Characteristics and Sources of Heavy Metal Pollution in Cropland near a Typical Lead–Zinc Processing Plant in Xieping Village, Hui County, China
Abstract
:1. Introduction
2. Materials and Methods
2.1. Study Region
2.1.1. Description of the Study Area
2.1.2. Field Sampling and Laboratory Analysis
2.2. Research Methods
2.2.1. Nemero Pollution Index
2.2.2. Index of Geoaccumulation
2.2.3. Positive Matrix Factorization (PMF) Model
2.2.4. Other Statistical Methods
3. Results
3.1. Soil Heavy Metal Content and Spatial Characteristics
3.2. Evaluation of the Extent of Heavy Metal Contamination
3.3. Evaluation of the Index of Geoaccumulation
3.4. Heavy Metal Source Analysis
3.4.1. Pearson Correlation Analysis
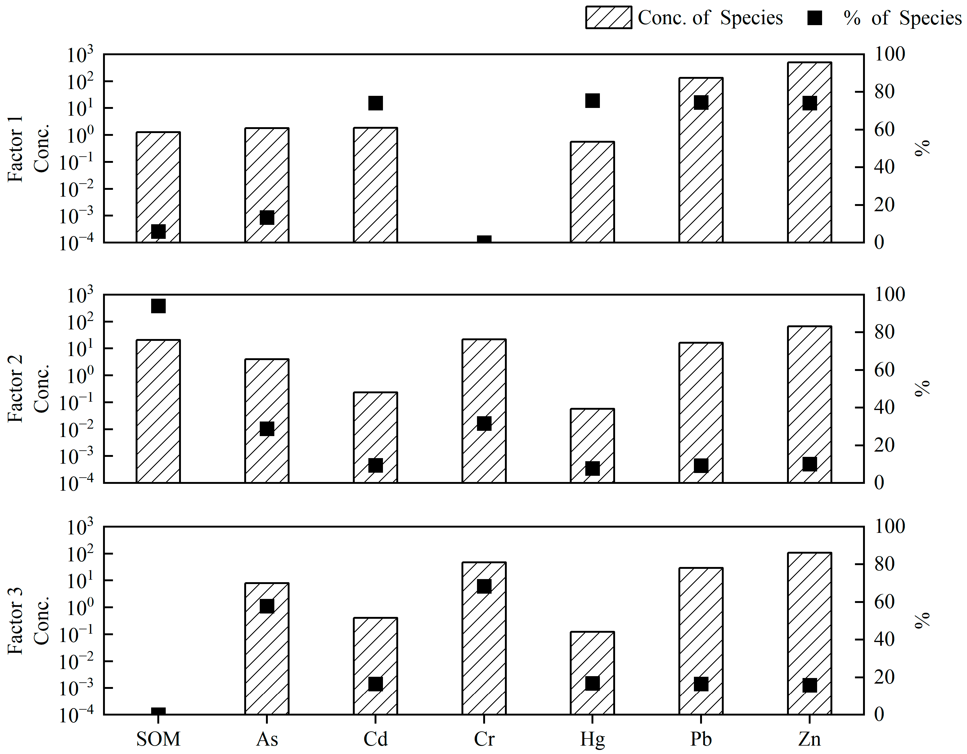
3.4.2. PMF Analysis
4. Discussion
5. Conclusions
Author Contributions
Funding
Data Availability Statement
Acknowledgments
Conflicts of Interest
References
- Sun, Z.H.; Xie, X.D.; Wang, P.; Hu, Y.A.; Cheng, H.F. Heavy metal pollution caused by small-scale metal ore mining activities: A case study from a polymetallic mine in South China. Sci. Total Environ. 2018, 639, 217–227. [Google Scholar] [CrossRef] [PubMed]
- Atuchin, V.V.; Asyakina, L.K.; Serazetdinova, Y.R.; Frolova, A.S.; Velichkovich, N.S.; Prosekov, A.Y. Microorganisms for Bioremediation of Soils Contaminated with Heavy Metals. Microorganisms 2023, 11, 864. [Google Scholar] [CrossRef] [PubMed]
- Baidourela, A.; Liu, L.; Zhayimu, K.; Pan, C.; Manglike, R.; Peng, X.; Abudukadeer, M. Distribution characteristics and correlation of heavy metals in soil and total suspended particles of Urumqi City. Int. J. Environ. Sci. Technol. 2022, 19, 4947–4958. [Google Scholar] [CrossRef]
- Jia, L.; Liang, H.L.; Fan, M.; Wang, Z.; Guo, S.S.; Chen, S. Spatial Distribution Characteristics and Source Appointment of Heavy Metals in Soil in the Areas Affected by Non-Ferrous Metal Slag Field in the Dry-Hot Valley. Appl. Sci. 2022, 12, 9475. [Google Scholar] [CrossRef]
- Zhou, W.; Li, L.L.; Zhou, X.; Shi, P.Q.; Huang, D.Q. Influence factor analysis of soil heavy metal based on geographic detector and its pollution risk assessment. Ecol. Environ. Sci. 2021, 30, 173–180. [Google Scholar] [CrossRef]
- Liu, M.X.; Han, Z.Q. Distribution and Bioavailability of Heavy Metals in Soil Aggregates from the Fenhe River Basin, China. Bull. Environ. Contam. Toxicol. 2020, 104, 532–537. [Google Scholar] [CrossRef]
- Zhao, F.J.; Ma, Y.B.; Zhu, Y.G.; Tang, Z.; McGrath, S.P. Soil Contamination in China: Current Status and Mitigation Strategies. Environ. Sci. Technol. 2015, 49, 750–759. [Google Scholar] [CrossRef]
- Chen, H.Y.; Teng, Y.G.; Lu, S.J.; Wang, Y.Y.; Wang, J.S. Contamination features and health risk of soil heavy metals in China. Sci. Total Environ. 2015, 512, 143–153. [Google Scholar] [CrossRef]
- Jiang, C.; Jun, Z.; Gao, L.H. Sources and Ecological Risk Assessment of Heavy Metal(loid)s in Agricultural Soils of Huzhou, China. Soil Sediment Contam. 2015, 24, 437–453. [Google Scholar] [CrossRef]
- Song, H.F.; Wu, K.N.; Li, T.; Shi, W.Y.; Liu, H.R. The Spatial Distribution and Influencing Factors of Heavy Metals in the Cold Black Soil Region: A Case of Hailun County. Chin. J. Soil Sci. 2018, 49, 1480–1486. [Google Scholar] [CrossRef]
- Liu, F.; Li, L.F.; Liu, Y.B.; Wei, J.; Hou, Z.S.; Chen, R.X.; Zhang, X.R. Evaluation and sources of heavy metal pollution in soils of cultivated land around a lead-zinc mine area in Hebei province. J. Arid. Land Resour. Environ. 2023, 37, 136–142. [Google Scholar] [CrossRef]
