Spatio-Temporal Evolution and Drivers of High-Quality Utilization of Urban Land in Chinese Cities
Abstract
1. Introduction
2. Indicator Construction and Research Methods
2.1. Indicator Construction and Variable Selection
2.2. Research Methods
2.2.1. Entropy Method
2.2.2. Kernel Density Estimation
2.2.3. Geodetector
2.3. Data Sources
3. Spatio-Temporal Patterns and Dynamic Evolution of the High-Quality Utilization of Urban Land Level in China
3.1. Spatio-Temporal Patterns of High-Quality Urban Land Utilization in China
3.2. Dynamic Evolution of the High-Quality Utilization of Urban Land Level in China
4. Drivers of High-Quality Utilization of Urban Land Level in China
4.1. Endogenous Drivers of High-Quality Utilization of Urban Land Level
4.2. Exogenous Drivers of High-Quality Utilization of Urban Land Level
5. Discussion, Implications, and Limitations
5.1. Discussion
5.2. Implications
5.3. Limitations
6. Conclusions
- (1)
- Further measurements based on HUUL levels showed that between 2006 and 2020, the HUUL levels in the country and its four regions experienced yearly increases. Throughout the measurement period, the HUUL levels in each region and the entire country exhibited the following: eastern region > central region > overall region > western region > northeast region.
- (2)
- The kernel density map illustrated an upward trend in HUUL levels across the overall country and four regions from 2006 to 2020, indicating a progression toward higher levels. From the evolutionary trend of the four regions, it is evident that, except for the western region, the level span of the main peak position of the HUUL level among the cities in the other three regions showed a tendency to expand to varying degrees. Most cities have “high and high aggregation” and “low and low aggregation” HUUL levels. The HUUL levels of individual cities exhibited higher values than others in the eastern and western regions. However, this distributional extension trend was not observed in the central and northeast regions.
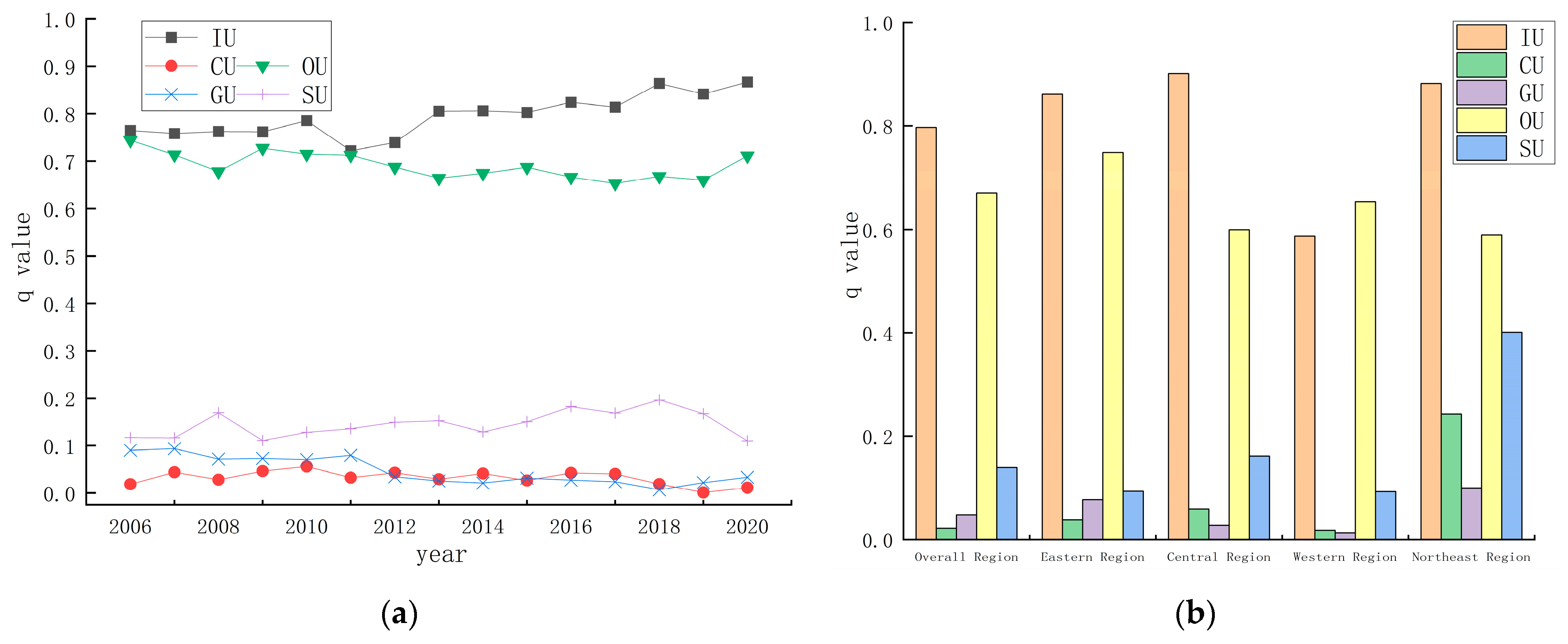
- (3)
- The factor detector results revealed that in terms of endogenous factors, innovative utilization and open utilization had notably stronger effects than other endogenous factors in explaining the HUUL in the overall region and four regions. These were the endogenous dominant factors in the spatio-temporal evolution of HUUL levels. Regarding exogenous factors, the primary driving force for the HUUL level as a whole and the four regions was the level of economic development. Government support and energy consumption levels closely followed, while urban development and population agglomeration levels were at the bottom. The explanatory power of all drivers, except for the level of economic development, decreased to varying degrees over the sample period. With changes in all drivers, only innovative utilization and economic development levels exhibited a consistent upward trend.
Author Contributions
Funding
Data Availability Statement
Acknowledgments
Conflicts of Interest
References
- Wang, Y.M. Changes unseen in a century, high-quality development, and the construction of a new development pattern. J. Manag. World 2020, 36, 1–13. [Google Scholar]
