Abstract
Encouraging the use of conservation tillage technology is a highly effective approach to safeguarding soil health, improving the environment, and promoting sustainable agricultural development. With the mounting concerns surrounding climate change, developing conservation tillage methods that facilitate sustainable agricultural growth has become an imperative both in China and around the world. While it is widely recognized that adapting to climate change is crucial in agriculture, there is limited research on evaluating the risks, discovering resilience, measuring farmers’ perceptions on climate change, and exploring how tillage technology can be adjusted in the context of small-scale farming in China to foster sustainable development. Using research data from smallholder farmers in the Shaanxi and Shanxi provinces of China, this paper aims to explore the impact of climate change perceptions on farmers’ adoption of conservation tillage technologies based on an ordered Probit model. We found that farmers tend to refrain from embracing conservation tillage technology due to the presence of unclear and conflicting perceptions regarding climate change. Focus on short-term profitability and inadequate preparation hinder them from prioritizing adaptation. We recognized several measures that could help farmers adapt and thrive within the agricultural sector. Furthermore, we have validated the need for self-system moderation in promoting farmers’ adoption of conservation tillage technology. By utilizing such tools and resources, farmers can comprehend the gravity of climate change’s impact on agricultural productivity and, more importantly, channel their efforts towards fortifying resilience to extreme weather conditions and long-term climate risks, thus fortifying agricultural sustainability.
1. Introduction
Climate change exacerbates the effects of natural disasters on agriculture, especially in areas with limited adaptive capabilities [1,2,3]. Smallholder farmers constitute the majority of farmers in China and globally, occupying 85% of all farmland worldwide [4]. It is well documented that meteorological hazards and natural disasters can result in food insecurity [5]. The use of innovative technology in agricultural production was instrumental in increasing productivity and addressing global food security issues during the period of the “Green Revolution”. However, this success has come at a cost, including increased pollution and a decline in quality owing to poor soil fertility and excessive use of chemicals [6,7]. With the increased demand for green transformation, green production technologies have become an important solution to achieve it. Among the three main measures to address climate change (prevention, mitigation, and adaptation), adaptation can be considered the most important [8,9]. Conservation tillage technology plays a vital role in improving adaptive capacity and coping with extreme hazards [10,11]. Furthermore, conservation tillage is a green production technology that is sustainable and matches the resource and environmental carrying capacity of agricultural production, thus supporting ecological development and balancing agricultural markets [12,13,14]. Through promoting environmentally friendly soil tillage patterns, conservation tillage can play a central role in securing the global food supply [15,16].
Research on farmers’ responses to climate change and their adoption of sustainable practices has become a priority in agricultural technology, with a strong focus on socioeconomic and institutional factors [17,18]. Perceptions of climate change play a crucial role in predicting the success of adaptation efforts since they greatly influence people’s adaptive behaviors [19,20]. The extent of technological requirements for smallholder farmers depends on their knowledge and understanding of green production technology [21,22]. Recently, a growing body of literature has focused on the effect of climate change perceptions on farmers’ innovative adaptation behaviors. Existing analyses generally suggest that farmers’ perceptions of climate change significantly contribute to their technology adoption behavior, which can be explained primarily in terms of “risk” [23]. It is essential to improve farmers’ perception and awareness of climate change to promote the adoption of sustainable practices.
Compared with conventional technologies, green production technologies, such as conservation tillage, tend to be ambiguous1 and unfamiliar to farmers [24]. Farmers typically adopt conventional technologies based on historical experience and existing knowledge, but they might feel uncertain about new technology and have difficulty determining its potential benefits. This uncertainty can cause risk-averse farmers to prefer to stick with what they know instead of taking a chance on something new [22,25]. Studying the low agricultural technology adoption rates among farmers in less-developed countries, Ross et al. (2010) [10] attributed the reluctance to adopt new technology to ambiguity aversion, even when there is a relatively high expectation of profitability. Thomas et al. (2022) [26] identified the following three necessary conditions for successful adaptation to climate change: awareness of its existence, recognition of the threat it poses, and the ability to make decisions that might be irreversible. Additionally, green farming technologies have been shown to have both significant novelty and hidden effects, as demonstrated by Feder et al. (1985) [27] and Birthal et al. (2015) [28]. In an incomplete information environment, ambiguous decision making becomes a common phenomenon in farmers’ agricultural production decisions [29]. Based on the ambiguous-aversion perspective, exploring the effect of farmers’ climate change perceptions on decision-making behavior under uncertainty has become a focus of green agricultural transformation and sustainable development [30].
Current studies of farmers’ perceptions of climate change mainly focus on climate knowledge, impact, and risk assessment, but they lack comprehensiveness and rationality [22,31]. Furthermore, there is a lack of research on green agricultural production technology in the context of climate change. While China has made significant progress in studying extension behavior with regard to traditional agricultural technologies, such as water-saving irrigation [25] and hybrid rice [32,33], there is a lack of research on the application of technologies related to agricultural environmental protection and sustainable development. It is worth noting that, in developed countries, farmers’ adaptive behaviors are largely supported by institutional frameworks. While farmers in developing countries might be overlooked by government programs intended to upgrade the agricultural sector [34], they are still able to adapt to climate change by implementing sustainable agricultural practices. This adaptive process can have a ripple effect throughout the system, with local changes driving improvements at the far end of the system [20]. When examining the influence of uncertainty aversion on new technology adoption, it is important to differentiate between risk and ambiguity. Nevertheless, the results of previous studies have been inconsistent, with many concentrating solely on the degree of uncertainty affecting technology adoption by smallholder farmers while disregarding its hierarchical position in the climate change adaptation framework. At the same time, the mystery of the low adoption of agricultural innovation has received some attention [10], but there is unfortunately no literature yet that proposes specific interventions to mitigate it.
This study investigates the factors affecting the adoption of sustainable agricultural practices by farmers in the context of climate change in northern China. The main contributions of this research include the following: (1) the development of a novel climate change perception matrix that captures both the risks and challenges of climate change; (2) the development of a theoretical framework of climate change perceptions in adaptation behavior under uncertainty avoidance and the empirical validation of the role of climate change perceptions in hindering farmers’ ambiguous decision-making behaviors; (3) the use of a moderating effect model that explores the potential of competitiveness to overcome obstacles to technology adoption and to promote the uptake of conservation tillage practices among farmers. Farmers’ decision-making behaviors are influenced by a variety of factors, of which cognitive factors, including individual perceptions of benefits, costs, risks, etc., are the direct factors [22] of the behavior. If farmers perceive themselves to be competitive in coping with the risks posed by the behavior, the mystery of low adoption will be alleviated.
The rest of this paper is organized as follows. Section 2 presents the theoretical analysis and research hypothesis. Section 3 describes the research method, including sample selection, the measurement of risk perception, variable description, and the econometric model. Section 4 presents the results, and Section 5 discusses the findings, limitations, and future research directions. Finally, Section 6 presents recommendations for policy implementation.
2. Theoretical Analysis and Hypothesis
We divide the behavioral process of farmers’ risk-ambiguous decision making when faced with external uncertainty into the following three stages: climate change perception formation, behavioral decision making under uncertainty, and experiential learning [35,36].
When evaluating external uncertainties, farmers make subjective judgments about the likelihood (objective probability) and value (objective earnings) of certain outcomes, which ultimately leads to the formation of individual and unique risk attitudes. As farmers consider the combined effects of risk and their ability to adapt to external conditions, they formulate perceptions of climate change. Once these perceptions are established, farmers make decisions about how to respond to external uncertainties based on their beliefs about the risks involved (see the uncertain decision-making behavior in Figure 1). It is worth noting that every behavior is an accumulation of individual experiences. After decisions are made, farmers evaluate their outcomes and decide whether to acquire relevant knowledge based on their own experiences and those of their community members. Through this process of experiential learning, farmers can adjust their perceptions of risk and adapt their behaviors accordingly (see Figure 1). It is important to recognize that each individual has a unique cognitive state and innate preferences when making decisions about external uncertainties.
Figure 1.
Diagram of the agricultural uncertainty decision framework.
Farmers who can observe or perceive climate change phenomena are often better equipped to anticipate the risks associated with it and are more willing to take action to increase their resilience. The findings of Debnath and Roy (2013) [36] and Elahi et al. (2022) [37] support this claim. Farmers who have a clear understanding of how climate change affects agricultural production are more likely to adopt sustainability adaptive measures to mitigate risk [38,39]. Similarly, Ahmed et al. (2022) [40] found that farmers who perceived agricultural yield loss in the polder areas of Bangladesh were significantly more likely to adopt sustainable practices to mitigate the effects of climate change. Overall, it appears that farmers who are aware of climate change risks and the potential effects on their livelihoods are more likely to take proactive steps to adapt and increase their resilience to these external uncertainties.
The adoption of conservation tillage technology is influenced by a range of factors, including natural conditions, technical constraints, and market conditions. It is uncertain, however, whether this technology will yield positive outcomes. Such uncertainties translate into decision-making behavior that involves both risky decision making with known probabilities mixed with ambiguity decision making with unknown probabilities [13,41]. In this context, risk aversion and ambiguity aversion both play a role in shaping individuals’ perceptions and decision-making behaviors, although their specific manifestations can differ. For example, Barham et al. (2014) [41] found that farmers exhibited varying degrees of risk and ambiguity aversion when faced with different sustainable agricultural technologies. Those with high ambiguity aversion tended to maintain the status quo rather than adopt. Similarly, in the context of developing countries such as India and Laos, Ross (2010) [10] found that risk aversion reduced the likelihood of farmers switching from safe foods to other food types, while ambiguity aversion reduced their likelihood of diversifying among these food types. Moreover, farmers in less-developed countries or regions—who are often poorly educated and have limited comprehension skills—face challenges in accessing technical information to help them make irreversible decisions related to agricultural production. As a result, the adoption of green production technology might hinder farmers’ ability to accurately assess the benefits of the technology, and they might delay or abandon sustainable adaptive behavior when faced with irreversible investments.
