Trends and Future Directions in Analysing Attractiveness of Geoparks Using an Automated Merging Method of Multiple Databases—R-Based Bibliometric Analysis
Abstract
1. Introduction
- Q1: How do we automatically merge multiple databases? How do we remove duplicate papers from merged databases? Is it possible in one step?
- Q2: What is the research trend in the field of geopark attractiveness in terms of academic production, performance and productivity?
- Q3: What is the spatial gap in research literature?
- Q4: What are the functional diversity factors of attractiveness?
- Q5: What is the future three-dimensional research direction: spatial, temporal and dimensional (size) in the field of geopark attractiveness?
2. Materials and Methods
2.1. Data Sources
2.2. Eligibility Criteria
2.3. Search Strategy Data Retrieve
2.4. Automated Method for Merging the Databases Results and Removing Duplicates
2.5. Quality Check—Validation of Documents
3. Results
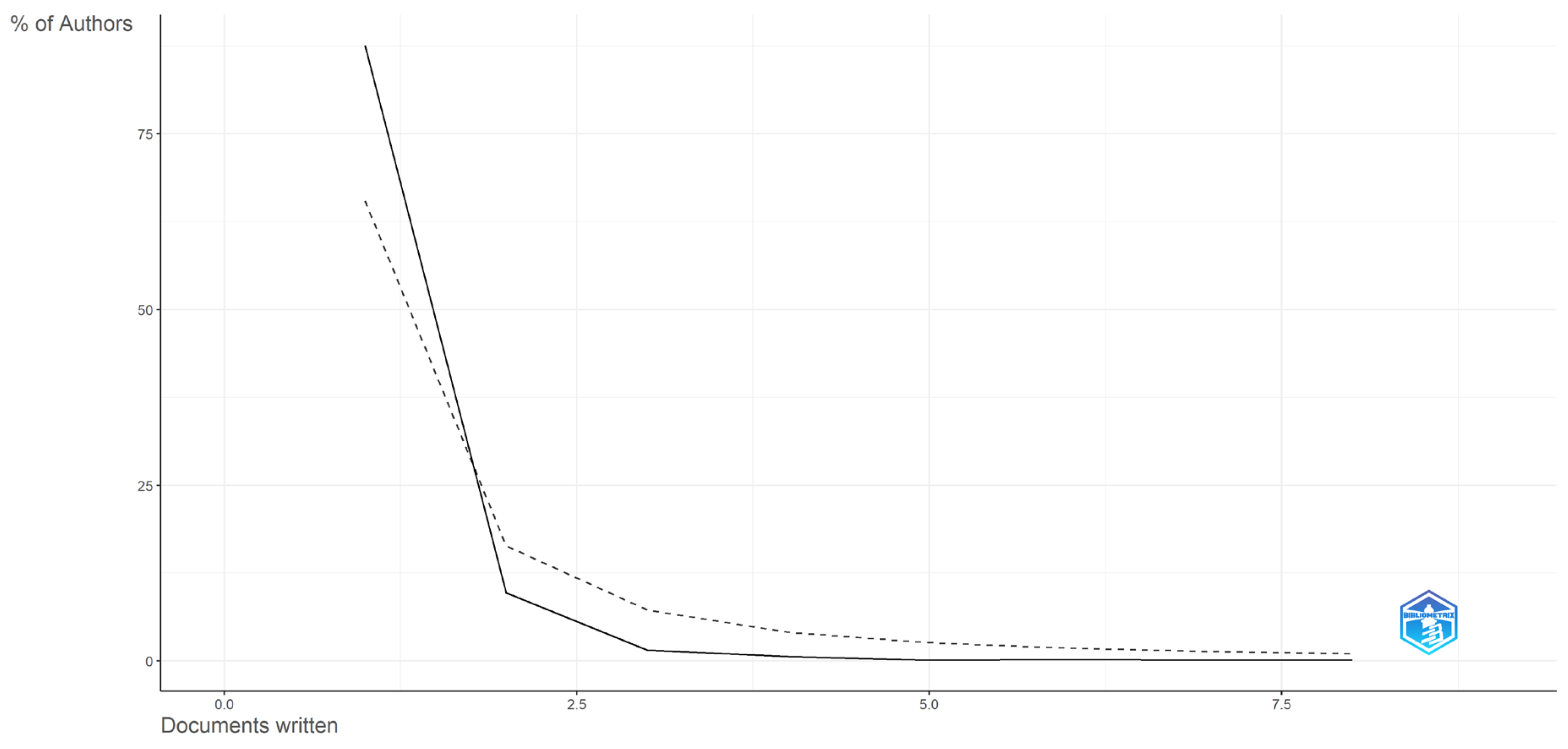
3.1. Academic Production, Performance, and Productivity
3.2. Spatial Distribution of Country’s Scientific Production and Cooperation
3.3. Topic Trend
3.4. Abstract’s Strategic Mapping
3.5. Factorial Approach/Factorial Analysis of the Abstracts. Conceptual Map of the Relational Structure
- The purple cluster—“national park”, “geological features”, “cultural heritage”, “world heritage”, and “heritage sites”;
- The red cluster—“global geopark”, “UNESCO global” and “geopark network”;
- The green cluster—“geological heritage”, “economic development” and “attract tourist”;
- The orange cluster—“tourism product”, “cultural diversity”, “tourism activities” and “geopark tourism”;
- The brown cluster—“geopark development” and “data analysis”;
- The blue cluster—“tourism industry”, “tourism development”, “natural resources”, “tourism destination”, “sustainable tourism”, “tourist destinations”, “local community”, “geotourism development”, “national geopark”, “sustainable development”, “tourist attraction”, “scientific educational”, “local communities” and “swot analysis”.
4. Discussion
4.1. Automated Merging Method of Multiple Databases
4.2. Trend
4.3. Benefits of the Study
4.4. Limitations of the Study
4.5. Suggestion for Future Research
5. Conclusions
- Tourism—potential forms of tourism practiced in geoparks, especially ecotourism and volcanic tourism;
- Geomorphological features—mineral springs and mud volcanoes;
- Aesthetic aspects—scenic sites and mining heritage;
- Methodology—data analysis and modelling methods across different regions and countries.
