Next Article in Journal
Comparative Analysis of Animal-Powered Waterwheels in Mediterranean Alluvial Plains: Medjerda (Tunisia) and Jucar Rivers (Spain)
Next Article in Special Issue
Are Drought and Wind Force Driving Factors of Wind Erosion Climatic Erosivity in a Changing Climate? A Case Study in a Landlocked Country in Central Europe
Previous Article in Journal
Farm Business Model on Smart Farming Technology for Sustainable Farmland in Hilly and Mountainous Areas of Japan
Previous Article in Special Issue
Evaluation of Spatial Landscape Changes for the Period from 1998 to 2021 Caused by Extreme Flood Events in the Hornád Basin in Eastern Slovakia
 
 
Font Type:
Arial Georgia Verdana
Font Size:
Aa Aa Aa
Line Spacing:
Column Width:
Background:
Article

Effect of Locally Adapted Conservation Tillage on Runoff, Soil Erosion, and Agronomic Performance in Semiarid Rain-Fed Farming in Ethiopia

1
Ethiopian Institute of Agricultural Research, Melkassa Agricultural Research Center, Adama P.O. Box 436, Ethiopia
2
Aybar Engineering PLC, Woreda 09 Gulele, Addis Ababa 1000, Ethiopia
3
Institute of Technology, Haramaya University, Dire Dawa P.O. Box 138, Ethiopia
4
Stockholm Resilience Center, Box 2142, 103 14 Stockholm, Sweden
5
Department of Earth and Environment, Florida International University, Miami, FL 33199, USA
*
Author to whom correspondence should be addressed.
Land 2023, 12(3), 593; https://doi.org/10.3390/land12030593
Submission received: 1 February 2023 / Revised: 22 February 2023 / Accepted: 27 February 2023 / Published: 2 March 2023

Abstract

An on-farm field experiment on a locally adapted conservation tillage method was undertaken to evaluate its effect on soil erosion, surface runoff, and agronomic parameters. It was conducted on five farmer fields with 3–14% slopes in the Rift Valley and the Eastern escarpment of Ethiopia’s central highlands region for two cropping seasons. The treatments were conventional tillage (CT), repeated ploughing performed with a traditional ox-drawn plough named ‘Maresha’, and minimized contour ploughing (MT) at most twice with a locally adapted sweep-like attachment assembled to Maresha. Surface runoff and soil loss in the MT system were 30 to 60% and 49 to 76% lower than those in the CT system on 3 to 14% slopes, respectively. Despite the wide variation in surface runoff, limited differences in soil water content for the depth from 0 to 20 cm were observed between the treatments. Significant differences (p < 0.05) in grain yields (kg ha−1) of 246 and 323 in the 1st and 2nd growing seasons, respectively, were recorded between the MT and CT treatments. The results of this study demonstrated that the MT system can significantly reduce surface runoff and soil loss while improving crop yields in rainfed smallholder farming systems of Ethiopia.

1. Introduction

A central issue in Sub-Saharan Africa (SSA) is sustainably feeding the ever-increasing human population while accommodating the harmful effects of climate change. Currently, approximately 33.80% or close to 345.90 million people suffer from severe food insecurity [1]. Projected population growth by 2050 in the region will also result in a 70.00% increase in food demand [2]. Under the current scenario of environmental sustainability challenges, an increase in the total population coupled with negative impacts of climatic variability will cause additional pressure on the limited natural resources, and consequently, the sustainability of agriculture will be in question.
Accelerated soil erosion and the alarming extent of land deterioration are the most serious and possibly least reversible environmental problems recognized worldwide [3]. Soil erosion affects agricultural productivity through the removal of fertile soil [4]. It has occurred throughout agricultural activity but intensified since the beginning of the 20th century [5,6]. Apart from accelerated soil erosion and the alarming rate of land degradation, runoff from rainfed crop lands leads to a loss of water resources in semiarid areas [7,8,9,10]. The drying up of rivers and lakes and disruption of the hydrological balance in a watershed is supposed to be partially related to erosion and the sedimentation processes activated by human pressure on dwindling agricultural land resources, speedy land use alteration, conventional farming practices, and watershed geomorphic factors accompanied by a lack of appropriate conservation measures [11].
Different conservation measures and cultivation practices have different impacts on soil erosion, precipitation runoff, and soil health [12,13]. This can be inferred from summarized average annual soil loss rate figures from sloppy croplands, for example, over 42 t/ha yr−1 in Ethiopia [14], 20–25 t/ha yr−1 in the Loess Plateau of China [15], and 10 t/ha yr−1 in the United States and Europe [16], representing developing, emerging (newly industrialized), and developed nations, respectively. The high soil loss rate in Ethiopia stems from the depletion of the vegetation cover, especially the clearing of forests for cultivated land and exploitative farming associated with the loss of topsoil and nutrients as a result of erosion processes and tilling and herding practices going on for centuries [17,18]. Traditional agriculture based on intensive tillage with little or no ground covers and poor land management aggravates soil erosion and land degradation [19].
Tillage is the most important factor contributing to the erosion of sloping farmlands. It is performed to create a fine, weed-free seedbed suitable for germination and seedling establishment [20]. Ethiopian farmers conventionally till their land, regardless of slope, three to six times depending on the crop, soil type, climate, and available power for single cropping in a year with a pair of oxen using the local plough called Maresha. However, traditional agriculture based on intensive tillage has been blamed for being responsible for more runoff generation, accelerated soil erosion and land resource degradation [21,22,23], low energy efficiency, and contributions to global warming problems [24,25]. Tillage and other practices performed up and down field slopes create pathways for surface water runoff and can accelerate the soil erosion process. They aggravate soil erosion depending on the depth, direction, and timing of plowing, the type of tillage equipment, and the number of passes.
To minimize further degradation and maintain the productive capacity of existing lands, conservationists have responded by focusing on the construction of mechanical conservation structures [26]. A complementary approach to protect precious soil and water resources and reclaim degraded lands is the application of conservation agriculture interventions [27,28,29]. Conservation agriculture (CA) is based on the concept of conservation tillage, i.e., reducing tillage and keeping soil covered, with the association of crop rotation principles. Minimum till or no-till practices are effective in reducing soil erosion by water [30]. It is promoted as a sustainable and environmentally friendly system to ensure the availability of soil and to reverse land degradation while increasing crop yields on a sustainable basis, particularly in semiarid conditions [31,32,33]. Under conservation farming, field compaction is kept to a minimum, soil organic matter is increased, early planting is enabled, and labor bottlenecks as well as animal and mechanized power requirements are relieved out of the peak planting period [34].
However, the adoption of conservation tillage varies from region to region. Several researchers have reported increased yields under zero tillage [28,35,36], yet in other circumstances, depressed yields were observed due to zero tillage [37,38,39]. These diverse observations can be attributed to differences in the soil properties, prevailing weather conditions, socioeconomic setup, type of crop grown, and tillage technique adapted, implying the need for locally tailored conservation agriculture interventions. Generally, there is scarce quantitative data on the benefits of CA technologies tailored to local conditions. Therefore, the objective of this paper is to examine the effectiveness of a locally adapted conservation tillage method in reducing soil erosion and surface runoff in the eastern escarpment central highlands of Ethiopia. Specifically, we aim to evaluate the extent of surface runoff, soil erosion, soil moisture retention, and crop yields under a locally adapted conservation tillage technique and conventional tillage practices.

