Abstract
Fires in forested raised bogs occur both as a result of natural processes and as a result of human activity. Although there is a generally accepted opinion that their impact on ecosystems is significant, there is still a lack of scientifically reliable research on how individual components of damaged ecosystems change and recover under the influence of fires. The purpose of our study was to assess whether and how these fires affect the chemical composition of the peat layers. This study is based on a geochemical analysis of surface peat layers in areas after a controlled fire and in adjacent areas which were untouched by the fire in a raised bog of Čepkeliai. This study showed a low concentration of potentially toxic elements in the peat layers. In this respect, it is clear that there is no risk of environmental contamination in this natural raised bog. Furthermore, the research revealed other important insights on the combination of potentially toxic elements that can be used as a tracer for the identification of fire events that occurred in the past. Multiple analyses on various combinations of potentially toxic elements revealed the optimal combination (Cu-Zr-Pb-Se-Fe) for distinguishing between the burnt and non-burnt areas. Based on the results of our research, it can be stated that the low-temperature, controlled burning of the peat layers of raised bog forests can be successfully carried out to achieve the environmental and ecological goals of forest management.
1. Introduction
Natural fires (in areas with flammable substances and favourable combustion conditions) have always been caused by natural or human activities, and their impact on ecosystems has always been significant [,,,]. On the one hand, forest fires are major ecological and economic disasters, leading to losses in forest production, biodiversity and ecological services. However, in recent decades, ecologists and environmentalists have recognized that controlled burning is seen as an environmental measure to preserve ecologically valuable habitats [,,,]. In regions prone to wildfires due to weather conditions and dense vegetation, regularly controlled burnings are used as a standard fire risk reduction strategy [,,]. Furthermore, bog fires are more common due to climate change and droughts, which can cause various consequences or, in other ways, serve as a prerequisite for evolution and affect the functioning of some ecosystems as well as the maintenance of biodiversity [].
In addition to the impact of fires on the biodiversity and habitat stability of burnt areas, fires also cause chemical and physical changes in the surface peat and deeper peat layers of these areas [,]. Changes in the physical and chemical properties of the peat are recorded in fire-affected areas and include changes in the structure, porosity, organic matter, pH and concentrations of chemical elements in the peat layers or topsoil [,,,,]. Researchers have found that both controlled and natural fires can lead to the release and redistribution of potentially toxic elements (PTEs) accumulated in vegetation and soil organic matter in the environment or the formation of hazardous compounds [,,,].
PTEs, such as As, Cd, Co, Cr, Cu, Hg, Mn, Ni, Pb and Zn, are naturally occurring microelements in soils, sediments and peat []. However, under unfavourable environmental conditions, the stability and forms of these elements cause them to change from stable compounds to mobile ones, contributing to pollution in the soil and wetland environments, which is a major concern for and a direct threat to ecosystems and human health [,,,,,].
Once in the peat of wetlands and forest ecosystems, the PTEs accumulate in the organic peat layers [,], mix with airborne particles and sediments (deeper layers) and form compounds with organic matter, which can be available to and absorbed by plants, making them immobile in vegetation [,,]. Studies have shown that Hg, Cr, Cu and Pb are strongly bound to organic matter in the forest floor, while Cd, Co, Mn, Ni and Zn are weakly bound [,].
Although it is generally accepted that the peat temperature in a forest area does not significantly change during a given fire event because it is a relatively rapid process, the same cannot be said for the loss of peat moisture and the physico-chemical properties of the soil []. The wild or controlled burning of vegetation and peat organic matter causes changes in their properties that can release elements from the system, allowing them to become unstable and remobilize. This is mainly due to the ash and smoke [,].
An important scientific question that remains to be answered in detail is whether natural or managed wildland fires can produce ecologically hazardous, anomalous compounds in the peat and its horizons [,]. Metals are known to become more mobile after a fire due to increased peat surface exposure and the mobility associated with ash scattering. This mobility can increase the bioavailability of metals, which can lead to water quality problems and contribute to human and environmental health problems. Although the influence of fire on many properties of peat is well known from laboratory tests or its industrial properties, the behaviour of metals in wetlands, with respect to fire, has not been well studied []. However, some studies suggest that the main traces of metals are Cd, Cr, Co, Cu, Hg, Mn, Ni, Pb, Zn and As, which are mobilized after a fire due to their increased concentrations in the peat and water resources and may pose a risk to human health and environmental ecosystems [,,]. Climate change can increase the intensity, frequency and total area of fires, leading to increased concentrations of these metals and their potential effects on the ecosystem.
For our research, we chose one of the most natural raised bogs with a very low anthropogenic impact in Lithuania—the Čepkeliai Nature Reserve, Dzūkija National Park. Due to its distance from cities and industrial centres, this study area is classified as a valuable and protected area of PAN in Europe [].
Despite the relatively low human impact on the environmental management of this area, fires occur from time to time that disrupt the succession of ecosystems, but, at the same time, help to maintain the most valuable local ecosystems []. A managed forest fire has a positive environmental impact on the protection of biodiversity and habitats, but the question of whether the same fire has a negative impact on the peat layers of the former bog and the deeper geological strata remains unanswered.
