Spatiotemporal Variations in Water Physicochemical Status in Pinios River Catchment, at Eastern Mediterranean Region
Abstract
1. Introduction
2. Materials and Methods
2.1. Study Area

2.2. Sampling and Analysis
2.3. Data Analysis
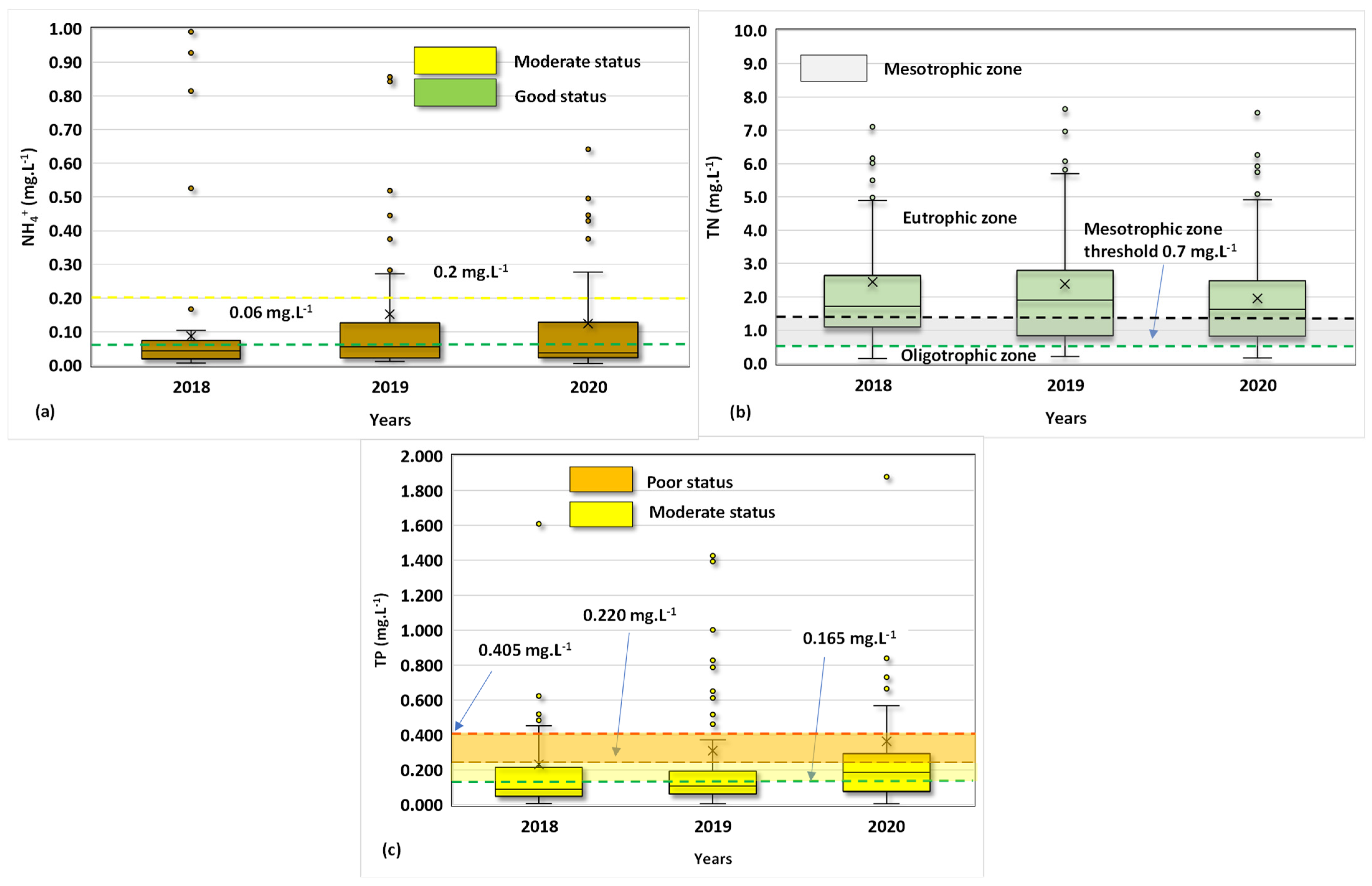
3. Results
3.1. Temporal Variations in Physicochemical Status
3.1.1. Inter Annual Variations
3.1.2. Intra Annual Variations
3.2. Spatial Variations of Chemical–Physicochemical Status
3.3. Management Issues
4. Discussion
5. Conclusions
Supplementary Materials
Author Contributions
Funding
Data Availability Statement
Conflicts of Interest
References
- Directive 75/440/EEC, Official Website of the European Community, Council Directive of 16 June 1975, Concerning the Quality Required of Surface Water Intended for the Abstraction of Drinking Water. Available online: https://eur-lex.europa.eu/legal-content/EN/TXT/PDF/?uri=CELEX:31975L0440 (accessed on 26 April 2024).