2. Materials and Methods

2.1. Study Site and Farming System

The study was carried out at Bolo Sillase (8°52′39.5″ N and 39°23′52.4″ E), located in the mid-altitude area of the Minjar Shenkora district, 120 km east of Addis Ababa, Ethiopia. It is part of the Eastern Rift Valley towards the escarpment of the central highlands and has an altitude of 1820 m above sea level. A dominant (84%) part of the cultivated landscape of the district is characterized by plane lands and the remaining16% are hilly and mountainous lands. Based on thermal zones and the length of the growing period (LGP), the area is generally categorized under tepid sub-moist mid-highland agroecological zones.
The daily maximum temperature rises to 34.50 °C from March to June; the mean annual temperature is 18.50 °C. The area receives summer rain from June to September, often as intense storms. The annual rainfall is highly variable, ranging between 550 and 800 mm. Late-onset rain, intermittent periodic dry spells, and the early cessation of rain are characteristics of the study area [40].
More than 90% of the population depends on agriculture as their main source of food and income. Agriculture in the district is characterized by its dependence on rain. Fluctuations in annual production with an occasional drastic reduction in crop yields are common in this district and similar climatic zones of Ethiopia. Farmers in the study sites practice mixed farming, with the overall farming system strongly oriented towards grain production as a source of livelihood. All agricultural activities are carried out using animal power and human muscle. Tillage is exclusively carried out using the traditional plough called Maresha, which is pulled by a pair of oxen.

2.2. Experimental Setup

The study employed five trial fields and involved five partner farmers selected on the basis of their willingness and the location accessibility and slope uniformity of their fields. Right after a detailed briefing and discussion on the experimental setup, farmers were trained on soil and water conservation principles and field applications of conservation tillage technologies. The experiment was carried out on smallholder farmer’s field located in a mini watershed of about 60 ha during 2013 and 2014. The mini watershed water was exposed to surface runoff and the formation of rills and gullies representing sloping and hilly cultivated areas (16%) in the district. Virtually all lands within the min watershed are annually cultivated for production of cereal and pulse crops in rotation for many years. Major crops grown are wheat, tef, maize, chickpea, or beans in rotation. The soil type in the trial fields is brown soil with a sandy loam soil texture and an average pH of 7.80. The soil depth in the micro watershed ranges from 20cm on the upper plots to 70 cm at the bottom part of the micro watershed.
Five trial fields were established on the 3% (bottom); 6% and 8% (middle); and 12% and 14% (upper) slope gradients of the mini watershed. Each plot was divided into two equal strips; thus, there were two treatment plots and five trial fields (blocks) for the trial (Figure 1). The plot size for each treatment (L × W) was 15 m × 20 m on the 12% and 14% slope trial plots and 20 m × 20 m for the rest. The treatment’s (i) conventional ploughing and (ii) minimum contour tillage were arranged in a randomized complete block design. The conventional tillage (CT) practice is characterized by multiple passes with an oxen-drawn local ard plough named Maresha. Farmers feel that more tillage operations and deeper ploughing could increase crop yields; thus, on CT plots, three to four ploughing operations were performed to create a fine and smooth seedbed before planting. The operation was performed at opposite inclined angles across the contour (up- and down-slope ploughing) before planting, and the last ploughing occurred nearly along the contour on the sowing date. In minimum tillage (MT), wherein one to two tillage operations were omitted from the conventional system, the land was ploughed along the counter using a newly developed sweep-like attachment assembled to the local plough, which is named Berken Maresha (BM) (Figure 2). All tillage passes were laid along the contour, leaving a rough, uneven soil surface with undisturbed invisible barriers in each furrow pass. The date of the final tillage operations in both treatments of each farmer (replication) was the same. During the 1 stweeding, flat cultivation and tie ridging were performed on the CT and MT plots, respectively.
The Melkassa-II, an intermediate maturing maize (Zea mays L.) variety and a potential high grain yielder (5–6 ton ha−1) in mid-altitude areas, was used for the study. The row spacing was 0.75 m. Sowing was performed at 1 to 2 seeds per station, and the desired plant stand was obtained by thinning the stand when the crop was at the 3–4 leaf stage. Diammonium phosphate fertilizer (N:P:K 18:46:0) was applied at a rate of 50 kg/ha at planting. Planting was performed on 3 July and 12 July during the 2013 and 2014 seasons, respectively. Plots were weeded twice by hand each time weeds reached more than 10 cm in height. Tied ridges were constructed on MT plots between maize rows (75 cm apart) and cross-tied with soil bunds across the ridges every 5 m in ridge length during 1st weeding. Commonly, farmers plow their maize field three to four times using an oxen plow before sowing. Maize seeds are planted in rows by dropping two seeds per hill manually. Fertilizers (100 Kg ha−1 NPS at planting) and 100 Kg ha−1 urea in two splits (1/3 kg/ha at planting and 2/3 kg/ha at knee stage) was applied after weeding. All crop management practices such as cultivation, weeding etc., were carried out as desired.

2.3. Field Measurements

2.3.1. Meteorological Dataand Soil Characterization

Daily rainfall amount and intensity were recorded at 30-min intervals using a Vantage Pro 2 (Davis Instruments, Hayward, CA, USA) wireless weather station installed at the trial site. The volumetric water content (VWC) of the soil was measured for the two-tillage treatments. The measurements were performed regularly twice a week with a Field Scout® portable handheld TDR probe (Model # 300, Spectrum Technologies, Inc., Aurora, IL, USA). It was measured in situ using a probe that contained the electronics and two 20 cm, parallel stainless-steel rods mounted 3.3 cm apart in the handle unit. TDR samples were taken at 20 cm of depth at 8 random locations per treatment in each of the 5 experimental fields. Crop evapotranspiration (ETC)was determined from the crop coefficient values of maize [41] and reference evapotranspiration (ETO) for each growth stage, and was computed from weather data at the study site.

2.3.2. Runoff and Soil Loss

Runoff measurements were made on a quarter of each treatment plots measuring (L × W) 15 m × 5 m for the 12% and 14% slope plots and 20 m × 5 m for the rest. Each plot was equipped with a runoff-collecting trough designed to handle up to 18 m3 d−1 of runoff at the lower side of the plot as described by [42]. The runoff plots were bordered by a galvanized iron sheet driven to a depth of approximately 10 cm into the ground and protruding 15 cm above the surface of the soil. Delineation of the plots was carried out immediately after sowing. Surface runoff was measured daily. Surface runoff collected in the trough was measured using a graduated cylinder. The runoff volume (Vr) was estimated using Equation (1)
Vr = V 1 + ( a × V 2 ) + ( a × b × V 3 )
where V1, V2, and V3 are the volumes of runoff in the first, second, and third tank, respectively; and ‘a’ and ‘b’ are constants associated with the number of holes of the first and second tank, respectively. The runoff coefficient (RC) was estimated using Equation (2):
RC (%) = (Ro/Rf) × 100
where Ro and Rf are the event runoff and the corresponding rainfall (in mm). Ro was determined by dividing the daily Vr by the surface area (m2) of each plot.
After each erosive rain event, the sediment load retained at the bottom of each tank was determined by measuring the sediment depth in the trough using a Vernier calliper. Five-hundred-milliliter (500 mL) samples were taken to measure the fresh weight (g) sediment load collected and calculate its density. Another 200 g of samples was collected from the amount of soil retained in the tank and dried in an oven at 105 °C until reaching a constant weight. Therefore, the dry sample was weighed to determine the sediment yield (Equation (3)).
SL = ( Wd ( W ) ) × Wt
where SL is the total amount of dry sediment retained in the tank; W is the fresh weight (g) of the sediment sample taken for oven drying; Wd is the dry weight (g) of the sediment sample; and Wt is the fresh weight of the sediment calculated from the volume of sediment in the tank and density of the fresh sediment measured in the field.

