Some of the observed values were far above the highest natural values found in Croatia (699 mgkg−1), while the MNV for Pb for all soils in Croatia was 38 mgkg−1 (Table S3). The highest natural values were found in Podravina, in the valleys of the Drava and Mura rivers, in soils over alluvial deposits and floodplains, which can be attributed to natural Pb ore deposits upstream (Austria, Slovenia), where intensive mining was carried out in the last two centuries [36]. The calculated individual CF values for Pb were between 0.8 and 97 in ZG and 1.2 and 35 in NG. Very high CFs (≥6) were achieved at +5 m, +50 m and +100 m in ZG and +25 m, +50 m and +100 m in NG (Table 3). However, compared to this study, much higher Pb concentrations were found in Botswana (38,406 mgkg−1) [7], Florida, USA (10,000–70,000 mgkg−1) [1], Canada (14,000–27,000 mgkg−1) [12], Finland (19,100–50,300 mgkg−1) [46], Denmark (100,000 mgkg−1) [47], Sweden (24,500 mgkg−1) [48], the Netherlands (300,000 mgkg−1) [49] and England (10,620 mgkg−1) [50].
The INT value [37] for Sb in contaminated non-agricultural soils was 22 mgkg−1. Sb is of particular interest due to its anionic nature and relative mobility in the environment compared to Pb [2]. Of the total samples collected, only three samples (in ZG at +100 m on both lines (I and II) and in NG at +100 m on the longer line) had Sb values above the LOD (3 mgkg−1), and their average values were 34, 27 and 27 mgkg−1, respectively (Table 2). Although three values were above the INT, they were still lower than in most shooting range soils reported in the literature, for example, in Norway (110 mgkg−1) [17], Switzerland (up to 13,840 mgkg−1) [51], Canada (150–570 mgkg−1) [12] and South Korea (26–108 mgkg−1) [52]. Some studies have shown that soil pH is a key factor in the weathering processes of spheres in the soil. Increased soil pH suppresses weathering processes and consequently reduces the release and leaching of metals (loids) in the soil [50,53,54]. Therefore, there is a strong indication that near-neutral pH values at almost all sites investigated in this study influence the rate at which the metal-bearing spheres are dissolved in the soil, which could explain the lower concentrations of Pb and Sb compared to other studies [55]. The only potential risk areas were located +100 m from the shooting ranges in ZG and NG, where an acidic environment and pHKCl values of 5.00 and 4.72, respectively, were found (Figure S1). Fortunately, these risk areas are small. The calculated individual CF values for Sb were high (≥6) on both lines in ZG at +100 m (11 and 9) and on line I in NG at +100 m (6), which are classified as very high contamination according to the contamination level [6] (Table 3). Furthermore, in addition to pHKCl, Ca from clay targets and high OM values in the investigated soils play important roles in metal availability. According to our data, the available Pb should be about 10–20%. At the same time, Sb should have a high bioavailability [24], as it is bioavailable at a pH of >7.
The INT values of Cr and Ni in contaminated non-agricultural soils were 258 mgkg−1 (sum of Cr3+ and Cr6+) and 100 mgkg−1, respectively (Table S3) [37]. Almost all the measured Cr values in ZD were very high at about 280 mgkg−1 (>INT). In NG, they were about 240 mgkg−1 (in the range of MACs and INTs), and in ZG and OS, they were high at about 130 mgkg−1 (>MNV and >MAC). However, higher natural Cr concentrations (above the MNV for Croatia at 97 mgkg−1) were observed in the Croatian coastal area, with a median of 121 mgkg−1 and a maximum of 444 mgkg−1 (in the Ravni Kotari and Obrovac regions near ZD). These high natural concentrations are the result of weathering of bauxite deposits in this area [36]. Therefore, the bauxite deposits may have a significant influence on the Cr concentrations found in ZD and NG. In comparison to high coastal Cr values in Croatia, the median Cr value of Central Croatia is 74 mgkg−1, and for the whole of Europe, it is 60 mgkg−1 [36]. Nearly all the measured Ni values in NG were high, although the values tended to be below 95 mgkg−1 (slightly below the INT at 100 mgkg−1). In ZD, the measured Ni values were about 70 mgkg−1 (in the range of the MAC and INT at 50 and 100 mgkg−1, respectively), and in ZG and OS, they were quite normal at about 45 mgkg−1 or below 55 mgkg−1, which corresponds to the natural average for Croatia. Some of the measured Ni concentrations in NG and ZD were higher than the INT (100 mgkg−1) at 5, 25 and 100 m, and in NG, they were raised even in the control samples. Similar to Cr, the natural concentration of Ni in Croatian soils was highest in the coastal region, with a median of 75 mgkg−1. Anomalous concentrations were measured in the Central Dalmatia region (>145 mgkg−1), with the highest concentrations occurring near Obrovac and Knin (Central) and in the Istria region near Raša (North) [36]. In comparison to the high coastal Ni values in Croatia, the median Ni value of Central Croatia was 33 mgkg−1, and for the whole of Europe, it was 18 mgkg−1 [36]. Nevertheless, all measured values for Cr and Ni were below the prescribed German TVs for residential areas at 400 and 140 mgkg−1, respectively (Table S3) [38]. Therefore, the high concentrations of Cr and Ni found in ZD and NG are probably due to paedogenesis processes in the soil and are not of concern for this type of land use in the investigated leptosols and terra rossa.
Significant differences were found between the sites for Pb and Sb. For Pb, Sb, Ni and S, a significant difference was found between distances from the shooting position. The interactions of all studied factors were significant for Pb, Sb, Ni and S (Table 4 and Figure 4). No significant differences were found for Cr. Certainly, long-term measures for sustainable soil management and environment protection should be taken on shooting ranges, especially with regard to Pb and Sb, to minimise the potential risks to the environment, wildlife and human health. To avoid unnecessary mortality of wildlife (due to Pb toxicity), practicable ways of using non-toxic ammunition must be found that are also feasible. Modern ‘Pb-free’ shotgun shells, such as steel and bismuth cartridges, are suitable for all types of wetland hunting and are widely available. An integrated shooting range management program must be applied that includes a variety of appropriate best practices, such as monitoring and adjusting soil pH, bullet traps and retention ponds to collect, remove and recycle Pb and other elements [56].