- Directive 80/778/EEC, Official Website of the European Community, Council Directive of 15 July 1980 Relating to the Quality of Water Intended for Human Consumption. Available online: https://eur-lex.europa.eu/legal-content/EN/TXT/PDF/?uri=CELEX:31980L0778 (accessed on 26 April 2024).
- Directive 96/91/EC, Official Website of the European Community, Council Directive of 24 September 1996 Concerning Integrated Pollution Prevention and Control. Available online: https://eur-lex.europa.eu/legal-content/EN/TXT/PDF/?uri=CELEX:31996L0061&from=EN (accessed on 26 April 2024).
- Directive 98/83/EC, Official Website of the European Community, Council Directive of 3 November 1998 on the Quality of Water Intended for Human Consumption. Available online: https://eur-lex.europa.eu/legal-content/EN/TXT/PDF/?uri=CELEX:01998L0083-20151027&from=EN (accessed on 26 April 2024).
- UN, LEAP Platform, Official Website Regarding ΕU Council Directive 98/83/EC on the Quality of Water Intended for Human Consumption. Available online: https://leap.unep.org/countries/eu/national-legislation/council-directive-9883ec-quality-water-intended-human-consumption (accessed on 26 April 2023).
- Directive 2000/60/EC, Official Website of the European Community, Establishing a Framework for Community Action in the Field of Water Policy. Available online: https://eur-lex.europa.eu/legal-content/EN/TXT/PDF/?uri=CELEX:02000L0060-20141120 (accessed on 22 August 2024).
- Dallas, H.F. Ecological status assessment in mediterranean rivers: Complexities and challenges in developing tools for assessing ecological status and defining reference conditions. Hydrobiologia 2013, 719, 483–507. [Google Scholar] [CrossRef]
- López-Doval, J.C.; Ginebreda, A.; Caquet, T.; Dahm, C.N.; Petrovic, M.; Barceló, D.; Muñoz, I. Pollution in mediterranean-climate rivers. Hydrobiologia 2013, 719, 427–450. [Google Scholar] [CrossRef]
- Tierno de Figueroa, J.M.; López-Rodríguez, M.J.; Fenoglio, S.; Sánchez-Castillo, P.; Fochetti, R. Freshwater biodiversity in the rivers of the Mediterranean Basin. Hydrobiologia 2013, 719, 137–186. [Google Scholar] [CrossRef]
- Bonada, N.; Resh, V.H. Mediterranean-climate streams and rivers: Geographically separated but ecologically comparable freshwater systems. Hydrobiologia 2013, 719, 1–29. [Google Scholar] [CrossRef]
- Scoullos, M.; Shipman, B.; Merla, A. An integrative methodological framework (IMF) for coastal, river basin and acquifer management towards converging management approaches for Mediterranean coastal zones, UNEP, GWP, MedPartnership. 2015. Available online: https://www.gwp.org/globalassets/global/toolbox/references/imf-guidelines-final.pdf (accessed on 8 November 2023).
- Skoulikidis, N.; Karaouzas, I.; Amaxidis, Y.; Lazaridou, M. Impact of EU Environmental Policy Implementation on the Quality and Status of Greek Rivers. Water 2021, 13, 1858. [Google Scholar] [CrossRef]
- The MerMex Group; Durrieu de Madron, X.; Guieu, C.; Sempéré, R.; Conan, P.; Cossa, D.; D’Ortenzio, F.; Estournel, C.; Gazeau, F.; Rabouille, C.; et al. Marine ecosystems’ responses to climatic and anthropogenic forcings in the Mediterranean. Prog. Oceanogr. 2011, 91, 97–166. [Google Scholar] [CrossRef]
- Lofrano, G.; Libralato, G.; Acanfora, F.G.; Pucci, L.; Carotenuto, M. Which lesson can be learnt from a historical contamination analysis of the most polluted river in Europe? Sci. Total Environ. 2015, 524–525, 246–259. [Google Scholar] [CrossRef]
- Nasta, P.; Palladino, M.; Ursino, N.; Saracino, A.; Sommella, A.; Romano, N. Assessing long-term impact of land-use change on hydrological ecosystem functions in a Mediterranean upland agro-forestry catchment. Sci. Total Environ. 2017, 605–606, 1070–1082. [Google Scholar] [CrossRef]
- Sánchez-Gómez, A.; Martínez-Pérez, S.; Leduc, S.; Sastre-Merlín, A.; Molina-Navarro, E. Streamflow components and climate change: Lessons learnt and energy implications after hydrological modeling experiences in catchments with a Mediterranean climate. Energy Rep. 2023, 9, 277–291. [Google Scholar] [CrossRef]
- Leone, M.; Gentilea, F.; Lo Porto, A.; Ricci, G.F.; De Girolamo, A.M. Setting an ecological flow regime in a Mediterranean basin with limited data availability: The Locone River case study (S-E Italy). Ecohydrol. Hydrobiol. 2023, 23, 346–360. [Google Scholar] [CrossRef]
- Management Plan of the River Basins of Thessalia River Basin District (RBMP)—Summary Sept. 2014, Special Secretariat for Water. Available online: https://wfdver.ypeka.gr/wp-content/uploads/2017/04/files/GR08/GR08_P26b_Perilipsi_En.pdf (accessed on 11 April 2024).
