Comparison of Compact and Decentralized Urban Development Pathways for Flood Mitigation in Urbanizing Deltas—Guangzhou in the Pearl River Delta as a Case Study
Abstract
1. Introduction
2. Materials and Methods
2.1. Study Area
2.2. Data
2.3. Method
2.3.1. New Criterion Definition
- (1)
- Objective 1: Maximize the probability of built-up land
- (2)
- Objective 2: Minimize the exposure to coastal flooding
- (3)
- Objective 3: Minimize the cost of land conversion
- (4)
- Objective 4: Maximize the cost of spatial planning
- (5)
- Constraints
2.3.2. Construction of the Compact and Decentralized Spatial Evolution Paths
- (1)
- Compact selection
- (2)
- Crossover operation
- (3)
- Mutation operation
- (4)
- Non-dominated sorting operation
- (5)
- Crowding degree calculation and the selection of outstanding individuals
- (6)
- Termination output
2.3.3. Design of Scenarios for Compact Spatial Evolution Path
- (1)
- Different target weighting scenarios
- -
- Scenario A entails giving the highest priority to the probability of the built-up land development objective. The weight of built-up land development was set to 0.5, while the weights of coastal flood exposure, the land conversion cost, and spatial planning cost were set to 0.17, 0.17, and 0.16, respectively;
- -
- − Scenario B consists of giving the highest priority to the coastal flood exposure objective with a weight of 0.5, and the weights of the probability of built-up land development, the land conversion cost, and the spatial planning cost were set to 0.17, 0.17, and 0.16, respectively;
- -
- Scenario C consists of prioritizing the land conversion cost objective with the weight of 0.5, and the weights of the probability of built-up land development, coastal flood exposure, and the spatial planning cost were set to 0.17, 0.17, and 0.16, respectively;
- -
- Scenario D prioritizes the spatial planning cost objective with a weight of 0.5, and the weights of the probability of built-up land development, coastal flood exposure, and the spatial planning cost were set to 0.17, 0.17, and 0.16, respectively;
- -
- Scenario E prioritizes the probability of built-up land development and coastal flood exposure objectives, the weights of which were both set to 0.4. The weights of the land conversion cost and spatial planning were both set to 0.1;
- -
- Finally, Scenario F prioritizes the land conversion and spatial planning cost by setting their weights to 0.4, while the weights of the two remaining parameters are set to 0.1.
2.3.4. Overview of the Performance of the Computer Simulation Experiment
3. Results
3.1. Analysis of the Simulation Results
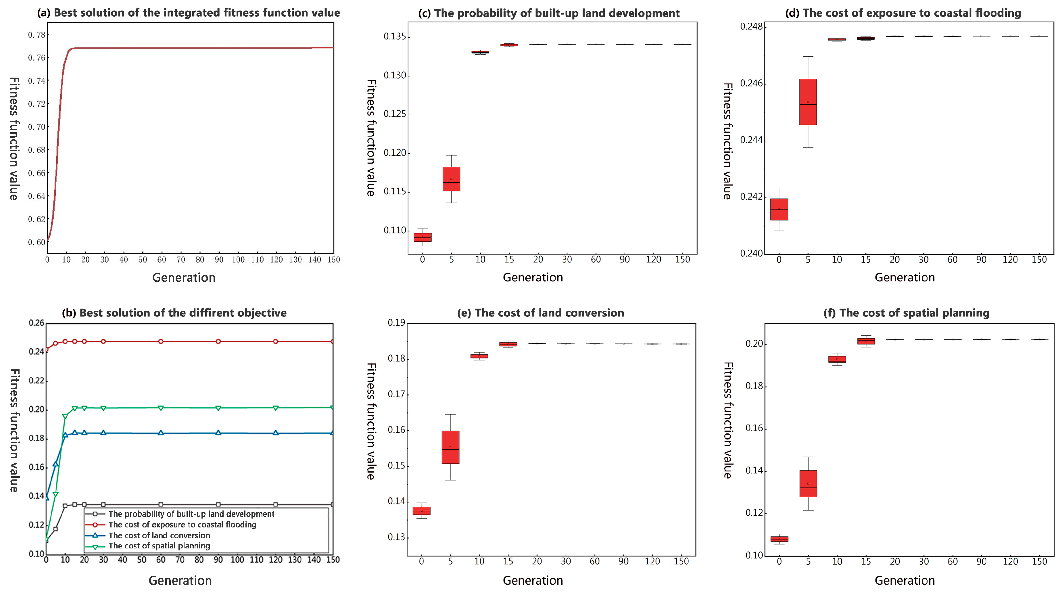