5. Conclusions

The duration of use and distance from the shooting position had an influence on soil quality. Soil acidification was observed. The lowest decrease of 0.18 pHKCl units in fluvisol at Osijek and the highest decrease of 2.09 pHKCl units in fluvisol at Zagreb in the same soil type but different durations of shooting range use (31 years in Zagreb vs. 12 years in Osijek) was observed between pHKCl in the control soil samples and those at 100 m from the shooting position.
High levels of Cr and Ni were found in Mediterranean soils, leptosols in ZD and terra rossa in NG, which can be attributed to paedogenic causes; however, the values were below the test values (TVs, German legislation) for residential purposes.
In Croatian legislation, prescribed MAC values exist just for agricultural land, and we strongly recommend expanding these to other land uses.
Only Cr showed no significant difference in the total soil concentration regarding the investigated factors, location and distance in the interaction model, while the interactions of all studied factors were significant for pHKCl, Pb, Sb, Ni and S.

Supplementary Materials

The following supporting information can be downloaded at: https://www.mdpi.com/article/10.3390/land14010078/s1, Figure S1: (a) The mean values of soil pHKCl as a function of distance [m] for each studied location, (b) Interactions—model output (ZG—Zagreb; OS—Osijek; ZD—Zadar; NG—Novigrad); Figure S2: (a) Functional dependence of average soil TS [mgkg−1] and pHKCl and (b) average soil TS [mgkg−1] content for studied distances at the four study locations (ZG—Zagreb; OS—Osijek; ZD—Zadar; NG—Novigrad); Table S1: Location of shooting range and data of runway use; Table S2: Soil analytical methods used in the study; Table S3: Investigated elements and associated LODs, MACs for agricultural soil, MNVs for Croatia, INTs for contaminated soil and TVs for soil depending on land use; Table S4: Chemical composition of clay pigeons. References [34,35,36,37,38,57,58,59,60,61,62,63,64,65] are cited in the Supplementary Materials.

Author Contributions

Conceptualisation, Ž.Z., N.Š. and I.K.; methodology, Ž.Z., N.Š., T.S. and I.K.; validation, Ž.Z., N.Š. and I.K.; formal analysis, R.A., D.D. and T.S.; investigation, R.A., I.H. and M.G.; resources, Ž.Z.; data curation, Ž.Z.; writing—original draft preparation, Ž.Z., M.G., D.D. and I.K.; writing—review and editing, Ž.Z., N.Š., T.S. and I.K.; visualisation, Ž.Z., N.Š. and D.D.; supervision, Ž.Z., N.Š. and I.K.; funding acquisition, Ž.Z., N.Š. and I.K. All authors have read and agreed to the published version of the manuscript.

Funding

This research received no external funding.

Data Availability Statement

The raw data will be made available on request from the corresponding author.