Supplementary Materials
Author Contributions
Funding
Institutional Review Board Statement
Informed Consent Statement
Data Availability Statement
Conflicts of Interest
References
- Keever, P.J.M.; Zouros, N. Geoparks: Celebrating Earth heritage, sustaining local communities. Epis. J. Int. Geosci. 2005, 28, 274–278. [Google Scholar] [CrossRef] [PubMed]
- Pásková, M.; Zelenka, J.; Ogasawara, T.; Zavala, B.; Astete, I. The ABC Concept—Value Added to the Earth Heritage Interpretation? Geoheritage 2021, 13, 38. [Google Scholar] [CrossRef]
- Migoń, P.; Pijet-Migoń, E. Non-Uniform Distribution of Geoheritage Resources in Geoparks—Problems, Challenges and Opportunities. Resources 2024, 13, 23. [Google Scholar] [CrossRef]
- Ólafsdóttir, R.; Dowling, R. Geotourism and Geoparks-A Tool for Geoconservation and Rural Development in Vulnerable Environments: A Case Study from Iceland. Geoheritage 2014, 6, 71–87. [Google Scholar] [CrossRef]
- Rohaendi, N.; Salajar, R.T.; Prata, D.A.; Oktariadi, O. Mining-based tourism in Sawahlunto National Geopark. Int. J. Appl. Sci. Tour. Events 2022, 6, 151–163. [Google Scholar] [CrossRef]
- Mank, B. Protecting the Environment for Future Generations: A Proposal for a Republican Superagency. NYU Entvl. LJ 1996, 5, 444. [Google Scholar]
- United Nations. United Nations Conference on Environment and Development, Rio de Janeiro, Brazil, 3–14 June 1992. Available online: https://www.un.org/en/conferences/environment/rio1992 (accessed on 15 September 2024).
- United Nations. The Paris Agreement; United Nations: New York, NY, USA, 2016; Available online: https://unfccc.int/sites/default/files/resource/parisagreement_publication.pdf (accessed on 16 September 2024).
- Savisaar, E.E. United Nations A/CONF.238/9, Report. In Proceedings of the International Meeting “Stockholm+50: A Healthy Planet for the Prosperity of All—Our Responsibility, Our Opportunity”, Pursuant to General, Assembly Resolutions 75/280 and 75/326, Stockholm, Sweden, 2–3 June 2022. [Google Scholar]
- UNESCO. UNESCO Global Geoparks. Available online: https://www.unesco.org/en/iggp/geoparks/about (accessed on 26 February 2024).
- Gałka, E. The Development of Geotourism and Geoeducation in the Holy Cross Mountains Region (Central Poland). Quaest. Geogr. 2023, 42, 19–27. [Google Scholar] [CrossRef]
- Zhang, Y. Types and scientific values of geological relics in Xinglong Geopark. Arab. J. Geosci. 2020, 13, 1280. [Google Scholar] [CrossRef]
- Lippolis, E.; Sabato, L.; Spalluto, L.; Tropeano, M. Geotourism around Poggiorsini: Unexpected geological elements for a sustainable tourism in internal areas of Murge (Puglia, southern Italy). Rend. Soc. Geol. Ital. 2023, 59, 152–158. [Google Scholar] [CrossRef]
- Grigorescu, D.A. Paleontological Heritage and its Conservation in the UNESCO European Geoparks. Geoconserv. Res. 2021, 4, 6–24. [Google Scholar] [CrossRef]
- Grigorescu, D.A. Dinosaur Eggs and Babies in the UNESCO Global Geopark Network ‘Hațeg Country’ Dinosaur Geopark (Romania). Geoconserv. Res. 2021, 4, 492–512. [Google Scholar] [CrossRef]
- Tropeano, M.; Caldara, M.A.; de Santis, V.; Festa, V.; Parise, M.; Sabato, L.; Spalluto, L.; Francescangeli, R.; Iurilli, V.; Mastronuzzi, G.A.; et al. Geological Uniqueness and Potential Geotouristic Appeal of Murge and Premurge, the First Territory in Puglia (Southern Italy) Aspiring to Become a UNESCO Global Geopark. Geosciences 2023, 13, 131. [Google Scholar] [CrossRef]
- Pérez-Romero, M.E.; Álvarez-García, J.; Flores-Romero, M.B.; Jiménez-Islas, D. UNESCO Global Geoparks 22 Years after Their Creation: Analysis of Scientific Production. Land 2023, 12, 671. [Google Scholar] [CrossRef]
- Eder, W. “UNESCO GEOPARKS”—A new initiative for protection and sustainable development of the Earth’s heritage. Neues Jahrb. Geol. Palaontol.-Abh. 1999, 214, 353–358. [Google Scholar] [CrossRef]
- Prosser, C.D.; King, A.H. The conservation of historically important geological and geomorphological sites in England. Geol. Cur. 1999, 7, 27–33. [Google Scholar] [CrossRef]
- Xun, Z.; Milly, W. National geoparks initiated in China: Putting geoscience in the service of society. Episodes 2002, 25, 33–37. [Google Scholar] [CrossRef]
- Xun, Z.; Ting, Z. The socio-economic benefits of establishing National Geoparks in China. Episodes 2003, 26, 302–309. [Google Scholar] [CrossRef]
- Zouros, N. The European Geoparks Network—Geological heritage protection and local development. Episodes 2004, 27, 165–171. [Google Scholar] [CrossRef]
- Nowlan, G.S.; Bobrowsky, P.; Clague, J. Protection of geological heritage: A North American perspective on Geoparks. Episodes 2004, 27, 172–176. [Google Scholar] [CrossRef]
- Brilha, J. Inventory and Quantitative Assessment of Geosites and Geodiversity Sites: A Review. Geoheritage 2016, 8, 119–134. [Google Scholar] [CrossRef]
- Zouros, N. Geomorphosite assessment and management in protected areas of greece case study of the lesvos island coastal geomorphosites. Geogr. Helv. 2007, 62, 169–180. [Google Scholar] [CrossRef]
- Fassoulas, C.; Mouriki, D.; Dimitriou-Nikolakis, P.; Iliopoulos, G. Quantitative Assessment of Geotopes as an Effective Tool for Geoheritage Management. Geoheritage 2012, 4, 177–193. [Google Scholar] [CrossRef]
- Comănescu, L.; Nedelea, A. The assessment of geodiversity—A premise for declaring the geopark Buzăului County (Romania). J. Earth. Syst. Sci. 2012, 121, 1493–1500. [Google Scholar] [CrossRef]