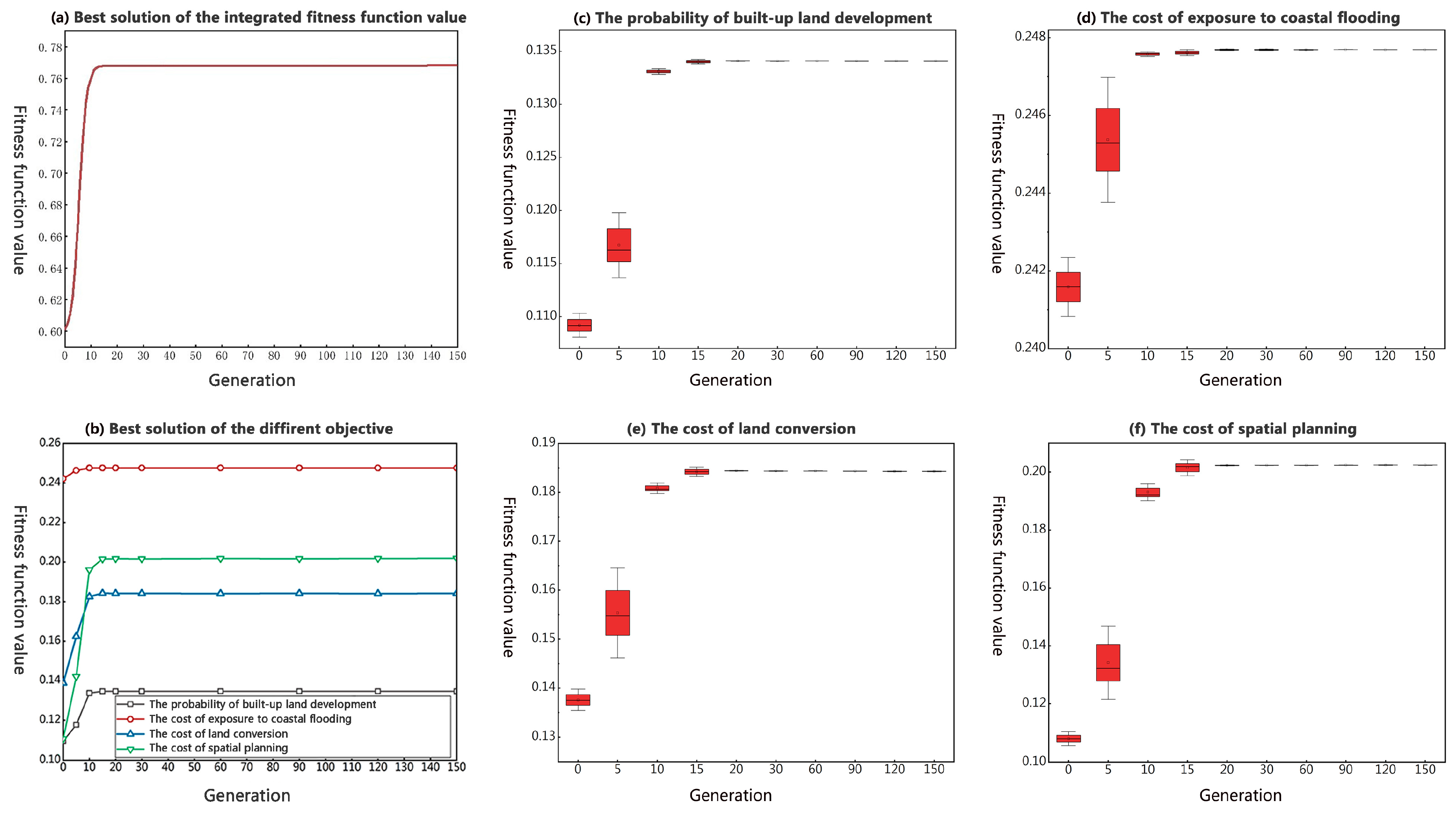
3.1.1. Analysis of the Integrated Fitness Function Values for the BAU Scenario
- (1)
- The integrated fitness function value of the best solution
- (2)
- Analysis of the distribution of solution sets
3.1.2. Analysis of the Distribution of the 150th Generation Solution Set of the BAU Scenario
3.1.3. Comparison of the Results of the Compact Spatial Evolution Path of the BAU Scenario and the Decentralized Spatial Evolution Path of the FLUS Simulation Scenario
3.1.4. Spatial Optimization Results for Scenarios with Different Target Weights
3.1.5. Spatial Optimization Results of the Urbanization Rate Scenarios under the Influence of Different Policies
3.2. Model Robustness Verification
4. Discussion
4.1. Review of Simulation Results
4.2. Flood Adaptation Strategies and Policies
4.3. Limitations and Future Work
5. Conclusions
Author Contributions
Funding
Data Availability Statement
Conflicts of Interest
Correction Statement
References
- Tellman, B.; Sullivan, J.A.; Kuhn, C.; Kettner, A.J.; Doyle, C.S.; Brakenridge, G.R.; Erickson, T.A. Satellite imaging reveals increased proportion of population exposed to floods. Nature 2021, 596, 80–86. [Google Scholar] [CrossRef]
- Chen, G.; Li, X.; Liu, X.; Chen, Y.; Liang, X.; Leng, J.; Wu, X.; Liao, W.; Oiu, Y.; Wu, Q.; et al. Global projections of future urban land expansion under shared socioeconomic pathways. Nat. Commun. 2020, 11, 537. [Google Scholar] [CrossRef]
- Hallegatte, S.; Green, C.; Nicholls, R.J.; Corfee-Morlot, J. Future flood losses in major coastal cities. Nat. Clim. Chang. 2013, 3, 802–806. [Google Scholar] [CrossRef]
- Nicholls, R.J.; Lincke, D.; Hinkel, J.; Brown, S.; Vafeidis, A.T.; Meyssignac, B.; Hanson, S.E.; Merkens, J.-L.; Fang, J. A global analysis of subsidence, relative sea-level change and coastal flood exposure. Nat. Clim. Chang. 2021, 11, 338–342. [Google Scholar] [CrossRef]
- Kirezci, E.; Young, I.R.; Ranasinghe, R.; Muis, S.; Nicholls, R.J.; Lincke, D.; Hinkel, J. Projections of global-scale extreme sea levels and resulting episodic coastal flooding over the 21st Century. Sci. Rep. 2020, 10, 11629. [Google Scholar] [CrossRef]
- Barragán, J.M.; de Andrés, M. Analysis and trends of the world’s coastal cities and agglomerations. Ocean Coast. Manag. 2015, 114, 11–20. [Google Scholar] [CrossRef]
- Wheeler, B.W.; White, M.; Stahl-Timmins, W.; Depledge, M.H. Does living by the coast improve health and wellbeing? Health Place 2012, 18, 1198–1201. [Google Scholar] [CrossRef]
- Best, J. Anthropogenic stresses on the world’s big rivers. Nat. Geosci. 2019, 12, 7–21. [Google Scholar] [CrossRef]