Acknowledgments

We would like to thank Giovanni Cernogoraz from Novigrad, Arden Dražević from Zadar, Goran Blažević from Osijek and Davor Garašić from Zagreb for their selfless help in the field work at shooting ranges regarding soil sampling.

Conflicts of Interest

The authors declare no conflict of interest. During the preparation of this work, the authors did not use AI or AI-assisted technologies.

References

  1. Fayiga, A.O.; Saha, U. The effect of bullet removal and vegetation on mobility of Pb in shooting range soils. Chemosphere 2016, 160, 252–257. [Google Scholar] [CrossRef] [PubMed]
  2. Fayiga, A.O.; Saha, U.K. Soil pollution at outdoor shooting ranges: Health effects, bioavailability and best management practices. Environ. Pollut. 2016, 216, 135–145. [Google Scholar] [CrossRef]
  3. Sanderson, P.; Qi, F.; Seshadri, B.; Wijayawardena, A.; Naidu, R. Contamination, Fate and Management of Metals in Shooting Range Soils—A Review. Curr. Pollut. Rep. 2018, 4, 175–187. [Google Scholar] [CrossRef]
  4. Sorvari, J.; Antikainen, R.; Pyy, O. Environmental contamination at Finnish shooting ranges-the scope of the problem and management options. Sci. Total Environ. 2006, 366, 21–31. [Google Scholar] [CrossRef] [PubMed]
  5. Sanderson, P.; Naidu, R.; Bolan, N.; Bowman, M. Critical Review on Chemical Stabilization of Metal Contaminants in Shooting Range Soils. J. Hazard. Toxic Radioact. Waste 2012, 16, 258–272. [Google Scholar] [CrossRef]
  6. Dinake, P.; Kelebemang, R.; Sehube, N.; Kamwi, O.; Laetsang, M. Quantitative assessment of environmental risk from lead pollution of shooting range soils. Chem. Speciat. Bioavailab. 2018, 30, 76–85. [Google Scholar] [CrossRef]
  7. Sehube, N.; Kelebemang, R.; Totolo, O.; Laetsang, M.; Kamwi, O.; Dinake, P. Lead pollution of shooting range soils. S. Afr. J. Chem. 2017, 70, 21–28. [Google Scholar] [CrossRef]
  8. Darling, C.T.R.; Thomas, V.G. The distribution of outdoor shooting ranges in Ontario and the potential for lead pollution of soil and water. Sci. Total Environ. 2003, 313, 235–243. [Google Scholar] [CrossRef]
  9. Hardison, D.W.; Ma, L.Q.; Luongo, T.; Harris, W.G. Lead contamination in shooting range soils from abrasion of lead bullets and subsequent weathering. Sci. Total Environ. 2004, 328, 175–183. [Google Scholar] [CrossRef]
  10. Murray, K.; Bazzi, A.; Carter, C.; Ehlert, A.; Harris, A.; Kopec, M.; Richardson, J.; Sokol, H. Distribution and mobility of lead in soils at an outdoor shooting range. Soil Sediment Contam. 1997, 6, 79–93. [Google Scholar] [CrossRef]
  11. Clausen, J.L.; Bostick, B.; Korte, N. Migration of lead in surface water, pore water, and groundwater with a focus on firing ranges. Crit. Rev. Environ. Sci. Technol. 2011, 41, 1397–1448. [Google Scholar] [CrossRef]
  12. Laporte-Saumure, M.; Martel, R.; Mercier, G. Characterization and metal availability of copper, lead, antimony and zinc contamination at four Canadian small arms firing ranges. Environ. Technol. 2011, 32, 767–781. [Google Scholar] [CrossRef]
  13. Semlali, R.M.; Dessogne, J.B.; Monna, F.; Bolte, J.; Azimi, S.; Navarro, N.; Denaix, L.; Loubet, M.; Chateau, C.; Van Oort, F. Modeling Lead Input and Output in Soils Using Lead Isotopic Geochemistry. Environ. Sci. Technol. 2004, 38, 1513–1521. [Google Scholar] [CrossRef]
  14. Bannon, D.I.; Drexler, J.W.; Fent, G.M.; Casteel, S.W.; Hunter, P.J.; Brattin, W.J.; Major, M.A. Evaluation of small arms range soils for metal contamination and lead bioavailability. Environ. Sci. Technol. 2009, 43, 9071–9076. [Google Scholar] [CrossRef]
  15. Baer, K.N.; Hutton, D.G.; Boeri, R.L.; Ward, T.J.; Stahl, R.G. Toxicity evaluation of trap and skeet shooting targets to aquatic test species. Ecotoxicology 1995, 4, 385–392. [Google Scholar] [CrossRef]
  16. Cao, X.; Ma, L.Q.; Chen, M.; Hardison, D.W.; Harris, W.G. Lead transformation and distribution in the soils of shooting ranges in Florida, USA. Sci. Total Environ. 2003, 307, 179–189. [Google Scholar] [CrossRef]
  17. Okkenhaug, G.; Amstätter, K.; Lassen Bue, H.; Cornelissen, G.; Breedveld, G.D.; Henriksen, T.; Mulder, J. Antimony (Sb) contaminated shooting range soil: Sb mobility and immobilization by soil amendments. Environ. Sci. Technol. 2013, 47, 6431–6439. [Google Scholar] [CrossRef] [PubMed]