- Ge, X.J.; Liu, X.X. Urban Land Use Efficiency under Resource-Based Economic Transformation-A Case Study of Shanxi Province. Land 2021, 10, 850. [Google Scholar] [CrossRef]
- Tian, G.; Duan, J.; Yang, L. Spatio-temporal pattern and driving mechanisms of cropland circulation in China. Land Use Policy 2021, 100, 105118. [Google Scholar] [CrossRef]
- Song, Y.; He, C.; Yeung, G.; Xu, Y. Industrial structure upgrading and urban land use efficiency: Evidence from 115 resource-based cities in China, 2000–2019. Geogr. Res. 2023, 42, 86–105. [Google Scholar]
- Yang, Q.; Duan, X.; Wang, L.; Wang, Y. Mechanism of interaction between urban land expansion and ecological environment effects in the Yangtze River Delta. Prog. Geogr. 2021, 40, 220–231. [Google Scholar] [CrossRef]
- Wang, A.P.; Lin, W.F.; Liu, B.; Wang, H.; Xu, H. Does Smart City Construction Improve the Green Utilization Efficiency of Urban Land? Land 2021, 10, 657. [Google Scholar] [CrossRef]
- Bei, J. Study on the “high-quality development” economics. China Political Econ. 2018, 1, 163–180. [Google Scholar] [CrossRef]
- Fang, Y.; Zhu, R. Strategic Thinking on Promoting High-quality Development in Upper Reaches of the Yangtze River Economic Belt. Bull. Chin. Acad. Sci. 2020, 35, 988–999. [Google Scholar]
- Ge, K.; Zou, S.; Chen, D.; Lu, X.; Ke, S. Research on the spatial differences and convergence mechanism of urban land use efficiency under the background of regional integration: A case study of the Yangtze River economic zone, China. Land 2021, 10, 1100. [Google Scholar] [CrossRef]
- Hu, D.; Cheng, P.; Song, Y. Recognition of Economized and Intensive Land Use in the Supply Side Structural Reform. China Land Sci. 2017, 31, 47–54. [Google Scholar]
- Jiao, S.; Wang, P.; Chen, J. Sustainable Utilization of land Resources in the Ethnic Areas of Inter-Provincial Boundary of Yunnan, Guizhou and Guangxi: From the Perspectives of Regional Evaluation and Spatial Division. Econ. Geogr. 2019, 39, 172–181. [Google Scholar]
- Qu, F.; Ma, X.; Guo, G. Institutional logic and major contribution of centennial land policy to political order, economic development and national governance. J. Manag. World 2021, 37, 1–15. [Google Scholar]
- Wei, Y.; Gan, Z.; Cheng, J.; Zhang, H. Study on Eco-friendly Land Use. China Land Sci. 2021, 35, 27–34. [Google Scholar]
- Xiong, Y.; Chen, Y.; Li, J.; Yan, X. Analog simulation of urban construction land supply and demand based on land intensive use. Acta Geogr. Sin. 2018, 73, 562–577. [Google Scholar]
- Yan, J.M.; Guo, D.L.; Xia, F.Z. The historical logic, theoretical logic and practical logic of the change of the land system of the Communist Party of China in the past 100 years. J. Manag. World 2021, 37, 19–31. [Google Scholar]
- Chen, D.; Lu, X.; Zhang, C.; Hu, W.; Li, Y. Path selection of improving urban land green use efficiency driven by collaborative innovation from the perspective of configuration. China Popul. Resour. Environ. 2022, 32, 103–111. [Google Scholar]
- Lu, X.; Chen, D.; Kuang, B. Indicator system design and regional difference of urban land use efficiency under the background of regional integration:a case of urban agglomeration in the middle reaches of the Yangtze River. China Popul. Resour. Environ. 2018, 28, 102–110. [Google Scholar]