Based on the abundant scientific literature, most studies to date have focused on the effects of fire on the chemical and physical properties of upland soils, but relatively little is known about what happens in boreal/temperate Sphagnum bogs []. Published scientific studies mainly emphasize the changes in the physical properties of organic matter and peat layers [,,,], but there is a lack of studies devoted to the changes in the behaviour of the PTEs in the bog peatlands after a fire event.
The results of the research carried out in this study provide information on whether fires have an effect on the concentrations of PTEs, how they are redistributed and the additional scientific significance of their combinations.
2. Materials and Methods
Study area. The most well-known and largest fires in Čepkeliai in the 20th century (according to historical sources) broke out during the First World War in 1915—this is confirmed by dendrochronological studies based on the analysis of the annual growth of wetland pines. The areas covered by the fires in the whole Čepkeliai wetland then amounted to several thousand hectares (the entire area of the Čepkeliai wetland was registered in the Lithuanian peat bog cadastre—5858 ha). The Čepkeliai bog is the most natural and untouched bog in Lithuania and Europe and can be considered the most natural wetland ecosystem. This ecosystem is represented in various scientific studies.
Currently, the hundred-year-old pines with fire scars in the stems of the forests and wetland of the Čepkeliai State Nature Reserve are like chroniclers of fires. Since the establishment of the Čepkeliai Reserve (1975), the forests in the reserve have not been felled, and wetland pines growing in the forest, now aged 170–180 years, can be found throughout the wetland. There are individual trees in the swamp that are over 200 years old.
During the period of operation of the reserve, the largest fire, which spread at the same time in both the dry forests and wetlands, occurred in 1992, and the fire area reached 48.5 ha. In the western part of the study area, which is currently not overgrown with bog pine, fires occurred in 1965, 1968, 1975 and 1992 (peat sampling sites No. 37, 38, 39, 40, 41, 42, 43, 44 and 45). At the quarter line, the fire on the eastern edge of the fire site was stopped (by launching a counterfire), so the open fire did not spread to the east. For this reason, we state that peat sampling sites No. 46, 47, 48, 49, 50 and 51 (Figure 1) were not reached by the fire in 1992.

Figure 1.
Study area in Čepkeliai peatland.
Since these events, new plant habitats have been restored in the wetland. However, there are still a number of tree stems that died during the fire, as well as pines that survived the fire and continue to grow, with traces of the fire left in the stems. Pine forests germinate and grow in abundance throughout the fire pit, but they are constantly eaten by moose. For the animals, this new small pine forest is a very good place to feed, and due to the abundance and intensive feeding of elk, a new generation of trees has not yet grown here.
Coring and sampling. A total of 15 sampling points were selected and distributed evenly in the raised bog areas where fires occurred and did not occur. For this purpose, the “ArcMap 10.8.1” software was used for the precise selection of sampling points. The thickness of the peat core samples in the Čepkeliai bog was 50 cm. Following the logging recommendations for environmental investigations [], we decided to take samples with an optimal resolution of 10 cm to determine the stratigraphy and chemical composition of the sections and detect traces of possible fire events. A total of 75 samples were analysed.
The X-ray fluorescence spectrometry. The samples were dried at 105 °C to a constant mass and mashed using porcelain mortars. Then, the particles <125 µm in size were separated, and the obtained mass was placed in a special capsule, which was used in the XRF analyser. The concentrations of the PTEs were analysed using an X-ray fluorescence spectrometer Niton XL2 Analyzer (2009). The overall accuracy for the analysis of the chemical elements varies from 10% (Cr, Cu, Zn, Zr, Sr, Rb, Mn and Fe) to 20% (As, Pb, Cd and Hg). As XRF is not a destructive method (e.g., acids are not used to treat samples), the capsules contain unchanged samples and can be used in several devices so that high-accuracy measurements can be performed. The concentrations of Hg analysed using the Niton XL2 Analyzer and SPECTRO XEPOS were below the level of detection, so our further analysis of the PTEs included only elements that were reliably detected using both devices.
Statistical methods. Data on the concentrations of the PTEs were analysed using the XLSTAT statistical package. Discriminant Analysis (DA), Agglomerative Hierarchical Clustering (AHC), and Principal Component Analysis (PCA) were used as the clustering (or classification) methods to determine dissimilarities between the objects to be grouped together. DA was used to check if the observed groups were distinct in a two-dimensional chart. DA may be used in numerous applications, including those in ecology and environmental sciences [,]. PCA was used as one of the most frequently used multivariate data analysis methods. Given a table of quantitative data (continuous or discrete) in which n observations were described by p variables (measurements, concentrations of PTEs), if p was quite high, it was impossible to grasp the structure of the data and the nearness of the observations by merely using univariate statistical analysis methods or even a correlation matrix [,]. AHC was used to highlight the dissimilarities between the concentrations of PTEs in the burnt and non-burnt areas to be grouped together. The generated dendrogram showed the progressive grouping of the data. It gave an idea of the suitable number of classes into which the data could be grouped [,]. As a statistical method, a Spearman correlation model was used, as it is a non-parametric method which does not assume any specific distribution of the data. In addition, a Spearman correlation is less affected by outliers and is suitable for ordinal, ranked or non-normally distributed data. It can be used with ordinal data (data with ordered categories) as well as continuous data, making it a versatile tool in various fields, including the social sciences, environmental sciences and economics. Furthermore, it can be used with small sample sizes and is less affected by sample size compared to some other statistical tests [,].