Considering the existence of ambiguity, the greater a farmer’s perception of climate change, the lower the uncertainty compensation received by adopting conservation tillage technology, and the less likely the farmer is to adopt the technology. Thus, we propose the following research hypothesis:
Hypothesis 1.
The higher the degree of farmers’ climate change perceptions, the more they tend to maintain the status quo and reduce their adoption of conservation tillage technology.
The impact of catastrophic weather on crop production is critical. Under the influence of ambiguity, farmers tend to maintain the status quo and reduce the adoption of conservation tillage technologies. What can we do to mitigate this phenomenon? Among the factors influencing farmers’ decision-making behaviors, cognitive factors are often considered proximate [22]. Cognitive abilities are related to learning and reasoning, including an individual’s perception of the benefits, costs, risks, etc., of a behavior. This is also true for farmers. In any case, farmers’ productive behavior is for livelihood. In layman’s terms, to gain profit. Therefore, while climate change perceptions inhibit farmers’ willingness to adopt technologies, the inhibitory effect of climate change perceptions on conservation tillage technology adoption will likely be mitigated if farmers perceive themselves to be competitive, e.g., if they are more literate, have a strong resource base, or a high level of technological awareness, they are more likely to cope with the risks posed by their own behavior. This paper therefore proposes Hypothesis 2:
Hypothesis 2.
Competitiveness can mitigate the inhibitory effect of climate change perceptions on conservation tillage technology adoption; that is, competitiveness plays a moderating role in it.
3. Methodology
3.1. Study Area and Sampling
The study’s data are collected through field research conducted among smallholder farmers in the Shaanxi and Shanxi provinces of China from July to August 2021 using a multi-stage stratified sampling method [42]. A total of 684 data points were obtained. Focusing on small farmers, we randomly selected four districts and counties, Heyang and Yongshou counties in Shaanxi Province and Yaodu and Pinglu counties in Shanxi Province, as the sample areas; secondly, five towns were selected in a stratified sample of each town2 based on differentiated levels of economic development and geographic location; lastly, farmers were randomly selected from a list of local villagers, according to the principle of equidistant sampling, with villages with less than 50 households, 51–100 households, and more than 100 households being selected with the principle of 2, 4, and 10 sample distances, respectively. The distribution of the sample is shown in Table 1.
Table 1.
Sample distribution.
In China, the northern regions mainly belong to semi-arid and semi-humid areas with low precipitation, which are dry farming areas. The northern dry farming area includes Northeast and North China, which are located in the North China Plain and the Loess Plateau, respectively. These regions have been significant farming areas since ancient times. The Chinese government has been focusing on conservation farming since 2002, with the Loess Plateau area being mentioned in various governmental documents. For instance, the National Land Plan (2016–2030) has identified the Loess Plateau as an area that needs to be protected for soil and water conservation. It proposes a comprehensive land improvement plan for relevant lands, including Shaanxi and Shanxi provinces, to improve their arable land quality. Both Shanxi Province and north–central Shaanxi Province have low precipitation levels and dry weather. These two provinces are located on the Loess Plateau, which has loose soils, making the over-exploitation of arable land a possible cause of soil erosion and the decline in soil fertility. This has a negative impact on the sustainable development of the agriculture. Therefore, this study specifically focuses on the Loess Plateau region, with Shaanxi and Shanxi provinces being used as the sample areas. The selection of these provinces is based on the degree of development of conservation tillage technology.
As per the “13th Five-Year Plan for Modern Agriculture Development (2016–2020)” in Shaanxi Province, a total of 13,333.33 square kilometers (20 million mu3) of mechanical subsoiling and deep plowing and 100,000 square kilometers (150 million mu) of straw returning were implemented. Additionally, a conservation tillage demonstration area of 4800 square kilometers (7.2 million mu) was established. In 2022, Shaanxi Province introduced the “Arable Land Protection Incentive Plan” and “Tillage Protection Incentive Interim Measures” to promote conservation tillage. Shanxi Province initiated the “Mechanized Conservation Tillage Technology and Key Machinery Pilot Test and Demonstration” project in 2001, forming a complete mechanized conservation tillage technology system and no-till seeding machinery that could be broadly promoted. By 2020, 46 counties in Shanxi Province had been listed as national conservation tillage technology demonstration and promotion project counties, while 47 counties were listed as national conservation tillage capital construction project counties. The promotion area of conservation tillage technology reached 18 million mu in 109 agricultural counties, cities, and districts, accounting for roughly 40% of the total grain planting area4.
3.2. The Measurement of Farmers’ Risk Preferences
Referring to Holt and Laury (2005) [43], Yu et al. (2023) [44] designed an experiment to measure the degree of risk preference of farm households. Before the experiment, the farmers were informed of the following information: there are three black balls and three red balls in a transparent box, and the rewards for taking out different colored balls are different, as shown in Table 2. Then, the farmers were asked to choose between the two options (only farmers who chose Plan 2 could participate in the formal game, as it is a cognitive test). Without any suspense, whether choosing a black ball or a red ball, the rewards obtained from Plan 2 are higher than Plan 1. Therefore, only farmers choosing Plan 2 were rational. The purpose of this experiment was to improve the accuracy of the experimental data.
Table 2.
Test games.
The formal experiment involved 10 sets of games with varying rewards, as shown in Table 3. Among the rewards, there was a low-risk plan (Plan 3) and a high-risk plan (Plan 4) that farmers needed to choose between. The experiment set the following two prerequisites: Firstly, the farmer was aware of the presence of the three red and three black balls in the box. Secondly, the farmer only had knowledge of the total number of balls in the box, but not their colors. These two premises were leveraged to calculate the risk preference index with definite probabilities (Equation (1)) and ambiguous probabilities (Equation (2)).
where and indicate the risk level under definite probability and the risk level under ambiguous probability, respectively; is the total number of experiments; is the number of times that who chose reward Plan 4 did so with definite probability, while is the number of times that who chose reward Plan 4 did so with ambiguous probability. The risk preference level has a value range of [0, 1], where 1 indicates that the farmer is extremely risk averse and 0 indicates that the farmer extremely prefers risks.
Table 3.
Experimental protocol.
3.3. Study Area and Sampling
3.3.1. Explained Variable
The explained variable is the adoption of conservation tillage technology by farmers. This variable is ordered and categorical, with a value of 1 for the non-adoption of any conservation tillage technology, a value of 2 for the adoption of straw-returning technology only, and a value of 3 for the adoption of a combination of straw-returning, no-tillage, or subsoiling technology. Adopting the straw-returning technology alone helps to improve crop resistance to natural disasters compared to the non-adoption of any conservation tillage techniques. However, adopting a combination of straw-returning, no-tillage, or subsoiling technology is more effective in increasing crop resilience to natural disasters [13]. Therefore, from the perspective of resistance to natural disasters, the three tillage practices can be ranked in order of increasing effectiveness: non-adoption of conservation tillage techniques, adoption of straw-returning technology only, and adoption of straw-returning in combination with no-tillage or subsoiling technology.
3.3.2. Core Explanatory Variable
We focus on farmers’ perceptions of climate change as the main explanatory variable. A climate change perception matrix was used to gauge farmers’ perceptions of climate change. By examining natural climatic conditions in the sample provinces and experimental design scenarios, we hypothesized that farmers are susceptible to four climatic hazards during wheat cultivation, including drought, heavy rainfall and flooding, low temperature and cloudy rain, and high wind and hail, and used a five-point Likert scale (Appendix A) to construct relative perception scales. Perceptual factors usually consist of perceived risk and perceived adaptive capacity [45]; in our case, drawing from previous studies, we measured farmers’ perceptions towards climate change by asking them to rate the frequency and difficulty of the control of the four climatic hazards [46]. This allowed us to assess the farmers’ level of perception towards the four risks. We summed each farmer’s ratings of frequency [47] and difficulty of control [39] of the four risks to acquire a matrix of farmers’ perceptions of climate change for each risk (see Figure 2). Climate change perception coefficients of 2–5 indicated low levels of climate change perception, while those of 6–10 represented high levels [46,48]. Finally, we averaged the four climate risk perception coefficients to measure farmers’ overall climate change perceptions.
Figure 2.
Climate change perception matrix.
3.3.3. Moderating Variables
Dessart et al. (2019) [22] identified the following three factors that influence farmers’ decision-making behavior: personality, social factors, and cognitive factors. They consider cognitive factors to be proximal and related to learning and reasoning. Cognitive factors include farmers’ perceptions of the relative benefits, costs, and risks associated with a particular sustainable practice, or whether they believe they have sufficient skills to adopt the practice. Here, we argue that farmers’ combined competencies are competitive and examined the moderating role of competitiveness in the following ways:
- Personal literacy. The literature agrees that education has a significant influence in the relationship with farmers’ perceptions. Better-educated farmers are more aware of climate change and better understand the need for adaptation [49]. Therefore, we used the years of education of the respondents to measure farmers’ personal literacy.
- Resource base. Adger et al. (2003) [50] state that the adaptation process includes the resource base on which individuals depend. Farmers’ perceptions are often influenced by access to weather information [49], and differences in access to information can lead to differences in perceptions and understanding [51]. Therefore, we measured farmers’ resource base using their proactivity in following information about weather changes on TV, mobile phones, etc. (not concerned was assigned a value of 1; sometimes concerned was assigned a value of 2; average concern was assigned a value of 3; often concerned was assigned a value of 4; very concerned was assigned a value of 5).
