How Does Land Fragmentation Affect Agricultural Technical Efficiency? Based on Mediation Effects Analysis
Abstract
1. Introduction
2. Materials and Methods
2.1. Study Areas
2.2. Model Specification
2.2.1. Stochastic Frontier Production Function
2.2.2. Mediating Effect Model
2.3. Descriptions of the Variables
2.3.1. Explained Variable
2.3.2. Core independent Variables
2.3.3. Mediating Variables
2.3.4. Control Variables
3. Results
3.1. Land Fragmentation and Agricultural Technical Efficiency
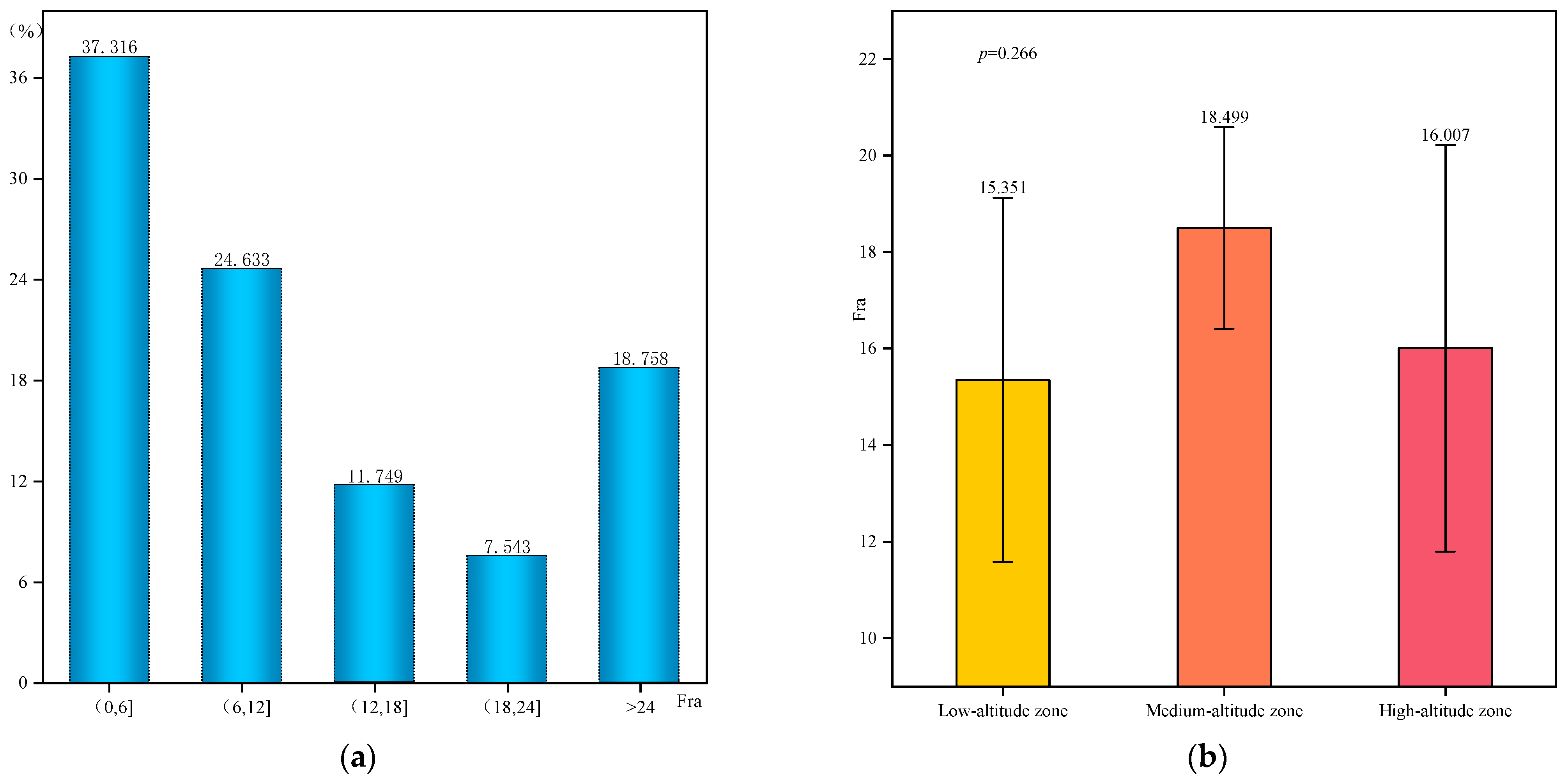
3.1.1. Land Fragmentation Degree
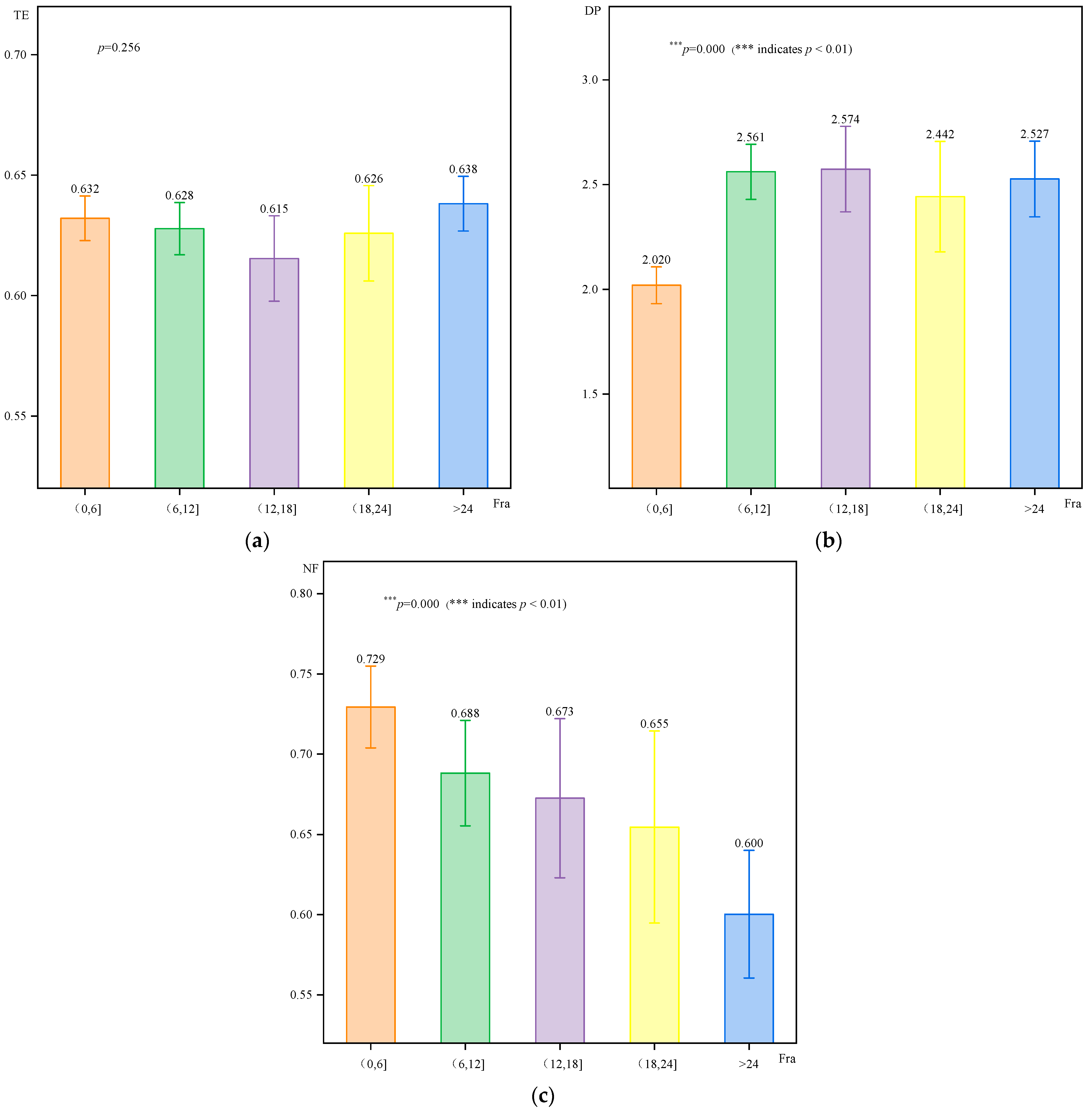
3.1.2. Assessment of Agricultural Technical Efficiency
3.2. Overall Effect of Land Fragmentation on Agricultural Technical Efficiency
3.3. Impact of Land Fragmentation on Mediating Variables
3.4. Mediating Effect Analysis of Land Fragmentation on Agricultural Technical Efficiency
3.4.1. Mediating Effect of Crop Diversification
3.4.2. Mediating Effect of Household Part-Time Farming
3.5. Robustness Tests
3.5.1. Regression Model Stability Test
3.5.2. U-Shaped Test
4. Discussion
4.1. Analysis of the Impact of Land Fragmentation on Agricultural Technical Efficiency
4.2. Analysis of the Mediating Effects of Crop Diversification and Part-Time Farming
4.3. Deficiencies in Research
5. Conclusions
Author Contributions
Funding
Data Availability Statement
Acknowledgments
Conflicts of Interest
References
- Deng, X.; Gibson, J. Improving Eco-Efficiency for the Sustainable Agricultural Production: A Case Study in Shandong, China. Technol. Forecast. Soc. 2019, 144, 394–400. [Google Scholar] [CrossRef]
- Liu, Y.; Zhou, Y. Reflections on China’s Food Security and Land Use Policy Under Rapid Urbanization. Land Use Policy 2021, 109, 105699. [Google Scholar] [CrossRef]
- Huang, J.; Wei, W.; Cui, Q.; Xie, W. The Prospects for China’s Food Security and Imports: Will China Starve the World Via Imports? J. Integr. Agric. 2017, 16, 2933–2944. [Google Scholar] [CrossRef]
- Tyczewska, A.; Twardowski, T.; Woźniak-Gientka, E. Agricultural Biotechnology for Sustainable Food Security. Trends Biotechnol. 2023, 41, 331–341. [Google Scholar] [CrossRef]
- Mehrabi, Z.; Delzeit, R.; Ignaciuk, A.; Levers, C.; Braich, G.; Bajaj, K.; Amo-Aidoo, A.; Anderson, W.; Balgah, R.A.; Benton, T.G.; et al. Research Priorities for Global Food Security Under Extreme Events. One Earth 2022, 5, 756–766. [Google Scholar] [CrossRef]
- Akter, S. The Effects of Food Export Restrictions on the Domestic Economy of Exporting Countries: A Review. Glob. Food Secur. Agric. 2022, 35, 100657. [Google Scholar] [CrossRef]
- Hu, Q.; Zhao, Y.; Hu, X.; Qi, J.; Suo, L.; Pan, Y.; Song, B.; Chen, X. Effect of Saline Land Reclamation by Constructing the “Raised Field -Shallow Trench” Pattern on Agroecosystems in Yellow River Delta. Agric. Water Manag. 2022, 261, 107345. [Google Scholar] [CrossRef]