3. Results
After the fires, a whole new generation of wetland pines grew at the Čepkeliai fire sites. According to the scars on the surviving individual older pines, we found that fires in the Čepkeliai swamp were much more frequent in the 20th century than in the 19th century. Major fires took place in the Čepkeliai swamp in 1915, 1940, 1944, 1945, 1963, 1965, 1968, 1975 and 1992. Some of these dates are reminiscent of important historical events in the twentieth century: the coincidence of the two World Wars and the fires is a reminder that there were active hostilities in these areas.
The subsequent fire boom in 1963–1975 is indicative of a dry period (climatic data were already widely recorded in meteorological stations at the time), and during this period, there was a significant increase in human movement and economic activity in the forests and swamps. The cause of the fires was often the careless handling of fire or arson. The most recent fire event was in 1992.
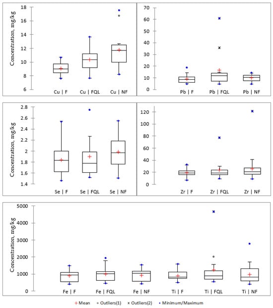
A total of 17 chemical elements were identified in the top (50 cm) layer of the peat in the Čepkeliai raised bog. Descriptive statistics of the most important PTEs for the separation of burnt and non-burnt areas are provided in Figure 2. None of the concentrations of PTEs were high compared with the maximum allowable concentrations based on the hygienic norms for the soils in Lithuania []. These amounts are typical for relatively natural ecosystems, such as raised bogs. Slightly higher than average concentrations of all of the PTEs were observed in the non-burnt area compared to the burnt area, but these differences are not significant from the perspective of the actual determined values (r = 0.67). These concentrations do not exceed any maximum allowed values (Cu—75 mg/kg, Pb—80 mg/kg) determined for soils or sediments []. High concentrations of Fe and Ti are naturally found in different environments (peat, soil, sediments, etc.). The results did not show any potential threat of enriched concentrations of PTEs. On the contrary, they create the conditions for the after-fire growth of vegetation as the surface peat layer is enriched with macro- and micro-elements.

Figure 2.
Descriptive statistics of concentrations of PTEs in the peat of Čepkeliai bog.
Nevertheless, the results regarding the variability of concentrations of Fe, Ti, Cu, Pb and Zr in the burnt and non-burnt areas and the forest quarter line (Figure 2) showed the highest maximum variance in the forest quarter line and non-burnt area. In addition to the higher variability, the higher mean concentrations of Cu, Se and Zr suggest the other possible process that takes place during the fire event. Depending on the direction of the wind and its velocity, these elements can be redistributed. The forested area acts as a wall or a trap for the ash. Thus, higher concentrations can be found in the non-burnt area. Also, a natural process such as long-distance transmission (air transfer) is an important source of PTEs in a natural ecosystem such as the Čepkeliai bog [,]. No point source pollution has been identified in the area.
Studies show that the main traces of metals are Cd, Cr, Co, Cu, Hg, Mn, Ni, Pb, Zn and As, which are mobilized after the fire, with increasing concentrations in the soil and water resources [,]. Nevertheless, these studies focused on the fire events in various ecosystems, such as meadows, pastures, forests, urban territories, etc. Our study focused only on the peatland (raised bog). Thus, the association matrix of PTEs differs, and these potentially anthropogenic metals, like Cr, Cd, Co, Hg or Ni, are not relevant in natural territories like the Čepkeliai peatland. It is even harder to distinguish the whole sample of metals or their complexes, which would be relevant and could indicate fire events. Thus, in our study, we focused on the speciation of separate PTEs and their individual inter-associations.
The multiple PCA statistics approach revealed the most important PTEs for distinguishing between the burnt (F) and non-burnt (NF) areas in the Čepkeliai raised bog, excluding the forest quarter line (Figure 3a–d).


Figure 3.
(a) PCA results of As, Cu, Zn, Zr, Sr, Rb, Pb, Se, Hg, Fe, Cr, V, Ti, Ca, K and S. (b) PCA results of As, Cu, Zn, Zr, Pb, Se, Fe, Cr, Ti, Ca and K. (c) PCA results of As, Cu, Zn, Zr, Pb, Se, Fe and Cr. (d) PCA results of Cu, Zr, Pb, Se and Fe.
The significant interrelations were determined for Cu-Zr-Pb-Se-Fe (Table 1). The correlation coefficients vary from 0.65 to 0.78 (p < 0.05). The highest coefficients were determined to be associated with Se, which is a biophilic element and is widely found in plants. Thus, during the fire, it becomes concentrated in the ashes and later becomes available to plants [].

Table 1.
Correlation matrix (Spearman) of concentrations of PTEs in the peat of Čepkeliai bog.