  18. McTee, M.R.; Mummey, D.L.; Ramsey, P.W.; Hinman, N.W. Extreme soil acidity from biodegradable trap and skeet targets increases severity of pollution at shooting ranges. Sci. Total Environ. 2016, 539, 546–550. [Google Scholar] [CrossRef]
  19. Bellrose, F.C. Lead Poisoning as a Mortality Factor in Waterfowl Populations. Ill. Nat. Hist. Surv. Bull. 1959, 27, 235–288. [Google Scholar] [CrossRef]
  20. Eisler, R. Lead hazards to fish, wildlife, and invertebrates: A synoptic review. Contaminant Hazard Reviews, Report No. 14, U.S. Fish and Wildlife Service, U.S. Department of the Interior, Patuxent Wildlife Research Center, Laurel, Maryland, USA. Biol. Rep. 1988, 85, 134. [Google Scholar]
  21. Pain, D.J.; Mateo, R.; Green, R.E. Effects of lead from ammunition on birds and other wildlife: A review and update. Ambio 2019, 48, 935–953. [Google Scholar] [CrossRef]
  22. Haig, S.M.; D’Elia, J.; Eagles-Smith, C.; Fair, J.M.; Gervais, J.; Herring, G.; Rivers, J.W.; Schulz, J.H. The persistent problem of lead poisoning in birds from ammunition and fishing tackle. Condor 2014, 116, 408–428. [Google Scholar] [CrossRef]
  23. Migliorini, M.; Pigino, G.; Bianchi, N.; Bernini, F.; Leonzio, C. The effects of heavy metal contamination on the soil arthropod community of a shooting range. Environ. Pollut. 2004, 129, 331–340. [Google Scholar] [CrossRef]
  24. Rodríguez-Seijo, A.; Cachada, A.; Gavina, A.; Duarte, A.C.; Vega, F.A.; Andrade, M.L.; Pereira, R. Lead and PAHs contamination of an old shooting range: A case study with a holistic approach. Sci. Total Environ. 2017, 575, 367–377. [Google Scholar] [CrossRef]
  25. Johnsen, I.V.; Aaneby, J. Accumulation of copper and lead in ruminants grazing on a contaminated shooting range in Nordland County, Norway. Environ. Sci. Pollut. Res. 2024, 31, 11026–11036. [Google Scholar] [CrossRef] [PubMed]
  26. Rooney, C.P.; Mclaren, R.G.; Cresswell, R.J. Distribution and phytoavailability of lead in a soil contaminated with lead shot. Water. Air. Soil Pollut. 1999, 116, 535–548. [Google Scholar] [CrossRef]
  27. EC-ECHA-REACH (Registration, Evaluation, A. and R. of C.). EU Regulation EC No. 1907/2006 (REACH). Off. J. Eur. Union 2006, 1–849. Available online: https://eur-lex.europa.eu/legal-content/EN/TXT/PDF/?uri=CELEX:32006R1907 (accessed on 29 December 2024).
  28. EC-ECHA-REACH Amed. as Regards Lead in Gunshot in or Around Wetlands. EU Regulation EC No. 2021/57 Annex to Regulation No. 1907/2006 (REACH). Off. J. Eur. Union 2021, 1–7. Available online: https://eur-lex.europa.eu/legal-content/EN/TXT/PDF/?uri=CELEX:32021R0057 (accessed on 29 December 2024).
  29. Fisher, I.J.; Pain, D.J.; Thomas, V.G. A review of lead poisoning from ammunition sources in terrestrial birds. Biol. Conserv. 2006, 131, 421–432. [Google Scholar] [CrossRef]
  30. Laidlaw, M.A.S.; Filippelli, G.; Mielke, H.; Gulson, B.; Ball, A.S. Lead exposure at firing ranges—A review. Environ. Health A Glob. Access Sci. Source 2017, 16, 1–15. [Google Scholar] [CrossRef]
  31. Zaninović, K.; Gajić-Čapka, M.; Perčec Tadić, M.; Vučetić, M.; Milković, J.; Bajić, A.; Cindrić, K.; Cvitan, L.; Katušin, Z.; Kaučić, D.; et al. Klimatski Atlas Hrvatske/Climate Atlas of Croatia 1961–1990, 1971–2000; Meteorological and Hydrological Service of Croatia: Zagreb, Croatia, 2008; ISBN 978-953-7526-01-6. [Google Scholar]
  32. ISO 18400; Soil Quality—Sampling. International Standard: Geneva, Switzerland, 2017.
  33. ISO 11464; Soil Quality—Pretreatment of Samples for Physico-Chemical Analysis. International Standard: Geneva, Switzerland, 2006.
  34. ISO 13196; Soil Quality—Screening Soils for Selected Elements by Energy-Dispersive X-Ray Fluorescence Spectrometry Using a Handheld or Portable Instrument. International Standard: Geneva, Switzerland, 2013.
  35. Pravilnik o zaštiti poljoprivrednog zemljišta od onečišćenja, Ministarstvo poljoprivrede RH. Off. Gaz. OG 71 2019, 1507, 1–54. Available online: https://narodne-novine.nn.hr/clanci/sluzbeni/2019_07_71_1507.html (accessed on 29 December 2024). (In Croatian).