- Corine Land Cover. Copernicus Land Monitoring Service. 2018. Available online: https://land.copernicus.eu/en/map-viewer?product=130299ac96e54c30a12edd575eff80f7 (accessed on 27 February 2024).
- Sargentis, G.F.; Siamparina, P.; Sakki, G.K.; Efstratiadis, A.; Chiotinis, M.; Koutsoyiannis, D. Agricultural Land or Photovoltaic Parks? The Water–Energy–Food Nexus and Land Development Perspectives in the Thessaly Plain, Greece. Sustainability 2021, 13, 8935. [Google Scholar] [CrossRef]
- Skoulikidis, N.; Nikolaidis, N.P.; Panagopoulos, A.; Ficher-Kowalski, M.; Zogaris, S.; Petridis, P.; Pisinaras, V.; Efstathiou, D.; Petanidou, T.; Maneas, G.; et al. The LTER-Greece Environmental Observatory Network: Design and Initial Achievements. Water 2021, 13, 2971. [Google Scholar] [CrossRef]
- Schürings, C.; Globevnik, L.; Lemm, J.U.; Psomas, A.; Snoj, L.; Hering, D.; Birk, S. River Ecological Status Is Shaped by Agricultural Land Use Intensity across Europe. Water Res. 2024, 251, 121136. [Google Scholar] [CrossRef] [PubMed]
- Daliakopoulos, I.N.; Tsanis, I.K.; Koutroulis, A.; Kourgialas, N.N.; Varouchakis, A.E.; Karatzas, G.P.; Ritsema, C.J. The threat of soil salinity: A European scale review. Sci. Total Environ. 2016, 573, 727–739. [Google Scholar] [CrossRef]
- Kairis, O.; Karamanos, A.; Voloudakis, D.; Kapsomenakis, J.; Aratzioglou, C.; Zerefos, C.; Kosmas, C. Identifying Degraded and Sensitive to Desertification Agricultural Soils in Thessaly, Greece, under Simulated Future Climate Scenarios. Land 2022, 11, 395. [Google Scholar] [CrossRef]
- Skoulikidis, N. The state and origin of river water composition in Greece. In The rivers of Greece. In The Handbook of Environmental Chemistry, 1st ed.; Skoulikidis, N., Dimitriou, E., Karaouzas, I., Eds.; Springer: Berlin/Heidelberg, Germany, 2018; pp. 97–128. ISBN 978-3-662-55369-5. [Google Scholar]
- Lambropoulou, D.; Hela, D.; Koltsakidou, A.; Konstantinou, I. Overview of the pesticide residues in greek rivers: Occurrence and environmental risk assessment. In The Rivers of Greece, 1st ed.; Skoulikidis, N., Dimitriou, E., Karaouzas, I., Eds.; Springer: Berlin/Heidelberg, Germany, 2018; pp. 205–240. ISBN 978-3-662-55369-5. [Google Scholar]
- Stamatis, G.; Parpodis, K.; Filintas, A.; Zagana, Ε. Groundwater quality, nitrate pollution and irrigation environmental management in the Neogene sediments of an agricultural region in central Thessaly (Greece). Environ. Earth Sci. 2011, 64, 1081–1105. [Google Scholar] [CrossRef]
- Decision 2008/915/EC, Pursuant to Directive 2000/60/EC of the European Parliament and of the Council, the Values of the Member State Monitoring System Classifications as a Result of the Intercalibration Exercise. Available online: https://eur-lex.europa.eu/legal-content/EN/TXT/HTML/?uri=CELEX:32008D0915 (accessed on 9 May 2023).
- Decision 2013/480/EU, Official Website EU Commission, Pursuant to Directive 2000/60/EC of the European Parliament and of the Council, the Values of the Member State Monitoring System Classifications as a Result of the Intercalibration Exercise and Repealing Decision 2008/915/EC. Available online: https://eur-lex.europa.eu/legal-content/EN/TXT/PDF/?uri=CELEX:32013D0480 (accessed on 3 January 2024).