Other metals like Cu, Zn and Fe are also common as microelements in most natural environments, as well as in plants. Nevertheless, the accumulation of these metals is in small amounts. During the fire events, such metals become concentrated, but the difference is not significant []. A biophilic chemical element, such as Se, showed minor differences between the burnt and non-burnt areas. Zr, a minerogenic element, is always considered an airborne element, and with a fire event, due to ash redistribution, heavier elements, like Pb and Fe, are concentrated in trap areas, such as the (FQA) forest quarter line or the (NF) forested area (Figure 2). Also, the DA analysis showed a minor difference in the chemical composition of the peat layers between the burnt and non-burnt areas, as the computed p-value (<0.0001) is lower than the significance level, alpha = 0.05, so the within-class covariance matrices are different. Only Cu, one of the most important microelements, and Zn (uneven distribution) are primarily concentrated in the non-burnt area of the Čepkeliai raised bog.
After the multiple analyses on the various combinations of the PTEs, the optimal combination (Cu-Zr-Pb-Se-Fe) of the PTEs was determined to distinguish between the burnt and non-burnt areas. It is clear that F1 and F2 were from 54.9% (Figure 3a) to 78.0% (Figure 3d). This was confirmed by the AHC analysis (Figure 4), which showed a dissimilarity between the F and NF zones. The exclusion of the PTEs was performed based on the statistical significance of the whole correlation matrix (Spearman). Our study revealed that the fire events are not the source of the significant enrichment of PTEs in a natural environment such as the Čepkeliai raised bog. Additionally, our research revealed the main elements and their associations, which can be used to determine past fire events in raised bogs.

Figure 4.
AHC results of Cu, Zr, Pb, Se and Fe for burnt (F) and non-burnt (NF) areas.
4. Discussion
Various speculative claims are often made on the publicly available information indicating that fires of forests and natural meadows adversely affect the chemical composition of the soil or peat by increasing the concentrations of hazardous chemical elements, including PTEs, and pose a significant risk to the environment (soil and groundwater).
In our study, an analysis of the concentrations of Cd, Cr, Co, Cu, Hg, Mn, Ni, Pb, Zn and As was carried out in an area of the raised bog where forest fires took place and in an adjacent control area where such fire events did not take place. No severe anomalies were observed in the burnt and non-burnt areas. Other studies in different ecosystems (meadows, forests, etc.) also showed that in such a natural environment, the vegetation accumulates only minor amounts of microelements, including PTEs [,]. Differences in the concentrations of PTEs were observed only for some PTEs (Cu, Zr, Pb, Se, Fe), which were identified using multiple PCAs and AHC and DA analyses. These differences are statistically significant even though the concentrations are not high and can be used as a tracer for the identification of past fire events [].
Our study showed that the main traces of metals are Cu, Pb, Fe, Ti and Se, which are mobilized after the fire, with increasing concentrations in the soil and water resources [,]. However, whereas other studies focus on fire events in various ecosystems, such as meadows, pastures, forests, urban territories, etc., our study focused only on peatland. Thus, the association matrix of the PTEs differs, and potentially anthropogenic metals, like Cr, Cd, Co, Hg or Ni, are not relevant in natural territories.
Regular fires in wetland biomass help to maintain the dynamic state of local ecosystems by preventing a transition to a climatic state, which would affect the inevitable change in biodiversity from currently open habitats to the loss or extinction of valuable plant and animal species []. Many plant species found in medium-latitude coniferous forests have evolutionary adaptations that allow them to survive fires or reproduce after fires, as long as the concentrations of chemical elements in the soil are typical. As such ecosystems are characterized by unique chemical compositions, forest communities can cope with fires if the frequency, magnitude and intensity of the fires match the conditions these forests have been subjected to throughout their evolutionary history [,]. Finally, regular fire events reduce the risk of dangerous, large-scale and high-temperature forest fires, as lower levels of accumulated dry biomass prevent large-scale forest fires [].
The maintenance of wetland ecosystems and the removal of excessive biomass can be done using mechanical measures, such as the thinning and regular removal of potentially combustible biomass. However, it can lead to the destruction of peat top-layer and cause damage to tree stems and roots [,]. Based on the results of our research and the ideas expressed in this discussion, it can be argued that controlled, low-temperature subsurface fires in wetlands can be successful in achieving the environmental and ecological goals of forest management. Fire bogs are reported in other studies of northeastern Europe. Unfortunately, most of these studies are based on climate change and changes to the hydrological regime [].
Nevertheless, our research results revealed the possibility of using the assemblages of PTEs as tracers to detect recent and past fire events in raised bog ecosystems. In addition, higher concentrations of some PTEs in non-burnt areas showed that the transportation of ash to adjacent areas is an important factor for the redistribution of concentrations of PTEs. Also, further analysis of the core samples from the peat layers of undisturbed ecosystems, such as the Čepkeliai raised bog, should be carried out in order to determine the natural processes of fires in relation to anthropogenic activity and natural climate change.
5. Conclusions
This detailed analysis of the concentrations of PTEs in an exclusive environment, specifically the Čepkeliai raised bog, revealed several specific insights into the manner of fire events. The concentrations of PTEs in the peat layers that were determined in our study were below any maximum allowable concentrations. Our results showed that an influence of fire events on the potential environmental risk, pollution or concentration of hazardous substances is impossible in a natural environment where the anthropogenic load is very low. On the contrary, recurring fire events in raised bogs slow down the processes of the succession of the wetland ecosystem and provide specific habitats for protected species. Furthermore, multiple statistical analyses showed significant interrelations for Cu-Zr-Pb-Se-Fe. This specific association of PTEs is a valuable finding for detecting and determining not only current fire events but also past fire events. Further investigations should be carried out in these raised bogs, including the creation of deep cores to not only reconstruct the paleoenvironmental conditions, but also to identify charcoal remains and analyse its chemical composition.