  36. Halamić, J.; Miko, S.; Peh, Z.; Galović, L.; Šorša, A. Geochemical Atlas of the Republic of the Republic of Croatia; Croatian Geological Survey: Zagreb, Croatia, 2009; ISBN 978-953-6907-18-2. [Google Scholar]
  37. Netherlands Soil Remediation Circular, Dutch Ministry of Housing, S.P. and E. NSRC 2013, 2013, 1–76. Available online: https://enviroeng.eu/wp-content/uploads/2022/01/LISTA-HOLANDESA-2013.pdf (accessed on 29 December 2024).
  38. Bundes Bodenschutz und Altlastenverordnung, D.B. für J. In BBodSchV; Germany, 1999; p. 33. Available online: https://www.gesetze-im-internet.de/bbodschv_2023/BBodSchV.pdf (accessed on 29 December 2024).
  39. R Core Team R: A Language and Environment for Statistical Computing 2021. Available online: https://www.r-project.org/ (accessed on 29 December 2024).
  40. Lenth, R.V. Emmeans: Estimated Marginal Means, aka Least-Squares Means, R package version 4.3.0; 2023; Available online: https://cran.r-project.org/web/packages/emmeans/ (accessed on 29 December 2024).
  41. WRB-FAO. IUSS Working Group WRB—World Reference Base for Soil Resources 2014 Update 2015. In International Soil Classification System for Naming Soils and Creating Legends for Soil Maps; World Soil Resources Reports No. 106; Food and Agriculture Organization of UN: Rome, Italy, 2015. [Google Scholar]
  42. Croatian Agency for Agriculture and Food, T. Guidelines; CAAF: Balkans, Croatia, 2020; p. 12.
  43. Česynaitė, J.; Sujetovienė, G. Changes in soil properties and heavy metals concentration in soil of military shooting range in central lithuania. Environ. Res. Eng. Manag. 2018, 74, 53–59. [Google Scholar] [CrossRef]
  44. Lee, I.S.; Kim, O.K.; Chang, Y.Y.; Bae, B.; Kim, H.H.; Baek, K.H. Heavy metal concentrations and enzyme activities in soil from a contaminated Korean shooting range. J. Biosci. Bioeng. 2002, 94, 406–411. [Google Scholar] [CrossRef]
  45. Ahmad, M.; Ok, Y.S.; Rajapaksha, A.U.; Lim, J.E.; Kim, B.Y.; Ahn, J.H.; Lee, Y.H.; Al-Wabel, M.I.; Lee, S.E.; Lee, S.S. Lead and copper immobilization in a shooting range soil using soybean stover- and pine needle-derived biochars: Chemical, microbial and spectroscopic assessments. J. Hazard. Mater. 2016, 301, 179–186. [Google Scholar] [CrossRef]
  46. Selonen, S.; Liiri, M.; Strömmer, R.; Setälä, H. The fate of lead at abandoned and active shooting ranges in a boreal pine forest. Environ. Toxicol. Chem. 2012, 31, 2771–2779. [Google Scholar] [CrossRef]
  47. Astrup, T.; Boddum, J.K.; Christensen, T.H. Lead distribution and mobility in a soil embankment used as a bullet stop at a shooting range. Soil Sediment Contam. 1999, 8, 653–665. [Google Scholar] [CrossRef]
  48. Bruell, R.; Nikolaidis, N.P.; Long, R.P. Evaluation of Remedial Alternatives of Lead from Shooting Range Soil. Environ. Eng. Sci. 1999, 16, 403–414. [Google Scholar] [CrossRef]
  49. VanBon, J.; Boersema, J.J. Sources, effects and management of metallic lead pollution: The contribution of hunting, shooting and angling. In Proceedings of the Contaminated soil ’88, Hamburg, Germany, 11–15 April 1988; Wolf, K., Van Den Brink, W.J., Colon, F.J., Eds.; Kluwer Academic Publishers: Dordrecht, The Netherlands, 1988; Volume 1, pp. 269–271. [Google Scholar]
  50. Cao, X.; Ma, L.Q.; Chen, M.; Hardison, D.W.; Harris, W.G. Weathering of Lead Bullets and Their Environmental Effects at Outdoor Shooting Ranges. J. Environ. Qual. 2003, 32, 526–534. [Google Scholar] [CrossRef]
  51. Johnson, C.A.; Moench, H.; Wersin, P.; Kugler, P.; Wenger, C. Solubility of antimony and other elements in samples taken from shooting ranges. J. Environ. Qual. 2005, 34, 248–254. [Google Scholar] [CrossRef]
  52. Islam, M.N.; Nguyen, X.P.; Jung, H.Y.; Park, J.H. Chemical Speciation and Quantitative Evaluation of Heavy Metal Pollution Hazards in Two Army Shooting Range Backstop Soils. Bull. Environ. Contam. Toxicol. 2016, 96, 179–185. [Google Scholar] [CrossRef]
  53. Ma, L.Q.; Hardison, D.W.; Harris, W.G.; Cao, X.; Zhou, Q. Effects of soil property and soil amendment on weathering of abraded metallic Pb in shooting ranges. Water Air Soil Pollut. 2007, 178, 297–307. [Google Scholar] [CrossRef]