- Technology awareness. The technological requirements of small farmers are determined by their understanding of green production technologies [21]. Farmers with higher technological awareness show a strong inclination towards proactive learning, with greater interest and willingness to learn about sustainable practices [52]. However, low levels of technology awareness and weak risk tolerance hinder the adoption of green production technologies by small farmers. We know that small farmers are the main driving force in China’s grain production. Understanding the level of technology awareness of small farmers and identifying the factors that hinder their development is crucial for accelerating the transition to green agricultural production. Before adopting sustainable practices, farmers must first recognize these practices, understand their related costs and benefits, and acquire technical knowledge [22]. This study aims to quantify farmers’ technological awareness in four key areas, ultimately forming an overall index measured through the entropy method (see Appendix B).
- Security. A number of studies have shown that financial factors are direct contributors to the deviation of smallholder farmers’ behavior from their intentions [53]. Therefore, we introduce farmers’ security as a moderating variable to discuss the heterogeneity in the adoption of sustainable agricultural technologies due to financial factors. Specifically, we used the total amount of cash and savings (Yuan) of all household members currently in the household to measure farmers’ sense of security.
3.3.4. Control Variables
Farmers’ sustainable agricultural production behaviors and risk management capacities are influenced by a number of factors, including internal and external factors. Specifically, internal factors include age, education level, household size, farmers’ perception levels, and risk perception [14,19,54], while external factors mainly refer to the provision of government support, public services, and environmental support to meet farmers’ agricultural production needs [46]. The external factors include government support, public services, environmental support [31,35], etc. We include the relevant variables as control variables, divided into the following five dimensions: the individual level, household level, and agroecological level, government support, and technology adoption environment.
At the individual level, we considered the following three variables: the age and education level of the household head, and whether the household is a village leader. At the household level, we included the number of laborers in the household and the per capita income of the household. In terms of the agroecological level, we selected the cultivation size variable, as many studies agree that more farmers adopt no-till techniques under continuous farming conditions [36,55]. Regarding government support, we primarily considered whether technical information services for disaster prevention are available in the village. Finally, we measured the environment for conservation tillage technology adoption in two ways. Firstly, we considered the difficulty of hiring conservation tillage machinery and provided a scale of 1–5 based on farmer perceptions. Secondly, we measured farmers’ satisfaction with the operation of conservation tillage machinery, also providing a scale of 1–5 based on their subjective evaluation.
3.3.5. Descriptive Statistics
Table 4 shows the results of the descriptive statistics. The average age of the interviewed farmers was 58 years. Among them, the average number of years of education was only 7.2 years, and most of them had not completed junior secondary education. It can be seen that the overall education level of the farmers in the sample area is low.
Table 4.
Variable definition and descriptive statistics.
3.4. Model Setting
We assigned to the farmers’ choice of conservation tillage technology. In this study, the adoption of no conservation tillage technology, only straw-returning technology, and a combination of straw-returning + no-tillage or subsoiling technology are assigned a value from low to high according to the effectiveness of conservation tillage technology in counteracting natural disaster risk. As the dependent variable is an ordered categorical variable, an ordered Probit model was used for the empirical estimation.
is the latent variable; , , and are the coefficients to be estimated; is the residual term, which follows a normal distribution and has variance of . is the climate change perception and denotes the vector of the control variables.
4. Results
This study used data analysis software such as Stata15.0, Excel, and Origin 9.1 for the data analysis and data visualization.
4.1. Demand for Conservation Tillage Technology for Smallholders
The survey results show that smallholder farmers are more willing to adopt conservation tillage technology (95.5%). Specifically, 27.3% of farmers adopted the straw-returning technology, while 68.1% have adopted the combination of straw-returning + no-tillage or subsoiling technology (Figure 3).
Figure 3.
Current status of smallholders’ conservation tillage technology demand.
4.2. Farmers’ Climate Change Perceptions
The existing literature suggests that farmers appear to have a fairly accurate perception of climate change, which likely stems from the importance of weather in their daily lives.
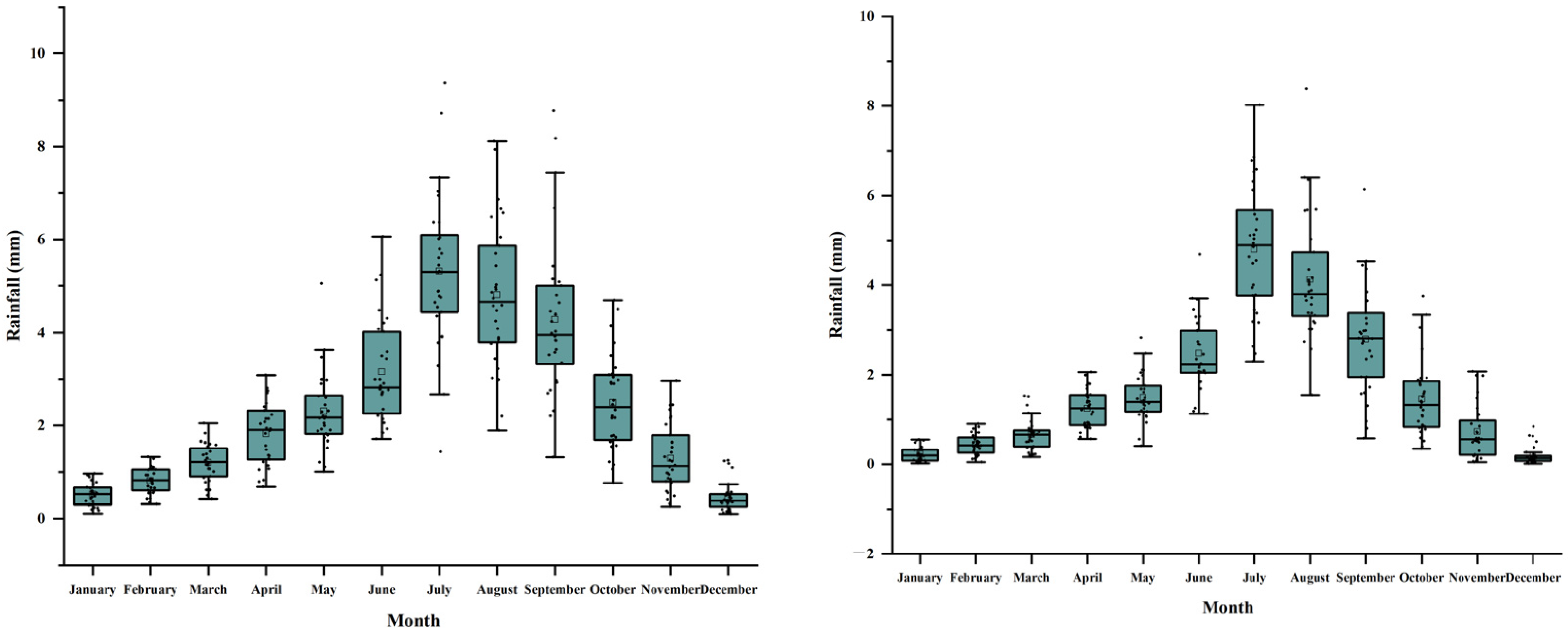
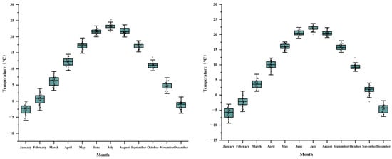
To better understand the level of farmers’ climate change perceptions in the study area, we collected 30 years of historical weather data (temperature and rainfall) and analyzed these data to examine trends and patterns. The observed historical data show trends and patterns that are consistent with the perceived climate change perceptions of farmers in the study area (see Figure 4 and Figure 5). Specifically, with the onset of the monsoon5, temperatures are much warmer and precipitation spikes in both regions, creating a risk to agricultural production. The temperature box plot shows a relatively normal seasonal pattern with occasional anomalous values. However, the precipitation map shows that anomalous events have been occurring with increasing frequency with the onset of the monsoon.
Figure 4.
Shaanxi Province (left) and Shanxi Province (right) historical temperature patterns (1991 to 2020). Source: author’s calculation using data.
Figure 5.
Shaanxi Province (left) and Shanxi Province (right) historical rainfall patterns (1991 to 2020). Source: author’s calculation using data.
4.3. Does the Ambiguity Aversion of Farmers Exist?
Referring to Table 5, the definite probability risk preference coefficient pertaining to farmers is significantly positive, while the ambiguity probability risk preference coefficient is not significant. Moreover, the farmers’ definite probability risk preference absolute value is found to be greater than that of the ambiguity probability risk preference. This alludes to the tangible presence of “ambiguity aversion” among farmers. In contrast to deterministic probability risk preference, ambiguity probability risk preference encapsulates farmers’ perspectives regarding uncertainties’ probability [13]. Hypothesis 1 is supported by this realistic insight, which implies that farmers’ ambiguity surrounds their probability of embracing conservation tillage technology to minimize benefit losses. Farmers remain unsure of such technology’s benefits. Thus, they remain resistant to its adoption, preferring the status quo. The subsequent section will utilize a Probit model to analyze farmers’ inclinations towards adopting conservation tillage technology.
Table 5.
An existential test of farmers’ perceptions of ambiguity.
4.4. Probit Model Analysis of the Willingness to Adopt Conservation Tillage Technology
Table 6 presents findings on the impact of farmers’ perceptions of climate change on their adoption of conservation tillage technology. The regression results in columns (1)–(4) consistently show the effect of control variables at the individual and household, agroecological, and government support levels. Particularly, in column (4), we found that the variable climate change perception was significant at a 1% level of significance, with a negative coefficient. The marginal effects reveal that a 0.1 increase in climate change perception leads to a 0.48% increase in the probability of farmers not adopting any conservation tillage technology. Meanwhile, the probability of adopting only straw-returning technology increases by 0.12%, and the probability of using a combination of straw-returning + no-tillage or subsoiling technology decreases by 0.17%.
Table 6.
The impact of climate change perceptions on farmers’ adoption of conservation tillage technology.
