The Role of Brownfields and Their Revitalisation for the Functional Connectivity of the Urban Tree System in a Regrowing City
Abstract
1. Introduction
1.1. Functional Connectivity in Densifying Cities
- (1)
- Spatial explicit elicitation of the importance of canopy patches for functional connectivity;
- (2)
- Evaluating the contribution of different revitalisation strategies for functional connectivity in a temporal perspective;
- (3)
- Detection of brownfield sites which are the key as stepping stones for preserving and fostering strategic functional connectivity corridors.
1.2. Conceptual–Theoretical Background
2. Materials and Methods
2.1. Case Study
2.2. Data Input
2.3. Data Processing
- dPCintra: Intrapatch connectivity for a patch based on the assumption that connectivity exists within the patch and is, consequently, proportional to the patch area, reflecting internal characteristics.
- dPCflux: Area-weighted dispersal flow through the connections of a patch to or from all of the other patches in the landscape. It depends both on the area of a patch and its position within the landscape.
- dPCconnector: Topological-based importance of a patch or link for maintaining connectivity between other patches as a connecting element (stepping stone) between them. A certain patch or link will contribute to dPCconnector only when it is part of the best (maximum product probability) path for dispersal between two other patches, and is independent of the size of a patch.
2.4. Data Analysis
3. Results
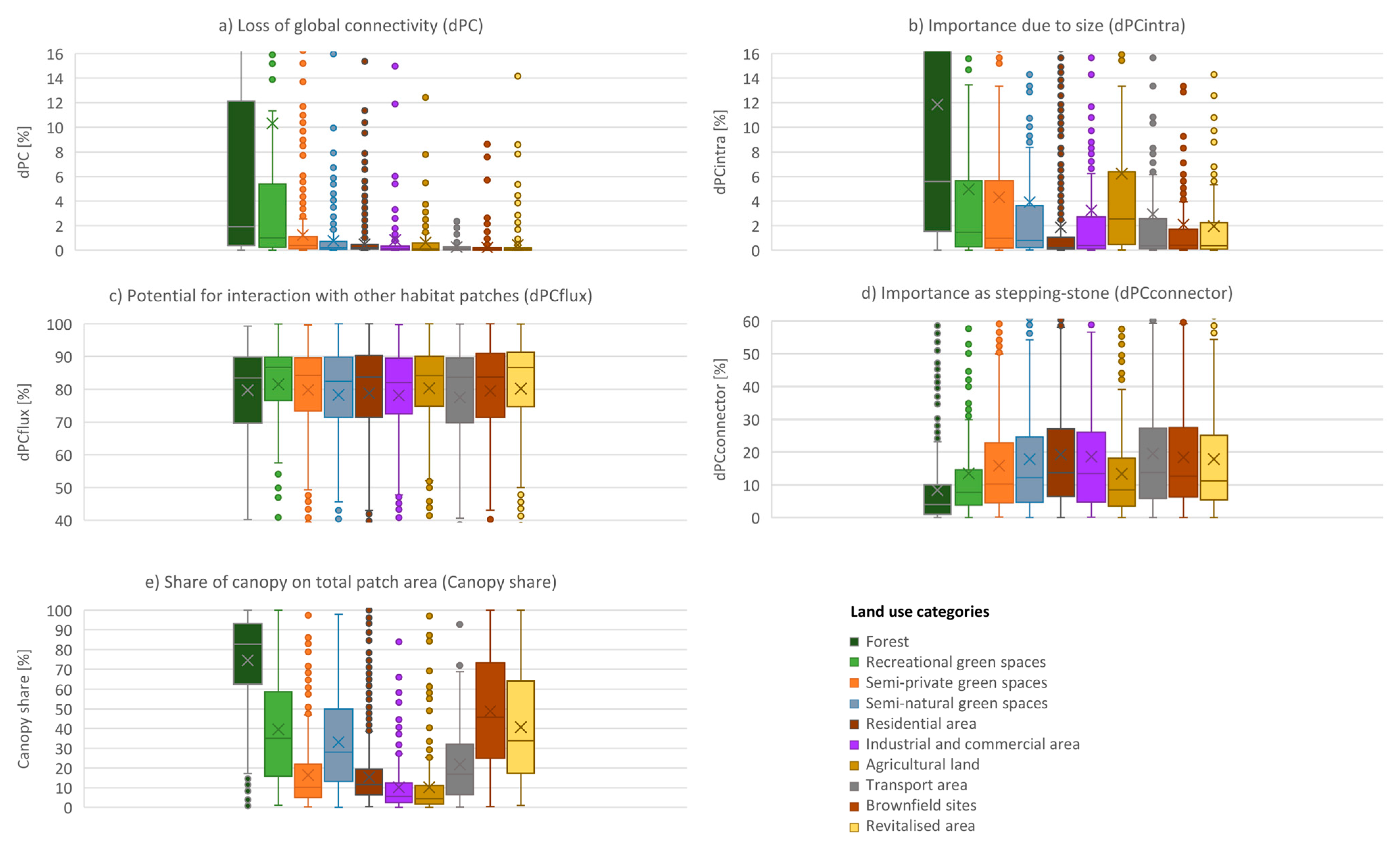
3.1. Variation of Connectivity of Tree Canopy over Land Use Classes
3.2. Connectivity of Revitalised Brownfields 1998 to 2020
3.3. Brownfields Sites for Preserving and Fostering Functional Connectivity
4. Discussion
4.1. The Complex Role of Existing and Revitalised Brownfields for the Functional Connectivity of UTS
- In the first step, decision-makers should carefully screen their strategic pool of brownfields and select those brownfields for structural redensification which either play no or only a very small role for the functional connectivity of the city. This study has shown that brownfields which support the connectivity of UTS have a comparably high canopy share. This ecological quality, together with their connectivity potential, could be used as an indication of whether a potential redensification would change the overall connectivity of the network. The results presented here allow a prioritisation of brownfield sites with respect to these two indicators. As a consequence, the large pool of brownfields which currently host either none or only small canopy patches could be redensified in the first place.