- Jiang, C.; Wang, Y.; Yang, Z.; Zhao, Y. Do Adaptive Policy Adjustments Deliver Ecosystem-Agriculture-Economy Co-Benefits in Land Degradation Neutrality Efforts? Evidence From Southeast Coast of China. Environ. Monit. Assess. 2023, 195, 1215. [Google Scholar] [CrossRef] [PubMed]
- Zhang, Q.; Zhang, F.; Wu, G.; Mai, Q. Spatial Spillover Effects of Grain Production Efficiency in China: Measurement and Scope. J. Clean. Prod. 2021, 278, 121062. [Google Scholar] [CrossRef]
- Jiang, Y.; Long, H.; Ives, C.D.; Deng, W.; Chen, K.; Zhang, Y. Modes and Practices of Rural Vitalisation Promoted by Land Consolidation in A Rapidly Urbanising China: A Perspective of Multifunctionality. Habitat Int. 2022, 121, 102514. [Google Scholar] [CrossRef]
- Zhang, C.; Chen, D. Fragmentation Reduction through Farmer-Led Land Transfer and Consolidation? Experiences of Rice Farmers in Wuhan Metropolitan Area, China. Agriculture 2021, 11, 631. [Google Scholar] [CrossRef]
- Niroula, G.S.; Thapa, G.B. Impacts and Causes of Land Fragmentation, and Lessons Learned from Land Consolidation in South Asia. Land Use Policy 2005, 22, 358–372. [Google Scholar] [CrossRef]
- Ntihinyurwa, P.D.; Vries, W.T.D. Farmland Fragmentation and Defragmentation Nexus: Scoping the Causes, Impacts, and the Conditions Determining Its Management Decisions. Ecol. Indic. 2020, 119, 106828. [Google Scholar] [CrossRef]
- Zang, L.; Wang, Y.; Ke, J.; Su, Y. What Drives Smallholders to Utilize Socialized Agricultural Services for Farmland Scale Management? Insights from the Perspective of Collective Action. Land 2022, 11, 930. [Google Scholar] [CrossRef]
- Daniels, T.L.; McCarthy, K.; Lapping, M.B. The Fragmenting Countryside and the Challenge of Retaining Agricultural Land: The Vermont Case. Soc. Nat. Resour. 2023, 36, 40–57. [Google Scholar] [CrossRef]
- Jin, S.; Ma, H.; Huang, J.; Hu, R.; Rozelle, S. Productivity, Efficiency and Technical Change: Measuring the Performance of China’s Transforming Agriculture. J. Prod. Anal. 2010, 33, 191–207. [Google Scholar] [CrossRef]
- Pang, R.; Xu, H.; Zhang, M.; Qian, F. Spatial Correlation and Impact Mechanism Analysis of Cultivated Land Fragmentation and Quality in the Central Plain of Liaoning Province, Northeast China. Land Degrad. Dev. 2023, 34, 4623–4634. [Google Scholar] [CrossRef]
- Zou, L.; Liang, Y.; Hu, X.; Bai, M.; Wen, Q. A Multidimensional Assessment and Analysis of Farmland Fragmentation in the Southeast Coastal Area of China. Land Degrad. Dev. 2023, 34, 4021–4034. [Google Scholar] [CrossRef]
- Binswanger-Mkhize, H.P.; Savastano, S. Agricultural Intensification: The Status in Six African Countries. Food Policy 2017, 67, 26–40. [Google Scholar] [CrossRef]
- Huang, P.C.C. How Has the Chinese Economy Developed So Rapidly? The Concurrence of Five Paradoxical Coincidences. Mod. China 2015, 41, 239–277. [Google Scholar] [CrossRef]