- Smith, A.; Bates, P.D.; Wing, O.; Sampson, C.; Quinn, N.; Neal, J. New estimates of flood exposure in developing countries using high-resolution population data. Nat. Commun. 2019, 10, 1814. [Google Scholar] [CrossRef]
- Kulp, S.A.; Strauss, B.H. New elevation data triple estimates of global vulnerability to sea-level rise and coastal flooding. Nat. Commun. 2019, 10, 4844. [Google Scholar] [CrossRef]
- Hinkel, J.; Jaeger, C.; Nicholls, R.J.; Lowe, J.; Renn, O.; Peijun, S. Sea-level rise scenarios and coastal risk management. Nat. Clim. Chang. 2015, 5, 188–190. [Google Scholar] [CrossRef]
- Sachs, J.D.; Schmidt-Traub, G.; Mazzucato, M.; Messner, D.; Nakicenovic, N.; Rockström, J. Six Transformations to achieve the Sustainable Development Goals. Nat. Sustain. 2019, 2, 805–814. [Google Scholar] [CrossRef]
- Hirabayashi, Y.; Mahendran, R.; Koirala, S.; Konoshima, L.; Yamazaki, D.; Watanabe, S.; Kim, H.; Kanae, S. Global flood risk under climate change. Nat. Clim. Chang. 2013, 3, 816–821. [Google Scholar] [CrossRef]
- Vousdoukas, M.I.; Mentaschi, L.; Voukouvalas, E.; Bianchi, A.; Dottori, F.; Feyen, L. Climatic and socioeconomic controls of future coastal flood risk in Europe. Nat. Clim. Chang. 2018, 8, 776–780. [Google Scholar] [CrossRef]
- Wang, W.; Yang, S.; Stanley, H.E.; Gao, J. Local floods induce large-scale abrupt failures of road networks. Nat. Commun. 2019, 10, 2114. [Google Scholar] [CrossRef]
- Lin, W.; Sun, Y.; Nijhuis, S.; Wang, Z. Scenario-based flood risk assessment for urbanizing deltas using future land-use simulation (FLUS): Guangzhou Metropolitan Area as a case study. Sci. Total Environ. 2020, 739, 139899. [Google Scholar] [CrossRef]
- Dryden, R.; Anand, M.; Lehner, B.; Fluet-Chouinard, E. Do we prioritize floodplains for development and farming? Mapping global dependence and exposure to inundation. Glob. Environ. Chang. 2021, 71, 102370. [Google Scholar] [CrossRef]
- Francesch-Huidobro, M.; Dabrowski, M.; Tai, Y.; Chan, F.; Stead, D. Governance challenges of flood-prone delta cities: Integrating flood risk management and climate change in spatial planning. Prog. Plan. 2017, 114, 1–27. [Google Scholar] [CrossRef]
- Liao, K.-H.; Le, T.A.; Nguyen, K.V. Urban design principles for flood resilience: Learning from the ecological wisdom of living with floods in the Vietnamese Mekong Delta. Landsc. Urban Plan. 2016, 155, 69–78. [Google Scholar] [CrossRef]
- Ghaderian, M.; Veysi, F. Multi-objective optimization of energy efficiency and thermal comfort in an existing office building using NSGA-II with fitness approximation: A case study. J. Build. Eng. 2021, 41, 102440. [Google Scholar] [CrossRef]