- In the second step, brownfields currently not relevant to functional connectivity are prioritised according to their potential for serving as stepping stones when the area is renatured. A corresponding prioritisation is provided by this analysis. In particular, brownfield sites which either strengthen existing primary and secondary networks should be renatured in the first place, as well as those which open corridors to habitat areas at the southern fringe or provide a bypass around the very dense city centre. Around the centre, the modelling has proven that the number of links of the renatured brownfield sites and adjacent canopy patches would substantially increase. As a consequence, this would result in a high redundancy of connections and a corresponding low criticalness and exposure against future land use changes. In contrast, brownfield patches with no or a very low contribution to functional connectivity when renatured could serve as potential candidates for redensification.
- In the third step, planning is asked to preserve functional connectivity by maintaining and protecting the relevant nodes of the urban tree canopy network. In this regard, the results help to prioritise existing brownfields according to their role for functional connectivity. At the same time, it is not only an individual site which is relevant in this regard, but their topological relations to other canopy patches. The results highlighted that, in particular, brownfield nodes parallel to Leipzig’s floodplains are connected with only a few links which could quickly vanish due to densification or sprawl at the outskirts. In several parts of the city, brownfield nodes with a high relevance as stepping stones are connected with a comparably low number of links and their corresponding criticalness is high. Consequently, planning is asked not just to preserve the important brownfield sites, but also their connections to other surrounding canopy patches—otherwise the functional connectivity of the whole corresponding subnetwork could decrease with limited options for animals to move.
- In the fourth step, this study has demonstrated that renaturation has the potential to strengthen the functional connectivity of some corridors. In contrast, for other areas, the renaturation of brownfields does not decrease, or barely does so, the criticalness of the corresponding nodes of UTS. For these areas, a large-scale protection status linked to existing protected areas within, or even outside, the administrative boundaries would support the preservation of the functional connectivity of UTS in the city and beyond.