- Henriques, M.H.; Brilha, J. UNESCO Global Geoparks: A strategy towards global understanding and sustainability. Episodes 2017, 40, 349–355. [Google Scholar] [CrossRef]
- Kubalíková, L. Assessing Geotourism Resources on a Local Level: A Case Study from Southern Moravia (Czech Republic). Resources 2019, 8, 150. [Google Scholar] [CrossRef]
- Farsani, N.T.; Coelho, C.; Costa, C. Geotourism and geoparks as novel strategies for socio-economic development in rural areas. Int. J. Tour. Res. 2011, 13, 68–81. [Google Scholar] [CrossRef]
- Dowling, R.K. Geotourism’s Global Growth. Geoheritage 2011, 3, 1–13. [Google Scholar] [CrossRef]
- Newsome, D.; Dowling, R.; Leung, Y.-F. The nature and management of geotourism: A case study of two established iconic geotourism destinations. Tour. Manag. Perspect. 2012, 2–3, 19–27. [Google Scholar] [CrossRef]
- O’Connor, P.J. The role of geotourism in supporting regeneration in disadvantaged rural communities in Ireland. In Sustainable Tourism, Proceedings of the 3rd International Conference on Sustainable Tourism, Valletta, Malta, 3–5 September 2008; WIT Press: Wessex, UK, 2008; pp. 267–275. [Google Scholar]
- Wójtowicz, B.; Strachowka, R.; Strzyz, M. The perspectives of the development of tourism in the areas of geoparks in Poland. Procedia—Soc. Behav. Sci. 2011, 19, 150–157. [Google Scholar] [CrossRef][Green Version]
- Hose, T.A. The English Origins of Geotourism (as a Vehicle for Geoconservation) and Their Relevance to Current Studies. AGS 2011, 51, 343–359. [Google Scholar] [CrossRef]
- Kikuchi, T.; Arima, T. Construction of Geotourism and Its Contribution to the Sustainability of Regional Development in Australia. J. Geogr. Chigaku Zasshi 2011, 120, 743–760. [Google Scholar] [CrossRef][Green Version]
- Gordon, J.E. Geoheritage, Geotourism and the Cultural Landscape: Enhancing the Visitor Experience and Promoting Geoconservation. Geosciences 2018, 8, 136. [Google Scholar] [CrossRef]
- Štrba, Ľ.; Kolačkovská, J.; Kudelas, D.; Kršák, B.; Sidor, C. Geoheritage and Geotourism Contribution to Tourism Development in Protected Areas of Slovakia—Theoretical Considerations. Sustainability 2020, 12, 2979. [Google Scholar] [CrossRef]
- Ólafsdóttir, R. Geotourism. Geosciences 2019, 9, 48. [Google Scholar] [CrossRef]
- Cai, Y.; Zhang, Z.; Liu, B.; Chen, Y.; Zhang, Y. The Importance of Interpretation in Promoting Geotourism to the Daigu Landform. Geoheritage 2024, 16, 66. [Google Scholar] [CrossRef]
- Zhang, J.; Li, D.; Li, M.; Lockley, M.G.; Bai, Z. Diverse dinosaur-, pterosaur-, and bird-track assemblages from the Hakou Formation, Lower Cretaceous of Gansu Province, northwest China. Cretac. Res. 2006, 27, 44–55. [Google Scholar] [CrossRef]
- Bernardi, M.; Boschele, S.; Ferretti, P.; Avanzini, M. Echinoid Burrow Bichordites monastiriensis from the Oligocene of NE Italy. Acta Palaeontol. Pol. 2010, 55, 479–486. [Google Scholar] [CrossRef]
- Botfalvai, G.; Csiki-Sava, Z.; Grigorescu, D.; Vasile, Ş. Taphonomical and palaeoecological investigation of the Late Cretaceous (Maastrichtian) Tuştea vertebrate assemblage (Romania; Haţeg Basin)—Insights into a unique dinosaur nesting locality. Palaeogeogr. Palaeoclimatol. Palaeoecol. 2017, 468, 228–262. [Google Scholar] [CrossRef]
- Stárková, M.; Rapprich, V.; Breitkreuz, C. Variable eruptive styles in an ancient monogenetic volcanic field: Examples from the Permian Levín Volcanic Field (Krkonoše Piedmont Basin, Bohemian Massif). Jour. Geosci. 2012, 56, 163–180. [Google Scholar] [CrossRef][Green Version]
- Szepesi, J.; Harangi, S.; Ésik, Z.; Novák, T.J.; Lukács, R.; Soós, I. Volcanic Geoheritage and Geotourism Perspectives in Hungary: A Case of an UNESCO World Heritage Site, Tokaj Wine Region Historic Cultural Landscape, Hungary. Geoheritage 2017, 9, 329–349. [Google Scholar] [CrossRef]
- Xing, L. A new Dromaeosauripus (Dinosauria: Theropoda) ichnospecies from the Lower Cretaceous Hekou Group, Gansu Province, China. Acta Palaeontol. Pol. 2012, 58, 723–730. [Google Scholar] [CrossRef]
- Wu, Z.; Zhao, X.; Ma, Y.; Zhao, X.; Zhao, T.; Yang, S.; Gao, L. Late Cenozoic Geomorphology, Geochronology and Physiography of Yuntaishan in Southern Taihang Mountain, North China. Acta Geol. Sin. 2010, 84, 230–239. [Google Scholar] [CrossRef]
- Zgłobicki, W.; Poesen, J.; Cohen, M.; del Monte, M.; García-Ruiz, J.M.; Ionita, I.; Niacsu, L.; Machová, Z.; Martín-Duque, J.F.; Nadal-Romero, E.; et al. The Potential of Permanent Gullies in Europe as Geomorphosites. Geoheritage 2019, 11, 217–239. [Google Scholar] [CrossRef]
- Raukas, A.; Stankowski, W. The Kaali crater field and other geosites of Saaremaa Island (Estonia): The perspectives for a geopark. Geologos 2010, 16, 59–68. [Google Scholar] [CrossRef]
- Rejanne Alencar Julião Cabral, N.; Lenice Nogueira da Gama Mota, T. Geoconservação em áreas Protegidas: O Caso do GeoPark Araripe—CE. Nat. Conserv. 2010, 8, 184–186. [Google Scholar] [CrossRef]
- Henriques, M.H.; dos Reis, R.P.; Brilha, J.; Mota, T. Geoconservation as an Emerging Geoscience. Geoheritage 2011, 3, 117–128. [Google Scholar] [CrossRef]
- Röhling, H.-G.; Schmidt-Thomé, M. Geoscience for the public: Geotopes and National GeoParks in Germany. Epis. J. Int. Geosci. 2004, 27, 279–283. [Google Scholar] [CrossRef]