The exclusion of PTEs was performed based on the statistical significance of the whole correlation matrix. Our study revealed that fire events are not the source of the significant enrichment of natural environments such as the Čepkeliai raised bog with PTEs. Additionally, our research revealed the main elements and their associations, which can be used to determine past fire events in raised bogs.
Author Contributions
Conceptualization, G.I. and V.V.; methodology, V.V. and G.K.; software, V.V.; formal analysis, G.I. and V.V.; investigation, G.K.; resources, G.K.; data curation, V.V.; writing—original draft preparation, G.I. and V.V.; writing—review and editing, J.T. and A.U.; supervision, J.T. and A.U. All authors have read and agreed to the published version of the manuscript.
Funding
This research received no external funding.
Data Availability Statement
Not applicable.
Conflicts of Interest
The authors declare no conflict of interest.
References
- Morris, J.L.; Valiranta, M.; Sillasoo, U.; Tuittila, E.S.; Korhola, A. Re-evaluation of late Holocene fire histories of three boreal bogs suggest a link between bog fire and climate. Boreas 2014, 44, 60–67. [Google Scholar] [CrossRef]
- Bond, W.J.; Keeley, J.E. Fire as a global ‘herbivore’: The ecology and evolution of flammable ecosystems. Trends Ecol. Evol. 2005, 20, 387–394. [Google Scholar] [CrossRef] [PubMed]
- Belcher, C.M. Fire Phenomena and the Earth System: An Interdisciplinary Guide to Fire Science; John Wiley & Sons: Hoboken, NJ, USA, 2013; p. 579. [Google Scholar] [CrossRef]
- Kruger, L.M.; Charles-Dominique, T.; Bond, W.J.; Midgley, J.J.; Balfour, D.A.; Mkhwanazi, A. Woody plant traits and life-history strategies across disturbance gradients and biome boundaries in the Hluhluwe–iMfolozi Park. In Conserving Africa’s Megadiversity in the Anthropocene: The Hluhluwe–iMfolozi Park Story; Cromsigt, J.P.G.M., Archibald, S., Owen-Smith, N., Eds.; Cambridge University Press: Cambridge, UK, 2017; pp. 189–210. [Google Scholar]
- Weddell, B.J. Conserving Living Natural Resources: In the Context of a Changing World; Cambridge University Press: Cambridge, UK, 2002. [Google Scholar]
- Pausas, J.G. Evolutionary fire ecology: Lessons learned from pines. Trends Plant Sci. 2015, 20, 318–324. [Google Scholar] [CrossRef] [PubMed]
- Alcañiz, M.; Outeiro, L.; Francos, M.; Farguell, J.; Úbeda, X. Long-term dynamics of soil chemical properties after a prescribed fire in a Mediterranean forest (Montgrí Massif, Catalonia, Spain). Sci. Total Environ. 2016, 572, 1329–1335. [Google Scholar] [CrossRef]
- Archibald, S.; Hempson, G.P.; Lehmann, C. A unified framework for plant life-history strategies shaped by fire and herbivory. New Phytol. 2019, 224, 1490–1503. [Google Scholar] [CrossRef]
- Pullin, A.S. Conservation Biology; Cambridge University Press: Cambridge, UK, 2002; p. 444. [Google Scholar]
- Aguilar, S.; Montiel, C. The challenge of applying governance and sustainable development to wildland fire management in Southern Europe. J. For. Res. 2011, 22, 627–639. [Google Scholar] [CrossRef]
- Ascoli, D.; Lonati, M.; Marzano, R.; Bovio, G.; Cavallero, A.; Lombardi, G. Prescribed burning and browsing to control tree encroachment in southern European heathlands. For. Ecol. Manag. 2013, 289, 69–77. [Google Scholar] [CrossRef]
- Lee, H.; Alday, J.G.; Rosenburgh, A.; Harris, M.; McAllister, H.; Marrs, R.H. Change in propagule banks during prescribed burning: A tale of two contrasting moorlands. Biol. Conserv. 2013, 165, 187–197. [Google Scholar] [CrossRef]
- Hutchinson, S.M.; Armitage, R.P. A peat profile record of recent environmental events in the South Pennines (UK). Water Air Soil Pollut. 2009, 199, 247–259. [Google Scholar] [CrossRef]
- Worrall, F.; Clay, G.D.; Marrs, R.; Reed, M.S. Impacts of Burning Management on Peatlands. Scientific Review. IUCN Peatland Programme. 2009. Available online: https://www.iucn-uk-peatlandprogramme.org/sites/www.iucn-uk-peatlandprogramme.org/files/images/Review%20Impacts%20of%20Burning%20on%20Peatlands%2C%20June%202011%20Final.pdf (accessed on 11 April 2023).