2.3.3. Aboveground Growth and Grain Yield

Stand count was made by counting the actual number of plants at two spots on four rows of a 5 m length in each plot. Five plants in the central four rows were randomly selected in each treatment to measure plant height at physiological maturity. The leaf area at flowering was measured by sampling three random plants per treatment. The leaf area index (LAI) was calculated by dividing the total area of green leaves in the samples by the ground area sampled. The aboveground biomass and grain yield were measured from the central eight rows (one-third) of each plot. The total weight of the aboveground biomass was measured using a digital hanging balance with a 20 kg capacity in the field. The cobs were carefully removed, shelled by hand, and weighed using an electronic balance. The moisture content was determined using a hand-held electronic grain moisture tester, and grain weights were adjusted to a moisture content of 13%.

2.3.4. Data Analysis

The graphs for daily precipitation and the weekly rainfall amount were plotted using Microsoft Excel. The effects of tillage treatments and the rainfall amount on event runoff and soil loss were analyzed using a one-way ANOVA. Statistical analyses of mean comparisons were performed using the StatistiX 8, version 8 software. The least significant difference (LSD) test was used to compare means. In all cases, differences were deemed to be significant at p < 0.05. Cumulative runoff and soil moisture graphs were plotted with JMP, Version 5, The statistical Discovery software.

3. Results and Discussion

3.1. Rainfall and Crop Evapotranspiration

Precipitation during the 2013 and 2014 growing seasons had comparable rainfall totals of 605.2 mm and 594.2 mm, respectively. However, their temporal (day-to-day) distribution to satisfy crop water needs during different growth stages was remarkably different. Daily precipitation and weekly rainfall amount with crop evapotranspiration during the growing season are shown in Figure 3 and Figure 4. The rain in the first year relatively conformed to the expected pattern, began on time, and were evenly distributed until mid-September, but had no rainy days from 17 to 30 September 2013. On the other hand, the rains in the second year began late with regular distribution throughout the season but had a couple of hailstorm events one month after planting (Figure 3).
An analysis of weekly precipitation and ETC indicated that the rains beginning from the date of planting to silking (week 10) fully met crop water demand in the 2013 cropping season. Then, the rainfall received was much lower than ETC, with an incidence of late-season 14-day dry spells during the critical growth stage between weeks 11 and 13 (Figure 4). Rainfall received in week 14 was more than ETC and helped the crop recover from water limitation. The rainfall characteristics and crop growth stage in 2014 showed a similar pattern until silking, while the succeeding rains dropped below ETC without a significant dry spell (rain event < 2 mm) during seed formation. Furthermore, the rain started one week later and was withdrawn one week before physiological maturity (Figure 4).
The rainfall received during weeks 3 to 9 of the growing season was quite high, and a considerable amount of water left the field in the form of runoff. In contrast, the crop experienced moisture stress towards the end of the growing season in both seasons. Consequently, for maximum production, the excess water available could be stored to mitigate deficiencies in weeks 10 to 14. Late onset and early cessation of the rainy season imply a short growing period leading to low crop productivity. The World Bank [43] reported a 10% average cereal yield reduction due to the late start of the rainy season across Ethiopia. To summarize, the analysis indicated the necessity of moisture conservation practices as long as rainfall is the only source of water for crop production.

3.2. Runoff

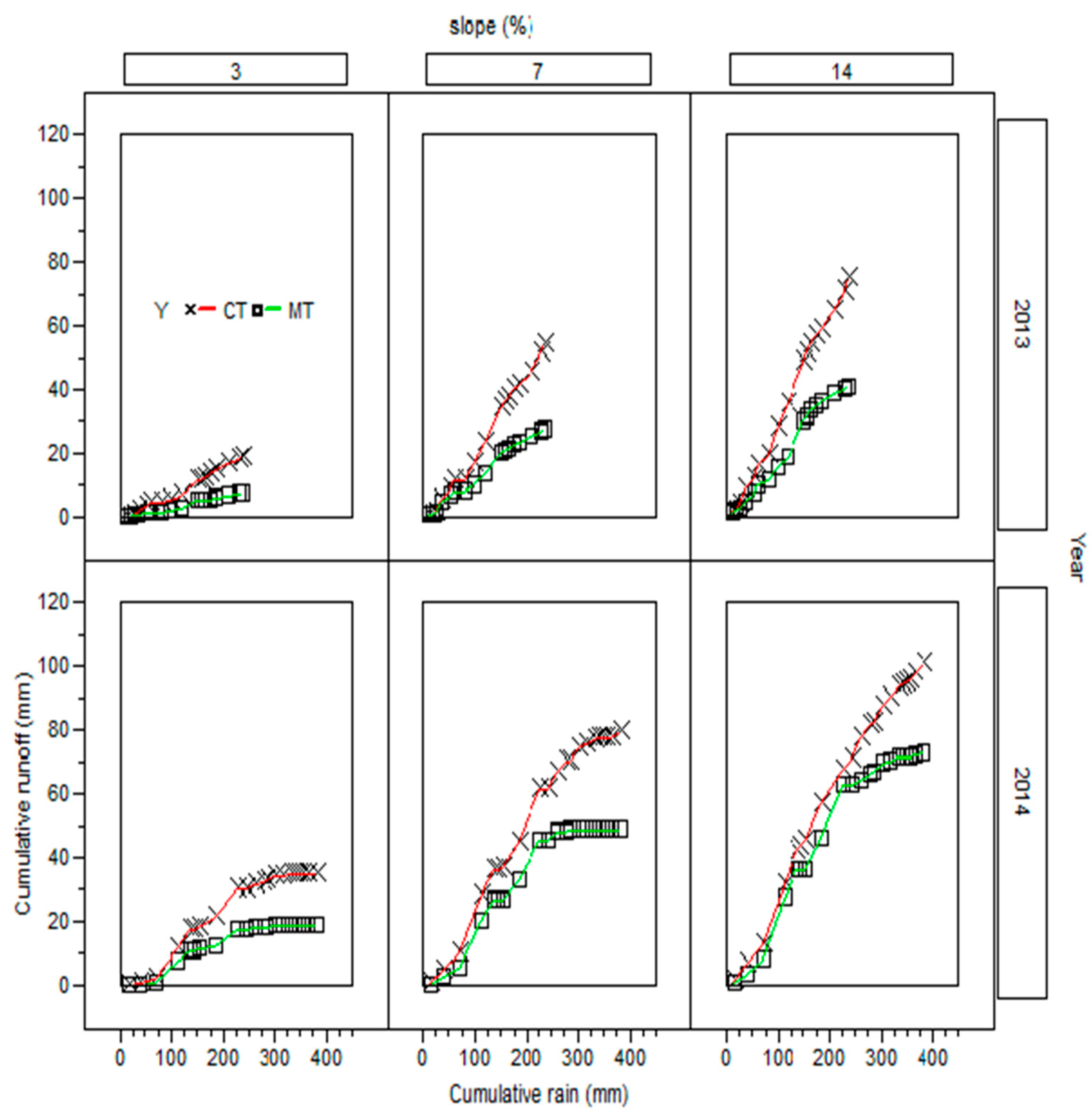
For each slope steepness, the mean event surface runoff from the MT plots was significantly lower (p < 0.05) than that from the CT plot, and the runoff coefficients from both tillage treatments increased with an increasing slope gradient. Rainfall for 17 and 22 measured runoff events totaled 229.2 and 367.4 mm in years 1 and 2, respectively. The two years combined event-based mean surface runoff, and coefficient values on land slopes of 3, 7, and 14% were analyzed under three precipitation, P (mm/day), ranges of small (p ≤ 15), medium (15 < p ≤ 25), and large (p > 15) events, which constituted 28%, 54%, and 18% of the total events, respectively. Tillage methods on a given slope gradient have shown different runoff rates under different rainfall conditions (Table 1). Surface runoff was reduced significantly under minimally contour-ploughed plots for large rainfall events on 3% slopes, medium and larger rain events on 7% slopes, and medium rain events on the highest slope gradient. Runoff caused by small rainfall events from MT plots on each slope gradient was not significantly different (p < 0.05) between treatments. That means in the lowest slopes and smallest events, runoff generation is not large enough to show considerable variation between MT and CT.
Figure 5 presents the cumulative runoff under different tillage practices in relation to various slope gradients for both years. Tilling less along the contour with locally adapted implementation generated 60%, 47%, and 46% less runoff than in conventional tillage in the first year and 46%, 38%, and 36% less runoff during the second year in the order from the gentle to the steepest slopes. This means that the effectiveness of MT was relatively reduced on steeper slopes, indicating the need for additional interventions such as soil bunds or other structural measures. The reduced effectiveness of MT on the steepest slope, particularly during high and intensive rain events, was likely attributed to more excess rainfall detention that triggered a higher runoff over MT plots due to overflow and the breaching of ridges, as noticed from fresh rills formed. Gebreegziabher, et.al. [44] reported an over 60% reduction in total runoff using contour furrows at 60- to 70-meterintervals on wheat-sown plots. The result also confirmed the work of [41] on planted wheat and tef fields bounded by Fanyajuus (trenches following contour lines with soil bunds at the upslope) somewhere else in the upper Blue Nile, Ethiopia. The lower runoff coefficients and cumulative runoff generated from minimal contour ploughed plots are presumably related to improved infiltration due to increased surface roughness perpendicular to the slope. In conjunction with reduced contour ploughing, tie ridges made later in the season (60 days after planting) captured and temporally held a considerable volume of surface runoff within furrows during the storms and consequently extended the time of ponding for additional infiltration [45]. In summary, it was demonstrated that conservation tillage effectively reduced surface runoff on 3 to 14% land slopes.