- National Wastewater Monitoring Network, Greek Ministry of the Environment & Energy. Available online: https://astikalimata.ypeka.gr/wtp (accessed on 20 June 2024).
- European Economic Community (EEC) Directive 91/271, Concerning Urban Waste Water Treatment. Available online: https://eur-lex.europa.eu/legal-content/EN/TXT/PDF/?uri=CELEX:31991L0271 (accessed on 11 April 2024).
- Official Website, Industrial and Business Parks. (ETVA VIPE S.A.). Available online: https://www.etvavipe.gr/industrialareas (accessed on 23 September 2023).
- Panagopoulos, A.; Arampatzis, G.; Tziritis, E.; Pisinaras, V.; Herrmann, F.; Kunkel, R.; Wendland, F. Assessment of climate change impact in the hydrological regime of River Pinios Basin, central Greece. Desalination Water Treat. 2016, 57, 2256–2267. [Google Scholar] [CrossRef]
- Skoulikidis, N.; Amaxidis, Y.; Bertahas, I.; Laschou, S.; Gritzalis, K. Analysis of factors driving stream water composition and synthesis of management tools—A case study on small/medium Greek catchments. Sci. Total Environ. 2006, 362, 205–241. [Google Scholar] [CrossRef]
- Skoulikidis, N.T.; Mentzafou, A. Freshwater and Matter Inputs in the Aegean Coastal System. In The Handbook of Environmental Chemistry; Anagnostou, C.L., Kostianoy, A.G., Mariolakos, I.D., Panayotidis, P., Soilemezidou, M., Tsaltas, G., Eds.; The Aegean Sea Environment; Springer: Cham, Switzerland, 2021; Volume 127, pp. 73–114. [Google Scholar] [CrossRef]
- Hellenic Center of Marine Research (HCMR), Greek River Waterbodies Quality Monitoring Network. Available online: https://wfd.hcmr.gr (accessed on 6 January 2024).
- Skoulikidis, N.T. Defining chemical status of a temporary Mediterranean river. J. Environ. Monit. 2008, 7, 842–852. [Google Scholar] [CrossRef]
- Dodds, W.K.; Jones, J.R.; Welch, E.B. Suggested Classification of Stream Trophic State: Distributions of Temperate Stream Types by Chlorophyll, Total Nitrogen, and Phosphorus. Water Res. 1998, 32, 1455–1462. [Google Scholar] [CrossRef]
- Dodds, W.K. Eutrophication and trophic state in rivers and streams. Limnol. Oceanogr. 2006, 51, 671–680. [Google Scholar] [CrossRef]
- Skoulikidis, T.N.; Vardakas, L.; Amaxidis, Y.; Michalopoulos, P. Biogeochemical processes controlling aquatic quality during drying and rewetting events in a Mediterranean non-perennial river reach. Sci. Total Environ. 2017, 575, 378–389. [Google Scholar] [CrossRef] [PubMed]
- Matiatos, I.; Lazogiannis, K.; Papadopoulos, A.; Skoulikidis, N.T.; Boeckx, P.; Dimitriou, E. Stable isotopes reveal organic nitrogen pollution and cycling from point and non-point sources in a heavily cultivated (agricultural) Mediterranean river basin. Sci. Total Environ. 2023, 901, 166455. [Google Scholar] [CrossRef] [PubMed]
- National Observatory of Athens (NOA), Time Series Climate Data 2006–2018. Available online: https://www.meteo.gr/climatic.cfm (accessed on 16 December 2023).
- Cardoso, A.C.; Duchemin, J.; Magoarou, P.; Premazzi, G. Criteria for the Identification of Freshwaters Subject to Eutrophication; EUR 19810 EN; EC Joint Research Centre: Ispra, Italy, 2001; Available online: https://op.europa.eu/en/publication-detail/-/publication/26a9c3bb-a4c2-11e7-837e-01aa75ed71a1 (accessed on 21 June 2024).
- World Health Organization (WHO). SDE/WSH/03.04/03, Chloride in Drinking-Water. Background Document for Development. WHO Guidelines for Drinking-Water Quality. 2003. Geneva. Available online: https://cdn.who.int/media/docs/default-source/wash-documents/wash-chemicals/chloride.pdf?sfvrsn=f7d7502f_4 (accessed on 27 April 2024).