  54. Yin, X.; Saha, U.K.; Ma, L.Q. Effectiveness of best management practices in reducing Pb-bullet weathering in a shooting range in Florida. J. Hazard. Mater. 2010, 179, 895–900. [Google Scholar] [CrossRef]
  55. Kicińska, A.; Pomykała, R.; Izquierdo-Diaz, M. Changes in soil pH and mobility of heavy metals in contaminated soils. Eur. J. Soil Sci. 2022, 73, 1–14. [Google Scholar] [CrossRef]
  56. Kajander, S.; Parri, A. Environmental Protection Environmental Protection the Finnish Environment 4. In 2014 Management of the Environmental Impact of Shooting Ranges; The Finnish Ministry of the Environment: Helsinki, Finland, 2014; ISBN 9789521143519. [Google Scholar]
  57. ISO 11277; Soil Quality—Determination of Particle Size Distribution in Mineral Soil Material—Method by Sieving and Sedimentation. International Standard: Geneva, Switzerland, 2004.
  58. Škorić, A. Priručnik za Pedološka Istraživanja; Sveučilište u Zagrebu, Fakultet poljoprivrednih znanosti: Zagreb, Croatia, 1982. (In Croatian) [Google Scholar]
  59. ISO 10390; Soil Quality—Determination of pH. International Standard: Geneva, Switzerland, 2005.
  60. ISO 14235; Soil Quality—Determination of Organic Carbon by Sulfochromic Oxidation. International Standard: Geneva, Switzerland, 2004.
  61. ISO 11265; Soil Quality—Determination of the Specific Electrical Conductivity. International Standard: Geneva, Switzerland, 2004.
  62. ISO 10693; Soil Quality—Determination of Carbonate Content—Volumetric Method. International Standard: Geneva, Switzerland, 2004.
  63. ISO 13878; Soil Quality—Determination of Total Nitrogen Content by Dry Combustion (“Elemental Analysis”). International Standard: Geneva, Switzerland, 2004.
  64. ISO 10694; Soil Quality—Determination of Organic and Total Carbon After Dry Combustion (Elementary Analysis). International Standard: Geneva, Switzerland, 2004.
  65. ISO 15178; Soil Quality—Determination of Total Sulfur by Dry Combustion. International Standard: Geneva, Switzerland, 2005.
Figure 1. Investigated trap and/or skeet Olympic shooting range sites in Croatia (Zagreb, ZG; Osijek, OS; Zadar, ZD; and Novigrad, NG).
Figure 1. Investigated trap and/or skeet Olympic shooting range sites in Croatia (Zagreb, ZG; Osijek, OS; Zadar, ZD; and Novigrad, NG).
Land 14 00078 g001
Figure 2. Soil sampling scheme (lines I and II) and collected soil samples at trap and/or skeet Olympic shooting range sites (Zagreb, ZG; Osijek, OS; Zadar, ZD; and Novigrad, NG) in Croatia. (Green dots represent control samples; red dots represent studied samples; and white lines represent different lines.).
Figure 2. Soil sampling scheme (lines I and II) and collected soil samples at trap and/or skeet Olympic shooting range sites (Zagreb, ZG; Osijek, OS; Zadar, ZD; and Novigrad, NG) in Croatia. (Green dots represent control samples; red dots represent studied samples; and white lines represent different lines.).
Land 14 00078 g002
Figure 3. Investigated soil types on trap and/or skeet Olympic shooting range sites in Croatia: Zagreb, ZG (fluvisols); Osijek, OS (fluvisols); Zadar, ZD (leptosols); and Novigrad, NG (terra rossa).
Figure 3. Investigated soil types on trap and/or skeet Olympic shooting range sites in Croatia: Zagreb, ZG (fluvisols); Osijek, OS (fluvisols); Zadar, ZD (leptosols); and Novigrad, NG (terra rossa).
Land 14 00078 g003
Figure 4. Statistical analysis of interactions of the studied element (Pb, Sb, Cr and Ni) trends (ZG—Zagreb; OS—Osijek; ZD—Zadar; NG—Novigrad).
Figure 4. Statistical analysis of interactions of the studied element (Pb, Sb, Cr and Ni) trends (ZG—Zagreb; OS—Osijek; ZD—Zadar; NG—Novigrad).
Land 14 00078 g004aLand 14 00078 g004b
Table 1. Soil texture class, type and chemical indicators of control samples on trap and/or skeet Olympic shooting range sites (Zagreb, ZG; Osijek, OS; Zadar, ZD; and Novigrad, NG) in Croatia.
Table 1. Soil texture class, type and chemical indicators of control samples on trap and/or skeet Olympic shooting range sites (Zagreb, ZG; Osijek, OS; Zadar, ZD; and Novigrad, NG) in Croatia.
Sampling Location/Soil CharacteristicsZGOSZDNG
Gravel and stones, vol., % >2 mm--210.3
Sand, % 63–2000 µm1835243
Silt, % 2–63 µm74594640