3.3. Soil Loss

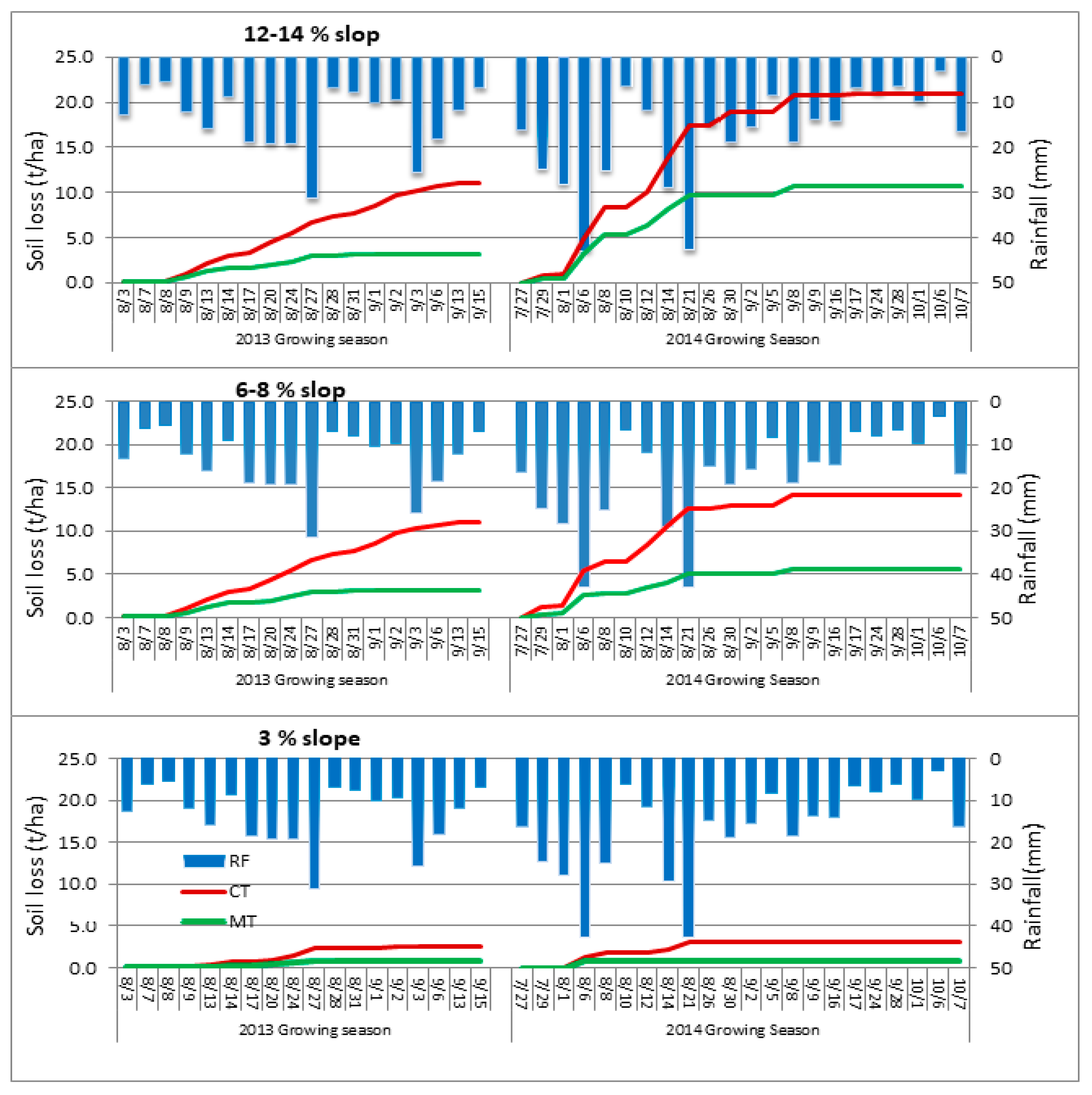
Mean event-based soil loss rates (t ha−1) on a land slope of 3 to 14% were significantly (p < 0.05) different between tillage treatments (Table 2). A maximum event soil loss of 5.06, 4.13, and 1.19 t ha−1 was recorded from 14, 7, and 3% slopes in the traditional intensive ploughing for an abrupt rainfall event of 43 mm. The respective soil losses in MT were 3.42, 2.27, and 0.78 t ha−1 for the same rainfall event. Generally, the results indicated that MT decreased total soil loss by 65%, 71%, and 75% in year 1 and by 62%, 58%, and 50% in year 2 on 3, 7, and 14% slopes, respectively, compared with CT. The increasing and decreasing soil loss rates observed in years 1 and 2, respectively, with an increasing land slope under the same soil type and topography could be mainly due to the variation in rainfall parameters and antecedent conditions. Other studies on rainwater conservation techniques, such as [46], reported significantly reduced surface runoff and associated soil loss on a land slope of 0 to 11% in North Wollo, Ethiopia.
Examination of cumulative soil loss curves also revealed much higher variation over a given field slope between treatments (Figure 6). The increasing trend of the cumulative soil loss rate with time was different for the seasons. Year one appears to reach close to its maximum at the initial growing period, while year 2 continuously increased until the end of the growing period. The yearly variation in the trend of the soil loss rate magnitude indicates the erratic nature of erosion phenomena that could be related to a variation in rainfall amount, intensities, antecedent soil moisture, and cover conditions. A comparable event soil loss rate of 3.07 t ha−1 was reported in traditional ploughing for a rainfall event of 35 mm [44]. An interesting phenomenon found from this trial was that the three largest erosive rainstorms that occurred after planting, which accounted for 30% of the total rainfall in year 2, caused 54%, 59%, and 97% of the total soil loss from the 14%, 7%, and 3% CT plots, respectively. In the same order, soil loss from the corresponding MT plot was 57%, 68%, and 100%. As measurements were performed after planting for 34 and 58% of the total precipitation in years 1 and 2, respectively, higher annual soil loss rates than our findings are very likely.
The effectiveness of reduced contour tillage has been reported to decrease surface runoff and soil loss [42,47] due to the formation of undisturbed invisible barriers beneath the soil surface along the contour. The new tillage method performs a certain degree of ripping to enhance infiltration while cutting shallow on the left and right sides of the ripped line for weed control. In contrast, complete soil disturbance over the plough layer following repeated cross ploughing in CT caused a higher soil loss due to lower resistance to surface runoff and rill formations. In summary, MT is more effective in reducing soil erosion from smaller events than larger ones, suggesting that MT has to be augmented by other physical and biological soil conservation measures in slopes greater than 8% and where large rainfall events exceeding 20 mm-d−1 are frequently experienced.