- Zhang, J.; Qi, Y.; Zhu, D.; Li, Y.; Song, Y. Does the Transformation of Counties into Districts Promote Urban Land Use Efficiency?: Based on an Empirical Study of 261 Cities in China. China Land Sci. 2022, 36, 59–68. [Google Scholar]
- Zhang, R.; Wen, L.; Wang, N.; Mou, S. Impact of scientific and technological innovation on green use efficiency of urban land: A case study of 48 districts and counties in the Wuhan Metropolitan Area. Resour. Sci. 2023, 45, 264–280. [Google Scholar] [CrossRef]
- Zhang, Y.; Chen, J.; Gao, J.; Jiang, W. The impact mechanism of urban land use efficiency in the Yangtze River Delta from the perspective of economic transition. J. Nat. Resour. 2019, 34, 1157–1170. [Google Scholar] [CrossRef]
- Ding, X.; Wu, Q.; Liu, X.; Tan, L.; Wang, J. Coupling and coordination degree of land use, high-quality economic development, and carbon emissions and influencing factors in China: An empirical study of 282 prefecture-level cities. Resour. Sci. 2022, 44, 2233–2246. [Google Scholar] [CrossRef]
- Wu, Z.; Wang, Y. Improvement of land use efficiency in the Yellow River Basin from the perspective of high-quality development. Contemp. Econ. Manag. 2022, 44, 68–75. [Google Scholar]
- Mao, W.; Lu, J. Land resource mismatch, urban sprawl and local government debt—Empirical evidence based on new-caliber urban investment debt data. Economist 2020, 2020, 80–88. [Google Scholar]
- Wang, J.; Liu, J.; Song, Z.; Huang, L.; Fang, Y.; Li, Z. Strategies of ecosystem protection and territory spatial utilization for high-quality development in the Yellow River Basin. J. Nat. Resour. 2022, 37, 2930–2945. [Google Scholar] [CrossRef]
- Li, B.; Wang, Z.; Xu, F. Exploring the effects of market-oriented reforms on industrial land use eco-efficiency in China: Evidence from a spatial and non-linear analysis. Environ. Impact Assess. Rev. 2023, 102, 107211. [Google Scholar] [CrossRef]
- Wang, D.; Pang, X. Research on green land-use efficiency of Beijing-Tianjin-Hebei urban agglomeration. China Popul. Resour. Environ. 2019, 29, 68–76. [Google Scholar]
- Zhong, Z.; Lu, Y.; Liu, Z. Did the implementation of urban agglomeration development planning policy narrow economic gap between non-central cities and central cities? Evidence from 283 cities in China. Geogr. Res. 2023, 42, 1050–1069. [Google Scholar]
- Zhou, L.; Zhou, C.; Yang, F.; Che, L.; Wang, B.; Sun, D. Spatio-temporal evolution and the influencing factors of PM 2.5 in China between 2000 and 2015. J. Geogr. Sci. 2019, 29, 253–270. [Google Scholar] [CrossRef]
- Zhang, M.; Tan, S.; Zhang, Y.; He, J.; Ni, Q. Does land transfer promote the development of new-type urbanization? New evidence from urban agglomerations in the middle reaches of the Yangtze River. Ecol. Indic. 2022, 136, 108705. [Google Scholar] [CrossRef]
- Fan, P.F.; Feng, S.Y.; Su, M.; Xu, M.J. Differential characteristics and driving factors of land use efficiency in different functional cities based on undesirable outputs. Resour. Sci. 2018, 5, 946–957. [Google Scholar]
- Xue, L.Y.; Shi, T.C.; Yan, C.L. Measurement and comparison of high-quality development of world economy. Economist 2020, 5, 69–78. [Google Scholar]
- Zhao, H.J.; Yu, F.W. Evaluation of agricultural green development level in main grain producing areas based on entropy method. Reform 2019, 11, 136–146. [Google Scholar]