- Ciaian, P.; Guri, F.; Rajcaniova, M.; Drabik, D.; Paloma, S.G.Y. Land Fragmentation and Production Diversification: A Case Study from Rural Albania. Land Use Policy 2018, 76, 589–599. [Google Scholar] [CrossRef]
- Falco, S.D.; Penov, I.; Aleksiev, A.; Rensburg, T.M.V. Agrobiodiversity, Farm Profits and Land Fragmentation: Evidence from Bulgaria. Land Use Policy 2010, 27, 763–771. [Google Scholar] [CrossRef]
- Ntihinyurwa, P.D.; Vries, W.T.D.; Chigbu, U.E.; Dukwiyimpuhwe, P.A. The Positive Impacts of Farm Land Fragmentation in Rwanda. Land Use Policy 2019, 81, 565–581. [Google Scholar] [CrossRef]
- Lu, Y.; Chen, M.; Weng, Z. Drivers of the Peasant Households’ Part-Time Farming Behavior in China. J. Rural Stud. 2022, 93, 112–121. [Google Scholar] [CrossRef]
- Jia, L.; Petrick, M. How Does Land Fragmentation Affect Off-Farm Labor Supply: Panel Data Evidence from China. Agric. Econ.-Blackwell 2014, 45, 369–380. [Google Scholar] [CrossRef]
- Li, J.; Rodriguez, D.; Tang, X.Y. Effects of Land Lease Policy on Changes in Land Use, Mechanization and Agricultural Pollution. Land Use Policy 2017, 64, 405–413. [Google Scholar] [CrossRef]
- Wang, X.; Yamauchi, F.; Huang, J.; Rozelle, S. What Constrains Mechanization in Chinese Agriculture? Role of Farm Size and Fragmentation. China Econ. Rev. 2020, 62, 101221. [Google Scholar] [CrossRef]
- Balogun, O.L.; Akinyemi, B.E.; Adam, E. Land Fragmentation Effects on Technical Efficiency of Cassava Farmers in South-West Geopolitical Zone, Nigeria. Cogent. Soc. Sci. 2017, 3, 1387983. [Google Scholar] [CrossRef]
- Latruffe, L.; Piet, L. Does Land Fragmentation Affect Farm Performance? A Case Study from Brittany, France. Agric. Syst. 2014, 129, 68–80. [Google Scholar] [CrossRef]
- Manjunatha, A.V.; Anik, A.R.; Speelman, S.; Nuppenau, E.A. Impact of Land Fragmentation, Farm Size, Land Ownership and Crop Diversity on Profit and Efficiency of Irrigated Farms in India. Land Use Policy 2013, 31, 397–405. [Google Scholar] [CrossRef]
- Tan, S.; Heerink, N.; Kruseman, G.; Qu, F. Do Fragmented Landholdings Have Higher Production Costs? Evidence from Rice Farmers in Northeastern Jiangxi Province, P.R. China. China Econ. Rev. 2008, 19, 347–358. [Google Scholar] [CrossRef]
- Shi, M.; Paudel, K.P.; Chen, F. Mechanization and Efficiency in Rice Production in China. J. Integr. Agric. 2021, 20, 1996–2008. [Google Scholar] [CrossRef]
- Rahman, S.; Rahman, M. Impact of Land Fragmentation and Resource Ownership on Productivity and Efficiency: The Case of Rice Producers in Bangladesh. Land Use Policy 2009, 26, 95–103. [Google Scholar] [CrossRef]
- Hong, Y.; Heerink, N.; Zhao, M.; Werf, V.D.W. Intercropping Contributes to A Higher Technical Efficiency in Smallholder Farming: Evidence from A Case Study in Gaotai County, China. Agric. Syst. 2019, 173, 317–324. [Google Scholar] [CrossRef]