Thus, our hypothesis is supported by the research. The adoption of conservation tillage technology, especially combinatorial technology, poses a high risk due to its novelty [27]. Farmers who adopt innovative technology tend to have higher expectations of returns, resulting in slow adoption rates in developing countries due to farmers’ ambiguity aversion [10]. To accelerate the adoption of innovations, interventions to reduce uncertainty are more effective than risk-reducing interventions, as demonstrated by empirical research [20]. However, smallholder farmers in developing countries, with their low levels of education and understanding, find it difficult to access information about new technology from extension agents, field trials, and dealers, leading to ambiguity and uncertainty in their adoption decisions [24]. Moreover, traditional technologies that offer quick results are preferred by farmers who prioritize short-term profitability and survival, making adaptation a less-preferred option. Therefore, explicit and implicit effects of conservation tillage technology must be taken into account, and interventions to reduce uncertainty should be implemented to accelerate the adoption by smallholder farmers in developing countries.
Among the control variables, age is a significant factor, with a negative coefficient, indicating that, as the household head becomes older, they are less likely to adopt straw-returning technology, particularly the combination of straw-returning + no-tillage or subsoiling technology. This seems reasonable, as older farmers may be more attached to traditional farming practices and less open to new, green production technologies, such as conservation tillage. This is supported by Cao et al. (2008) [54] and Jha and Gupta (2021) [17], who found that older farmers invest less in conservation farming in the long term. On the other hand, if the household head is a village leader, there is a greater tendency to adopt straw-returning technology, especially the combination of straw-returning + no-tillage or subsoiling technology. This is because village leaders tend to be more open-minded and receptive to new technologies. The coefficient of labor is significant and negative, which is expected, since conservation tillage technology is a labor-saving technology that relies mainly on mechanized operations. Therefore, farmers will tend to use conservation tillage technologies to reduce labor when their family workforce is small. This is consistent with the finding of Guo et al. (2022) [55] that labor is a major factor in farmers’ willingness to adopt sustainable agricultural technologies. In China, the characteristic of “half worker, half farmer” is evident. Against the backdrop of increasing urban migration and off-farm employment, rational economic behavior is reinforced, which may lead farmers to further adopt sustainable agricultural technologies [56,57]. Both the variables of hiring and effectiveness are significant and positive, which is consistent with the fact that the availability of new technology is a prerequisite for farmers to adopt it. In China, small-scale farmers typically adopt conservation tillage technology through specialized farm machinery services. Farmers will only adopt conservation tillage technology with confidence when it is better served and when they are satisfied with the results, as shown by Guo et al. (2022) [55].
4.5. Robustness Tests
Numerous studies concurred on the fact that farmers who grow different crops exhibit varying behaviors in adapting to climate change [58]. To further assess the validity of the aforementioned empirical analysis, the baseline regression results were subjected to several robustness tests, such as replacing wheat-planting technology with maize-planting technology, adjusting the core explanatory variable by setting the climate change perception variable as a 0–1 variable, tailing all continuous variables, and changing the sample by eliminating household heads over the age of 60 [44]. As illustrated in Table 7, all robustness tests confirm the adverse impact of climate change perceptions on the adoption of conservation tillage technology. Therefore, the hypothesis is substantiated, and the model remains resilient.
Table 7.
Robustness testing of the impact of climate change perceptions on conservation tillage technology adoption.
4.6. Analysis of the Moderating Effect of Farmers’ Self-Systems
In Section 4.4, we demonstrated the hindering impact of climate change perceptions on farmers’ adoption of sustainable agricultural technologies. This can be attributed to farmers’ ambiguous aversion traits, lack of preparedness, and unawareness of the technology’s benefits. So, what steps can we take to mitigate this disincentive? Studies indicate that enhancing farmers’ understanding of climate change through adaptation initiatives can boost their receptiveness [59], thereby promoting adaptive behavior. In this context, we put forth the competitiveness variable to characterize farmers’ self-systems for green agricultural production technology adoption. Competitiveness can be nurtured if farmers develop resilient self-systems [60]. Specifically, we examine the moderating influence of farmers’ competitiveness on the impact of climate change perceptions on the adoption of sustainable agricultural technologies, considering their personal literacy, resource base, technology awareness, and sense of security. This will aid government departments in devising policies to surmount hurdles to effective adaptation.
Based on the results of columns (1) and (2) in Table 8, the negative effect of climate change perceptions on conservation tillage technology adoption is no longer significant when farmers’ years of education are greater than the mean. It indicates that education has a positive effect on perceptions. This is in line with the findings of Roco et al. (2015) [49] and Tiet et al. (2022) [61] that more educated farmers are more literate and are more able to adopt green production technology in agriculture. The level of education of farmers is always assumed to be a factor in increasing the adoption of new agricultural practices [62], as farmers with more education are more enthusiastic about how to access information on improved tillage technology and have a better understanding, acceptability, and thus greater willingness to adopt conservation tillage technology. As argued by Jha and Gupta (2021) [17], farmers’ education level has a significant relationship with knowledge-intensive agricultural adaptative strategies.
Table 8.
The moderating effect of farmers’ self-systems.
From the regression results in columns (3) and (4), the negative effect of climate change perceptions on conservation tillage technology adoption is no longer significant when farmers have a better resource base. Chalak et al. (2017) [15] and Ahmed et al. (2021) [31] also supported these findings. We can also give an explanation in terms of social networks. If farmers are able to actively follow information about weather changes on TV, mobile phones, etc., it means that they are more likely to engage in social networks [49].
In terms of technology awareness, according to the regression results in columns (5) and (6), when farmers’ technology awareness is greater than the mean (when farmers are more technologically aware), the coefficient of climate change perception is negative but not significant. When farmers’ technology awareness is less than the mean (farmers are less technologically aware), the climate change perception is significantly negative, indicating that smallholder farmers’ technology awareness can weaken the inhibitory effect of climate change perceptions on conservation tillage technology.
Focusing on the variable of security, the regression results in columns (7) and (8) show that, when security is below average, the coefficient of the climate change perception is −0.9 and is significant at the 5% level of significance. When security is above average, the coefficient of the climate change perception is −0.4, which is also significant at the 5% level of significance. Overall, the disincentive effect of climate change perceptions on the adoption of conservation farming technology is reduced. It can be seen that, the more financial resources available to the household, the more inclined it is to adopt conservation tillage technology. This is because financial security can provide farmers with a sense of security by helping them to meet some of their consumption, noted needs [17,53,63]. For the areas of concern in this study, farmers are the most marginalized. Helping them to meet some of their consumption and expenditure needs is a way to weaken the marginalization effect, and increasing income becomes no choice. Because smallholder farmers are less qualified overall, they are more interested in green agricultural production technology that can satisfy their families’ livelihoods and which are easy to control [64,65]. Furthermore, farmers are more concerned with short-term returns than with long-term returns. Therefore, a sense of security can go some way to alleviating the farmers’ worrying emotions.
It can be seen that, with regard to climate change, adaptative strategies should consider the overall competitiveness of farmers and self-systems to mitigate the intensity of the adverse effects of climate change.
4.7. Endogenous Problem
There is a possibility of encountering endogeneity problems in this study, which can lead to misestimating the coefficients and marginal effects of climate change perception. The endogeneity problem arises from two primary sources. Firstly, two-way causality arises between individual behavior, which is essentially the accumulation of individual experiences. After making the decision, farmers decide whether to learn based on their individual experiences and group experiences, and then change their perceptions accordingly. Here, it can be noted that there may exist a bidirectional causal relationship between climate change perceptions and farmers’ adoption behaviors of conservation tillage technology. Although the focus of this study is on the impact of climate change perceptions on farmers’ adoption of conservation tillage technology, these adoption behaviors, in turn, affect farmers’ climate change perceptions. Secondly, even though we included multiple control variables to manage the situation, there might still be a problem with omitted variables. The lack of control and management of factors that affect both climate change perceptions and the adoption of conservation tillage technology results in self-selection bias.
We use a conditional mixed process (CMP) to address the estimation bias due to endogeneity issues [66]. First, we need to find a reasonable instrumental variable for the endogenous explanatory variables. Specifically, “My village officials encourage me to pay attention to weather changes and prevent weather hazards” is used as an instrumental variable for farmers’ climate change perceptions, and re-estimates the model through the CMP method. This variable is selected as an instrumental variable for two reasons. Firstly, if the village leader encourages farmers to pay attention to weather changes, then farmers’ perceptions of climate change can be enhanced to some extent, which will impact the adoption behavior. Secondly, it is difficult to translate the encouragement of village leaders alone into farmers’ own autonomy to pay attention to climate change information.
In the first stage (Table 9), the variable of IV is negative and the F-value is greater than 10, which means the weak instrumental variable problem is ruled out; in the second stage, climate change perceptions are negative, and the absolute value of the marginal effect is greater than the corresponding result in the baseline regression, indicating that the endogenous nature of climate change perceptions leads to its influence on farmers’ conservation tillage technology adoption. This suggests that the endogeneity of climate change perceptions may lead to an underestimation of its impact on farmers’ adoption behavior. In conclusion, the estimation results based on the CMP method suggest that climate change perceptions will hinder farmers’ technology adoption behavior.
Table 9.
Endogeneity test.
5. Discussion
In developing countries, climate change and natural disasters pose significant problems for poverty eradication, food crises, and public health issues [67]. Improving farmers’ adoption of adaptive climate change technology is an important issue in agricultural research. The China Blue Book on Climate Change (2022) highlights China’s vulnerability to climate change. China is among the major drought-prone countries where most dry farming areas still rely on traditional farming methods. In recent years, climate change has exacerbated soil structure damage, reduced soil water and fertility content, and led to dust storms, soil erosion, droughts, severe wind erosion, and sandstorms, all of which pose serious challenges to land use. As such, it is vitally important to explore sustainable tillage technology systems that are suitable for China’s national conditions. This study incorporates ambiguity aversion into climate change adaptation theory and constructs a theoretical framework of climate change perception → uncertainty aversion → adaptive behavior. We measured climate change perception variables in terms of climate change risk and prevention difficulty, and validated the hindrance effect of current climate change perceptions on farmers’ ambiguous decision-making behavior. We also examined the feasibility of farmers’ self-systematic mitigation of the low-technology adoption puzzle in the following four dimensions: farmers’ personal literacy, the possession of resources, technology awareness, and a sense of security.