- Azman, N.; Halim, S.A.; Liu, O.P.; Saidin, S.; Komoo, I. Public Education in Heritage Conservation for Geopark Community. Procedia—Soc. Behav. Sci. 2010, 7, 504–511. [Google Scholar] [CrossRef]
- Henriques, M.H.; Tomaz, C.; Sá, A.A. The Arouca Geopark (Portugal) as an educational resource: A case study. Episodes 2012, 35, 481–488. [Google Scholar] [CrossRef]
- Catana, M.M.; Brilha, J.B. The Role of UNESCO Global Geoparks in Promoting Geosciences Education for Sustainability. Geoheritage 2020, 12, 1. [Google Scholar] [CrossRef]
- Zafeiropoulos, G.; Drinia, H.; Antonarakou, A.; Zouros, N. From Geoheritage to Geoeducation, Geoethics and Geotourism: A Critical Evaluation of the Greek Region. Geosciences 2021, 11, 381. [Google Scholar] [CrossRef]
- Justice, S.C. UNESCO Global Geoparks, Geotourism and Communication of the Earth Sciences: A Case Study in the Chablais UNESCO Global Geopark, France. Geosciences 2018, 8, 149. [Google Scholar] [CrossRef]
- Cuilin, L. Optimization Model for Geoheritage Landscape Resources Management Based on Benefit-Sharing in Xinjiang. Energy Procedia 2011, 5, 1060–1064. [Google Scholar] [CrossRef][Green Version]
- Bouzekraoui, H.; Barakat, A.; El Youssi, M.; Touhami, F.; Mouaddine, A.; Hafid, A.; Zwoliński, Z. Mapping Geosites as Gateways to the Geotourism Management in Central High-Atlas (Morocco). Quaest. Geogr. 2018, 37, 87–102. [Google Scholar] [CrossRef]
- Alsbach, C.M.E.; Seijmonsbergen, A.C.; Hoorn, C. Geodiversity in the Amazon drainage basin. Phil. Trans. R. Soc. A. 2024, 382, 20230065. [Google Scholar] [CrossRef]
- Štrba, Ľ.; Vravcová, A.; Podoláková, M.; Varcholová, L.; Kršák, B. Linking Geoheritage or Geosite Assessment Results with Geotourism Potential and Development: A Literature Review. Sustainability 2023, 15, 9539. [Google Scholar] [CrossRef]
- Stoffelen, A. Where is the community in geoparks? A systematic literature review and call for attention to the societal embedding of geoparks. Area 2020, 52, 97–104. [Google Scholar] [CrossRef]
- Herrera-Franco, G.; Montalván-Burbano, N.; Carrión-Mero, P.; Jaya-Montalvo, M.; Gurumendi-Noriega, M. Worldwide Research on Geoparks through Bibliometric Analysis. Sustainability 2021, 13, 1175. [Google Scholar] [CrossRef]
- Ferreira, D.R.; Valdati, J. Geoparks and Sustainable Development: Systematic Review. Geoheritage 2023, 15, 6. [Google Scholar] [CrossRef]
- Mikhailenko, A.V.; Yashalova, N.N.; Ruban, D.A. Environmental Pollution in Geopark Management: A Systematic Review of the Literary Evidence. Int. J. Environ. Res. Public Health 2022, 19, 4748. [Google Scholar] [CrossRef]
- Formica, S.; Uysal, M. Destination Attractiveness Based on Supply and Demand Evaluations: An Analytical Framework. J. Travel Res. 2006, 44, 418–430. [Google Scholar] [CrossRef]
- Lew, A.A. A framework of tourist attraction research. Ann. Tour. Res. 1987, 14, 553–575. [Google Scholar] [CrossRef]
- Bibliometrix. Bibliographic Databases Supported by Bibliometrix and Biblioshiny: Characteristics and Differences. Available online: https://www.bibliometrix.org/home/index.php/blog/134-bibliographic-databases-supported-by-bibliometrix-and-biblioshiny-characteristics-and-differences (accessed on 14 September 2024).
- AlRyalat, S.A.S.; Malkawi, L.W.; Momani, S.M. Comparing Bibliometric Analysis Using PubMed, Scopus, and Web of Science Databases. J. Vis. Exp. 2019, 152, e58494. [Google Scholar] [CrossRef]
- Singh, V.K.; Singh, P.; Karmakar, M.; Leta, J.; Mayr, P. The journal coverage of Web of Science, Scopus and Dimensions: A comparative analysis. Scientometrics 2021, 126, 5113–5142. [Google Scholar] [CrossRef]
- Herzog, C.; Hook, D.; Konkiel, S. Dimensions: Bringing down barriers between scientometricians and data. Quant. Sci. Stud. 2020, 1, 387–395. [Google Scholar] [CrossRef]
- Suárez, D.; Peralta, M.J.; Piedra, Y.; Navarro, M.A. Thematic coverage of CRIS in WoS, Scopus and Dimensions (2000–2020). Procedia Comput. Sci. 2022, 211, 170–186. [Google Scholar] [CrossRef]
- Bibliometrix. Data Importing and Converting. Available online: https://www.bibliometrix.org/vignettes/Data-Importing-and-Converting.html (accessed on 23 January 2024).
- Wagner, A.B. A Practical Comparison of Scopus and Web of Science. Available online: https://surface.syr.edu/nyscilib/70/ (accessed on 23 January 2024).
- Visser, M.; van Eck, N.J.; Waltman, L. Large-scale comparison of bibliographic data sources: Scopus, Web of Science, Dimensions, Crossref, and Microsoft Academic. Quant. Sci. Stud. 2021, 2, 20–41. [Google Scholar] [CrossRef]
- Aria, M.; Cuccurullo, C. bibliometrix: An R-tool for comprehensive science mapping analysis. J. Informetr. 2017, 11, 959–975. [Google Scholar] [CrossRef]
- Chaerani, D.; Shuib, A.; Perdana, T.; Irmansyah, A.Z. Systematic Literature Review on Robust Optimization in Solving Sustainable Development Goals (SDGs) Problems during the COVID-19 Pandemic. Sustainability 2023, 15, 5654. [Google Scholar] [CrossRef]
- Bibliometrix. Home. Available online: https://www.bibliometrix.org/home/ (accessed on 2 June 2024).
- Aria, M. Massimoaria/Bibliometrix 2024. Available online: https://github.com/massimoaria/bibliometrix (accessed on 28 June 2024).
- Package ‘bibliometrix’; 4.0.0; University of Naples Federico II: Naples, Italy, 2023.
- Bibliometrix. Source: R/mergeDbSources.R. Available online: https://rdrr.io/cran/bibliometrix/src/R/mergeDbSources.R (accessed on 23 March 2024).