3.4. Soil Moisture Retention

A comparison of volumetric moisture content showed that the seasonal moisture content trends continued to fluctuate as a result of wetting (rainfall) and drying, with marginal differences between treatments until tie ridging (Figure 7). However, there were differences in response to the land slope, with a peak value at lower slopes. As time passed, the soil moisture (%volume) under conservation ploughing was higher than that under conventional ploughing. After tie ridging vis-à-vis flat hoeing, the soil moisture (%V) change increased by a maximum of 8.5 (26%), 6.9 (17%), and 5.5 (19%) in year 1 and 5.1 (11%), 4.6 (17%), and 4.2 (14%) in year 2 from 3%, 7%, and 14% slopes, respectively, in conservation tillage. The results show that MT, compared to CT, can improve soil moisture content, which is crucial for increasing crop production in moisture stress areas. Towards the end of the season, the difference in soil moisture content declined as precipitation events decreased and evapotranspiration increased (Figure 7). Comparing conventional tillage with conservation agriculture [48], there were higher infiltration rates and more available soil water with CA, especially during critical crop development stages.
Despite the larger variation in the runoff amount and coefficient values among treatments, there was a rather narrow range of soil moisture changes due to treatments over several days. This is presumably related to the low magnitude of runoff generated from the more representative (54%) small rainfall (≤15 mm) events. Conversely, less frequent but larger precipitation events of >25 mm on day 1 wetted both treatments to saturation levels, and thus, the surplus water was retained due to conservation tillage presumably infiltrating to more than the observed 0 to 20 cm soil depth. Related research by [49] ascertained negligible soil moisture variation in the top 30 cm soil depth and considerable variation within the 90 cm depth. Dalmago et al. [50] also indicated that conservation tillage systems could increase the quantity of total porosity, which favors deeper infiltration. Additionally, after tie ridging in the conservation tillage system, medium and large events of lower intensity resulted in significant gains in stored soil water in the observed zone (Figure 6). This could be attributed to the reduced surface runoff in conservation tillage systems.
In agreement with this study, the rough soil surface configuration in contour tillage reduced runoff volume [45], which resulted in more infiltration due to rainwater ponding in the furrow area. Therefore, in more moisture-stressed areas or seasons where or when rainfall is rarely capable of saturating even shallow soil profiles, conservation tillage could have substantially more water stored in the upper soil profile. Furthermore, water percolating deeper is also an advantage of conservation tillage. Roots grown deeper than 20 cm can still utilize water that has drained below that depth. If a dry spell occurs, MT plots can still survive on the stored soil water below the 20 cm depth. Even if the water goes deeper than the rooting system of the crop, it will recharge the ground water, thereby increasing dry season stream flows and groundwater levels. This will make more water available during the dry season, which can be used as drinking water or for small-scale irrigation.

3.5. Agronomic Parameters

Yields and plant growth parameters for each cropping year are presented in Table 3. Seed establishment and plant populations were not significantly influenced by tillage under the study conditions and period. Additionally, the rains received in both years were sufficient to satisfy the water demand of the crop to germinate, emerge, and grow to the end of the flowering stage. Consequently, there was no significant difference in mean plant height, leaf area index, and aboveground biomass among tillage systems (Table 3). Conversely, grain yields under MT were significantly (p < 0.05) higher by 7% (246.4 kg ha−1) during the first year and 12% (323.3 kg ha−1) in the second year compared to conventional ploughing. The significantly higher grain yields obtained under locally adapted conservation tillage are likely attributed to the slightly improved moisture held in the soil stock for sustained plant uptake during the dry spell (Figure 5). Previous research results in different areas of sub-Saharan Africa (SSA) indicated improved maize yields due to the positive effect of conservation tillage in controlling excessive water runoff and soil erosion and its contribution to improving soil moisture [31,33,35].Crops yields between 20% and 120% higher were reported in CA field trials in SSA in dry years [35].
The maize grain yield in 2014 was 25 to 30% lower than that in 2013. The low grain yield obtained in 2014 (Table 3) could be caused by the delayed onset and early termination of the rainy season. The more intense and erratic rainfall feature in 2014 resulted in more runoff volume, which caused more soil erosion and nutrient loss. A typical example is the intensive heavy rain (43 mm) received on 6 August and 21 August 2014 that washed away applied nitrogen from the soil surface through runoff while leaching nutrients away with deep percolating water following saturation of the root zone. Ma et al. [51] and Bechmann and Bøe [52] reported similar results on the effect of rainfall runoff on nitrogen and phosphorus loss and the subsequent lower grain yields. The higher aboveground biomass in 2014 was due to the higher moisture content at the time of measurement (Table 3) compared to 2013, where the measurement was performed after sun drying for three days. In general, minimizing tillage and creating a rough surface configuration perpendicular to the slope reduced water losses from the soil surface and improved water infiltration, thereby increasing water availability to substantially improve crop yields and soil conditions in the semiarid tropics where and when moisture is the most important yield-limiting factor.

4. Conclusions

The study examined the effect of conservation tillage, in the form of reduced contour tillage with locally adapted implementation (MT), in reducing surface runoff, soil erosion, and improving soil moisture and grain yields on farmers’ plots. Rainfall, runoff, soil erosion, soil moisture, and agronomic parameters were observed on farmers’ fields. The results showed that conservation tillage demonstrated a positive effect by reducing surface runoff by 36 to 60% and soil loss by 49.3 to 75% on land slopes of up to 14%. However, the actual runoff and soil loss from land slopes of 6–8% and over are still above the tolerable level. This reflects the need for complementary physical soil and water conservation measures to protect sloping farmlands from erosion, especially during heavy storms. In terms of in situ water harvesting and associated crop yields, the MT system resulted in better soil moisture and 7 to 12% higher maize grain yields. Furthermore, minimum tillage could have other advantages to many Ethiopian farmers who are short of oxen, in reducing labor requirements and the costs of hiring oxen. In general, tilling less often along the contour using improved tillage implements is a tillage technique tailored to local conditions and helps reduce surface runoff and soil erosion and is indeed an efficient practice with great potential for sustainable agricultural production. Therefore, it is a promising animal-power-based conservation tillage technique for adoption by smallholder farmers challenged by the lack of CA implementation in rain-fed smallholder farming systems of Eastern Africa.

Author Contributions

Conceptualization, M.T., L.K. and J.R.; methodology, L.K. and M.T.; writing—original draft preparation, L.K.; writing—review and editing, M.T., A.F., A.K., J.R. and A.M.M.; funding acquisition, M.T. and L.K. All authors have read and agreed to the published version of the manuscript.

Funding

The research was financed by the Stockholm Resilience Center (SRC). Field data on farmer fields were obtained from ‘ATriply Green Revolution for Rain fed agriculture—exploring potentials and synergies of water harvesting, conservation tillage, and productive sanitation in water-scarce tropical regions’ project (2011-761).

Institutional Review Board Statement

Not applicable.

Informed Consent Statement

Not applicable.