5.1. Hindering Effects of Climate Change Perceptions on Sustainable Agricultural Technologies Adoption
The dominant belief in the literature is that climate change, coupled with low self-risk coping capacity, affects the perceptions of risk [61,68]. Our study, however, reaches a different conclusion. Prior research has shown that farmers have been able to adapt to weather extremes on their own over time [69]. Nevertheless, the adoption of conservation tillage technology involves an ongoing investment in agricultural technology. Sustainable practices are negatively associated with economic goals but are positively associated with conservation goals and lifestyle [70]. Hence, farmers’ responses are mainly motivated by “fruits within reach” [60], as the adoption of conservation tillage is a continuous behavior aimed at economic gain. Resistance to change or inherent inertia among farmers might also explain the low adoption rate of sustainable practices [22]. There is a widespread status quo bias among farmers [71], leading to a systematic tendency to maintain the status quo. In terms of “time discounting”, agricultural practices often require immediate costs, such as investment in conservation tillage machinery, while the benefits take longer to manifest. Additionally, the benefits of conservation farming are more uncertain than those of conventional farming [72]. Overall, we attribute the low technology adoption rates of smallholder farmers to their ambiguity aversion traits, their lack of preparedness, and the invisible effects of sustainable agricultural technologies itself.
5.2. Factors That Can Help Farmers Achieve Adaptation
Referring to the control variables, we observe that farmers’ age will hinder their adoption of conservation tillage technology. There is widespread agreement in the literature that young people have higher environmental awareness, which suggests that the voluntary adoption of conservation tillage technology should target young people to be more cost-effective [17]. Therefore, governments and organizations should fully account for group differences [61]. For example, governments should fully consider the age of the targeted beneficiaries when allocating subsidies.
The coefficient of labor is significant and negative, which is expected, since conservation tillage technology is a labor-saving technology that relies on mechanized operations. Consequently, farmers tend to use technologies to reduce labor input, especially smaller households with less available labor. This finding aligns with Guo et al. (2022) [55], who found that labor availability is a root cause of farmers’ technology adoption behavior. In China, the “half worker, half farmer” characteristic is prevalent, and urban migration and off-farm employment are on the rise. Rational economic behavior reinforces the adoption of conservation tillage technology among farmers [56,57]. Since China had largely alleviated poverty by 2020, rural areas might be experiencing increased brain drain owing to the nonfarm income effect, which drives large labor migration between urban and rural areas [73]. Therefore, future efforts should focus on promoting agricultural technology adoption in rural households to address labor availability and help boost economic well-being.
The difficulty of acquiring conservation tillage machinery and the operational effectiveness of conservation tillage machinery is both significant and positive. This is consistent with the view that the availability of new technology is a prerequisite for farmers to adopt it. The use of conservation tillage technology by small-scale farmers is mainly achieved through specialized farm machinery services. Our findings indicate that, for farmers with two crops a year, if they cannot hire a deep loosener at the time of operation, they will abandon the adoption of deep loosening technology. Therefore, farmers can only adopt sustainable agricultural technologies with confidence when it is better served and when they are satisfied with the results [55].
5.3. Improving Farmers’ Self-Systems Helps Mitigate the Disincentivizing Effect of Climate Change Perception on Sustainable Agricultural Technologies Adoption
We verify an inhibiting effect of climate change perception on farmers’ sustainable agricultural technology adoption behavior. This is attributed to farmers’ ambiguous aversion traits, farmers’ lack of preparedness, and the invisible effects of green agricultural production technology itself. How, then, can we mitigate this disincentivizing effect? Competitiveness is introduced to characterize farmers’ self-systems for adopting green agricultural production technology. Competitiveness can be developed if farmers themselves are able to develop resilient self-systems [60].
To promote the adoption of green agricultural production technology among farmers, various factors need to be considered. First, improving farmers’ literacy levels can help them to better understand the benefits of adopting green agricultural production technology. Farmers with higher levels of education are more likely to seek information about new technologies and have a long-term awareness of their development [20,28]. This can be achieved through various awareness programs or training tailored to their specific needs. Second, farmers need to have access to networks that can provide them with relevant information about climate data and overall farm management practices [60]. With the increasing availability of Internet connectivity, promoting information sharing and networking between farmers can be an effective strategy [49]. This will not only provide them with the knowledge they need to succeed but also help accelerate the transfer of information among different groups of farmers. Third, smallholder technology awareness plays a vital role in promoting the adoption of sustainable practices. Awareness includes knowledge of the technology itself as well as the costs and benefits that can be derived from it [22]. Encouraging active learning and increasing farmers’ willingness to learn about green agricultural production technology can be facilitated through farmer field schools, extension educators, and peer-learning platforms [52,63]. Lastly, it is essential to provide farmers with adequate funding security to meet their consumption and expenditure needs. The disincentivizing effect of climate change perceptions on green agricultural production technology adoption can be reduced by improving overall household security [17]. Abid et al. (2016) [1] suggested that farmers’ adoption of climate change mitigation measures is closely related to their income. It is crucial, then, to provide farmers in climate-sensitive areas with more livelihood opportunities that complement their adaptive behaviors and help support their sense of security.
In conclusion, promoting green agricultural production technology adoption among farmers requires a multifaceted approach that can address their specific needs. By focusing on enhancing literacy levels, expanding access to networks, increasing smallholder technology awareness, and improving farmers’ overall sense of security, we can establish a self-system that promotes the adoption of sustainable practices.
5.4. Limitations
We assessed the willingness of Chinese smallholder farmers to adopt a green production technology, conservation tillage, using rich farmer survey data within two provinces in northern China. However, the current study has some limitations. First of all, we know that conservation tillage technology has both economic and ecological attributes. The former involves farmers’ private interests, while the latter is a public good that requires collective negotiation and joint adoption in order to realize its ecological effects. Unfortunately, our study does not consider the impact of collective action on farmers’ technology adoption behavior based on the ecological effects of conservation tillage technologies.
Second, in the context of climate change, farmers’ adaptation strategies are gradually diversifying, and they tend to adopt more than one strategy for their livelihoods. This phenomenon is known as livelihood resilience [31]. However, our study focused only on conservation tillage technology and did not include related other technologies in the model for a unified analysis.
Third, climatic factors include various aspects such as an increase/decrease in temperature and precipitation levels, regional monsoon variations, and the incidence of localized climatic extremes (e.g., floods, droughts, cyclones, and frosts). However, our study only focused on the frequency of droughts, heavy rainfall and flooding, and low temperature and cloudy rain with high wind and hail. In the future, there is a need to construct a more complete climate change perception matrix.
Finally, Climate change includes not only changes in mean values but also changes in variability. Unfortunately, due to the limited availability of data at this stage, we have not yet included variability as part of the study. In the next step of the study, we will take the changes in climate variability into account in order to obtain more valuable conclusions.
6. Conclusions
As a psychological factor, the perception of climate change is complex. This study assessed how farmers’ climate change perceptions influence their conservation tillage technology adoption decision making based on a microlevel assessment of survey data collected in four districts and counties in the Shaanxi and Shanxi Provinces in northern China. We confirm that climate change perceptions hinder the adoption of conservation tillage technology, thus providing new empirical evidence regarding the slow adoption of innovative technology in rural China. We also identified the potential benefits of enhancing individual competitiveness, alleviating ambiguity aversion, and promoting conservation tillage technology adoption based on the following four aspects: farmers’ individual literacy, resource base, technology awareness, and sense of security. Our results provide useful insights into the importance of farmers’ climate change perceptions.
According to baseline regressions, the situational memory of practices might be used to drive farmers’ adaptation [74]. Of course, timely information about local climate change hazards could also be recorded and made available to local farmers through visualization and simplification. This could play a direct role in helping farmers improve their climate change perceptions. The existing literature generally agrees that the adoption of sustainable practices is negatively associated with economic goals and positively associated with lifestyle and conservation goals [70]. Therefore, governments should guide farmers in the direction of the conservation goals of sustainable agricultural production technologies in a profitable manner. Of course, there is also a need to provide the necessary skills to avoid complex agricultural policy schemes.
Our findings point to a number of actions that could help farmers achieve adaptation. First, the adoption of sustainable agricultural technology should target younger people, which will be more cost-effective. For governments and organizations, policy implementation should take full account of group differences. In the case of conservation tillage subsidies, for example, the age of the target beneficiary needs to be fully considered. Second, conservation tillage technology saves labor, and policy formulation should pay attention to the household demographics of smallholder farmers. At the same time, improved technical services for sustainable agricultural technologies are necessary. Given that small-scale farmers mainly realize the use of conservation tillage technology through specialized farm machinery services, the government should provide farmers with improved farm machinery rental services during the busy season to enhance the effectiveness of conservation tillage operations.
Regarding the regulation effect, we should help farmers build up their own systems in various ways. If farmers themselves can build resilient self-systems, they can become competitive [59]. It is important, for example, to increase the investment in education in underdeveloped rural areas, thereby increasing their knowledge of green agricultural production technologies. We should also provide farmers with extensive information and broaden their access to information to help them adapt to climate change using appropriate agricultural technologies and practices. Moreover, we should increase publicity on the value of conservation tillage for reducing costs, improving efficiency, and protecting the environment, while also raising farmers’ awareness of technology. We should strengthen the agricultural infrastructure to reduce the cost of production for smallholder farmers and increase their adoption rate of production technology. Finally, we should provide more livelihood opportunities for farmers in climate-sensitive areas to increase their income and alleviate their concerns about investing in technology.