4.2. Method Limitation
5. Conclusions
Supplementary Materials
Author Contributions
Funding
Data Availability Statement
Conflicts of Interest
References
- Wolff, M.; Haase, D. Mediating sustainability and liveability—Turning points of green space supply in European cities. Front. Environ. Sci. 2019, 7, 61. [Google Scholar] [CrossRef]
- Theodorou, P.; Radzevičiūtė, R.; Lentendu, G.; Kahnt, B.; Husemann, M.; Bleidorn, C.; Paxton, R.J. Urban areas as hotspots for bees and pollination but not a panacea for all insects. Nat. Commun. 2020, 11, 576. [Google Scholar] [CrossRef] [PubMed]
- Andersson, E.; Borgström, S.; Haase, D.; Langemeyer, J.; Mascarenhas, A.; McPhearson, T.; Wolff, M.; Łaszkiewicz, E.; Kronenberg, J.; Barton, D.N.; et al. A context-sensitive systems approach for understanding and enabling ecosystem service realization in cities. Ecol. Soc. 2021, 26, 35. [Google Scholar] [CrossRef]
- Landscape Institute. Connectivity and Ecological Networks; Technical Information Note 01/2016; Landscape Institute: London, UK, 2016. [Google Scholar]
- Konijnendijk, C.C.; Ricard, R.M.; Kenney, A.; Randrup, T.B. Defining urban forestry—A comparative perspective of North America and Europe. Urban For. Urban Green. 2006, 4, 93–103. [Google Scholar] [CrossRef]
- Flather, C.H.; Bever, M. Patchy reaction-diffusion and population abundance: The relative importance of habitat amount and arrangement. Am. Nat. 2002, 159, 40–56. [Google Scholar] [CrossRef]
- King, A.W.; With, K. Dispersal success on spatially structured landscapes: When do spatial pattern and dispersal behaviour really matter? Ecol. Model. 2002, 147, 23–39. [Google Scholar] [CrossRef]
- Minor, E.S.; Urban, D.L. A graph-theory framework for evaluating landscape connectivity and conservation planning. Conserv. Biol. 2008, 22, 297–307. [Google Scholar] [CrossRef] [PubMed]
- Bodin, Ö.; Norberg, J. A network approach for analyzing spatially structured populations in fragmented landscape. Landsc. Ecol. 2007, 22, 31–44. [Google Scholar] [CrossRef]
- Zetterberg, A.; Mörtberg, U.M.; Balfors, B. Making graph theory operational for landscape ecological assessments, planning, and design. Landsc. Urban Plan. 2010, 95, 181–191. [Google Scholar] [CrossRef]
- Treby, D.L.; Castley, J.G. Distribution and abundance of hollow-bearing trees in urban forest fragments. Urban For. Urban Green. 2015, 14, 655–663. [Google Scholar] [CrossRef]
- Turrini, T.; Knop, E. A landscape ecology approach identifies important drivers of urban biodiversity. Glob. Chang. Biol. 2015, 21, 1652–1667. [Google Scholar] [CrossRef]
- Evans, K.L.; Newson, S.E.; Gaston, K.J. Habitat influences on urban avian assemblages. Ibis 2009, 151, 19–39. [Google Scholar] [CrossRef]
- Kang, W.; Minor, E.S.; Park, C.R.; Lee, D. Effects of habitat structure, human disturbance, and habitat connectivity on urban forest bird communities. Urban Ecosyst. 2015, 18, 857–870. [Google Scholar] [CrossRef]
- Shanahan, D.F.; Miller, C.; Possingham, H.P.; Fuller, R.A. The influence of patch area and connectivity on avian communities in urban revegetation. Biol. Conserv. 2011, 144, 722–729. [Google Scholar] [CrossRef]
- Suarez-Rubio, M.; Ille, C.; Bruckner, A. Insectivorous bats respond to vegetation complexity in urban green spaces. Ecol. Evol. 2018, 8, 3240–3253. [Google Scholar] [CrossRef]
- Clergeau, P.; Burel, F. The role of spatio-temporal patch connectivity at the landscape level: An example in a bird distribution. Landsc. Urban Plan. 1997, 38, 37–43. [Google Scholar] [CrossRef]
- Ferreras, P. Landscape structure and asymmetrical inter-patch connectivity in a metapopulation of the endangered Iberian lynx. Biol. Conserv. 2001, 100, 125–136. [Google Scholar] [CrossRef]
- Opdam, P.; Wascher, D. Climate change meets habitat frag-mentation: Linking landscape and biogeographical scale levels inresearch and conservation. Biol. Conserv. 2004, 117, 285–297. [Google Scholar] [CrossRef]