- Pavel, C.; Miroslava, R.; Guri, F.; Zhllima, E.; Shahu, E. The Impact of Crop Rotation and Land Fragmentation on Farm Productivity in Albania. Stud. Agric. Econ. 2018, 120, 116–125. [Google Scholar] [CrossRef]
- Looga, J.; Jürgenson, E.; Sikk, K.; Matveev, E.; Maasikamäe, S. Land Fragmentation and Other Determinants of Agricultural Farm Productivity: The Case of Estonia. Land Use Policy 2018, 79, 285–292. [Google Scholar] [CrossRef]
- Sherlund, S.M.; Barrett, C.B.; Adesina, A.A. Smallholder Technical Efficiency Controlling for Environmental Production Conditions. J. Dev. Econ. 2002, 69, 85–101. [Google Scholar] [CrossRef]
- Zhao, Q.; Bao, H.X.H.; Zhang, Z. Off-Farm Employment and Agricultural Land Use Efficiency in China. Land Use Policy 2021, 101, 105097. [Google Scholar] [CrossRef]
- Ma, W.; Zheng, H.; Donkor, E.; Owusu, V. Off-Farm Work and Technical Efficiency of Wheat Production: An Analysis Accounting for Multiple Dimensions of Off-Farm Work. Int. J. Sust. Dev. World 2023, 30, 278–294. [Google Scholar] [CrossRef]
- Nguyen, H.Q. Analyzing the Economies of Crop Diversification in Rural Vietnam Using an Input Distance Function. Agric. Syst. 2017, 153, 148–156. [Google Scholar] [CrossRef]
- Rao, X.D. Land Fragmentation with Double Dividends—The Case of Tanzanian Agriculture. Eur. Rev. Agric. Econ. 2019, 46, 609–635. [Google Scholar] [CrossRef]
- Moutinho, V.; Madaleno, M.; Macedo, P.; Robaina, M.; Marques, C. Efficiency in the European Agricultural Sector: Environment and Resources. Environ. Sci. Pollut. R. 2018, 25, 17927–17941. [Google Scholar] [CrossRef] [PubMed]
- Tan, S.; Heerink, N.; Kuyvenhoven, A.; Qu, F. Impact of Land Fragmentation on Rice Producers’ Technical Efficiency in South-East China. NJAS-Wagen J. Life Sc. 2010, 57, 117–123. [Google Scholar] [CrossRef]
- Pei, Y.; Zhu, Y.; Liu, S.; Wang, X.; Cao, J. Environmental Regulation and Carbon Emission: The Mediation Effect of Technical Efficiency. J. Clean. Prod. 2019, 236, 117599. [Google Scholar] [CrossRef]
- Wen, Z.; Zhang, L.; Hou, J.; Tai, L.; Liu, H. Testing and Application of the Mediating Effects. Acta Psychol. Sin. 2004, 36, 614–620. [Google Scholar]
- Wang, Y.; Li, X.; Lu, D.; Yan, J. Evaluating the Impact of Land Fragmentation on the Cost of Agricultural Operation in the Southwest Mountainous Areas of China. Land Use Policy 2020, 99, 105099. [Google Scholar] [CrossRef]
- Li, J.; Zhang, Y. Agriculture and Land Ecology Evolution in the History of China. Agric. Hist. China 2023, 42, 73–81. [Google Scholar]
- Song, J.; Qi, C. The Impact of Transaction Costs on Rural Households’ Selection of Marketing Model of Agriculture: Based on the Investigation of Rural Households Planting Citrus. China Rural Surv. 2011, 5, 33–44. [Google Scholar]
- Chai, J.; Long, L. Factors Influencing Non-Agricultural Employment of Farmers and Herders in the Tibetan Areas of Northwest Sichuan: A Study Based on Survey Data from 315 Poor Households in DC County. Rural Econ. 2019, 9, 93–101. [Google Scholar]