- Skoulikidis, N.; Vardakas, L.; Karaouzas, I.; Economou, A.; Dimitriou, E.; Zoggaris, S. Assessing water stress in Mediterranean lotic systems; impacts and management implications in an artificially intermittent river (Evrotas River, Greece). Aquat. Sci. Spec. Issue Recent Perspect. Tempor. River Ecol. 2011, 73, 581–597. [Google Scholar] [CrossRef]
- Skoulikidis, N.; Amaxidis, Y. Origin and dynamics of dissolved and particulate nutrients in a minimally disturbed Mediterranean river with intermittent flow. J. Hydrol. 2009, 37, 218–229. [Google Scholar] [CrossRef]
- Sawyer, N.C.; McCarty, L.P.; Parkin, F.G. Chemistry of Environmental Engineering and Science, 5th ed.; Mc Graw Hill Higher Education: New York, NY, USA, 2003; pp. 593–594. [Google Scholar]
- Andrews, S.S.; Caron, S.; Zafiriou, O.C. Photochemical oxygen consumption in marine waters: A major sink for colored dissolved organic matter? Limnol. Oceanogr. 2000, 45, 267–277. [Google Scholar] [CrossRef]
- Osburn, C.L.; Morris, D.P.; Thorn, K.A.; Moeller, R.E. Chemical and optical changes in freshwater dissolved organic matter exposed to solar radiation. Biogeochemistry 2001, 54, 251–278. [Google Scholar] [CrossRef]
- Skoulikidis, Ν. The environmental state of rivers in the Balkans—A review within the DPSIR framework. Sci. Total Environ. 2009, 407, 2501–2516. [Google Scholar] [CrossRef]
- PERSEUS—UNEP/MAP Report. Atlas of Riverine Inputs in the Mediterranean. 2015. Available online: http://www.perseus-net.eu/assets/media/PDF/5567.pdf (accessed on 27 April 2024).
- Hamersley, M.R.; Woebken, D.; Boehrer, B.; Schultze, M.; Lavik, G.; Kuypers, M.M. Water column anammox and denitrification in a temperate permanently stratified lake (Lake Rassnitzer, Germany). Syst. Appl. Microbiol. 2009, 32, 571–582. [Google Scholar] [CrossRef]
- Hu, B.L.; Shen, L.D.; Zheng, P.; Hu, A.H.; Chen, T.T.; Cai, C.; Liu, S.; Lou, L.P. Distribution and diversity of anaerobic ammonium-oxidizing bacteria in the sediments of the Qiantang River. Environ. Microbiol. Rep. 2012, 4, 540–547. [Google Scholar] [CrossRef]
- Moore, T.A.; Xing, Y.; Lazenby, B.; Lynch, M.D.J.; Schiff, S.; Robertson, W.D.; Timlin, R.; Lanza, S.; Ryan, M.C.; Aravena, R.; et al. Prevalence of anaerobic ammoniumoxidizing bacteria in contaminated groundwater. Environ. Sci. Technol. 2011, 4517, 7217–7225. [Google Scholar] [CrossRef] [PubMed]
- Naeher, S.; Huguet, A.; Roose-Amsaleg, C.L.; Laverman, A.M.; Fosse, C.; Lehmann, M.F.; Derenne, S.; Zopfi, J. Molecular and geochemical constraints on anaerobic ammonium oxidation (anammox) in a riparian zone of the Seine Estuary (France). Biogeochemistry. 2015, 123, 237–250. [Google Scholar] [CrossRef]
- Zhu, G.; Wang, S.; Wang, Y.; Wang, C.; Risgaard-Petersen, N.; Jetten, M.S.; Yin, C. Anaerobic ammonia oxidation in a fertilized paddy soil. ISME J 2011, 5, 1905–1912. [Google Scholar] [CrossRef]
- Samantzi, V. Land Use Analysis of the Pinios River Basin to Determine Environmental Pressures. Master’s Thesis, University of Thessaly, Volos, Greece, 2013. (In Greek). [Google Scholar]
- Scholz, M.; Lee, B. Constructed wetlands: A review. Int. J. Environ. Stud. 2005, 62, 421–447. [Google Scholar] [CrossRef]
- Yousaf, A.; Khalid, N.; Aqeel, M.; Noman, A.; Naeem, N.; Sarfraz, W.; Ejaz, U.; Qaiser, Z.; Khalid, A. Nitrogen Dynamics in Wetland Systems and Its Impact on Biodiversity. Nitrogen 2021, 2, 196–217. [Google Scholar] [CrossRef]
- Cameletti, Μ. The Effect of Corona Virus Lockdown on Air Pollution: Evidence from the City of Brescia in Lombardia Region (Italy). Atmos. Environ. 2020, 239, 117794. [Google Scholar] [CrossRef]
- Marcheggiani, S.; Puccinelli, C.; Chiudioni, F.; Mancini, L. COVID-19 Lockdown Pandemic Period Effects in Highly Impacted Aquatic Ecosystems. Environ. Toxicol. Chem. 2023, 42, 966–977. [Google Scholar] [CrossRef]
- Manoiu, V.M.; Kubiak-Wójcicka, K.; Craciun, A.I.; Akman, Ç.; Akman, E. Water Quality and Water Pollution in Time of COVID-19: Positive and Negative Repercussions. Water 2022, 14, 1124. [Google Scholar] [CrossRef]
- Cappelli, F.; Longoni, O.; Rigato, J.; Rusconi, M.; Sala, A.; Fochi, I.; Palumbo, M.T.; Polesello, S.; Roscioli, C.; Salerno, F.; et al. Suspect screening of wastewaters to trace anti-COVID-19 drugs: Potential adverse effects on aquatic environment. Sci. Total Environ. 2022, 824, 153756. [Google Scholar] [CrossRef]
- EC Report on the Implementation of Council Directive 91/676/EEC Concerning the Protection of Waters Against Pollution Caused by Nitrates from Agricultural Sources; Synthesis from Year 2000 Member States Reports; European Commission: Brussels, Belgium. 2002. Available online: https://eur-lex.europa.eu/LexUriServ/LexUriServ.do?uri=COM:2002:0407:FIN:EN:PDF (accessed on 21 June 2024).