- Munshi-South, J. Urban landscape genetics: Canopy cover predicts gene flow between white-footed mouse (Peromyscus leucopus) populations in New York City. Mol. Ecol. 2012, 21, 1360–1378. [Google Scholar] [CrossRef] [PubMed]
- Nor, A.N.M.; Corstanje, R.; Harris, J.A.; Grafius, D.R.; Siriwardena, G.M. Ecological connectivity networks in rapidly expanding cities. Heliyon 2017, 3, e00325. [Google Scholar] [CrossRef]
- Egerer, M.; Anderson, E. Social-Ecological Connectivity to Understand Ecosystem Service Provision across Networks in Urban Landscapes. Land 2020, 9, 530. [Google Scholar] [CrossRef]
- Heleno, R.H.; Ross, G.; Everard, A.; Memmott, J.; Ramos, J.A. Short communication the role of avian “seed predators” as seed dispersers. Ibis 2011, 153, 199–203. [Google Scholar] [CrossRef]
- Threlfall, C.G.; Law, B.; Banks, P.B. Sensitivity of insectivorous bats to urbanization: Implications for suburban conservation planning. Biol. Conserv. 2012, 146, 41–52. [Google Scholar] [CrossRef]
- Ossola, A.; Locke, D.; Lin, B.; Minor, E. Yards increase forest connectivity in urban landscapes. Landsc. Ecol. 2019, 34, 2935–2948. [Google Scholar] [CrossRef]
- EU. Urban Agenda for the EUPact of Amsterdam. Netherlands Presidency of the Council of the European Union (EU), 2016. Available online: https://ec.europa.eu/futurium/en/system/files/ged/pact-of-amsterdam_en.pdf (accessed on 6 May 2022).
- City of Leipzig. Integriertes Stadtentwicklungskonzept SEKO 2020 (Integrated Urban Development Concept), Updated from Original SEKO 2009; Beschluss der 57. Ratsversammlung, Nr. RBIV-1595/09 vom 20.05.2009; Dezernat Stadtentwicklung und Bau, Stadtplanungsamt: Leipzig, Germany, 2015. [Google Scholar]
- Luo, Y.; Wu, J.; Wang, X.; Peng, J. Using stepping-stone theory to evaluate the maintenance of landscape connectivity under China’s ecological control line policy. J. Clean. Prod. 2021, 296, 126–356. [Google Scholar] [CrossRef]
- Lynch, A.J. Creating Effective Urban Greenways and Stepping-stones: Four Critical Gaps in Habitat Connectivity Planning Research. J. Plan. Lit. 2019, 34, 131–155. [Google Scholar] [CrossRef]
- Taylor, P.D.; Fahrig, L.; Henein, K.; Merriam, G. Connectivity is a vital element of landscape structure. Oikos 1993, 68, 571–573. [Google Scholar] [CrossRef]
- Tischendorf, L.; Fahring, L. On the usage and measurement of landscape connectivity. Oikos 2000, 90, 7–19. [Google Scholar] [CrossRef]
- Gurrutxaga, M.; Lozano, P.J.; del Barrio, G. GIS-based approach for incorporating the connectivity of ecological networks into regional planning. J. Nat. Conserv. 2010, 18, 318–326. [Google Scholar] [CrossRef]
- Lookingbill, T.R.; Minor, E.S. Assessing Multi-Scale Landscape Connectivity Using Network Analysis. In Learning Landscape Ecology; Gergel, S., Turner, M., Eds.; Springer: Berlin, Germany, 2017. [Google Scholar]
- Wang, B.Y.; Liu, Z.C. Functional connectivity analyses and construction strategies of the structure of green space network in Haidian district of Beijing. Landsc. Archit. Front. 2019, 7, 34–51. [Google Scholar] [CrossRef]
- Cox, D.T.C.; Inger, R.; Hancock, S.; Anderson, K.; Gaston, K.J. Movement of feeder using songbirds: The influence of urban features. Sci. Rep. 2016, 6, 37669. [Google Scholar] [CrossRef] [PubMed]
- Dave, W. Wildlife Corridor Analysis Methods Summary and Results; Public Works Dept. Natural Resources Division: Bellingham, WA, USA, 2021. [Google Scholar]
- Hanks, E.M.; Hooten, M.B. Circuit Theory and Model-Based Inference for Landscape Connectivity. J. Am. Stat. Assoc. 2013, 108, 22–33. [Google Scholar] [CrossRef]
- Marrotte, R.R.; Bowman, J. The relationship between least-cost and resistance distance. PLoS ONE 2017, 12, e0174212. [Google Scholar] [CrossRef] [PubMed]
- Balbi, M.; Petit, E.J.; Croci, S.; Nabucet, J.; Georges, R.; Madec, L.; Ernoult, A. Ecological relevance of least cost path analysis: An easy implementation method for landscape urban planning. J. Environ. Manag. 2019, 244, 61–68. [Google Scholar] [CrossRef] [PubMed]