- Tan, S.; Heerink, N.; Qu, F. Land Fragmentation and Its Driving Forces in China. Land Use Policy 2006, 23, 272–285. [Google Scholar] [CrossRef]
- Thapa, G.B.; Niroula, G.S. Alternative Options of Land Consolidation in the Mountains of Nepal: An Analysis Based on Stakeholders’ Opinions. Land Use Policy 2008, 25, 338–350. [Google Scholar] [CrossRef]
- Heider, K.; Rodriguez Lopez, J.M.; García Avilés, J.M.; Balbo, A.L. Land Fragmentation Index for Drip-Irrigated Field Systems in the Mediterranean: A Case Study from Ricote (Murcia, SE Spain). Agric. Syst. 2018, 166, 48–56. [Google Scholar] [CrossRef]
- Lu, H.; Chen, Y.; Huan, H.; Duan, N. Analyzing Cultivated Land Protection Behavior from the Perspective of Land Fragmentation and Farmland Transfer: Evidence from Farmers in Rural China. Front. Env. Sci. 2022, 10, 901097. [Google Scholar] [CrossRef]
- Zhang, Z.; Zhu, L.; Zhang, T. An Empirical Analysis of the Evolution of Farmer Household’s Concurrent Business and Impact on the Land Leased Market in China. Econ. Geogr. 2020, 40, 168–176. [Google Scholar]
- Janus, J.; Markuszewska, I. Land Consolidation–A Great Need to Improve Effectiveness. A Case Study from Poland. Land Use Policy 2017, 65, 143–153. [Google Scholar] [CrossRef]
- Lu, H.; Xie, H.; He, Y.; Wu, Z.; Zhang, X. Assessing the Impacts of Land Fragmentation and Plot Size on Yields and Costs: A Translog Production Model and Cost Function Approach. Agric. Syst. 2018, 161, 81–88. [Google Scholar] [CrossRef]
- Zhu, X.; Zhang, Y.; Zhu, Y. Regional Regulation and Interregional Coordination of Cultivated Land Protection in China from the Perspective of “Greater Food” Approach. Acta Geogr. Sin. 2023, 78, 2147–2162. [Google Scholar]
- Gong, M.; Zhong, Y.; Zhang, Y.; Elahi, E.; Yang, Y. Have the New Round of Agricultural Land System Reform Improved Farmers’ Agricultural Inputs in China? Land Use Policy 2023, 132, 106825. [Google Scholar] [CrossRef]





| Variable | Variable Description | Mean | S. D |
|---|---|---|---|
| Y | Total agricultural income of farmers (yuan) | 26,306.553 | 169,925.454 |
| A | Area of land input in agricultural production (ha) | 0.614 | 2.589 |
| C | Capital input in agricultural production (yuan) | 10,812.559 | 102,480.138 |
| L | Labor input in agricultural production (days) | 328.779 | 1835.796 |
| TE | Agricultural technical efficiency, calculated by SFA model | 0.630 | 0.108 |
| Fra | Land fragmentation, measured by number of plots | 17.395 | 33.147 |
| DP | Number of crop types | 2.345 | 1.304 |
| NF | Proportion of non-farm income to household income | 0.683 | 0.323 |
| HA | Age of household head (years) | 56.760 | 10.767 |
| HH | Disabled = 0, very poor = 1, poor = 2, moderate = 3, good = 4 | 3.511 | 0.834 |
| HE | Illiteracy = 1, Primary school = 2, Middle school = 3, High school or vocational secondary school = 4, College and above = 5 | 2.485 | 0.908 |