Clay, % <2 µm963057
Texture classsilt loamsilt loamclay loamsilty clay
Soil type [41]fluvisolsfluvisolsleptosolsluvisols (terra rossa)
pHKCl7.17.57.36.3
Electroconductivity (EC), µS cm−115414727089
Hydrolytic activity (HA), cmol+ kg−1---9.9
w(CaCO3), %1.14.021.70.3
Available P (AP), mgkg−19414413241
Available K (AK), mgkg−1186215310256
Total nitrogen (TN), %0.3710.1740.3440.237
Organic matter (OM), %5.23.07.73.4
Total carbon (TC), %4.53.16.43.0
Total inorganic carbon (TIC), %0.140.482.60.04
Total organic carbon (TOC), %4.32.63.83.0
Total sulphur (TS), mgkg−1787527880737
C/N12181913
N/S5343
Table 2. Mean Pb, Ni, Cr and Sb values on trap and/or skeet Olympic shooting range sites of Zagreb, (ZG), Osijek (OS), Zadar (ZD) and Novigrad (NG) in Croatia in dependence on the runway/line (I and II) and distance from shooting position.
Table 2. Mean Pb, Ni, Cr and Sb values on trap and/or skeet Olympic shooting range sites of Zagreb, (ZG), Osijek (OS), Zadar (ZD) and Novigrad (NG) in Croatia in dependence on the runway/line (I and II) and distance from shooting position.
ElementPb [mgkg−1]
Location/Line DistanceZG IZG IIOS IOS IIZD IZD IING ING II
Control2424383886864040
5 m144708819813287173
25 m99535122935572340
50 m15117386471707746398
100 m23332037906259738271383
240 m2120477264725461
ElementNi [mgkg−1]
Location/Line DistanceZG IZG IIOS IOS IIZD IZD IING ING II
Control303036367171117117
5 m54424251225110397
25 m39424161539990100
50 m3132484766768376
100 m343341527011011088
240 m4442425659888582
Cr [mgkg−1]
Location/Line DistanceZG IZG IIOS IOS IIZD IZD IING ING II
Control112112111111270270238238
5 m151135112141113370249231
25 m125134119148329294243238
50 m134128132123308266239243
100 m138137129122307328256244
240 m130131112146167316251237
ElementSb [mgkg−1]
Location/Line DistanceZG IZG IIOS IOS IIZD IZD IING ING II
100 m3427<LOD<LOD<LOD<LOD27<LOD
<LOD (Sb) = 3 mgkg−1; red values ≥ INTs; orange values > MACs; LOD—limit of detection (pXRF Vanta, model Olympus VCR/G2, manufacturer specification, Olympus Europa, Hamburg, Germany) for the used method [34]; MAC—maximal allowable concentrations according to Croatian Ordinance on the Protection of Agricultural Land from Pollution [35]; INTs—intervention values for contaminated soil according to Netherlands Soil Remediation Circular [37].
Table 3. Calculated mean contamination factors (CFs) for Pb and Sb at ZG (Zagreb) and NG (Novigrad) Olympic shooting range sites in dependence on the runway/line (I and II) and distance from shooting position.
Table 3. Calculated mean contamination factors (CFs) for Pb and Sb at ZG (Zagreb) and NG (Novigrad) Olympic shooting range sites in dependence on the runway/line (I and II) and distance from shooting position.
CFPbSb
Location/Line DistanceZG IZG IING ING IIZG IZG IING ING II
5 m6324----
25 m4229----
50 m671.210----
100 m978521351196-
240 m0.90.81.31.5----
According to [6], CFs > 6 is very high contamination level, 3 < CFs < 6 is considerable contamination level, 1 ≤ CF < 3 is moderate contamination level, and CF < 1 is low contamination.
Table 4. Summary of statistical analysis (interactions) for the investigated elements at different locations, distances and usages of lines.
Table 4. Summary of statistical analysis (interactions) for the investigated elements at different locations, distances and usages of lines.
ElementPbSbNiCrS
Location0.01690.02940.11940.77170.2915
Distance1.74 × 10−199.50 × 10−120.03350.17282.21 × 10−14
Interaction4.22 × 10−202.75 × 10−141.83 × 10−80.19953.83 × 10−11
Location
(p < 0.05)
ZG-OS
ZG-ZD
ZG-OS
ZG-ZD
Interaction
(p < 0.05)
NG-OS
NG-ZD
NG-ZG
OS-ZG
ZD-ZG
ZG-OS
ZG-ZD
ZG-NG
ZD-ZG
ZD-NG
ZD-OS
ZD-ZG
OS-ZG
NG-ZD
NG-OS
NG-ZG
Red values are statistically significant (p < 0.05). ZG—Zagreb; OS—Osijek; ZD—Zadar; NG—Novigrad.
Disclaimer/Publisher’s Note: The statements, opinions and data contained in all publications are solely those of the individual author(s) and contributor(s) and not of MDPI and/or the editor(s). MDPI and/or the editor(s) disclaim responsibility for any injury to people or property resulting from any ideas, methods, instructions or products referred to in the content.