- Chen, Y.; Ma, J.; Miao, C.; Ruan, X. Occurrence and environmental impact of industrial agglomeration on regional soil heavy metalloid accumulation: A case study of the Zhengzhou Economic and Technological Development Zone (ZETZ), China. J. Clean. Prod. 2020, 245, 118676. [Google Scholar] [CrossRef]
- Hu, B.; Li, J.; Kuang, B. Evolution characteristics and influencing factors of urban land use efficiency difference under the concept of green development. Econ. Geogr. 2018, 38, 183–189. [Google Scholar]
- Liang, H.Y. Distribution dynamics, difference decomposition and convergence mechanism of producer services industry in Chinese urban clusters. J. Quant. Tech. Econ. 2018, 35, 40–60. [Google Scholar]
- Quah, D. Galton’s fallacy and tests of the convergence hypothesis. Scand. J. Econ. 1993, 95, 427–443. [Google Scholar] [CrossRef]
- Silverman, B.W. Density Estimation for Statistics and Data Analysis; Routledge: New York, NY, USA, 2018. [Google Scholar]
- Chen, M.H.; Yue, H.J.; Hao, Y.F.; Liu, W.F. The spatial disparity, dynamic evolution and driving factors of ecological efficiency in the Yellow River Basin. J. Quant. Tech. Econ. 2021, 38, 25–44. [Google Scholar]
- Ji, Z.H.; Zhang, P. Spatial difference and driving mechanism of urban land use efficiency under the environmental constraints: Based on 285 cities in China. China Land Sci. 2020, 34, 72–79. [Google Scholar]
- Jiang, L.; Chen, X.; Zhu, H. The spatial heterogeneity distribution of Chinese urban nursing homes and socio-economic driving factors. Acta Ggraphica Sin. 2021, 76, 1951–1964. [Google Scholar]
- Wang, J.F.; Li, X.H.; Christakos, G.; Liao, Y.L.; Zhang, T.; Gu, X.; Zheng, X.Y. Geographical detectors-based health risk assessment and its application in the neural tube defects study of the Heshun Region, China. Int. J. Geogr. Inf. Sci. 2010, 24, 107–127. [Google Scholar] [CrossRef]
- Wang, J.F.; Xu, C.D. Geodetector: Principle and prospective. Acta Geogr. Sin. 2017, 72, 116–134. [Google Scholar]
- Yin, X.; Li, Y.; Yuan, T.; Wang, J. Quantitative measurement of economic development and land use intensity and their correlation characteristics in 109 sampled towns of Jiangsu province. J. Nat. Resour. 2020, 35, 614–625. [Google Scholar]
- Wan, J.J.; Chen, X. Spatial pattern and spillover effect of urban land intensive use efficiency in China from the perspective of land development rights. Econ. Geogr. 2018, 38, 160–167. [Google Scholar]
- Lu, X.H.; Tao, X.Q. Local Government Environmental Attention and Urban Land Green Use Efficiency in China: The Intermediary Role of Industrial Restructuring. Land 2024, 13, 21. [Google Scholar] [CrossRef]
- Bian, Z.Q.; Zhong, S.C. Impact of Carbon Emission Trading Pilot Policy on Urban Land Green Use Efficiency. China Land Sci. 2023, 37, 52–62. [Google Scholar]





| Guideline Layer | Index Layer | Index Meaning | Weight |
|---|---|---|---|
| Innovation utilization | Innovation input | Education expenditure per square kilometer | 0.1023 |
| R&D internal expenditure per square kilometer | 0.1299 | ||
| Innovation output | Patent authorization per square kilometer | 0.1354 | |
| Innovation environment | Number of college students per 10,000 people | 0.0586 | |
| Coordinated utilization | Industry coordination | Rationalization of industrial structure | 0.0005 |