- Etherington, T.R. Least-Cost Modelling and Landscape Ecology: Concepts, Applications, and Opportunities. Curr. Landsc. Ecol. Rep. 2016, 1, 40–53. [Google Scholar] [CrossRef]
- Saura, S.; Hortal, P.L. A new habitat availability index to integrate connectivity in landscape conservation planning: Comparison with existing indices and application to a case study. Landsc. Urban Plan. 2007, 83, 91–103. [Google Scholar] [CrossRef]
- Fanhua, K.; Haiwei, Y.; Nobukazu, N.; Zong, Y. Urban green space network development for biodiversity conservation: Identification based on graph theory and gravity modeling. Landsc. Urban Plan. 2010, 95, 16–27. [Google Scholar]
- Bodin, Ö.; Tengo¨, M.; Norman, A.; Lundberg, J.; Elmqvist, T. The value of small size: Loss of forest patches and ecological thresholds in southern Madagascar. Ecol. Appl. 2006, 16, 440–451. [Google Scholar] [CrossRef] [PubMed]
- Urban, D.; Keitt, T. Landscape connectivity: A graph-theoretic perspective. Ecology 2001, 82, 1205–1218. [Google Scholar] [CrossRef]
- Jacoby, D.M.P.; Freeman, R. Emerging Network-Based Tools Movement Ecology. Trends Ecol. Evol. 2016, 31, 301–314. [Google Scholar] [CrossRef] [PubMed]
- Xiu, N.; Ignatieva, M.; van den Bosch, C.K.; Chai, Y.; Wang, F.; Cui, T.; Yang, F. A socio-ecological perspective of urban green networks: The Stockholm case. Urban Ecosyst. 2017, 20, 729–742. [Google Scholar] [CrossRef]
- Calabrese, J.M.; Fagan, W.F. A comparison-shopper’s guide to connectivity metrics. Front. Ecol. Environ. 2004, 2, 529–536. [Google Scholar] [CrossRef]
- Keitt, T.H.; Urban, D.L.; Milne, B.T. Detecting critical scales in fragmented landscapes. Conserv. Ecol. 1997, 1, 4. [Google Scholar]
- Pascual-Hortal, L.; Santiago, S. Comparison and development new graph-based landscape connectivity indices: Towards the priorization of habitat patches and corridors for conservation. Landsc. Ecol. 2006, 21, 959–967. [Google Scholar] [CrossRef]
- Andersson, E.; Bodin, Ö. Practical tool for landscape planning? An empirical investigation of network based models of habitat fragmentation. Ecography 2009, 32, 123–132. [Google Scholar] [CrossRef]
- Janssen, M.A.; Bodin, O.; Anderies, J.M.; Elmqvist, T.; Ernstson, H.; McAllister, R.R.J.; Olsson, P.; Ryan, P. Toward a network perspective of the study of resilience in social–ecological systems. Ecol. Soc. 2006, 11, 15. [Google Scholar] [CrossRef]
- Rink, D.; Haase, A.; Grossmann, K.; Couch, C.; Cocks, M. From long-term shrinkage to regrowth? A comparative study of urban development trajectories of Liverpool and Leipzig. Built Environ. 2012, 38, 162–178. [Google Scholar] [CrossRef]
- Wolff, M.; Haase, A.; Haase, D.; Kabisch, N. The impact of urban regrowth on the built environment. Urban Stud. 2017, 54, 2683–2700. [Google Scholar] [CrossRef]
- City of Leipzig. Integriertes Stadtentwicklungskonzept INSEK 2030 (Integregated Urban Development Concpet); Dezernat Stadtentwicklung und Bau, Stadtplanungsamt: Leipzig, Germany, 2020. [Google Scholar]
- Banzhaf, E.; Thomas, A.; Ladiges, J. Potenziale städtischer Gewerbebrachflächen für eine integrierte Stadtentwicklung. Disp-Plan. Rev. 2018, 54, 26–43. [Google Scholar] [CrossRef]
- Schumacher, U.; Meinel, G. ATKIS, ALK(IS), Orthobild—Vergleich von Datengrundlagen eines Flächenmonitorings. In Flächennutzungsmonitoring. Konzepte—Indikatoren–Statistik; Meinel, G., Schumacher, U., Eds.; Shaker-Verlag: Aachen, Germany, 2009; pp. 47–67. [Google Scholar]
- Cvejic, R.; Eler, K.; Pintar, M.; Zeleznikar, S.; Haase, D.; Kabisch, N.; Strohbach, M.W. A Typology of Urban Green Spaces, Ecosystem Services Provisioning and Demands. Report D3.1. 2015. Available online: https://greensurge.eu/working-packages/wp3/files/D3.1_Typology_of_urban_green_spaces_1_.pdf (accessed on 10 September 2021).