| FP | Number of household members | 4.200 | 1.927 |
| FL | Number of household laborers | 2.964 | 1.273 |
| Di | Presence of disabled individuals in the household, No = 0, Yes = 1 | 0.193 | 0.395 |
| Co | Presence of Communist Party members in the household, No = 0, Yes = 1 | 0.149 | 0.356 |
| VL | Presence of village leadership in the household, No = 0, Yes = 1 | 0.009 | 0.093 |
| Variable | Coefficient | Standard Errors | Z | p > |z| |
|---|---|---|---|---|
| constant | 4.315 | 0.123 | 34.950 | 0.000 |
| lnA | 0.371 | 0.027 | 13.500 | 0.000 |
| lnC | 0.526 | 0.020 | 25.970 | 0.000 |
| lnL | 0.098 | 0.014 | 6.900 | 0.000 |
| 0.587 | 0.023 | |||
| 0.614 | 0.059 | |||
| 0.722 | 0.055 | |||
| Log likelihood | 18.26 |
| Variable | Total | Low-Altitude Zone | Medium-Altitude Zone | High-Altitude Zone | ||||
|---|---|---|---|---|---|---|---|---|
| Model 1 | Model 2 | Model 3 | Model 4 | Model 5 | Model 6 | Model 7 | Model 8 | |
| lnFra | −0.002 (−0.882) | −0.018 ** (−2.138) | −0.009 * (−1.713) | −0.012 (−0.743) | −0.002 (−0.755) | −0.024 ** (−2.381) | 0.007 (0.869) | 0.008 (0.312) |
| (lnFra)2 | 0.003 * (1.959) | 0.001 (0.198) | 0.005 ** (2.258) | −0.0001 (0.027) | ||||
| lnHA | −0.018 (−1.208) | −0.018 (−1.173) | 0.020 (0.625) | 0.021 (0.644) | −0.041 ** (−2.055) | −0.041 ** (−2.063) | −0.023 (−0.642) | −0.023 (0.643) |
| HH | 0.012 *** (3.478) | 0.011 *** (3.347) | 0.014 ** (2.198) | 0.014 ** (2.151) | 0.014 *** (3.167) | 0.013 *** (2.998) | 0.001 (0.159) | 0.001 (0.157) |
| HE | 0.004 (1.251) | 0.004 (1.186) | −0.008 (−1.180) | −0.008 (−1.182) | 0.003 (0.797) | 0.003 (0.767) | 0.010 (1.114) | 0.010 (1.115) |
| lnFP | −0.007 (−0.833) | −0.007 (−0.851) | −0.020 (−1.181) | −0.020 (−1.190) | −0.008 (−0.748) | −0.009 (−0.789) | 0.005 (0.208) | 0.005 (0.206) |
| lnFL | 0.018 * (1.796) | 0.018 * (1.849) | 0.020 (0.986) | 0.020 (1.002) | 0.021 * (1.735) | 0.021 * (1.747) | 0.009 (0.334) | 0.009 (0.334) |
| Di | −0.016 * (−1.844) | −0.016 * (−1.812) | −0.021 (−1.227) | −0.021 (−1.216) | −0.018 * (−1.725) | −0.018 * (−1.763) | 0.004 (0.171) | 0.004 (0.168) |
| Co | 0.042 *** (4.323) | 0.041 *** (4.285) | 0.048 ** (2.186) | 0.048 ** (2.189) | 0.044 *** (3.879) | 0.043 *** (3.871) | 0.014 (0.490) | 0.014 (0.490) |
| VL | −0.012 (−0.408) | −0.012 (−0.394) | 0.003 (0.055) | 0.003 (0.070) | −0.024 (−0.607) | −0.027 (−0.681) | −0.041 (−0.324) | −0.041 (−0.324) |
| log likelihood | 1231.63 *** | 1233.55 *** | 279.72 ** | 279.74 * | 784.63 *** | 787.18 *** | 192.07 | 192.07 |
| N | 1498 | 1498 | 299 | 299 | 913 | 913 | 286 | 286 |
| Variable | Total | Low-Altitude Zone | Medium-Altitude Zone | |||
|---|---|---|---|---|---|---|
| lnDP | NF | lnDP | NF | lnDP | NF | |
| lnFra | 0.281 *** (6.891) | −0.065 *** (−8.823) | 0.272 *** (3.100) | −0.140 *** (−9.281) | 0.283 *** (5.339) | −0.044 *** (−5.068) |