- Kim, K.; Moon, J.; Kim, H. Contribution to sustainable regional development of geoparks. jgsk 2023, 59, 395–404. [Google Scholar] [CrossRef]
- Insani, N.; Narmaditya, B.; Habibi, M.; Majid, Z.; A’rachman, F. Mobile GIS Application for Supporting Edutourism at UNESCO Global Geopark Batur Bali, Indonesia. IOP Conf. Ser. Earth Environ. Sci. 2022, 1039, 012043. [Google Scholar] [CrossRef]
- Mihardja, E.J.; Alisjahbana, S.; Agustini, P.M.; Sari, D.A.P.; Pardede, T.S. Forest wellness tourism destination branding for supporting disaster mitigation: A case of Batur UNESCO Global Geopark, Bali. Int. J. Geoheritage Parks 2023, 11, 169–181. [Google Scholar] [CrossRef]
- Büyükkidik, S. A Bibliometric Analysis: A Tutorial for the Bibliometrix Package in R Using IRT Literature. J. Geol. Soc. Korea 2022, 13, 164–193. [Google Scholar] [CrossRef]
- Girão, I.; Gomes, E.; Pereira, P.; Rocha, J. Trends in High Nature Value Farmland and Ecosystem Services Valuation: A Bibliometric Review. Land 2023, 12, 1952. [Google Scholar] [CrossRef]
- Xie, H.; Zhang, Y.; Zeng, X.; He, Y. Sustainable land use and management research: A scientometric review. Landsc. Ecol. 2020, 35, 2381–2411. [Google Scholar] [CrossRef]
- De Oliveira, V.T.; Teixeira, D.; Rocchi, L.; Boggia, A. Trends in sustainability assessment supported by geographic information systems: A bibliometric approach. Environ. Sci. Policy 2023, 141, 117–125. [Google Scholar] [CrossRef]
- Lv, T.; Wang, L.; Xie, H.; Zhang, X.; Zhang, Y. Exploring the Global Research Trends of Land Use Planning Based on a Bibliometric Analysis: Current Status and Future Prospects. Land 2021, 10, 304. [Google Scholar] [CrossRef]
- Erfurt-Cooper, P. Geotourism in Volcanic and Geothermal Environments: Playing with Fire? Geoheritage 2011, 3, 187–193. [Google Scholar] [CrossRef]
- Paskova, M. The Usage of Local and Indigenous Knowledge in the Management of Geotourism Destinations. In Proceedings of the 14th SGEM GeoConference on Ecology, Economics, Education and Legislation, Albena, Bulgaria, 29 June–8 July 2024. [Google Scholar]
- Ruban, D.A. Water in Descriptions of Global Geoparks: Not Less Important than Geology? Water 2019, 11, 1866. [Google Scholar] [CrossRef]
- Mikhailenko, A.; Ruban, D. Geo-Heritage Specific Visibility as an Important Parameter in Geo-Tourism Resource Evaluation. Geosciences 2019, 9, 146. [Google Scholar] [CrossRef]
- Lotka, A.J. The frequency distribution of scientific productivity. J. Wash. Acad. Sci. 1926, 16, 317–324. [Google Scholar]
- Amsaveni, N.; Batcha, M.S. Applicability of lotka’s Law in the Journal of Advances in Geosciences Publications: A Scientometrics Study. Int. J. Inf. Dissem. Technol. 2019, 9, 70. [Google Scholar] [CrossRef]
- Chaturbhuj, S.B.; Sadik Batcha, M. Application of Lotka’s Law to the research productivity in the field of Thermodynamics during 2015–2019. Libr. Philos. Pract. 2020, 4523. [Google Scholar]
- Friedman, A. The Power of Lotka’s Law Through the Eyes of R. Rom. Stat. Rev. 2015, 2, 69–77. [Google Scholar]
- Bradford, S.C. Sources of Information on Scientific Subjects. Eng. Illus. Wkly. J. 1934, 137, 85–86. [Google Scholar]
- Wardikar, V.G.V. Application of Bradford’s Law of Scattering to the Literature of Library & Information Science: A study of doctoral theses citations submitted to the Universities of Maharashtra, India. Libr. Philos. Pract. 2013, 15, 1–45. Available online: https://digitalcommons.unl.edu/libphilprac/1054 (accessed on 23 January 2024).
- Aria, M. Massimoaria/Bibliometrix; Version 3.2.1; GitHub: San Francisco, CA, USA, 2022; Available online: https://github.com/massimoaria/bibliometrix3.2.1 (accessed on 28 June 2024).
- Gałaś, A.; Paulo, A.; Gaidzik, K.; Zavala, B.; Kalicki, T.; Churata, D.; Gałaś, S.; Mariño, J. Geosites and Geotouristic Attractions Proposed for the Project Geopark Colca and Volcanoes of Andagua, Peru. Geoheritage 2018, 10, 707–729. [Google Scholar] [CrossRef]
- Aliyev, A.; Huseynov, D.; Abbasov, O.; Rashidov, T.; Kangarli, I. Mud Volcanoes of Azerbaijan: The Unique Natural Objects of the Geoheritage. Geoheritage 2024, 16, 20. [Google Scholar] [CrossRef]
- Rohaendi, N.; Herlinawati, H. Developing sustainable geotourism as post-mining land use programs in Indonesia. J. Degrad. Min. Lands Manag. 2024, 11, 5181–5193. [Google Scholar] [CrossRef]
- Tang, Y.; Liang, Y. Staged authenticity and nostalgia of mining tourists in the Jiayang mining Geo-park of China. J. Tour. Cult. Change 2023, 21, 169–187. [Google Scholar] [CrossRef]
- Becerra-Ramírez, R.; Gosálvez, R.U.; Escobar, E.; González, E.; Serrano-Patón, M.; Guevara, D. Characterization and Geotourist Resources of the Campo de Calatrava Volcanic Region (Ciudad Real, Castilla-La Mancha, Spain) to Develop a UNESCO Global Geopark Project. Geosciences 2020, 10, 441. [Google Scholar] [CrossRef]
- Miśkiewicz, K.; Jan, G.; Waśkowska, A.; Doktor, M.; Slomka, T. Flysch Carpathians and their mineral waters cross-border geopark. Prz. Geol. 2011, 59, 611–621. [Google Scholar]
- Erfurt-Cooper, P.; Sigurdsson, H.; Lopes, R.M.C. Volcanoes and Tourism. In The Encyclopedia of Volcanoes; Elsevier: Amsterdam, The Netherlands, 2015; pp. 1295–1311. [Google Scholar] [CrossRef]
- Clius, M. An Evaluation Matrix for Ecotourism Potential in Certain Categories of Protected Areas in Romania. Case Studies: National Parc, Nature Parc, Geopark. In Proceedings of the 14th International Multidisciplinary Scientific Geoconference and EXPO, Albena, Bulgaria, 17–26 June 2014. [Google Scholar]
- Xu, K.; Yan, B.; Lei, L. The Comparative Research on the Operation Models of Tourist Attractions in the Shangri-La Region. In Proceedings of the 2009 First International Conference on Information Science and Engineering, Washinton, DC, USA, 26–28 December 2009; IEEE: Nanjing, China, 2009; pp. 4551–4555. [Google Scholar]