Data Availability Statement

Not applicable.

Acknowledgments

The authors are very grateful to anonymous reviewers for their constructive comments and suggestions. We thank the Ethiopian Institute of Agricultural Research (EIAR) for permitting the use of laboratory facilities and field equipment for erosion and agronomic measurements.

Conflicts of Interest

The authors declare that they have no known competing financial interests or personal relationships that could have appeared to influence the work reported in this paper.

References

  1. FAO. The Future of Food and Agriculture: Trends and Challenges, 1st ed.; FAO: Rome, Italy, 2017; Volume 4, ISBN 1815-6797. [Google Scholar]
  2. Alexandratos, N.; Bruinsma, J. World Agriculture towards 2030/2050; FAO: Rome, Italy, 2012; Volume 12. [Google Scholar]
  3. Pimentel, D.; Harvey, C.; Resosudarmo, P.; Sinclair, K.; Kurz, D.; McNair, M.; Crist, S.; Shpritz, L.; Fitton, L.; Saffouri, R.; et al. Environmental and economic costs of soil erosion and conservation benefits. Science 1995, 267, 1117–1123. [Google Scholar] [CrossRef]
  4. Gretton, P.; Salma, U. Land degradation: Links to agricultural output and profitability. Aust. J. Agric. Resour. Econ. 1997, 41, 209–225. [Google Scholar] [CrossRef]
  5. Angima, S.D.; Stott, D.E.; O’Neill, M.K.; Ong, C.K.; Weesies, G.A. Soil erosion prediction using RUSLE for central Kenyan highland conditions. Agric. Ecosyst. Environ. 2003, 97, 295–308. [Google Scholar] [CrossRef]
  6. Lal, R. Soil Erosion and Land Degradation: The Global Risks. In Soil Degradation 1990; La, R., Stewart, B.A., Eds.; Springer: New York, NY, USA, 1990; pp. 129–172. [Google Scholar]
  7. Belayneh, M.; Yirgu, T.; Tsegaye, D. Runoff and soil loss responses of cultivated land managed with graded soil bunds of different ages in the Upper Blue Nile basin, Ethiopia. Ecol. Process. 2020, 9, 66. [Google Scholar] [CrossRef]
  8. Lal, R. Climate Change and Soil Degradation Mitigation by Sustainable Management of Soils and Other Natural Resources. Agric. Res. 2012, 1, 199–212. [Google Scholar] [CrossRef]
  9. Belachew, A.; Mekuria, W.; Nachimuthu, K. Factors influencing adoption of soil and water conservation practices in the northwest Ethiopian highlands. Int. Soil Water Conserv. Res. 2020, 8, 80–89. [Google Scholar] [CrossRef]
  10. Yao, Y.; Schiettecatte, W.; Lu, J.; Wang, Y.; Wu, H.; Jin, K.; Cai, D.; Gabriels, D.; Hartmann, R.; Baert, M.; et al. Influence of Tillage Practices on Yield, Water Conservation and Soil Loss: Results of Field Experiments in the Eastern Loess Plateau (Henan Province, China). In Proceedings of the 13th International Soil Conservation Organisation Conference, Brisbane, Australia, 4–9 July 2014; No. 233. pp. 1–5. [Google Scholar]
  11. Tamene, L.; Park, S.J.; Dikau, R.; Vlek, P.L.G. Analysis of factors determining sediment yield variability in the highlands of northern Ethiopia. Geomorphology 2006, 76, 76–91. [Google Scholar] [CrossRef]
  12. Creswell, R.; Martin, F. Dryland Farming: Crops & Techniques for Arid Regions. 1993. Available online: http://members.echocommunity.org/resource/collection/E66CDFDB-0A0D-4DDE-8AB1-74D9D8C3EDD4/DrylandFarming.pdf (accessed on 21 November 2016).
  13. Petito, M.; Cantalamessa, S.; Pagnani, G.; Degiorgio, F.; Parisse, B.; Pisante, M. Impact of Conservation Agriculture on Soil Erosion in the Annual Cropland of the Apulia Region (Southern Italy) Based on the RUSLE-GIS-GEE Framework. Agronomy 2022, 12, 281. [Google Scholar] [CrossRef]
  14. Hurni, H. Degradation and conservation of the resources in the Ethiopian highlands, Mountain Research and Development. Mt. Res. Dev. 1988, 8, 123–130. [Google Scholar] [CrossRef]
  15. Shi, H.; Shao, M. Soil and water loss from the Loess Plateau in China. J. Arid Environ. 2000, 45, 9–20. [Google Scholar] [CrossRef]
  16. Pimentel, D. Soil erosion: A food and environmental threat. Environ. Dev. Sustain. 2006, 8, 119–137. [Google Scholar] [CrossRef]
  17. Adimassu, Z.; Tamene, L.; Degefie, D.T. The influence of grazing and cultivation on runoff, soil erosion, and soil nutrient export in the central highlands of Ethiopia. Ecol. Process. 2020, 9, 23. [Google Scholar] [CrossRef]
  18. Tolessa, T.; Gessese, H.; Tolera, M.; Moges, K. Changes in Ecosystem Service Values in Response to Changes in Landscape Composition in the Central Highlands of Ethiopia. Environ. Process. 2019, 5, 483–501. [Google Scholar] [CrossRef]
  19. Lal, R. The Plow and Agricultural Sustainability. J. Sustain. Agric. 2009, 33, 66–84. [Google Scholar] [CrossRef]
  20. Klute, A. Tillage effects on the hydraulic properties of soil: A review. In Predicting Tillage Effects on Soil Physical Properties and Processes; American Society of Agronomy: Madison, WI, USA, 1982; pp. 29–43. [Google Scholar]
  21. Tsanis, I.K.; Seiradakis, K.D.; Sarchani, S.; Panagea, I.S.; Alexakis, D.D.; Koutroulis, A.G. The Impact of Soil-Improving Cropping Practices on Erosion Rates: A Stakeholder-Oriented Field Experiment Assessment. Land 2021, 10, 964. [Google Scholar] [CrossRef]
  22. Holland, J.M. The environmental consequences of adopting conservation tillage in Europe: Reviewing the evidence. Agric. Ecosyst. Environ. 2004, 103, 1–25. [Google Scholar] [CrossRef]
  23. Hoogmoed, W. Tillage for Soil and Water Conservation in the Semi-Arid Tropics; Wageningen University: Wageningen, The Netherlands, 1999. [Google Scholar]
  24. Cervellini, C.; Brannetti, G.; Grilli, R.; Pochi, D. Comparison of Energy Requirements of Traditional and Conservative Soil Tillage for Maize Cultivation in Central Italy. In Proceedings of the XVII th World Congress of the International Commission of Agricultural and Biosystems Engineering (CIGR), Québec City, QC, Canada, 13–17 June 2010; pp. 1–16. [Google Scholar]
  25. Boatman, N.; Stoate, C.; Gooch, R.; Carvalho, C.R.; Borralho, R.; de Snoo, G.; Eden, P. The Environmental Impact of Arable Crop Production in the European Union: Practical Options for Improvement. 1999. Available online: http://scholar.google.com/scholar?hl=en&btnG=Search&q=intitle:The+Environmental+Impact+of+Arable+Crop+Production+in+the+European+Union:+Practical+Options+for+Improvement#0 (accessed on 27 February 2023).
  26. Haregeweyn, N.; Nyssen, J.; Poesen, J.; Schu, B. Soil erosion and conservation in Ethiopia: A review. Prog. Phys. Geogr. 2015, 39, 750–774. [Google Scholar] [CrossRef]
  27. Fowler, R.; Rockstrom, J. Conservation tillage for sustainable agriculture: An agrarian revolution gathers momentum in Africa. Soil Tillage Res. 2001, 61, 93–108. [Google Scholar] [CrossRef]
  28. Kassam, A.; Friedrich, T.; Shaxson, S.; Pretty, J. The spread of conservation agriculture: Justification, sustainability and uptake. Int. J. Agric. Sustain. 2009, 7, 292–320. [Google Scholar] [CrossRef]
  29. Hong, Z.; Mkonda, M.Y.; He, X. Conservation Agriculture for Environmental Sustainability in A Semiarid Agroecological Zone under Climate Change Scenarios. Sustainability 2018, 10, 1430. [Google Scholar] [CrossRef]
  30. Chalise, D.; Kumar, L.; Sharma, R.; Kristiansen, P. Assessing the Impacts of Tillage and Mulch on Soil Erosion and Corn Yield. Agronomy 2020, 10, 63. [Google Scholar] [CrossRef]
  31. Enfors, E.; Barron, J.; Makurira, H.; Rockström, J.; Tumbo, S. Yield and soil system changes from conservation tillage in dryland farming: A case study from North Eastern Tanzania. Agric. Water Manag. 2011, 98, 1687–1695. [Google Scholar] [CrossRef]
  32. Temesgen, M.; Savenije, H.H.G.G.; Rockström, J.; Hoogmoed, W.B. Assessment of strip tillage systems for maize production in semi-arid Ethiopia: Effects on grain yield, water balance and water productivity. Phys. Chem. Earth 2011, 47, 156–165. [Google Scholar] [CrossRef]
  33. Gicheru, P.; Gachene, C.; Mbuvi, J.; Mare, E. Effects of soil management practices and tillage systems on surface soil water conservation and crust formation on a sandy loam in semi-arid Kenya. Soil Tillage Res. 2004, 75, 173–184. [Google Scholar] [CrossRef]
  34. Haggblade, S.; Tembo, G. Conservation Farming in Zambia; Discussion Paper No. 108; International Food Policy Research Institute: Washington, DC, USA, 2003; pp. 1–113. [Google Scholar]
  35. Rockström, J.; Kaumbutho, P.; Mwalley, J.; Nzabi, A.W.; Temesgen, M.; Mawenya, L.; Barron, J.; Mutua, J.; Damgaard-Larsen, S. Conservation farming strategies in East and Southern Africa: Yields and rain water productivity from on-farm action research. Soil Tillage Res. 2009, 103, 23–32. [Google Scholar] [CrossRef]
  36. Hobbs, P.R. Paper Presented at International Workshop on Increasing Wheat Yield Potential, CIMMYT, Obregon, Mexico, 20-24 March 2006. Conservation agriculture: What is it and why is it important for future sustainable food production? J. Agric. Sci. 2007, 145, 127–137. [Google Scholar] [CrossRef]
  37. Hulugalle, N.R.; Maurya, P.R. Tillage systems for the West African Semi-Arid Tropics. Soil Tillage Res. 1991, 20, 187–199. [Google Scholar] [CrossRef]