Author Contributions
Conceptualization, L.Y. (Leshan Yu) and H.S.; methodology, L.Y. (Leshan Yu), X.H. and W.C.; software, L.Y. (Leshan Yu) and L.Y. (Leshui Yu); validation, L.Y. (Leshan Yu) and X.H.; formal analysis, L.Y. (Leshan Yu) and H.S.; investigation, H.S.; writing—original draft preparation, L.Y. (Leshan Yu); writing—review and editing, H.S., H.W. and Y.G.; visualization, L.Y. (Leshui Yu); supervision, H.S.; project administration, H.S.; funding acquisition, H.S., H.W. and Y.G. All authors have read and agreed to the published version of the manuscript.
Funding
This research was funded by “National Natural Science Foundation of China General Program, grant number 71973087”, the “National Natural Science Foundation of China Youth Fund Project, grant number 72003215”, the “Soft Science Project of Science and Technology Department of Shaanxi Province, grant number 2022KRM131”, “The Special Fund project of Basic Scientific Research Operation funds of Central Universities, grant number 20SZYB21”, the ”National Natural Science Foundation of China Youth Fund Project, grant number, 72203135”, “The Ministry of education of Humanities and Social Science project, grant number, 20YJC790114”; the “Youth Fund of the National Natural Science Foundation of China, grant number 72203135”, and the “Shaanxi Social Science Foundation Research Project, grant number, 2023D023”.
Data Availability Statement
The data presented in this study are available on request from the corresponding author due to the amount of data used in this study originated from the field research of the group, it is not convenient to disclose it directly to the public.
Acknowledgments
We would like to express our heartfelt gratitude to all those who have supported and encouraged us throughout the writing of this paper. First and foremost, we am indebted to our supervisor, Shi, whose meticulous guidance and invaluable feedback have been instrumental in shaping this research. His unwavering commitment to excellence and his unwavering support have been a constant source of inspiration. We also extend our sincerest thanks to our colleagues in the department, whose engaging discussions and shared insights have greatly enriched our understanding of the subject, and their feedback on our work has been invaluable in refining and improving the quality of this research. We are also grateful to the funding agencies who have generously supported this research, making it possible for us to pursue these academic goals. Their financial support has been crucial in facilitating the collection of data and allowing for the necessary resources to complete this project.
Conflicts of Interest
No conflicts of interest exit in the submission of this manuscript, and the manuscript was approved by all authors for publication. I would like to declare on behalf of my co-authors that the work described was original research that has not been published previously, and not under consideration for publication elsewhere, in whole or in part. All the authors listed have approved the manuscript that is enclosed.
Appendix A
Risk Preference Experiment
Stage 1, Test Game: The farmers are told that there are three black balls and three red balls in the bag, and that the rewards for winning the black ball and the red ball are shown in Table A1, respectively.
Plan A and B, the tested farmer’s choice is ___ (note: only the farmer who chooses Plan 2 is allowed to continue the game).
Table A1.
Test games (unit: Yuan).
Table A1.
Test games (unit: Yuan).
| Options | Plan 1 | Plan 2 | ||
| Red ball | Black ball | Red ball | Black ball | |
| 15 | 20 | 16 | 21 | |
Stage 2, Formal Testing: After the respondents have tried and familiarized themselves with the rules of the experiment, the investigator provided 10 sets of test games, each of which included both low-risk and high-risk reward schemes. The investigator provided 10 sets of test games, with each set of test games including two reward schemes, low risk and high risk, and the respondents choose the risk for all 10 sets of games. Respondents chose either Reward Plan 3 or Reward Plan 4 from each of the 10 sets of games, with Reward Plan 3 being the low-risk option and Reward Plan 4 being the high-risk option. The focus of the second stage was to have the respondents understand the difference between the risky option they chose and the final option they chose. The second stage focuses on making the respondents understand that their choice of the risky option is directly related to the final payoff, so as to ensure that the information they show about their risk preferences is true and credible. In this stage, the study set up two premises, deterministic probability and fuzzy probability, to measure the degree of risk preference for deterministic probability and fuzzy probability, respectively.
(1) Respondents are explicitly told that there are three black balls and three red balls in the bag: the number of respondents choosing Plan 4 is ______ (See Table A2).
Table A2.
Experimental program (unit: Yuan).
Table A2.
Experimental program (unit: Yuan).
| Options | Plan 3 | Plan 4 | ||
|---|---|---|---|---|
| Red Ball | Black Ball | Red Ball | Black Ball | |
| 1 | 20 | 20 | 22 | 18 |
| 2 | 20 | 20 | 23 | 17 |
| 3 | 20 | 20 | 25 | 15 |
| 4 | 20 | 20 | 35 | 15 |
| 5 | 20 | 20 | 37 | 13 |
| 6 | 20 | 20 | 40 | 10 |
| 7 | 20 | 20 | 52 | 8 |
| 8 | 20 | 20 | 54 | 6 |
| 9 | 20 | 20 | 56 | 4 |
| 10 | 20 | 20 | 60 | 0 |
The first time a farmer jumps from Plan3 to Plan 4 is Option ____ [the number should be: 0–10]; let the farmer take any set of options for the actual experiment.
The farmer’s payoff is ___ yuan [the amount in the table × 0.1];
(2) Tell the respondents that the bag contains a total of 6 cards of different numbers of red and black balls, and that they only know that there will be more balls of a certain color, and repeat the test. Repeat the 10 sets of test games in Table A2, the number of respondents who chose Plan 4 _____ (See Table A3).
Table A3.
Experimental program (unit: Yuan).
Table A3.
Experimental program (unit: Yuan).
| Options | Plan 3 | Plan 4 | ||
|---|---|---|---|---|
| Red Ball | Black Ball | Red Ball | Black Ball | |
| 1 | 20 | 20 | 22 | 18 |
| 2 | 20 | 20 | 23 | 17 |
| 3 | 20 | 20 | 25 | 15 |
| 4 | 20 | 20 | 35 | 15 |
| 5 | 20 | 20 | 37 | 13 |
| 6 | 20 | 20 | 40 | 10 |
| 7 | 20 | 20 | 52 | 8 |
| 8 | 20 | 20 | 54 | 6 |
| 9 | 20 | 20 | 56 | 4 |
| 10 | 20 | 20 | 60 | 0 |
The first time a farmer jumps from Plan 3 to Plan 4 is Option ____ [the numbers should read: 0–10]; let the farmer take any set of options for the actual experiment. The farmer’s payoff is ___ [the amount in the table × 0.1].
Appendix B
Measurement of technology awareness
| Variables | Questions |
|---|---|
| Level of technical knowledge | Question 1: Which of the following technologies are conservation tillage technologies? (1 = Minimum tillage sowing; 2 = No-tillage sowing; 3 = Subsoiling; 4 = Straw returning; 5 = Integrated pest and weed management) Question 2: What are the effects of conservation tillage technologies? (1 = Savings and efficiency; 2 = Improvement of the soil; 3 = Control of soil erosion; 4 = Water storage and moisture conservation; 5 = Reduction of greenhouse gas emissions) Measurement: The number of responses to the two questions was summed and re-assigned to the household, specifically: 5 and below is assigned a value of 0, indicating that the household is not very knowledgeable about conservation tillage technology; 6 and above is assigned a value of 1, indicating that the household is more knowledgeable about conservation tillage technology. |
| Perceptions of technology facilitation | Do you think conservation tillage technology is complicated and cumbersome? (1 = Yes, 0 = No) |
| Perceptions of techno-economic efficiency | Question 1: What do you think is the impact of conservation tillage technology on crop yields? Question 2: What do you think is the impact of conservation tillage technology on labor? Question 3: What do you think is the impact of conservation tillage technology on chemical fertilizer and pesticide inputs? Question 4: What do you think is the impact of conservation tillage technology on the cost of machinery operation? (1 = Increase 2 = Almost no effect 3 = Decrease) Measurement: Sum up the numbers corresponding to the options given by the farmer in response to the above questions. |
| Perceptions of the environmental benefits of technology | Do you think the implementation of conservation tillage technology has improved the ecological environment? (1 = Yes, 0 = No) |
Notes
| 1 | Uncertainty includes risk and ambiguity; risk: the probability distribution of planting benefit is known; ambiguity: the probability distribution of planting benefit is unknown. In the case where objective probability is unknown and subjective probability is difficult to determine accurately, Ellsberg (1961) separated ambiguity preference from risk preference and expressed it as ambiguity, proposing the famous Ellsberg paradox. (Ellsberg, D. 1961. Risk, ambiguity, and the Savage axioms. Q. J. Econ. 75(4), 643-669). |