- Soesanto, H.; Maarif, M.S.; Anwar, S.; Yurianto, Y. Current Trend, Future Direction, and Enablersof e-Waste Management: Bibliometric Analysisand Literature Review. Pol. J. Environ. Stud. 2023, 32, 3455–3465. [Google Scholar] [CrossRef] [PubMed]
- Cobo, M.J.; López-Herrera, A.G.; Herrera-Viedma, E.; Herrera, F. Science mapping software tools: Review, analysis, and cooperative study among tools. J. Am. Soc. Inf. Sci. Technol. 2011, 62, 1382–1402. [Google Scholar] [CrossRef]
- Zahrani, N.; Mubarak, A. Analisis SWOT untuk Strategi Pengembangan Objek Wisata Geopark Silokek di Nagari Silokek oleh Dinas Pariwisata Pemuda dan Olahraga Kabupaten Sijunjung. Ranah Res. J. Multidiscip. Res. Dev. 2022, 5, 38–44. [Google Scholar] [CrossRef]
- Al Mohaya, J.; Elassal, M. Assessment of Geosites and Geotouristic Sites for Mapping Geotourism: A Case Study of Al-Soudah, Asir Region, Saudi Arabia. Geoheritage 2023, 15, 7. [Google Scholar] [CrossRef]
- Nyulas, J.; Dezsi, Ș.; Haidu, I.; Magyari-Sáska, Z.; Niță, A. Attractiveness Assessment Model for Evaluating an Area for a Potential Geopark—Case Study: Hațeg UNESCO Global Geopark (Romania). Land 2024, 13, 148. [Google Scholar] [CrossRef]
- Abdi, H.; Valentin, D. Multiple Correspondence Analysis. Encycl. Meas. Stat. 2 2007, 4, 651–657. [Google Scholar]
- Weller, S.; Romney, A. Metric Scaling; SAGE Publications, Inc.: Newbury Park, CA, USA, 1990; ISBN 978-0-8039-3750-5. [Google Scholar]
- Kristia, K.; Kovács, S.; Bács, Z.; Rabbi, M.F. A Bibliometric Analysis of Sustainable Food Consumption: Historical Evolution, Dominant Topics and Trends. Sustainability 2023, 15, 8998. [Google Scholar] [CrossRef]
- Liu, B.; Song, W.; Sun, Q. Status, Trend, and Prospect of Global Farmland Abandonment Research: A Bibliometric Analysis. Int. J. Environ. Res. Public Health 2022, 19, 16007. [Google Scholar] [CrossRef]
- Petchey, O.L.; Gaston, K.J. Dendrograms and measuring functional diversity. Oikos 2007, 116, 1422–1426. [Google Scholar] [CrossRef]
- Kim, M.J.; Kim, C.-J.; Yu, E.-J. Degree of Self-Understanding Through “Self-Guided Interpretation” in Yeoncheon, Hantan River UNESCO Geopark: Focusing onReadability and Curriculum Relevance. J. Korean Earth Sci. Soc. 2023, 44, 655–674. [Google Scholar] [CrossRef]
- Manco-Jaraba, D.C.; Reyes, C.A.R.; Alarcón, Ó.M.C. Geotourism Potential and Challenges in the Archipelago of San Andrés, Providencia, and Santa Catalina (Colombia). Turismo Soc. 2024, 34, 67–110. [Google Scholar] [CrossRef]
- Makongoro, M.Z.; Vegi, M.R.; Vuai, S.A.H.; Msabi, M.M. Radiometric dating of the Ootun palaeosol and its implication for the age of the Shifting Sand in Ngorongoro Lengai Geopark (Arusha, Tanzania). Logos 2022, 28, 203–215. [Google Scholar] [CrossRef]
- Vdovets, M.S.; Silantiev, V.V.; Mozzherin, V.V. A National Geopark in the Republic of Tatarstan (Russia): A Feasibility Study. Geoheritage 2010, 2, 25–37. [Google Scholar] [CrossRef]
- Lushchyk, M.; Mokryy, V.; Moscvyak, Y.; Teodorovych, L. Assessment of the Tourist Attractiveness of Global Geoparks in Europe. VKNUGEOL 2022, 3, 15–22. [Google Scholar] [CrossRef]
- Farsani, N.T.; Coelho, C.O.A.; Costa, C.M.M.; Amrikazemi, A. Geo-knowledge Management and Geoconservation via Geoparks and Geotourism. Geoheritage 2014, 6, 185–192. Available online: https://link.springer.com/article/10.1007/s12371-014-0099-7 (accessed on 23 January 2024). [CrossRef]
- Singh, B.V.R.; Sen, A.; Verma, L.M.; Mishra, R.; Kumar, V. Assessment of potential and limitation of Jhamarkotra area: A perspective of geoheritage, geo park and geotourism. Int. J. Geoheritage Parks 2021, 9, 157–171. [Google Scholar] [CrossRef]
- Ghazi, I.; Ghadiri, N. Assessing Geotourism Capabilities of Kavir National Park by Applying the. J. Environ. Stud. 2012, 37, 65–78. [Google Scholar]
- Petchey, O.L.; Hector, A.; Gaston, K.J. How do Different Measures of Functional Diversity Perform? Ecology 2004, 85, 847–857. [Google Scholar] [CrossRef]
- Ratnayake, S.S.; Reid, M.; Larder, N.; Kariyawasam, C.S.; Hunter, C.; Hunter, D.; Dharmasena, P.B.; Pushpakumara, G.; Kogo, B. Sustainability and Productivity of Village Tank Cascade Systems: A Bibliometric Analysis and Knowledge Mapping. Sustainability 2024, 16, 3360. [Google Scholar] [CrossRef]
- Xu, T.; Tian, M. Progress and Tendency of Research on the National Geopark Tourism Services System in China. In Proceedings of the 2009 International Conference on Management and Service Science, Wuhan, China, 16–18 September 2009; IEEE: Beijing, China, 2009; pp. 1–9. [Google Scholar]
- Van Eck, N.J.; Waltman, L. CitNetExplorer: A new software tool for analyzing and visualizing citation networks. J. Informetr. 2014, 8, 802–823. [Google Scholar] [CrossRef]
- Van Eck, N.J.; Waltman, L. Software survey: VOSviewer, a computer program for bibliometric mapping. Scientometrics 2010, 84, 523–538. [Google Scholar] [CrossRef]
- Cobo, M.; López-Herrera, A.G.; Herrera-Viedma, E.; Herrera, F. SciMAT: A new science mapping analysis software tool. J. Assoc. Inf. Sci. Technol. 2012, 63, 1609–1630. [Google Scholar] [CrossRef]
- Bailón-Moreno, R.; Jurado-Alameda, E.; Ruiz-Baños, R.; Courtial, J.P. Analysis of the field of physical chemistry of surfactants with the Unified Scienctometric Model. Fit of relational and activity indicators. Scientometrics 2005, 63, 259–276. [Google Scholar] [CrossRef]
- Chen, C. CiteSpace II: Detecting and visualizing emerging trends and transient patterns in scientific literature. J. Am. Soc. Inf. Sci. 2006, 57, 359–377. [Google Scholar] [CrossRef]
- Grauwin, S.; Sperano, I. Bibliomaps—A software to create web-based interactive maps of science: The case of UX map. Proc. Assoc. Info. Sci. Tech. 2018, 55, 815–816. [Google Scholar] [CrossRef]
- R Core Team. R. The R Project for Statistical Computing, R version 4.4.0; R Foundation: Vienna, Austria, 2024; Available online: https://www.r-project.org/ (accessed on 9 May 2024).