  38. Giller, K.E.; Witter, E.; Corbeels, M.; Tittonell, P. Conservation agriculture and smallholder farming in Africa: The heretics’ view. F. Crop. Res. 2009, 114, 23–34. [Google Scholar] [CrossRef]
  39. Brouder, S.M.; Gomez-Macpherson, H. The impact of conservation agriculture on smallholder agricultural yields: A scoping review of the evidence. Agric. Ecosyst. Environ. 2014, 187, 11–32. [Google Scholar] [CrossRef]
  40. Yumbya, J.; De Vaate, M.B.; Kiambi, D.; Kebebew, F.; Rao, K.P.C. Geographic Information Systems for assessment of climate change effects on teff in Ethiopia. Afr. Crop Sci. J. 2014, 22, 847–858. [Google Scholar]
  41. Allen, R.G.; Pereira, L.S. Crop Evapotranspiration (Guidelines for Computing Crop Water Requirements); FAO: Rome, Italy, 1998. [Google Scholar]
  42. Temesgen, M.; Uhlenbrook, S.; Simane, B.; van der Zaag, P.; Mohamed, Y.; Wenninger, J.; Savenije, H.H.G. Impacts of conservation tillage on the hydrological and agronomic performance of fanya juus in the upper Blue Nile (Abbay) river basin. Hydrol. Earth Syst. Sci. Discuss. 2012, 9, 1085–1114. [Google Scholar] [CrossRef]
  43. World Bank Ethiopia: Managing Water Resources Managing Water Resources to Maximize; Report No. 36000-ET. World Bank: Washington, DC, USA, 2006.
  44. Gebreegziabher, T.; Nyssen, J.; Govaerts, B.; Getnet, F.; Behailu, M.; Haile, M.; Deckers, J. Contour furrows for in situ soil and water conservation, Tigray, Northern Ethiopia. Soil Tillage Res. 2009, 103, 257–264. [Google Scholar] [CrossRef]
  45. Liu, S.; Yang, J.Y.; Zhang, X.Y.; Drury, C.F.; Reynolds, W.D.; Hoogenboom, G. Modelling crop yield, soil water content and soil temperature for a soybean–maize rotation under conventional and conservation tillage systems in Northeast China. Agric. Water Manag. 2013, 123, 32–44. [Google Scholar] [CrossRef]
  46. McHugh, O.V.; Steenhuis, T.S.; Berihun, A.; Fernandes, E.C.M. Performance of in situ rainwater conservation tillage techniques on dry spell mitigation and erosion control in the drought-prone North Wello zone of the Ethiopian highlands. Soil Tillage Res. 2007, 97, 19–36. [Google Scholar] [CrossRef]
  47. Quinton, J.N.; Catt, J.A. The effects of minimal tillage and contour cultivation on surface runoff, soil loss and crop yield in the long-term Woburn Erosion Reference Experiment on sandy soil at Woburn, England. Soil Use Manag. 2004, 20, 343–349. [Google Scholar] [CrossRef]
  48. Thierfelder, C.; Amezquita, E.; Stahr, K. Soil crusting and sealing in the Andean Hillsides of Colombia and its impact on water infiltration. In Technological and Institutional Innovations for Sustainable Rural Development: Deutscher Tropentag 2003: International Research on Food Security, Natural Resource Management and Rural Development: Book of Abstracts; Wollny, C., Deininger, A., Bhandari, N., Maass, B., Manig, W., Muuss, U., Brodbeck, F., Howe, I., Eds.; Georg-August-Universität Göttingen: Göttingen, Germany, 2003; pp. 1–10. [Google Scholar]
  49. Liu, S.; Gao, Y.; Lang, H.; Liu, Y.; Zhang, H. Effects of Conventional Tillage and No-Tillage Systems on Maize (Zea mays L.) Growth and Yield, Soil Structure, and Water in Loess Plateau of China: Field Experiment and Modeling Studies. Land 2022, 11, 1881. [Google Scholar] [CrossRef]
  50. Dalmago, G.A.; Bergamaschi, H.; Bergonci, J.I.; Krüger, C.A.M.B.; Comiran, F.; Heckler, B.M.M. Retention and availability of water to plants in soils under no-tillage and conventional tillage systems. Rev. Bras. Eng. Agrícola E Ambient. 2009, 13, 855–864. [Google Scholar] [CrossRef]
  51. Ma, X.; Li, Y.; Li, B.; Han, W.; Liu, D.; Gan, X. Nitrogen and phosphorus losses by runoff erosion: Field data monitored under natural rainfall in Three Gorges Reservoir Area, China. Catena 2016, 147, 797–808. [Google Scholar] [CrossRef]
  52. Bechmann, M.E.; Bøe, F. Subsurface Runoff, Loss of Soil, Phosphorus and Nitrogen in a Cold Climate. Land 2021, 10, 77. [Google Scholar] [CrossRef]
Figure 1. Google Earth photo showing trail site with five plots (A); field before the experiment (B); and trail plot with a runoff of troughs (C).
Figure 1. Google Earth photo showing trail site with five plots (A); field before the experiment (B); and trail plot with a runoff of troughs (C).
Land 12 00593 g001
Figure 2. Berken Maresha assembled to the traditional ard plough.
Figure 2. Berken Maresha assembled to the traditional ard plough.
Land 12 00593 g002
Figure 3. Daily precipitation at the experimental site during the 2013 and 2014 cropping seasons.
Figure 3. Daily precipitation at the experimental site during the 2013 and 2014 cropping seasons.
Land 12 00593 g003
Figure 4. Weekly rainfall amount with crop evapotranspiration (ETc) for maize at the experimental site during the 2013 and 2014 cropping seasons.
Figure 4. Weekly rainfall amount with crop evapotranspiration (ETc) for maize at the experimental site during the 2013 and 2014 cropping seasons.
Land 12 00593 g004
Figure 5. Cumulative surface runoff from conventional tillage (CT) and locally adapted conservation tillage (MT) maize planted in 14%, 7%, and 3% slope plots at Bolo Silase, Ethiopia.
Figure 5. Cumulative surface runoff from conventional tillage (CT) and locally adapted conservation tillage (MT) maize planted in 14%, 7%, and 3% slope plots at Bolo Silase, Ethiopia.
Land 12 00593 g005
Figure 6. Cumulative soil loss in response to conventional and reduced contour tillage methods on maize planted in 3%, 6–8%, and 12–14% slope plots at Bolo Silase, Ethiopia.
Figure 6. Cumulative soil loss in response to conventional and reduced contour tillage methods on maize planted in 3%, 6–8%, and 12–14% slope plots at Bolo Silase, Ethiopia.
Land 12 00593 g006
Figure 7. Effect of tillage practices on the average soil water content of maize-planted fields for the top 0 to 20 cm depth during year 1 (left) and year 2 (right) cropping seasons.
Figure 7. Effect of tillage practices on the average soil water content of maize-planted fields for the top 0 to 20 cm depth during year 1 (left) and year 2 (right) cropping seasons.
Land 12 00593 g007
Table 1. Mean event runoff and coefficient values under CT and MT practices on maize-cultivated plots for the total (39) monitored days in years 1 and 2.
Table 1. Mean event runoff and coefficient values under CT and MT practices on maize-cultivated plots for the total (39) monitored days in years 1 and 2.
SlopeRainfall
(mm)
** Number
of Cases
Mean Event Runoff (mm)RC
CTMTCTMT
14%large2 × 711.43 ± 0.96 a9.34 ± 0.96 a0.280.17
medium2 × 114.34 ± 0.76 b1.82 ± 0.76 c
small2 × 212.03 ± 0.52 c0.84 ± 0.52 c
Mean785.94 ± 0.41 a4.00 ± 0.41 b
7%large2 × 79.57 ± 0.84 a7.18 ± 0.84 b0.210.12
medium2 × 113.74 ± 0.56 c1.34 ± 0.56 d
small2 × 211.09 ± 0.56 d0.41 ± 0.56 d
Mean784.80 ± 0.35 a2.98 ± 0.35 b
3%large1 × 75.05 ± 0.46 a3.01 ± 0.46 b0.090.04
medium1 × 110.87 ± 0.37 c0.25 ± 0.37 c
small1 × 210.46 ± 0.26 c0.13 ± 0.26 c
Mean392.12 ± 0.19 a1.13 ± 0.19 b
** Number of cases = number of plots × number of events; RC= Runoff coefficient. Letters a, b, c and d indicate the mean separation test of treatment combinations (tillage methods by rainfall amount) within a specified slop; means followed by the same letter are not significantly different at p < 0.05.
Table 2. Soil loss from conventional tillage (CT) and conservation tillage (MT) plots.
Table 2. Soil loss from conventional tillage (CT) and conservation tillage (MT) plots.
YearRF (mm)Slope
(%)
No of CasesMean Event Soil Loss (t/ha)Total Soil Loss (t/ha)
CTMTCTMT
3170.15 (a)c0.05 (b)b2.46 (a)c0.87 (b)b
2013236.27340.66 (a)b0.19 (b)a11.08 (a)b3.20 (b)a
14340.85 (a)a0.21 (b)a14.21 (a)a3.52 (b)a
3210.24 (a)b0.04 (b)b3.12 (a)b0.88 (b)b
2014383.47420.67 (a)a0.26(b)b14.15 (a)a5.55 (b)b
14421.00 (a)a0.51 (b)a21.02 (a)a10.66 (b)a
Letters inside the brackets indicate test results within the different tillage systems; and letters outside the brackets indicate test results within slop gradients; means followed by the same letter are not significantly different at p < 0.05.
Table 3. Agronomic performance of locally adapted conservation tillage (2013–2014).
Table 3. Agronomic performance of locally adapted conservation tillage (2013–2014).
YearTillage MethodPlant Height (cm)LAIGrain Yield (kg/ha)AGBM (ton ha−1)
2013MT194.1 a2.74 a3693.5 a9.35 a
CT187.8 a2.33 a3447.0 b8.89 a
LSD (p =0.05)8.50.52245.10.52
2014MT188.2 a1.86 a2952.3 a11.59 a
CT182.0 a1.71 a2629.0 b11.09 a
LSD (p =0.05)6.80.32289.730.96
MT = Minimum tillage, CT = Conservation tillage, LAI = leaf area index, AGBM = aboveground biomass; LSD = least significant difference; Letters a and b in the table indicate mean separation test results. Means followed by the same letter are not significantly different at p < 0.05.
Disclaimer/Publisher’s Note: The statements, opinions and data contained in all publications are solely those of the individual author(s) and contributor(s) and not of MDPI and/or the editor(s). MDPI and/or the editor(s) disclaim responsibility for any injury to people or property resulting from any ideas, methods, instructions or products referred to in the content.