- Regulation (EU) 2020/741 on Minimum Requirements for Water Reuse, Official Journal. Available online: https://eur-lex.europa.eu/legal-content/EN/TXT/PDF/?uri=CELEX:32020R0741&from=EN (accessed on 28 October 2023).
- European Directive 2020/2184 on the Quality of Water Intended for Human Consumption. Available online: https://eur-lex.europa.eu/legal-content/EN/TXT/PDF/?uri=CELEX:32020L2184 (accessed on 11 April 2024).
- Psomas, A.; Dagalaki, V.; Panagopoulos, Y.; Konsta, D.; Mimikou, M. Sustainable agricultural water management in Pinios River Basin using remote sensing and hydrologic modeling. Procedia Eng. 2016, 162, 277–283. [Google Scholar] [CrossRef]
- United Nations, 2030 Agenda for Sustainable Development, 17 Goals. Available online: https://www.un.org/sustainabledevelopment/development-agenda/ (accessed on 11 April 2024).
- Cooper, S.D.; Lake, P.S.; Sabater, S.; Melack, J.M.; Sabo, J.L. The effects of land use changes on streams and rivers in mediterranean climates. Hydrobiologia 2013, 719, 383–425. [Google Scholar] [CrossRef]
- Evelpidou, N.; Cartalis, C.; Karkani, A.; Saitis, G.; Philippopoulos, K.; Spyrou, E. A GIS-Based Assessment of Flood Hazard through Track Records over the 1886–2022 period in Greece. Climate 2023, 11, 226. [Google Scholar] [CrossRef]
- Directive 91/676/EEC, Official Website of the European Community, Council Directive of 12 December 1991 Concerning the Protection of Waters Against Pollution Caused by Nitrates from Agricultural Sources. Available online: https://eur-lex.europa.eu/legal-content/EN/TXT/PDF/?uri=CELEX:01991L0676-20081211 (accessed on 26 April 2024).
- Greek Ministerial Decision, 1848/278812, Code of Good Agricultural Practice for Water Protection from Nitrate Pollution of Agricultural Origin. Available online: https://www.elinyae.gr/sites/default/files/2021-11/4855b_2021.pdf (accessed on 11 April 2024).
- The European Commission. White Paper. Adapting to Climate Change; Towards a European Framework for Action, COM(2009) 147 Final, Brussels: Council of the European Communities. 2009. Available online: https://eur-lex.europa.eu/LexUriServ/LexUriServ.do?uri=COM:2009:0147:FIN:EN:PDF (accessed on 26 April 2024).
- Mourmouris, A.; Le Visage, C.; Snoussi, M.; Grimes, S.; Ramieri, E. The Way to a Regional Framework for ICZM in the Mediterranean (2017–2021), Background Document, UNEP/MAP/RACs/PAP. 2016. Available online: https://iczmplatform.org/storage/documents/V3RA2ZpELMDhSV15pZaMLysgeH3Y6ZuumzcQqtZn.pdf (accessed on 11 April 2024).
- European Commission. Communication from the Commission to the European Parliament, the Council, the European Economic and Social Committee and the Committee of the Regions, Forging a Climate-Resilient Europe—The New EU Strategy on Adaptation to Climate Change, COM(2021), 82 Final, Brussels. 2021. Available online: https://eur-lex.europa.eu/legal-content/EN/TXT/PDF/?uri=CELEX:52021DC0082&from=EN (accessed on 20 April 2024).