| (lnFra)2 | −0.040 *** (−4.794) | −0.033 * (−1.87) | −0.039 *** (−3.574) | |||
| control | Yes | Yes | Yes | Yes | Yes | Yes |
| log likelihood | −1163.58 *** | −329.66 *** | −216.19 *** | −26.95 *** | −736.96 *** | −147.67 *** |
| N | 1498 | 1498 | 299 | 299 | 913 | 913 |
| Variable | Total | Low-Altitude Zone | Medium-Altitude Zone | |||
|---|---|---|---|---|---|---|
| Model 1 | Model 2 | Model 3 | Model 4 | Model 5 | Model 6 | |
| lnFra | −0.023 *** (−2.781) | −0.022 *** (−2.681) | −0.012 ** (−2.092) | −0.012 ** (−2.088) | −0.028 *** (−2.728) | −0.026 ** (−2.602) |
| (lnFra)2 | 0.004 ** (2.420) | 0.004 ** (2.301) | 0.005 ** (2.503) | 0.005 ** (2.355) | ||
| lnDP | 0.020 *** (3.799) | −0.007 (−0.506) | 0.020 * (1.811) | 0.055 * (1.761) | 0.013 ** (2.170) | −0.016 (−0.957) |
| (lnDP)2 | 0.019 ** (2.009) | −0.027 (−1.208) | 0.020 * (1.881) | |||
| control | Yes | Yes | Yes | Yes | Yes | Yes |
| log likelihood | 1240.73 *** | 1242.75 *** | 281.35 ** | 282.08 ** | 789.52 *** | 791.29 *** |
| N | 1498 | 1498 | 299 | 299 | 913 | 913 |
| Variable | Total | Low-Altitude Zone | Medium-Altitude Zone | |||
|---|---|---|---|---|---|---|
| Model 1 | Model 2 | Model 3 | Model 4 | Model 5 | Model 6 | |
| lnFra | −0.020 ** (−2.535) | −0.024 *** (−3.020) | −0.021 ** (−3.596) | −0.023 *** (−3.923) | −0.022 ** (−2.284) | −0.025 ** (−2.642) |
| (lnFra)2 | 0.003 (1.611) | 0.003 * (1.936) | 0.003 (1.695) | 0.004 * (1.905) | ||
| NF | −0.088 *** (−9.922) | 0.119 *** (3.365) | −0.087 *** (−4.314) | 0.145 * (1.904) | −0.094 *** (−8.153) | 0.131 ** (3.087) |
| NF2 | −0.200 *** (−6.032) | −0.220 *** (−3.157) | −0.214 *** (−5.504) | |||
| control | Yes | Yes | Yes | Yes | Yes | Yes |
| log likelihood | 1281.22 *** | 1299.20 *** | 288.75 *** | 293.65 *** | 819.26 *** | 834.16 *** |
| N | 1498 | 1498 | 299 | 299 | 913 | 913 |
| Variable | TE | lnDP | NF | TE | TE |
|---|---|---|---|---|---|
| Model 1 | Model 2 | Model 3 | Model 4 | Model 5 | |
| lnFra | −0.015 * (−1.863) | 0.270 *** (6.613) | −0.065 *** (−8.802) | −0.021 ** (−2.534) | −0.021 *** (−2.617) |
| (lnFra)2 | 0.003 * (1.656) | −0.038 *** (−4.540) | 0.004 ** (2.129) | 0.002 (1.440) | |
| lnDP | 0.021 *** (4.069) | ||||
| (lnDP)2 | |||||
| NF | 0.103 *** (2.934) | ||||
| NF2 | −0.193 *** (−5.846) | ||||
| lnHA | −0.026 * (−1.652) | 0.070 (0.919) | 0.058 (1.329) | −0.027 * (−1.757) | −0.021 (−1.411) |
| HH | 0.011 *** (3.288) | 0.044 ** (2.566) | −0.01 (−1.003) | 0.010 *** (3.027) | 0.010 *** (2.959) |
| HE | 0.003 (0.794) | −0.043 ** (−2.553) | 0.015 (1.538) | 0.004 (1.066) | 0.005 (1.578) |
| lnFP | −0.009 (−1.08) | −0.116 *** (−2.677) | 0.156 *** (6.369) | −0.007 (−0.801) | 0.007 (0.850) |
| lnFL | 0.021 ** (2.076) | 0.181 *** (3.680) | 0.047 * (1.667) | 0.017 * (1.691) | 0.025 *** (2.637) |
| Di | −0.015 * (−1.768) | −0.001 (−0.027) | 0.016 (0.668) | −0.015 * (−1.775) | −0.013 (−1.581) |