Share and Cite

MDPI and ACS Style

Kebede, L.; Temesgen, M.; Fanta, A.; Kebede, A.; Rockström, J.; Melesse, A.M. Effect of Locally Adapted Conservation Tillage on Runoff, Soil Erosion, and Agronomic Performance in Semiarid Rain-Fed Farming in Ethiopia. Land 2023, 12, 593. https://doi.org/10.3390/land12030593

AMA Style

Kebede L, Temesgen M, Fanta A, Kebede A, Rockström J, Melesse AM. Effect of Locally Adapted Conservation Tillage on Runoff, Soil Erosion, and Agronomic Performance in Semiarid Rain-Fed Farming in Ethiopia. Land. 2023; 12(3):593. https://doi.org/10.3390/land12030593

Chicago/Turabian Style

Kebede, Laike, Melesse Temesgen, Abebe Fanta, Asfaw Kebede, Johan Rockström, and Assefa M. Melesse. 2023. "Effect of Locally Adapted Conservation Tillage on Runoff, Soil Erosion, and Agronomic Performance in Semiarid Rain-Fed Farming in Ethiopia" Land 12, no. 3: 593. https://doi.org/10.3390/land12030593

APA Style

Kebede, L., Temesgen, M., Fanta, A., Kebede, A., Rockström, J., & Melesse, A. M. (2023). Effect of Locally Adapted Conservation Tillage on Runoff, Soil Erosion, and Agronomic Performance in Semiarid Rain-Fed Farming in Ethiopia. Land, 12(3), 593. https://doi.org/10.3390/land12030593

Note that from the first issue of 2016, this journal uses article numbers instead of page numbers. See further details here.

Article Metrics

Back to TopTop