- Abafe, E.A.; Bahta, Y.T.; Jordaan, H. Exploring Biblioshiny for Historical Assessment of Global Research on Sustainable Use of Water in Agriculture. Sustainability 2022, 14, 10651. [Google Scholar] [CrossRef]
- Patel, S.K.; Jhalani, P. Formulation of variables of environmental taxation: A bibliometric analysis of Scopus database (2001–2022). Environ. Dev. Sustain. 2024, 26, 7687–7714. [Google Scholar] [CrossRef]
- El Archi, Y.; Benbba, B.; Zhu, K.; El Andaloussi, Z.; Pataki, L.; Dávid, L.D. Mapping the Nexus between Sustainability and Digitalization in Tourist Destinations: A Bibliometric Analysis. Sustainability 2023, 15, 9717. [Google Scholar] [CrossRef]
- Prahani, B.K.; Rizki, I.A.; Suprapto, N.; Irwanto, I.; Kurtuluş, M.A. Mapping research on scientific creativity: A bibliometric review of the literature in the last 20 years. Think. Ski. Creat. 2024, 52, 101495. [Google Scholar] [CrossRef]
- Zhao, J.; Li, M. Worldwide trends in prediabetes from 1985 to 2022: A bibliometric analysis using bibliometrix R-tool. Front. Public Health 2023, 11, 1072521. [Google Scholar] [CrossRef]
- Lyu, X.; Peng, W.; Yu, W.; Xin, Z.; Niu, S.; Qu, Y. Sustainable intensification to coordinate agricultural efficiency and environmental protection: A systematic review based on metrological visualization. J. Land Use Sci. 2021, 16, 313–338. [Google Scholar] [CrossRef]
- Xie, H.; Zhang, Y.; Wu, Z.; Lv, T. A Bibliometric Analysis on Land Degradation: Current Status, Development, and Future Directions. Land 2020, 9, 28. [Google Scholar] [CrossRef]
- Jayasundara, M.; Kadam, P.; Dwivedi, P. The impact of COVID-19 on the global forestry sector—A bibliometric analysis-based literature review. For. Policy Econ. 2024, 158, 103103. [Google Scholar] [CrossRef]
- Sarfo, I.; Qiao, J.; Effah, N.A.A.; Djan, M.A.; Puplampu, D.A.; Batame, M.; Ayelazuno, R.A.; Yeboah, E.; Allotey, M.K.; Zhu, X. A bibliometric analysis of China’s rural revitalization paradox: Opportunities for collaboration, social innovation and global development. Environ. Dev. Sustain. 2024, 1–43. [Google Scholar] [CrossRef]
- George, B.; Bhatia, N.; Suchithra, T.V. Burgeoning hydrogel technology in burn wound care: A comprehensive meta-analysis. Eur. Polym. J. 2021, 157, 110640. [Google Scholar] [CrossRef]
- Dagli, N.; Haque, M.; Kumar, S. Exploring the Bacteriophage Frontier: A Bibliometric Analysis of Clinical Trials Between 1965 and 2024. Cureus 2024, 16, e56266. [Google Scholar] [CrossRef]
- Dagli, N.; Ahmad, R.; Haque, M.; Kumar, S. Bibliometric Analysis of Research Papers on Academic Stress (1989-2023). Cureus 2024, 16, e55536. [Google Scholar] [CrossRef]
- Rusliana, N.; Komaludin, A.; Firmansyah, M.F. A Scientometric Analysis of Urban Economic Development: R Bibliometrix Biblioshiny Application. J. Ekon. Pembang. 2022, 11, 80–94. [Google Scholar] [CrossRef]
- Verma, P.; Ghosh, P.K. The economics of forest carbon sequestration: A bibliometric analysis. Environ. Dev. Sustain. 2023, 26, 2989–3019. [Google Scholar] [CrossRef]
- Herrera-Franco, G.; Carrión-Mero, P.; Montalván-Burbano, N.; Mora-Frank, C.; Berrezueta, E. Bibliometric Analysis of Groundwater’s Life Cycle Assessment Research. Water 2022, 14, 1082. [Google Scholar] [CrossRef]
- Lobo-Moreira, A.B.; Silva, A.G.D.; Carvalho, R.A.D.; Caramori, S.S. Four decades of natural resources research in Brazil: A scientometric analysis. Rev. Bras. Ciênc. Ambient. 2023, 58, 427–436. [Google Scholar] [CrossRef]
- Janik, A.; Ryszko, A.; Szafraniec, M. Scientific Landscape of Smart and Sustainable Cities Literature: A Bibliometric Analysis. Sustainability 2020, 12, 779. [Google Scholar] [CrossRef]
- Urhan, B.; Hoştut, S.; Güdekli, İ.A.; Aydoğan, H. Climate change and marketing: A bibliometric analysis of research from 1992 to 2022. Environ. Sci. Pollut. Res. 2023, 30, 81550–81572. [Google Scholar] [CrossRef]
- Akwu, N.A.; Lekhooa, M.; Deqiang, D.; Aremu, A.O. Antidepressant effects of coumarins and their derivatives: A critical analysis of research advances. Eur. J. Pharmacol. 2023, 956, 175958. [Google Scholar] [CrossRef]
- Suryana, I.; Chaerani, D.; Muslihin, K.R.A.; Irmansyah, A.Z.; Hadi, S.; Prabuwono, A.S. Systematic literature review on optimization and exploration of retrieval methods digital image of ancient manuscript as an attempt conservation of cultural heritage. Int. J. Data Netw. Sci. 2024, 8, 453–462. [Google Scholar] [CrossRef]
- Echchakoui, S. Why and how to merge Scopus and Web of Science during bibliometric analysis: The case of sales force literature from 1912 to 2019. J. Market. Anal. 2020, 8, 165–184. [Google Scholar] [CrossRef]
- Kasaraneni, H.; Rosaline, S. Automatic Merging of Scopus and Web of Science Data for Simplified and Effective Bibliometric Analysis. Ann. Data. Sci. 2022, 11, 785–802. [Google Scholar] [CrossRef]
- Caputo, A.; Kargina, M. A user-friendly method to merge Scopus and Web of Science data during bibliometric analysis. J. Market. Anal. 2022, 10, 82–88. [Google Scholar] [CrossRef]











| Criteria | Name | Feature |
|---|---|---|
| C1 | Platform | Web of Science, Scopus, PubMed and Dimensions |
| C2 | Documents type | All types |
| C3 | Search field | Title; abstract; keywords |