- City of Leipzig. INKOBRA Dataset on Brownfields Based on Catastral Information 1998 to 2020; Dezernat Stadtentwicklung und Bau, Stadtplanungsamt: Leipzig, Germany, 2020. [Google Scholar]
- Copernicus. High Resolution Layers. Available online: https://land.copernicus.eu/pan-european/high-resolution-layers (accessed on 6 May 2022).
- European Union; Copernicus Land Monitoring Service CLMS; European Environment Agency (EEA). HRL Forest 2018 Product User Manual 2021. Available online: https://land.copernicus.eu/user-corner/technical-library/forest-2018-user-manual.pdf (accessed on 6 May 2022).
- Vogt, P.; Riitters, K. GuidosToolbox: Universal digital image object analysis. Eur. J. Remote Sens. 2017, 50, 352–361. [Google Scholar] [CrossRef]
- Ostapowicz, K.; Vogt, P.; Riitters, K.; Kozak, J.; Estreguil, C. Impact of Scale on Morphological Spatial Pattern of Forest. Landsc. Ecol. 2008, 23, 1107–1117. [Google Scholar] [CrossRef]
- Mollashahi, H.; Szymura, M.; Szymura, T.H. Connectivity assessment and prioritization of urban grasslands as a helpful tool for effective management of urban ecosystem services. PLoS ONE 2020, 15, e0244452. [Google Scholar] [CrossRef] [PubMed]
- Graphab. Documentation. Available online: https://sourcesup.renater.fr/www/graphab/en/home.html (accessed on 6 May 2022).
- Marzluff, J.M.; DeLap, J.H.; Oleyar, M.D.; Whittaker, K.A.; Gardner, B. Breeding Dispersal by Birds in a Dynamic Urban Ecosystem. PLoS ONE 2016, 11, e0167829. [Google Scholar] [CrossRef] [PubMed]
- Völkl, W.; Blick, T.; Kornacker, P.; Martens, H. Quantitativer Überblick über die rezente Fauna von. Deutschland. Mollusca 2004, 1, 4. [Google Scholar]
- Bergsten, A.; Galafassi, D.; Bodin, Ö. The problem of spatial fit in social-ecological systems: Detecting mismatches between ecological connectivity and land management in an urban region. Ecol. Soc. 2014, 19, 6. [Google Scholar] [CrossRef]
- Rayfield, B.; Fortin, M.-J.; Fall, A. Connectivity for conservation: A framework to classify network measures. Ecology 2011, 92, 847–858. [Google Scholar] [CrossRef]
- Conefor Sensitode 2.2. Users Manuel Software for Quantifying the Importance of Habitat Patches for Landscape Connectivity through Graphs and Habitat Availability Indices. 2014. Available online: http://www.conefor.org/files/usuarios/CS22manual.pdf (accessed on 6 April 2022).