- Bartkowiak, A.; Lemanowicz, J. Effect of forest fire on changes in the content of total and available forms of selected heavy metals and catalase activity in soil. Soil Sci. Annu. 2017, 68, 140–148. [Google Scholar] [CrossRef]
- Carter, M.C.; Foster, C.D. Prescribed burning and productivity in southern pine forests: A review. For. Ecol. Manag. 2004, 191, 93–109. [Google Scholar] [CrossRef]
- Zaccone, C.; Rein, G.; D’Orazio, V.; Hadden, R.M.; Belcher, C.M.; Miano, T.M. Smouldering fire signatures in peat and their implications for palaeoenvironmental reconstructions. Geochim. Cosmochim. Acta 2014, 137, 134–146. [Google Scholar] [CrossRef]
- Rosenburgh, A.; Alday, J.G.; Harris, M.P.; Allen, K.A.; Connor, L.; Blackbird, S.J.; Marrs, R.H. Changes in peat chemical properties during post-fire succession on blanket bog moorland. Geoderma 2013, 211, 98–106. [Google Scholar] [CrossRef]
- Kettridge, N.; Humphrey, R.E.; Smith, J.E.; Lukenbach, M.C.; Devito, K.J.; Petrone, R.M.; Waddington, J.M. Burned and unburned peat water repellency: Implications for peatland evaporation following wildfire. J. Hydrol. 2014, 513, 335–341. [Google Scholar] [CrossRef]
- Sakalauskienė, G.; Ignatavičius, G. Effect of drought and fires on the quality of water in Lithuanian rivers. Hydrol. Earth Syst. Sci. 2003, 7, 423–427. [Google Scholar] [CrossRef][Green Version]
- Campos, I.; Abrantes, N.; Keizer, J.J.; Vale, C.; Pereira, P. Major and trace elements in soils and ashes of eucalypt and pine forest plantations in Portugal following a wildfire. Sci. Total Environ. 2016, 572, 1363–1376. [Google Scholar] [CrossRef]
- Abraham, J.; Dowling, K.; Florentine, S. Controlled burn and immediate mobilization of potentially toxic elements in soil, from a legacy mine site in Central Victoria, Australia. Sci. Total Environ. 2018, 616, 1022–1034. [Google Scholar] [CrossRef]
- Burton, E.D.; Choppala, G.; Karimian, N.; Johnston, S.G. A new pathway for hexavalent chromium formation in soil: Fire-induced alteration of iron oxides. Environ. Pollut. 2019, 247, 618–625. [Google Scholar] [CrossRef]
- Wieder, R.K.; Vitt, D.H. Boreal Peatland Ecosystems; Springer Science & Business Media: Berlin/Heidelberg, Germany, 2006; Volume 188. [Google Scholar]
- Rezanezhad, F.; Price, J.S.; Quinton, W.L.; Lennartz, B.; Milojevic, T.; Van Cappellen, P. Structure of peat soils and implications for water storage, flow and solute transport: A review update for geochemists. Chem. Geol. 2016, 429, 75–84. [Google Scholar] [CrossRef]
- Shuttleworth, E.L.; Clay, G.D.; Evans, M.G.; Hutchinson, S.M.; Rothwell, J.J. Contaminated sediment dynamics in peatland headwater catchments. J. Soils Sediments 2017, 17, 2637–2647. [Google Scholar] [CrossRef]
- Pereira, P.; Ubeda, X. Spatial distribution of heavy metals released from ashes after a wildfire. J. Environ. Eng. Landsc. Manag. 2010, 18, 13–22. [Google Scholar] [CrossRef]
- Zhuang, P.; Lu, H.; Li, Z.; Zou, B.; McBride, M.B. Multiple exposure and effects assessment of heavy metals in the population near mining area in South China. PLoS ONE 2014, 9, e94484. [Google Scholar] [CrossRef] [PubMed]
- Soliman, N.F.; Nasr, S.M.; Okbah, M.A. Potential ecological risk of heavy metals in sediments from the Mediterranean coast. Egypt. J. Environ. Health Sci. Eng. 2015, 13, 1. [Google Scholar] [CrossRef] [PubMed]
- Popovych, V.; Gapalo, A. Monitoring of Ground Forest Fire Impact on Heavy Metals Content in Edafic Horizons. J. Ecol. Eng. 2021, 22, 96–103. [Google Scholar] [CrossRef]
- Howard, D.; Macsween, K.; Edwards, G.C.; Desservettaz, M.; Guérette, E.A.; Paton-Walsh, C.; Meyer, C.M. Investigation of mercury emissions from burning of Australian eucalypt forest surface fuels using a combustion wind tunnel and field observations. Atmos. Environ. 2019, 202, 17–27. [Google Scholar] [CrossRef]
- Opekunova, M.G.; Opekunov, A.Y.; Kukushkin, S.Y.; Ganul, A.G. Background contents of heavy metals in soils and bottom sediments in the north of Western Siberia. Eurasian Soil Sci. 2019, 52, 380–395. [Google Scholar] [CrossRef]
- Grigal, D. Mercury sequestration in forests and peatlands. J. Environ. Qual. 2003, 32, 393–405. [Google Scholar] [CrossRef]
- Yong, J.; Jie, Z.; Liwei, Z.; Xiaoli, L.; Dingding, W.; Jiali, L.; Jing, L. Analysis of heavy metals in the surface sediments of shallow lakes in Nanjishan (Poyang Lake) Natural Wetland in China. J. Environ. Biol. 2017, 38, 561. [Google Scholar] [CrossRef]
- Ignatavičius, G.; Satkūnas, J.; Grigienė, A.; Nedveckytė, I.; Hassan, H.R.; Valskys, V. Heavy metals in sapropel of lakes in suburban territories of Vilnius (Lithuania): Reflections of paleoenvironmental conditions and anthropogenic influence. Minerals 2022, 12, 17. [Google Scholar] [CrossRef]