- Dalezios, N.R.; Angelakis, A.N.; Eslamian, S. Water scarcity management: Part 1: Methodological framework. Environ. Sci. Eng. Int. J. Glob. Environ. Issues 2018, 17, 1–40. [Google Scholar] [CrossRef]
- Lansbury Hall, N.; Ross, H.; Richards, R.; Barrington, D.A.; Dean, A.J.; Head, B.W.; Jagals, P.; Reid, S.; Hill, P.S. Implementing the United Nations’ sustainable development goals for water and beyond in Australia: A proposed systems approach. Australas. J. Water Resour. 2018, 22, 29–38. [Google Scholar] [CrossRef]
- Tsalis, T.A.; Malamateniou, K.E.; Koulouriotis, D.; Nikolaou, I.E. New challenges for corporate sustainability reporting: United Nations’ 2030 Agenda for sustainable development and the sustainable development goals. Corp. Soc. Responsib. Environ. Manag. 2020, 27, 1617–1629. [Google Scholar] [CrossRef]
- United Nations. Global Indicator Framework for the Sustainable Development Goals and Targets of the 2030 Agenda for Sustainable Development, A/RES/71/313.E/CN.3/2021/2. 2021. Available online: https://unstats.un.org/sdgs/indicators/Global%20Indicator%20Framework%20after%20refinement_Eng.pdf (accessed on 2 December 2023).
- Eberle, U.; Wenzig, J.; Mumm, N. Assessing the contribution of products to the United Nations’ Sustainable Development Goals: A methodological proposal. Int. J. Life Cycle Assess. 2022, 27, 959–977. [Google Scholar] [CrossRef]






| A/A | Description | ID Code | Internal River Type | WGS 84 | |
|---|---|---|---|---|---|
| 1 | ELASSON_MD | EL0816R000202310N200 | RM-2 | 39.87154 | 22.14997 |
| 2 | ENIPEA | EL0816R000206023N050 | RM-3 | 39.56352 | 22.08793 |
| 3 | KIT_TRIK | EL0816R000214050N050 | RM-4 | 39.53001 | 21.77237 |
| 4 | KLOKOTO | EL0816R000210143N050 | RM-2 | 39.57768 | 22.00542 |
| 5 | KOUSBASAN | EL0816R000204018H050 | RM-5 | 39.62813 | 22.49353 |
| 6 | LITHEO_DW | EL0816R000210042N050 | RM-4 | 39.53783 | 21.89975 |
| 7 | MAGULA | EL0816R000202310N250 | RM-5 | 39.81298 | 22.08429 |
| 8 | MAKRY | EL0816R000206228N050 | RM-1 | 39.25533 | 22.14608 |
| 9 | MEGA | EL0816R000208040N050 | RM-2 | 39.52941 | 22.01166 |
| 10 | MELISSA | EL0816R000000064A050 | RM-2 | 39.55914 | 22.64729 |
| 11 | NEOXOR | EL0816R000210144N050 | RM-5 | 39.62949 | 22.02573 |
| 12 | OMOLIO_DW | EL0816R000201002N250 | VERY-LARGE | 39.90307 | 22.63763 |
| 13 | P004 | EL0816R000201002N300 | VERY-LARGE | 39.92188 | 22.70157 |
| 14 | P028 | EL0816R000201002N200 | VERY-LARGE | 39.89149 | 22.60745 |
| 15 | P061 | EL0816R000200004N050 | VERY-LARGE | 39.85138 | 22.51186 |
| 16 | P073 | EL0816R000200005N050 | VERY-LARGE | 39.80690 | 22.39901 |
| 17 | P088 | EL0816R000200015N100 | RM-3 | 39.78782 | 22.38942 |
| 18 | P223 | EL0816R000200022N250 | RM-4 | 39.59194 | 22.22036 |
| 19 | P263 | EL0816R000200022N300 | RM-4 | 39.58204 | 22.11037 |
| 20 | P266 | EL0816R000200039N150 | RM-4 | 39.56857 | 22.07846 |
| 21 | P300 | EL0816R000200039N100 | RM-4 | 39.52668 | 21.94005 |
| 22 | P388 | EL0816R000200053N100 | RM-4 | 39.63924 | 21.63874 |
| 23 | PAMISOS | EL0816R000212048N050 | RM-4 | 39.47621 | 21.81038 |
| 24 | PIN_IND | EL0816R000200015N150 | RM-3 | 39.71346 | 22.43364 |
| 25 | PORTAIK | EL0816R000216051N150 | RM-4 | 39.52651 | 21.71220 |
| 26 | SKOPIA | EL0816R000206038N100 | RM-4 | 39.15482 | 22.49110 |