Share and Cite

MDPI and ACS Style

Zgorelec, Ž.; Šprem, N.; Abramović, R.; Galić, M.; Hrelja, I.; Delač, D.; Safner, T.; Kisić, I. Temporal and Spatial Changes in Soil Quality at Shooting Ranges: A Case Study in Croatia. Land 2025, 14, 78. https://doi.org/10.3390/land14010078

AMA Style

Zgorelec Ž, Šprem N, Abramović R, Galić M, Hrelja I, Delač D, Safner T, Kisić I. Temporal and Spatial Changes in Soil Quality at Shooting Ranges: A Case Study in Croatia. Land. 2025; 14(1):78. https://doi.org/10.3390/land14010078

Chicago/Turabian Style

Zgorelec, Željka, Nikica Šprem, Radovan Abramović, Marija Galić, Iva Hrelja, Domina Delač, Toni Safner, and Ivica Kisić. 2025. "Temporal and Spatial Changes in Soil Quality at Shooting Ranges: A Case Study in Croatia" Land 14, no. 1: 78. https://doi.org/10.3390/land14010078

APA Style

Zgorelec, Ž., Šprem, N., Abramović, R., Galić, M., Hrelja, I., Delač, D., Safner, T., & Kisić, I. (2025). Temporal and Spatial Changes in Soil Quality at Shooting Ranges: A Case Study in Croatia. Land, 14(1), 78. https://doi.org/10.3390/land14010078

Note that from the first issue of 2016, this journal uses article numbers instead of page numbers. See further details here.

Article Metrics

Back to TopTop