- Lawlor, A.J.; Tipping, E. Metals in bulk deposition and surface waters at two upland locations in northern England. Environ. Pollut. 2003, 121, 153–167. [Google Scholar] [CrossRef]
- Fernandes, P.; Botelho, H. Analysis of the prescribed burning practice in the pine forest of northwestern Portugal. J. Environ. Manag. 2004, 70, 15–26. [Google Scholar] [CrossRef] [PubMed]
- García-Marco, S.; González-Prieto, S. Short-and medium-term effects of fire and fire-fighting chemicals on soil micronutrient availability. Sci. Total Environ. 2008, 407, 297–303. [Google Scholar] [CrossRef] [PubMed]
- Rau, B.M.; Chambers, J.C.; Blank, R.R.; Johnson, D.W. Prescribed fire, soil, and plants: Burn effects and interactions in the central Great Basin. Rangel. Ecol. Manag. 2008, 61, 169–181. [Google Scholar] [CrossRef]
- Toledo, D.; Kreuter, U.P.; Sorice, M.G.; Taylor, C.A., Jr. The role of prescribed burn associations in the application of prescribed fires in rangeland ecosystems. J. Environ. Manag. 2014, 132, 323–328. [Google Scholar] [CrossRef]
- Abraham, J.; Dowling, K.; Florentine, S. The unquantified risk of post-fire metal concentration in soil: A review. Water Air Soil Pollut. 2017, 228, 175. [Google Scholar] [CrossRef]
- Nabulo, G.; Young, S.; Black, C. Assessing risk to human health from tropical leafy vegetables grown on contaminated urban soils. Sci. Total Environ. 2010, 408, 5338–5351. [Google Scholar] [CrossRef]
- Pearce, D.C.; Dowling, K.; Sim, M.R. Cancer incidence and soil arsenic exposure in a historical gold mining area in Victoria, Australia: A geospatial analysis. J. Expo. Sci. Environ. Epidemology 2012, 22, 248–257. [Google Scholar] [CrossRef]
- Cobbina, S.J.; Myilla, M.; Michael, K. Small scale gold mining and heavy metal pollution: Assessment of drinking water sources in Datuku in the Talensi-Nabdam district. Int. J. Sci. Technol. Res. 2013, 2, 96–100. [Google Scholar]
- Mažeika, J.; Guobytė, R.; Kibirkštis, G.; Petrošius, R.; Skuratovič, Ž.; Taminskas, J. The use of carbon-14 and tritium for peat and water dynamics characterization: Case of Čepkeliai peatland, southeastern Lithuania. Geochronometria 2009, 34, 41–48. [Google Scholar] [CrossRef]
- Manton, M.; Ruffner, C.; Kibirkštis, G.; Brazaitis, G.; Marozas, V.; Pukienė, R.; Angelstam, P. Fire Occurrence in Hemi-Boreal Forests: Exploring Natural and Cultural Scots Pine Fire Regimes Using Dendrochronology in Lithuania. Land 2002, 11, 260. [Google Scholar] [CrossRef]
- Dumontet, S.; Levesque, M.; Mathur, S.P. Limited downward migration of pollutant metals (Cu, Zn, Ni, and Pb) in acidic virgin peat soils near a smelter. Water Air Soil Pollut. 1990, 49, 329–342. [Google Scholar] [CrossRef]
- González, A.Z.I.; Krachler, M.; Cheburkin, A.K.; Shotyk, W. Spatial distribution of natural enrichments of arsenic, selenium, and uranium in a minerotrophic peatland, Gola di Lago, Canton Ticino, Switzerland. Environ. Sci. Technol. 2006, 40, 6568–6574. [Google Scholar] [CrossRef] [PubMed]
- Davies, G.M.; Gray, A.; Rein, G.; Legg, C.J. Peat consumption and carbon loss due to smouldering wildfire in a temperate peatland. For. Ecol. Manag. 2013, 308, 169–177. [Google Scholar] [CrossRef]
- Magnan, G.; Lavoie, M.; Payette, S. Impact of fire on long-term vegetation dynamics of ombrotrophic peatlands in northwestern Québec, Canada. Quat. Res. 2012, 77, 110–121. [Google Scholar] [CrossRef]
- Domaševičius, A.; Kadūnas, K. Ūkio Subjektų Požeminio Vandens Monitoringas: Programų Rengimo Metodinės Rekomendacijos; Lietuvos Geologijos Tarnyba: Vilnius, Lithuania, 2000; p. 28. [Google Scholar]
- Fisher, R.A. The Use of Multiple Measurements in Taxonomic Problems. Ann. Eugen. 1936, 7, 179–188. [Google Scholar] [CrossRef]
- Jobson, J.D. Applied Multivariate Data Analysis. Volume II: Categorical and Multivariate Methods; Springer: New York, NY, USA, 1992. [Google Scholar]
- Gower, J.C.; Hand, D.J. Biplots. In Monographs on Statistics and Applied Probability; Chapman and Hall: London, UK, 1996. [Google Scholar]
- Legendre, P.; Legendre, L. Numerical Ecology, 2nd ed.; Elsevier: Amsterdam, The Netherlands, 1998; pp. 403–406. [Google Scholar]
- Everitt, B.S.; Landau, S.; Leese, M. Cluster Analysis, 4th ed.; Arnold: London, UK, 2001. [Google Scholar]
- Dutilleul, P.; Stockwell, J.D.; Frigon, D.; Legendre, P. The Mantel Test versus Pearson’s Correlation Analysis: Assessment of the Differences for Biological and Environmental Studies. J. Agric. Biol. Environ. Stat. 2000, 5, 131–150. [Google Scholar] [CrossRef]
- Order of the Minister of Health Protection of the Republic of Lithuania Approval of Lithuanian Hygiene Standards HN 60:2015 “Maximum Allowable Concentrations of Dangerous Chemical Substances in Soil”. Available online: https://e-seimas.lrs.lt/portal/legalAct/lt/TAD/TAIS.228693/asr (accessed on 14 July 2023).