- Zhai, Y.; Wang, Y.; Huang, Y.; Meng, X. A multi-objective optimization methodology for window design considering energy consumption, thermal environment and visual performance. Renew. Energy 2019, 134, 1190–1199. [Google Scholar] [CrossRef]
- Caparros-Midwood, D.; Barr, S.; Dawson, R. Optimised spatial planning to meet long term urban sustainability objectives. Comput. Environ. Urban Syst. 2015, 54, 154–164. [Google Scholar] [CrossRef]
- Caparros-Midwood, D.; Barr, S.; Dawson, R. Spatial optimization of future urban development with regards to climate risk and sustainability objectives. Risk Anal. 2017, 37, 2164–2181. [Google Scholar] [CrossRef] [PubMed]
- Ma, W.; Zhou, X.; Zhu, H.; Li, L.; Jiao, L. A two-stage hybrid ant colony optimization for high-dimensional feature selection. Pattern Recognit. 2021, 116, 107933. [Google Scholar] [CrossRef]
- Chen, Q.; Hu, X. Design of intelligent control system for agricultural greenhouses based on adaptive improved genetic algorithm for multi-energy supply system. Energy Rep. 2022, 8, 12126–12138. [Google Scholar] [CrossRef]
- Li, X.; Parrott, L. An improved Genetic Algorithm for spatial optimization of multi-objective and multi-site land use allocation. Comput. Environ. Urban Syst. 2016, 59, 184–194. [Google Scholar] [CrossRef]
- Xiong, L.; Nijhuis, S. Exploring Spatial Relationships in the Pearl River Delta. In Cities as Spatial and Social Networks, Human Dynamics in Smart Cities; Ye, X., Liu, X., Eds.; Springer International Publishing: Cham, Switzerland, 2019; pp. 147–163. [Google Scholar] [CrossRef]
- Lei, Y.; Liu, C.; Zhang, L.; Wan, J.; Li, D.; Yue, Q.; Guo, Y. Adaptive governance to typhoon disasters for coastal sustainability: A case study in Guangdong, China. Environ. Sci. Policy 2015, 54, 281–286. [Google Scholar] [CrossRef]
- Weng, Q. A historical perspective of river basin management in the Pearl River Delta of China. J. Environ. Manag. 2007, 85, 1048–1062. [Google Scholar] [CrossRef]
- Liang, X.; Liu, X.; Li, X.; Chen, Y.; Tian, H.; Yao, Y. Delineating multi-scenario urban growth boundaries with a CA-based FLUS model and morphological method. Landsc. Urban Plan. 2018, 177, 47–63. [Google Scholar] [CrossRef]
- Liu, X.; Liang, X.; Li, X.; Xu, X.; Ou, J.; Chen, Y.; Li, S.; Wang, S.; Pei, F. A future land use simulation model (FLUS) for simulating multiple land use scenarios by coupling human and natural effects. Landsc. Urban Plan. 2017, 168, 94–116. [Google Scholar] [CrossRef]
- Liang, X. The Development and Application of the Future Land Use Simulation Model (FLUS) by Coupling Human and Natural Effects. Ph.D. Dissertation, School of Geography and Planning, Sun Yat-sen University, Guangzhou, China, 2018. [Google Scholar]