- Saura, S. Measuring connectivity in habitat mosaics: The equivalence of two existing network indices and progress beyond them. Community Ecol. 2010, 11, 217–222. [Google Scholar] [CrossRef]
- Saura, S.; Rubio, L. A common currency for the different ways in which patches and links can contribute to habitat availability and connectivity in the landscape. Ecography 2010, 10, 1618. [Google Scholar] [CrossRef]
- Haase, D.; Schwarz, N.; Strohbach, M.; Kroll, F.; Seppelt, R. Synergies, trade-offs, and losses of ecosystem services in urban regions: An integrated multiscale framework applied to the Leipzig-Halle region, Germany. Ecol. Soc. 2012, 17, 22. [Google Scholar] [CrossRef]
- Haase, D.; Wolff, M. Enabling ecosystem services at the neighborhood scale while allowing for urban regrowth: The case of Halle, Germany. Ecol. Soc. 2022, 27, 22. [Google Scholar] [CrossRef]
- Anguelovski, I.; Brand, A.L.; Connolly, J.J.T.; Corbera, E.; Kotsila, P.; Steil, J.; Garcia-Lamarca, M.; Triguero-Mas, M.; Cole, H.; Baró, F.; et al. Expanding the boundaries of justice in urban greening scholarship: Toward an emancipatory, antisubordination, intersectional, and relational approach. Ann. Am. Assoc. Geogr. 2020, 110, 1743–1769. [Google Scholar] [CrossRef]
- De Groot, R.S.; Blignaut, J.; van der Ploeg, S.; Aronson, J.; Elmqvist, T.; Farley, J. Benefits of Investing in Ecosystem Restoration. Conserv. Biol. 2013, 27, 1286–1293. [Google Scholar] [CrossRef] [PubMed]
- Pauleit, S.; Zölch, T.; Hansen, R.; Randrup, T.B.; Konijnendijk van den Bosch, C. Nature-based Solutions and Climate Change—Four Shades of Green. In Nature-Based Solutions to Climate Change in Urban Areas—Linkages of Science, Society and Policy; Kabisch, N., Bonn, A., Korn, H., Stadler, J., Eds.; Springer: New York, NY, USA, 2017. [Google Scholar]
- Lausch, A.; Bastian, O.; Klotz, S.; Leitão, P.J.; Jung, A.; Rocchini, D.; Schaepman, M.E.; Skidmore, A.K.; Tischendorf, L.; Knapp, S.; et al. Understanding and assessing vegetation health by in-situ species and remote sensing approaches. Methods Ecol. Evol. 2018, 9, 1799–1809. [Google Scholar] [CrossRef]
- Preston, P.D.; Dunk, R.M.; Smith, G.R.; Cavan, G. Not all brownfields are equal: A typological assessment reveals hidden green space in the city. Landsc. Urban Plan. 2023, 229, 104590. [Google Scholar] [CrossRef]
- IUCN. The IUCN Urban Nature Indices: A Methodological Framework; IUCN: Cambridge, UK, 2022; 32p. [Google Scholar]







Disclaimer/Publisher’s Note: The statements, opinions and data contained in all publications are solely those of the individual author(s) and contributor(s) and not of MDPI and/or the editor(s). MDPI and/or the editor(s) disclaim responsibility for any injury to people or property resulting from any ideas, methods, instructions or products referred to in the content. |
© 2023 by the authors. Licensee MDPI, Basel, Switzerland. This article is an open access article distributed under the terms and conditions of the Creative Commons Attribution (CC BY) license (https://creativecommons.org/licenses/by/4.0/).
Share and Cite
Wolff, M.; Haase, D.; Priess, J.; Hoffmann, T.L. The Role of Brownfields and Their Revitalisation for the Functional Connectivity of the Urban Tree System in a Regrowing City. Land 2023, 12, 333. https://doi.org/10.3390/land12020333
Wolff M, Haase D, Priess J, Hoffmann TL. The Role of Brownfields and Their Revitalisation for the Functional Connectivity of the Urban Tree System in a Regrowing City. Land. 2023; 12(2):333. https://doi.org/10.3390/land12020333
Chicago/Turabian StyleWolff, Manuel, Dagmar Haase, Jörg Priess, and Tobias Leander Hoffmann. 2023. "The Role of Brownfields and Their Revitalisation for the Functional Connectivity of the Urban Tree System in a Regrowing City" Land 12, no. 2: 333. https://doi.org/10.3390/land12020333
APA StyleWolff, M., Haase, D., Priess, J., & Hoffmann, T. L. (2023). The Role of Brownfields and Their Revitalisation for the Functional Connectivity of the Urban Tree System in a Regrowing City. Land, 12(2), 333. https://doi.org/10.3390/land12020333