| Co | 0.040 *** (4.19) | 0.055 (1.152) | −0.003 (−0.103) | 0.039 *** (4.089) | 0.038 *** (4.157) |
| VL | −0.011 (−0.369) | −0.135 (−0.891) | −0.076 (−0.889) | −0.008 (−0.277) | −0.018 (−0.630) |
| Low-altitude zone | 0.013 (1.449) | −0.109 ** (−2.417) | 0.113 *** (4.435) | 0.015 * (1.708) | 0.025 *** (2.832) |
| Medium-altitude zone | 0.027 *** (3.605) | −0.107 *** (−2.936) | 0.137 *** (6.647) | 0.029 *** (3.922) | 0.039 *** (5.432) |
| High-altitude zone | control | control | control | control | control |
| constant | 0.673 *** (9.968) | 0.056 (0.168) | 0.233 (1.231) | 0.672 *** (10.002) | 0.672 *** (10.427) |
| F | 5.62 *** | 10.39 *** | 24.87 *** | 6.52 *** | 16.25 *** |
| R2 | 0.044 | 0.078 | 0.156 | 0.054 | 0.133 |
| Variable | The “U”-Shaped Relationship of Fragmentation on the Technical Efficiency | Inverted “U”-Shaped Relationship between Fragmentation and Crop Diversification | Inverted “U”-Shaped Relationship of Part-Time Farming on Technical Efficiency | |||
|---|---|---|---|---|---|---|
| Lower Bound | Upper Bound | Lower Bound | Upper Bound | Lower Bound | Upper Bound | |
| Interval | 0.000 | 6.446 | 0.000 | 6.446 | 0.000 | 0.999 |
| Slope | −0.018 | 0.024 | 0.281 | −0.232 | 0.119 | −0.281 |
| t-value | −2.130 | 1.755 | 6.866 | −3.328 | 3.351 | −8.420 |
| p > |t| | 0.017 | 0.040 | 0.000 | 0.001 | 0.001 | 0.000 |
| boundary | lnFra = 2.7 | Fra ≈ 15 | lnFra = 3.6 | Fra ≈ 36 | NP = 0.3 | |
Disclaimer/Publisher’s Note: The statements, opinions and data contained in all publications are solely those of the individual author(s) and contributor(s) and not of MDPI and/or the editor(s). MDPI and/or the editor(s) disclaim responsibility for any injury to people or property resulting from any ideas, methods, instructions or products referred to in the content. |
© 2024 by the authors. Licensee MDPI, Basel, Switzerland. This article is an open access article distributed under the terms and conditions of the Creative Commons Attribution (CC BY) license (https://creativecommons.org/licenses/by/4.0/).
Share and Cite
Zhou, C.; Zhao, Y.; Long, M.; Li, X. How Does Land Fragmentation Affect Agricultural Technical Efficiency? Based on Mediation Effects Analysis. Land 2024, 13, 284. https://doi.org/10.3390/land13030284
Zhou C, Zhao Y, Long M, Li X. How Does Land Fragmentation Affect Agricultural Technical Efficiency? Based on Mediation Effects Analysis. Land. 2024; 13(3):284. https://doi.org/10.3390/land13030284
Chicago/Turabian StyleZhou, Chunfang, Yuluan Zhao, Mingshun Long, and Xiubin Li. 2024. "How Does Land Fragmentation Affect Agricultural Technical Efficiency? Based on Mediation Effects Analysis" Land 13, no. 3: 284. https://doi.org/10.3390/land13030284
APA StyleZhou, C., Zhao, Y., Long, M., & Li, X. (2024). How Does Land Fragmentation Affect Agricultural Technical Efficiency? Based on Mediation Effects Analysis. Land, 13(3), 284. https://doi.org/10.3390/land13030284