| 2 | Yongshou County includes the five towns of Changning Town, Ganjing Town, Duzi Town, Dian Tou Town, and Jianjun Town; Heyang county includes the five towns of Wangcun Town, Lujing Town, Heichi Town, Xinchi Town, and Fang Town; Yaodu District includes the five towns of Jindian Town, Tumen Town, Qiaoli Town, Wucun Town, and Xiandi Town; Pinglu County includes the five towns of Sengrenjian Town, Zhangdian Town, Sanmen Town, Changle Town, and Podi Town. |
| 3 | “Mu” is a Chinese municipal unit of land area, widely used in rural areas of China: 1 mu≈666.67 square meters. |
| 4 | Relevant documents and data sources: www.shaanxi.gov.cn; www.gov.cn. |
| 5 | For China, its monsoon weather impact extends northward in the first half of June of each year. |
References
- Abid, M. Climate Change Impacts and Adaptation in the Agricultural Sector of Pakistan-Socioeconomic and Geographical Dimensions. Ph.D. Dissertation, Staats-und Universitätsbibliothek Hamburg Carl von Ossietzky, Hamburg, Germany, 2016. [Google Scholar] [CrossRef]
- Stuch, B.; Alcamo, J.; Schaldach, R. Projected climate change impacts on mean and year-to-year variability of yield of key smallholder crops in Sub-Saharan Africa. Clim. Dev. 2021, 13, 268–282. [Google Scholar] [CrossRef]
- Li, Q.; Chen, L.; Xu, Y. Drought risk and water resources assessment in the Beijing-Tianjin-Hebei region, China. Sci. Total Environ. 2022, 832, 154915. [Google Scholar] [CrossRef]
- Samberg, L.H.; Gerber, J.S.; Ramankutty, N.; Herrero, M.; West, P.C. Subnational distribution of average farm size and smallholder contributions to global food production. Environ. Res. Lett. 2016, 11, 124010. [Google Scholar] [CrossRef]
- Chukwuone, N.A.; Amaechina, E.C. Factors affecting climate change coping strategies used by smallholder farmers under root crop farming systems in derived savannah ecology zone of Nigeria. Environ. Dev. 2021, 39, 100627. [Google Scholar] [CrossRef]
- Springmann, M.; Clark, M.; Mason-D’ Croz, D.; Wiebe, K.; Bodirsky, B.; Lassaletta, L.; Vries, W.; Vermeulen, S.; Herrero, H.; Carlson, K.; et al. Options for keeping the food system within environmental limits. Nature 2018, 562, 519–525. [Google Scholar] [CrossRef]
- Ma, L.; Bai, Z.; Ma, W.; Guo, M.; Jiang, R.; Liu, J.; Oenema, O.; Velthof, G.; Whitmore, A.; Crawford, J.; et al. Exploring future food provision scenarios for China. Environ. Sci. Technol. 2019, 53, 1385–1393. [Google Scholar] [CrossRef]
- Smit, B.; Skinner, M.W. Adaptation options in agriculture to climate change: A typology. Mitig. Adapt. Strateg. Glob. Chang. 2002, 7, 85–114. [Google Scholar] [CrossRef]
- Turner-Walker, S.; Anantasari, E.; Retnowati, A. Integration into development: Translating international frameworks into village-level adaptation. In Climate Change Research, Policy and Actions in Indonesia; Springer: Cham, Switzerland, 2021. [Google Scholar]
- Ross, N.; Santos, P.; Capon, T. Risk, Ambiguity and the Adoption of New Technologies: Experimental Evidence from a Developing Economy; International Association of Agricultural Economists: Devon, UK, 2010. [Google Scholar]
- Shen, Y.; Kong, W.; Shi, R.; Du, R.; Zhao, M. Farmers’ adoption behavior of conservation tillage technology: A multidimensional heterogeneity perspective. Environ. Sci. Pollut. Res. 2022, 30, 37744–37761. [Google Scholar] [CrossRef]
- Zhou, H.; Lu, Y.; Yang, Z.; Li, B. Effects of conservation tillage on soil aggregate characteristics in the North China Plain. China Agric. Sci. 2007, 40, 1973–1979. [Google Scholar]
- Qiu, H.; Su, L.F.; Zhang, Y.T.; Tang, J.J. Risk preferences, risk perceptions and farmers’ conservation tillage technology adoption. China Rural Econ. 2020, 7, 59–79. [Google Scholar]
- Si, R.; Yao, Y.; Zhang, X.; Lu, Q.; Aziz, N. Exploring the Role of Contiguous Farmland Cultivation and Adoption of No-Tillage Technology in Improving Transferees’ Income Structure: Evidence from China. Land 2022, 11, 570. [Google Scholar] [CrossRef]
- Chalak, A.; Irani, A.; Chaaban, J.; Bashour, I.; Seyfert, K.; Smoot, K.; Abebe, G.K. Farmers’ willingness to adopt conservation agriculture: New evidence from Lebanon. Environ. Manag. 2017, 60, 693–704. [Google Scholar] [CrossRef] [PubMed]
- Deng, Y.; Zhu, J. Yield increase and stabilization effects of conservation tillage technology adoption. Resour. Sci. 2023, 45, 2050–2063. [Google Scholar]
- Jha, C.K.; Gupta, V. Farmer’s perception and factors determining the adaptation decisions to cope with climate change: An evidence from rural India. Environ. Sustain. Indic. 2021, 10, 100112. [Google Scholar] [CrossRef]
- Prokopy, L.S.; Floress, K.; Klotthor-Weinkauf, D.; Baumgart-Getz, A. Determinants of agricultural best management practice adoption: Evidence from the literature. J. Soil Water Conserv. 2008, 63, 300–311. [Google Scholar] [CrossRef]
- Li, X.; Li, Y.; Xiao, L. Personal values, willingness of farmers and decision-making of farmers’ pro-environmental behavior. Hum. Ecol. Rev. 2021, 43, 17–29. [Google Scholar]
- Nguyen, N.; Drakou, E.G. Farmers intention to adopt sustainable agriculture hinges on climate awareness: The case of Vietnamese coffee. J. Clean. Prod. 2021, 303, 126828. [Google Scholar] [CrossRef]
- Toma, L.; Banes, A.; Sutherland, L.A.; Thomson, S.; Burnett, E.; Mathews, K. Impact of information transter on farmers’ uptake of innovative crop technologies: A structural equation model applied to survey data. J. Technol. Transf. 2016, 43, 864–881. [Google Scholar] [CrossRef]
- Dessart, F.J.; Barreiro-hurlé, J.; Bavel, R.V. Behavioural factors affecting the adoption of sustainable farming practices: A policy-oriented review. Eur. Rev. Agric. Econ. 2019, 46, 417–471. [Google Scholar] [CrossRef]
- Si, R.; Aziz, N.; Liu, M.; Lu, Q. Natural disaster shock, risk aversion and corn farmers’ adoption of degradable mulch film: Evidence from Zhangye, China. Int. J. Clim. Chang. Strateg. Manag. 2021, 13, 60–77. [Google Scholar] [CrossRef]
- Wang, Z.; Li, M.; Wang, Y.; Jiang, J. Technology demonstration, expected risk reduction and large crop-land owners’ behavior decision on the conservation tillage technology. J. China Agric. Univ. 2017, 22, 182–187. [Google Scholar]
- Xu, Y.; McNamara, P.; Wu, Y.; Dong, Y. An econometric analysis of changes in arable land utilization using multinomial logit model in Pinggu district, Beijing, China. J. Environ. Manag. 2013, 128, 324–334. [Google Scholar] [CrossRef]
- Thomas, J.; Brunette, M.; Leblois, A. The determinants of adapting forest management practices to climate change: Lessons from a survey of French private forest owners. Forest Policy Econ. 2022, 135, 102662. [Google Scholar] [CrossRef]
- Feder, G.; Just, R.E.; Zilberman, D. Adoption of agricultural innovations in developing countries: A survey. Econ. Dev. Cult. Chang. 1985, 33, 255–298. [Google Scholar] [CrossRef]
- Birthal, P.S.; Kumar, S.; Negi, D.S.; Roy, D. The impacts of information on returns from farming: Evidence from a nationally representative farm survey in India. Agric. Econ. 2015, 46, 549–561. [Google Scholar] [CrossRef]
- Marra, M.; Pannell, D.J.; Ghadim, A.A. The economics of risk, uncertainty and learning in the adoption of new agricultural technologies: Where are we on the learning curve? Agric. Syst. 2003, 75, 215–234. [Google Scholar] [CrossRef]
- Cui, S.; Li, Y.; Jiao, X.; Zhang, D. Hierarchical Linkage between the Basic Characteristics of Smallholders and Technology Awareness Determines Small-Holders’ Willingness to Adopt Green Production Technology. Agriculture 2022, 12, 1275. [Google Scholar] [CrossRef]
- Ahmed, Z.; Guha, G.S.; Shew, A.M.; Alam, G.M. Climate change risk perceptions and agricultural adaptation strategies in vulnerable riverine char islands of Bangladesh. Land Use Policy 2021, 103, 105295. [Google Scholar] [CrossRef]
- Zou, G.L.; Liu, J.S.; Chen, K.C.; Zhang, J.S.; Xiao, Y.H. Changes of superoxide dismutase and malondialdehyde during the sensitive period of fertility transition in photosensitive nuclear sterile rice. J. Wuhan Univ. Nat. Sci. Ed. 1991, 4, 95–100. [Google Scholar]
- Yin, M.; Ding, Y.; Zhuang, D.Y.; Li, Y.F.; Yan, J.; Cui, B.B. Effects of compounding different plant growth regulators on yield traits of rice. Mod. Agric. Sci. Technol. 2023, 5, 5–8. [Google Scholar]
- Mpandeli, S.; Maponya, P. Constraints and challenges facing the small scale farmers in Limpopo Province, South Africa. J. Agric. Sci. 2014, 6, 135. [Google Scholar] [CrossRef]
- Pan, T.; Zhang, C.; Kuang, W.; Luo, G.; Du, G.; Yin, Z. Large-scale rain-fed to paddy farmland conversion modified land-surface thermal properties in Cold China. Sci. Total Environ. 2020, 722, 137917. [Google Scholar] [CrossRef] [PubMed]