- Nijhuis, S. Landscape-Based Urbanism: Cultivating Urban Landscapes Through Design. In Design for Regenerative Cities and Landscapes, Contemporary Urban Design Thinking; Roggema, R., Ed.; Springer International Publishing: Cham, Switzerland, 2022; pp. 249–277. [Google Scholar] [CrossRef]










| Scenario | The Probability of Built-Up Land | The Exposure to Coastal Flooding | The Cost of Land Conversion | The Cost of Spatial Planning |
|---|---|---|---|---|
| A | 0.5 | 0.17 | 0.17 | 0.16 |
| B | 0.17 | 0.5 | 0.17 | 0.16 |
| C | 0.17 | 0.17 | 0.5 | 0.16 |
| D | 0.17 | 0.17 | 0.16 | 0.5 |
| E | 0.4 | 0.4 | 0.1 | 0.1 |
| F | 0.1 | 0.1 | 0.4 | 0.4 |
| Scenario | The Probability of Built-Up Land | The Exposure to Coastal Flooding | The Cost of Land Conversion | The Cost of Spatial Planning | The Value of the Integrated Fitness Function |
|---|---|---|---|---|---|
| BAU | 0.135 | 0.248 | 0.184 | 0.202 | 0.768 |
| The high-speed development | 0.132 | 0.247 | 0.182 | 0.197 | 0.759 |
| The slow development | 0.135 | 0.248 | 0.189 | 0.207 | 0.779 |
Disclaimer/Publisher’s Note: The statements, opinions and data contained in all publications are solely those of the individual author(s) and contributor(s) and not of MDPI and/or the editor(s). MDPI and/or the editor(s) disclaim responsibility for any injury to people or property resulting from any ideas, methods, instructions or products referred to in the content. |
© 2024 by the authors. Licensee MDPI, Basel, Switzerland. This article is an open access article distributed under the terms and conditions of the Creative Commons Attribution (CC BY) license (https://creativecommons.org/licenses/by/4.0/).
Share and Cite
Lin, W.; Sun, Y.; Nijhuis, S. Comparison of Compact and Decentralized Urban Development Pathways for Flood Mitigation in Urbanizing Deltas—Guangzhou in the Pearl River Delta as a Case Study. Land 2024, 13, 351. https://doi.org/10.3390/land13030351
Lin W, Sun Y, Nijhuis S. Comparison of Compact and Decentralized Urban Development Pathways for Flood Mitigation in Urbanizing Deltas—Guangzhou in the Pearl River Delta as a Case Study. Land. 2024; 13(3):351. https://doi.org/10.3390/land13030351
Chicago/Turabian StyleLin, Weibin, Yimin Sun, and Steffen Nijhuis. 2024. "Comparison of Compact and Decentralized Urban Development Pathways for Flood Mitigation in Urbanizing Deltas—Guangzhou in the Pearl River Delta as a Case Study" Land 13, no. 3: 351. https://doi.org/10.3390/land13030351
APA StyleLin, W., Sun, Y., & Nijhuis, S. (2024). Comparison of Compact and Decentralized Urban Development Pathways for Flood Mitigation in Urbanizing Deltas—Guangzhou in the Pearl River Delta as a Case Study. Land, 13(3), 351. https://doi.org/10.3390/land13030351