| Upgrading of industrial structure | 0.0044 | ||
| Employment coordination | The number of registered urban unemployed per ten thousand people at the end of the year | 0.0214 | |
| Green utilization | Green life | Per capita green area | 0.0565 |
| Green coverage rate of built-up area | 0.0036 | ||
| Green governance | Industrial wastewater discharge per square kilometer | 0.0004 | |
| Industrial waste gas emissions per square kilometer | 0.0009 | ||
| Harmless treatment rate of domestic waste | 0.0080 | ||
| Open utilization | Open network | Number of Internet users per ten thousand people | 0.0230 |
| Market opening | The import and export volume of goods per square kilometer | 0.2141 | |
| Open financing | The actual amount of foreign capital used per square kilometer in the year | 0.0733 | |
| Shared utilization | Medical sharing | Number of beds in hospitals and health centers per ten thousand people | 0.0395 |
| Transport sharing | Road area per capita | 0.0272 | |
| Cultural sharing | Public library collections per ten thousand people | 0.1007 |
| Area | IU | CU | GU | OU | SU |
|---|---|---|---|---|---|
| Overall Region | 0.79 *** | 0.02 *** | 0.04 *** | 0.67 *** | 0.13 *** |
| Eastern Region | 0.86 *** | 0.03 *** | 0.07 *** | 0.74 *** | 0.09 *** |
| Central Region | 0.90 *** | 0.05 *** | 0.02 *** | 0.59 *** | 0.16 *** |
| Western Region | 0.58 *** | 0.01 ** | 0.01 | 0.65 *** | 0.09 *** |
| Northeast Region | 0.88 *** | 0.24 *** | 0.09 *** | 0.58 *** | 0.40 *** |
| Area | UDC | PA | GDP | GS | EC |
|---|---|---|---|---|---|
| Overall region | 0.12 *** | 0.11 *** | 0.30 *** | 0.22 *** | 0.17 *** |
| Eastern region | 0.27 *** | 0.16 *** | 0.44 *** | 0.25 *** | 0.34 *** |
| Central region | 0.43 *** | 0.35 *** | 0.58 *** | 0.48 *** | 0.37 *** |
| Western region | 0.20 *** | 0.24 *** | 0.39 *** | 0.29 *** | 0.18 *** |
| Northeast region | 0.31 *** | 0.27 *** | 0.54 *** | 0.45 *** | 0.32 *** |
Disclaimer/Publisher’s Note: The statements, opinions and data contained in all publications are solely those of the individual author(s) and contributor(s) and not of MDPI and/or the editor(s). MDPI and/or the editor(s) disclaim responsibility for any injury to people or property resulting from any ideas, methods, instructions or products referred to in the content. |
© 2024 by the authors. Licensee MDPI, Basel, Switzerland. This article is an open access article distributed under the terms and conditions of the Creative Commons Attribution (CC BY) license (https://creativecommons.org/licenses/by/4.0/).
Share and Cite
Liu, J.; Huang, X. Spatio-Temporal Evolution and Drivers of High-Quality Utilization of Urban Land in Chinese Cities. Land 2024, 13, 1077. https://doi.org/10.3390/land13071077
Liu J, Huang X. Spatio-Temporal Evolution and Drivers of High-Quality Utilization of Urban Land in Chinese Cities. Land. 2024; 13(7):1077. https://doi.org/10.3390/land13071077
Chicago/Turabian StyleLiu, Jinhua, and Xiaozhou Huang. 2024. "Spatio-Temporal Evolution and Drivers of High-Quality Utilization of Urban Land in Chinese Cities" Land 13, no. 7: 1077. https://doi.org/10.3390/land13071077
APA StyleLiu, J., & Huang, X. (2024). Spatio-Temporal Evolution and Drivers of High-Quality Utilization of Urban Land in Chinese Cities. Land, 13(7), 1077. https://doi.org/10.3390/land13071077