- Pacifico, L.R.; Pizzolante, A.; Guarino, A.; Lannone, A.; Esposito, M.; Albanese, S. Wildfires as a Source of Potentially Toxic Elements (PTEs) in Soil: A Case Study from Campania Region (Italy). Int. J. Environ. Res. Public Health 2023, 20, 4513. [Google Scholar] [CrossRef]
- Dimitrios, E.A. Suburban areas in flames: Dispersion of potentially toxic elements from burned vegetation and buildings. Estimation of the associated ecological and human health risk. Environ. Res. 2020, 183, 109153. [Google Scholar]
- Wolf, M.; Lehndorff, E.; Wiesenberg, L.B.; Stockhausen, M.; Schwark, L.; Amelung, W. Towards reconstruction of past fire regimes from geochemical analysis of charcoal. Org. Geochem. 2013, 55, 11–21. [Google Scholar] [CrossRef]
- Unterbrunner, R.; Puschenreiter, M.; Sommer, P.; Wieshammer, G.; Zupan, M.; Tlustos, P.; Wenzel, W.W. Heavy metal accu-mulation in trees growing on contaminated sites in Central Europe. Environ. Pollut. 2007, 148, 107–114. [Google Scholar] [CrossRef]
- Pugh, R.E.; Dick, D.G.; Fredeen, A.L. Heavy metal (Pb, Zn, Cd, Fe, and Cu) contents of plant foliage near the Anvil Range lead/zinc mine, Faro, Yukon Territory. Ecotoxicol. Environ. Saf. 2002, 52, 273–279. [Google Scholar] [CrossRef] [PubMed]
- Zhou, Y.; Peng, Y.; Chen, G. Accumulation and partitioning of heavy metals in mangrove rhizosphere sediments. Environ. Earth Sci. 2011, 64, 799–807. [Google Scholar] [CrossRef]
- Ritchie, M.W.; Knapp, E.E.; Skinner, C.N. Snag longevity and surface fuel accumulation following post-fire logging in a ponderosa pine dominated forest. For. Ecol. Manag. 2013, 287, 113–122. [Google Scholar] [CrossRef]
- Hessburg, P.F.; Spies, T.A.; Perry, D.A.; Skinner, C.N.; Taylor, A.H.; Brown, P.M.; Riegel, G. Tamm review: Management of mixed-severity fire regime forests in Oregon, Washington, and Northern California. For. Ecol. Manag. 2016, 366, 221–250. [Google Scholar] [CrossRef]
- Ager, A.A.; Vaillant, N.M.; Finney, M.A. A comparison of landscape fuel treatment strategies to mitigate wildland fire risk in the urban interface and preserve old forest structure. For. Ecol. Manag. 2010, 259, 1556–1570. [Google Scholar] [CrossRef]
- Franklin, J.F.; Graber, D.; Fites-Kaufmann, J.A.; Menning, K.; Parsons, D.; Sessions, J.; Spies, T.A.; Tappeiner, J.C.; Thornburgh, D.A. Alternative approaches to conservation of late-successional forests in the Sierra Nevada and their evaluation. In Sierra Nevada Ecosystem Project: Status of the Sierra Nevada: Final Report to Congress: Addendum, Wildland Resource Center Report; University of California, Centers for Water and Wildland Resources: Davis, CA, USA, 1997; Volume 40, pp. 53–70. [Google Scholar]
- Jones, G.M. Fire, Forest Restoration, and Spotted Owl Conservation in the Sierra Nevada, CA; The University of Wisconsin-Madison: Madison, WI, USA, 2019. [Google Scholar]
Disclaimer/Publisher’s Note: The statements, opinions and data contained in all publications are solely those of the individual author(s) and contributor(s) and not of MDPI and/or the editor(s). MDPI and/or the editor(s) disclaim responsibility for any injury to people or property resulting from any ideas, methods, instructions or products referred to in the content. |
© 2023 by the authors. Licensee MDPI, Basel, Switzerland. This article is an open access article distributed under the terms and conditions of the Creative Commons Attribution (CC BY) license (https://creativecommons.org/licenses/by/4.0/).