| 27 | TERPSITHEA | EL0816R000200020N050 | RM-3 | 39.63472 | 22.35500 |
| 28 | TITAR_DW | EL0816R000202006N050 | RM-3 | 39.78685 | 22.38000 |
| 29 | TITAR_MD | EL0816R000202007N100 | RM-5 | 39.71589 | 22.18866 |
| 30 | T_XINIADA | EL0816R000206235A050 | RM-1 | 39.11937 | 22.16460 |
| Station Description | C-P Status Moderate | C-P Status Poor | C-P Status Bad | TP Limit Exceedance | P-PO4 Limit Exceedance | N-NH4 Limit Exceedance | N-NO3 Limit Exceedance | DO Limit Exceedance |
|---|---|---|---|---|---|---|---|---|
| ELASSON_MD | 4 | 4 | 0 | 8 | 8 | 6 | 2 | 6 |
| ENIPEA | 2 | 1 | 0 | 2 | 2 | 3 | 2 | 3 |
| KOUSBASAN | 2 | 2 | 0 | 3 | 3 | 3 | 2 | 1 |
| LITHEO_DW | 0 | 5 | 4 | 9 | 9 | 7 | 9 | 9 |
| MAGULA | 5 | 0 | 0 | 5 | 5 | 3 | 1 | 3 |
| MAKRY | 4 | 1 | 0 | 4 | 4 | 3 | 5 | 3 |
| MEGA | 1 | 0 | 0 | 0 | 1 | 1 | 1 | 1 |
| MELISSA | 6 | 1 | 0 | 7 | 7 | 1 | 7 | 6 |
| P061 | 3 | 0 | 0 | 2 | 3 | 2 | 3 | 1 |
| P073 | 2 | 0 | 0 | 2 | 2 | 1 | 2 | 1 |
| P088 | 4 | 0 | 0 | 4 | 4 | 2 | 4 | 2 |
| P223 | 5 | 0 | 0 | 4 | 5 | 3 | 4 | 3 |
| P263 | 4 | 0 | 0 | 3 | 4 | 3 | 4 | 4 |
| P266 | 2 | 2 | 0 | 4 | 4 | 3 | 4 | 3 |
| P300 | 2 | 3 | 0 | 5 | 5 | 3 | 5 | 5 |
| PIN_IND | 0 | 3 | 0 | 3 | 3 | 3 | 3 | 2 |
| PORTAIK | 1 | 2 | 0 | 2 | 3 | 3 | 3 | 1 |
| T_XINIADA | 1 | 0 | 0 | 1 | 1 | 1 | 1 | 0 |
| TERPSITHEA | 4 | 0 | 0 | 4 | 4 | 2 | 4 | 2 |
| TITAR_DW | 2 | 0 | 0 | 2 | 1 | 1 | 2 | 2 |
| TITAR_MD | 3 | 1 | 0 | 3 | 4 | 4 | 4 | 0 |
| Sum | 57 | 25 | 4 | 69 | 74 | 52 | 70 | 52 |
Disclaimer/Publisher’s Note: The statements, opinions and data contained in all publications are solely those of the individual author(s) and contributor(s) and not of MDPI and/or the editor(s). MDPI and/or the editor(s) disclaim responsibility for any injury to people or property resulting from any ideas, methods, instructions or products referred to in the content. |
© 2024 by the authors. Licensee MDPI, Basel, Switzerland. This article is an open access article distributed under the terms and conditions of the Creative Commons Attribution (CC BY) license (https://creativecommons.org/licenses/by/4.0/).
Share and Cite
Giakoumatos, S.D.V.; Skoulikidis, N.T.; Karavoltsos, S.; Sakellari, A.; Dimitriou, E. Spatiotemporal Variations in Water Physicochemical Status in Pinios River Catchment, at Eastern Mediterranean Region. Land 2024, 13, 1959. https://doi.org/10.3390/land13111959
Giakoumatos SDV, Skoulikidis NT, Karavoltsos S, Sakellari A, Dimitriou E. Spatiotemporal Variations in Water Physicochemical Status in Pinios River Catchment, at Eastern Mediterranean Region. Land. 2024; 13(11):1959. https://doi.org/10.3390/land13111959
Chicago/Turabian StyleGiakoumatos, Stephanos D. V., Nikolaos T. Skoulikidis, Sotirios Karavoltsos, Aikaterini Sakellari, and Elias Dimitriou. 2024. "Spatiotemporal Variations in Water Physicochemical Status in Pinios River Catchment, at Eastern Mediterranean Region" Land 13, no. 11: 1959. https://doi.org/10.3390/land13111959
APA StyleGiakoumatos, S. D. V., Skoulikidis, N. T., Karavoltsos, S., Sakellari, A., & Dimitriou, E. (2024). Spatiotemporal Variations in Water Physicochemical Status in Pinios River Catchment, at Eastern Mediterranean Region. Land, 13(11), 1959. https://doi.org/10.3390/land13111959