- Xu, W.; Jin, X.; Liu, J.; Zhou, Y. Analysis of influencing factors of cultivated land fragmentation based on hierarchical linear model: A case study of Jiangsu Province, China. Land Use Policy 2021, 101, 105119. [Google Scholar] [CrossRef]
- Debnath, A.; Roy, N. Linkage between internal migration and crime: Evidence from India. Int. J. Law Crime Justice 2013, 41, 203–212. [Google Scholar] [CrossRef]
- Elahi, E.; Khalid, Z.; Tauni, M.Z.; Zhang, H.; Lirong, X. Extreme weather events risk to crop-production and the adaptation of innovative management strategies to mitigate the risk: A retrospective survey of rural Punjab, Pakistan. Technovation 2022, 117, 102255. [Google Scholar] [CrossRef]
- Comoé, H.; Siegrist, M. Relevant drivers of farmers’ decision behavior regarding their adaptation to climate change: A case study of two regions in Côte d’Ivoire. Mitig. Adapt. Strateg. Glob. Chang. 2015, 20, 179–199. [Google Scholar] [CrossRef]
- Ahmed, Z.; Shew, A.M.; Mondal, M.K.; Yadav, S.; Jagadish, S.K.; Prasad, P.V.; Bakuluzzaman, M. Climate risk perceptions and perceived yield loss increases agricultural technology adoption in the polder areas of Bangladesh. J. Rural Stud. 2022, 94, 274–286. [Google Scholar] [CrossRef]
- Barham, B.L.; Chavas, J.P.; Fitz, D.; Salas, V.R.; Schechter, L. The roles of risk and ambiguity in technology adoption. J. Econ. Behav. Organ. 2014, 97, 204–218. [Google Scholar] [CrossRef]
- Freudenreich, H.; Mußhoff, O. Insurance for Technology Adoption: An Experimental Evaluation of Schemes and Subsidies with Maize Farmers in Mexico. J. Agric. Econ. 2017, 69, 96–120. [Google Scholar] [CrossRef]
- Holt, C.A.; Laury, S.K. Risk aversion and incentive effects: New data without order effects. Am. Econ. Rev. 2005, 95, 902–904. [Google Scholar] [CrossRef]
- Yu, L.; Song, Y.; Wu, H.; Shi, H. Credit Constraint, Interlinked Insurance and Credit Contract and Farmers’ Adoption of Innovative Seeds-Field Experiment of the Loess Plateau. Land 2023, 12, 357. [Google Scholar] [CrossRef]
- Zobeidi, T.; Yaghoubi, J.; Yazdanpanah, M. Farmers’ incremental adaptation to water scarcity: An application of the model of private proactive adaptation to climate change (MPPACC). Agric. Water Manag. 2022, 264, 107528. [Google Scholar] [CrossRef]
- Ullah, R.; Shivakoti, G.P.; Zulfiqar, F.; Iqbal, M.N.; Shah, A.A. Disaster risk management in agriculture: Tragedies of the smallholders. Nat. Hazards 2017, 87, 1361–1375. [Google Scholar] [CrossRef]
- Li, S.; Yu, W.C. The Social Network Effect of Happiness: An Empirical Study of Chinese Residents’ Consumption. Econ. Res. 2020, 55, 6. [Google Scholar]
- Cooper, D.F.; Grey, S.; Raymond, G.; Walker, P. Project Risk Management Guidelines; Wiley: Hoboken, NJ, USA, 2005. [Google Scholar]
- Roco, L.; Engler, A.; Bravo-Ureta, B.E.; Jara-Rojas, R. Farmers’ perception of climate change in mediterranean Chile. Reg. Environ. Chang. 2015, 15, 867–879. [Google Scholar] [CrossRef]
- Adger, W.N.; Huq, S.; Brown, K.; Conway, D.; Hulme, M. Adaptation to climate change in the developing world. Prog. Dev. Stud. 2003, 3, 179–195. [Google Scholar] [CrossRef]
- Lata, S.; Nunn, P. Misperceptions of climate-change risk as barriers to climate-change adaptation: A case study from the Rewa Delta, Fiji. Clim. Chang. 2012, 110, 169–186. [Google Scholar] [CrossRef]
- Zhang, T.; Hou, Y.; Meng, T.; Ma, Y.; Tan, M.; Zhang, F.; Oenema, O. Replacing synthetic fertilizer by manure requires adjusted technology and incentives: A farm survey across China. Resour. Conserv. Recycl. 2021, 168, 105301. [Google Scholar] [CrossRef]
- Lyne, M.C.; Jonas, N.; Ortmann, G.F. A quantitative assessment of an outsourced agricultural extension service in the Umzimkhulu District of KwaZulu-Natal, South Africa. J. Agric. Educ. Ext. 2018, 24, 51–64. [Google Scholar] [CrossRef]
- Cao, G.; Zhang, Z. Research on factors influencing farmers’ adoption of conservation tillage technology. Agric. Econ. Issues 2008, 8, 69–74. [Google Scholar]
- Guo, H.; Zhao, W.; Pan, C.; Qiu, G.; Xu, S.; Liu, S. Study on the influencing factors of farmers’ adoption of conservation tillage technology in black soil region in China: A logistic-ISM model approach. Int. J. Environ. Res. Public Health 2022, 19, 7762. [Google Scholar] [CrossRef] [PubMed]
- Gao, J.; Song, G.; Sun, X. Does labor migration affect rural land transfer? Evidence from China. Land Use Policy 2020, 99, 105096. [Google Scholar] [CrossRef]
- Liu, L.; Shangguan, D.; Wu, L. The impact of management scale and risk perception on farmers’ willingness to adopt soil and water conservation tillage technology-Based on the moderating effect of government subsidies. J. Arid Environ. 2021, 35, 77–83. [Google Scholar]
- De Jalón, S.G.; Iglesias, A.; Quiroga, S.; Bardají, I. Exploring public support for climate change adaptation policies in the Mediterranean region: A case study in Southern Spain. Environ. Sci. Policy 2013, 29, 1–11. [Google Scholar] [CrossRef]
- Clarke, C.L.; Shackleton, S.E.; Powell, M. Climate change perceptions, drought responses and views on carbon farming amongst commercial livestock and game farmers in the semiarid Great Fish River Valley, Eastern Cape province, South Africa. Afr. J. Range Forage Sci. 2012, 29, 13–23. [Google Scholar] [CrossRef]
- Wheeler, R.; Lobley, M. Managing extreme weather and climate change in UK agriculture: Impacts, attitudes and action among farmers and stakeholders. Clim. Risk Manag. 2021, 32, 100313. [Google Scholar] [CrossRef]
- Tiet, T.; To-The, N.; Nguyen-Anh, T. Farmers’ behaviors and attitudes toward climate change adaptation: Evidence from Vietnamese smallholder farmers. Environ. Dev. Sustain. 2022, 24, 14235–14260. [Google Scholar] [CrossRef]
- Norris, P.E.; Batie, S.S. Virginia farmers’ soil conservation decisions: An application of Tobit analysis. J. Agric. Appl. Econ. 1987, 19, 79–90. [Google Scholar] [CrossRef]
- Shi, Y.X.; Li, C.Q.; Zhao, M.J.; Qin, G.Q. Public willingness to pay for farmland non-point source pollution governance toward sustainable development: A choice experiment in Gansu, China. Sustain. Dev. 2023, 1–23. [Google Scholar] [CrossRef]
- Nikam, V.; Ashok, A.; Pal, S. Farmers’ information needs, access and its impact: Evidence from different cotton producing regions in the Maharashtra state of India. Agric. Syst. 2022, 196, 103317. [Google Scholar] [CrossRef]
- Lacoste, M.; Cook, S.; McNee, M.; Gale, D.; Ingram, J.; Bellon-Maurel, V.; Hall, A. On-Farm Experimentation to transform global agriculture. Nat. Food 2022, 3, 11–18. [Google Scholar] [CrossRef] [PubMed]
- Roodman, D. Fitting fully observed recursive mixed-process models with cmp. Stata J. 2011, 11, 159–206. [Google Scholar] [CrossRef]
- Li, W.; Yuan, K.; Yue, M.; Zhang, L.; Huang, F. Climate change risk perceptions, facilitating conditions and health risk management intentions: Evidence from farmers in rural China. Clim. Risk Manag. 2021, 32, 100283. [Google Scholar] [CrossRef]
- Mitter, H.; Larcher, M.; Schonhart, M.; Stottinger, M.; Schmid, E. Exploring farmers’ climate change perceptions and adaptation intentions: Empirical evidence from Austria. Environ. Manag. 2019, 63, 804–821. [Google Scholar] [CrossRef]
- Mechler, R.; Hochrainer, S.; Aaheim, A.; Salen, H.; Wreford, A. Modelling economic impacts and adaptation to extreme events: Insights from European case studies. Mitig. Adapt. Strateg. Glob. Chang. 2010, 15, 737–762. [Google Scholar] [CrossRef]
- Greiner, R.; Patterson, L.; Miller, O. Motivations, risk perceptions and adoption of conservation practices by farmers. Agric. Syst. 2009, 99, 86–104. [Google Scholar] [CrossRef]
- Samuelson, W.; Zeckhauser, R. Status quo bias in decision making. J. Risk Uncertain. 1988, 1, 7–59. [Google Scholar] [CrossRef]
- Kurkalova, L.; Kling, C.; Zhao, J. Green subsidies in agriculture: Estimating the adoption costs of conservation tillage from observed behavior. Can. J. Agric. Econ./Rev. Can. D’agroeconomie 2006, 54, 247–267. [Google Scholar] [CrossRef]
- Fischer, E.; Qaim, M. Linking smallholders to markets: Determinants and impacts of farmer collective action in Kenya. World Dev. 2012, 40, 1255–1268. [Google Scholar] [CrossRef]
- Shepherd, T.G.; Boyd, E.; Calel, R.A.; Chapman, S.C.; Dessai, S.; Dima-West, I.M.; Zenghelis, D.A. Storylines: An alternative approach to representing uncertainty in physical aspects of climate change. Clim. Chang. 2018, 151, 555–571. [Google Scholar] [CrossRef]
Disclaimer/Publisher’s Note: The statements, opinions and data contained in all publications are solely those of the individual author(s) and contributor(s) and not of MDPI and/or the editor(s). MDPI and/or the editor(s) disclaim responsibility for any injury to people or property resulting from any ideas, methods, instructions or products referred to in the content. |
© 2024 by the authors. Licensee MDPI, Basel, Switzerland. This article is an open access article distributed under the terms and conditions of the Creative Commons Attribution (CC BY) license (https://creativecommons.org/licenses/by/4.0/).