| C4 | Document accessibility | All (open access and non-open access) |
| C5 | Publisher data range | All years |
| C6 | Query expression main keywords | geopark; attractiveness |
| C7 | Language | Any |
| Database | Level | Query Expression | Records Retrieved |
|---|---|---|---|
| WoS | level 1 | (TI = (geopark* OR “geo-park*”)) OR (AB = (geopark* OR “geo-park*”)) OR (AK = (geopark* OR “geo-park*”)) | 1336 183 |
| level 2 | ((TI = ((“geopark*” OR “geo-park*”) AND (“attract*”))) OR AB = ((“geopark*” OR “geo-park*”) AND (“attract*”)) OR AK = ((“geopark*” OR “geo-park*”) AND (“attract*”))) | ||
| Scopus | level 1 | TITLE-ABS-KEY (“geopark*” OR “geo-park*”) | 1993 |
| level 2 | TITLE-ABS-KEY ((“geopark*” OR “geo-park*”) AND (“attract*”)) | 280 | |
| PubMed | level 1 | geopark*[Title/Abstract] OR “geo-park*”[Title/Abstract] | 49 |
| level 2 | (“geopark*”[Title/Abstract] OR “geo-park*”[Title/Abstract]) AND (“attract*”[Title/Abstract]) | 1 | |
| Dimensions | level 1 | (“geopark” OR “geoparks” OR “geo-park” OR “geo-parks”) NOT (“geo”) NOT(“park”) | 5125 |
| level 2 | ((“geopark” OR “geoparks” OR “geo-park” OR “geo-parks”OR “geo parks”) NOT (“geo”) NOT(“park”)) AND (“attract” OR “attractive” OR “attractively” OR “attractiveness” OR “attractant” OR “attraction”) | 243 | |
| Total level 1—geopark | 8503 | ||
| Total level 2—geopark attractiveness | 707 | ||
| Database 1 | Validation | Export Method | File Format |
|---|---|---|---|
| Web of Science | ☑ | Export Plain text file, choosing “Full Record” and “Cited References” option 2 | Plaintext |
| Scopus | ☑ | Export documents, select all information | csv |
| PubMed | ☑ | Export save citation to file format PubMed | PubMed txt |
| Dimensions | ☑ | Export full record, Excel format version | Excel |
| Phase | Where | Step 1 | Step2 | Step 3 |
|---|---|---|---|---|
| Phase 1. Install bibliometrix package in RStudio | PC RStudio | Install RStudio | Install bibliometrix package in R install.packages (“bibliometrix”) | Activate the Biblioshiny app bibliometrix::biblioshiny() |
| Phase 2. Data importing and conversion to Excel format | Biblioshiny app | Uploading data files retrieved from databases in bibliometrix | Checking the level of completeness of bibliographic metadata | Downloading from bibliometrix Excel data files for R |
| Phase 3. Combine databases and eliminate duplicated documents | RStudio | Uploading data in RStudio | Merge data from databases and eliminate duplicates in one step the documents, using the R command: M <- mergeDbSources(WoS,Scopus,Pubmed,Dimensions,remove.duplicated = T) | Download merged file from R |
| Description | Results | |
|---|---|---|
| GENERAL | Timespan | 2002–2024 |
| Sources | 213 | |
| Documents | 349 | |
| Annual growth rate % | 11.03 | |
| Document average age | 5.35 | |
| Average citations per doc | 5917 | |
| References | 10,183 | |
| DOCUMENT CONTENTS | Keywords plus (ID) | 743 |
| Author’s keywords (DE) | 997 | |
| AUTHORS | Authors | 960 |
| Authors of single-authored docs | 48 | |
| AUTHORS COLLABORATION | Single-authored docs | 59 |
| Co-authors per doc | 3.23 | |
| International co-authorships % | 8.88 |
| Zone | No. of Source | Percentage (S 1) | No. of Papers | Percentage (SP 1) |
|---|---|---|---|---|
| Zone 1 | 14 | 7% | 118 | 34% |
| Zone 2 | 84 | 39% | 116 | 33% |
| Zone 3 | 115 | 54% | 115 | 33% |
| Total | 213 | 100% | 349 | 100% |
Disclaimer/Publisher’s Note: The statements, opinions and data contained in all publications are solely those of the individual author(s) and contributor(s) and not of MDPI and/or the editor(s). MDPI and/or the editor(s) disclaim responsibility for any injury to people or property resulting from any ideas, methods, instructions or products referred to in the content. |
© 2024 by the authors. Licensee MDPI, Basel, Switzerland. This article is an open access article distributed under the terms and conditions of the Creative Commons Attribution (CC BY) license (https://creativecommons.org/licenses/by/4.0/).
Share and Cite
Nyulas, J.; Dezsi, Ș.; Niță, A.; Toma, R.-A.; Lazăr, A.-M. Trends and Future Directions in Analysing Attractiveness of Geoparks Using an Automated Merging Method of Multiple Databases—R-Based Bibliometric Analysis. Land 2024, 13, 1627. https://doi.org/10.3390/land13101627
Nyulas J, Dezsi Ș, Niță A, Toma R-A, Lazăr A-M. Trends and Future Directions in Analysing Attractiveness of Geoparks Using an Automated Merging Method of Multiple Databases—R-Based Bibliometric Analysis. Land. 2024; 13(10):1627. https://doi.org/10.3390/land13101627
Chicago/Turabian StyleNyulas, Judith, Ștefan Dezsi, Adrian Niță, Raluca-Andreea Toma, and Ana-Maria Lazăr. 2024. "Trends and Future Directions in Analysing Attractiveness of Geoparks Using an Automated Merging Method of Multiple Databases—R-Based Bibliometric Analysis" Land 13, no. 10: 1627. https://doi.org/10.3390/land13101627
APA StyleNyulas, J., Dezsi, Ș., Niță, A., Toma, R.-A., & Lazăr, A.-M. (2024). Trends and Future Directions in Analysing Attractiveness of Geoparks Using an Automated Merging Method of Multiple Databases—R-Based Bibliometric Analysis. Land, 13(10), 1627. https://doi.org/10.3390/land13101627