- Yang, Y.; Guo, T.T.; Liu, X.L.; Tie, B.Q. Spatial Distribution Characteristics and Assessment of Heavy Metal Pollution in Cultivated Soil of Agricultural Small Watershed in Typical Mining Area in South China. Environ. Sci. 2023, 44, 1602–1610. [Google Scholar] [CrossRef]
- Zhan, H.Y.; Jiang, Y.F.; Yuan, J.M.; Hu, X.F.; Nartey, O.D.; Wang, B.L. Trace metal pollution in soil and wild plants from lead-zinc smelting areas in Huixian County, Northwest China. J. Geochem. Explor. 2014, 147, 182–188. [Google Scholar] [CrossRef]
- Zhang, H.Y.; Cui, W.G.; Huang, Y.M.; Li, Y.L.; Zhong, X.; Wang, L. Evaluation and source analysis of heavy metal pollution of farmland soil around the mining area of karst region of central Guizhou Province. Acta Sci. Circumstantiae 2022, 42, 412–421. [Google Scholar] [CrossRef]
- Cao, X.M.; Yang, H.D. Evaluation on the polluntion of heavy metals in the cultivated soil in Hui County of Gansu Province. J. Gansu Agric. Univ. 2015, 50, 134–140. [Google Scholar] [CrossRef]
- NY/T395-2012; Technical Rules for Monitroing of Environmental Quality of Farmland Soil. China Agriculture Press: Beijing, China, 2012.
- HJ/T166-2004; The Technical Specification for Soil Environmental Monitoring. China Environment Science Press: Beijing, China, 2004.
- NY/T1377-2007; Determination of pH in Soil. China Agriculture Press: Beijing, China, 2007.
- NY/T1121.6-2006; Method for Determination of Soil Organic Matter. China Agriculture Press: Beijing, China, 2006.
- GB/T22105-2008; Soil Quality—Analysis of Total Mercury, Arsenic and Lead Contents—Atomic Fluorescence Spectrometry. Standards Press of China: Beijing, China, 2008.
- GB/T14506.30-2010; Methods for Chemical Analysis of Silicate Rocks—Part 30: Determination of 44 Elements. Standards Press of China: Beijing, China, 2010.
- Zhang, J.T.; Sun, H. Differences of Nemerow Index Method and Fuzzy Comprehensive Evaluation Method in Evaluation Heavy Metal Pollution in Soil. Adm. Tech. Environ. Monit. 2016, 28, 27–31. [Google Scholar]
- GB 15618-2018; Soil Environmental Quality Risk Control Standard for Soil Contamination of Agricultural Land. China Environment Science Press: Beijing, China, 2018.
- Wang, L.; Zeraatpisheh, M.; Wei, Z.D.; Xu, M. Heavy metal pollution and risk assessment of farmland soil around abandoned domestic waste dump in Kaifeng City. Front. Environ. Sci. 2022, 10, 946298. [Google Scholar] [CrossRef]
- Yu, H.Y.; Tang, Z.Q.; Wang, N.; Zhang, W.; Fu, T.T.; Zeng, T.T.; Huang, Y.C.; Yan, Y.H. Characteristic analysis and risk assessment of heavy metal pollution of paddy soil in Chongqing. Southwest China J. Agric. Sci. 2023, 36, 1066–1073. [Google Scholar] [CrossRef]
- Ma, J.; Shen, Z.J.; Zhang, P.P.; Liu, P.; Liu, J.Z.; Sun, J.; Wang, L.L. Pollution Characteristics and Source Apportionment of Heavy Metals in Farmland Soils Around the Gangue Heap of Coal Mine Based on APCS-MLR and PMF Receptor Model. Environ. Sci. 2023, 44, 2192–2203. [Google Scholar] [CrossRef]
- Mama, C.N.; Nnaji, C.C.; Igwe, O.; Ozioko, O.H.; Ezugwu, C.K.; Ugwuoke, I.J. Assessment of heavy metal pollution in soils: A case study of Nsukka metropolis. Environ. Forensics 2022, 23, 389–408. [Google Scholar] [CrossRef]
- Paatero, P.; Tapper, U. Positive matrix factorization:A non-negative factor model with optimal utilization of error estimates of data values. Environmetrics 1994, 5, 111–126. [Google Scholar] [CrossRef]
- Paatero, P. Least squares formulation of robust non-negative factor analysis. Chemom. Intell. Lab. Syst. 1997, 37, 23–35. [Google Scholar] [CrossRef]
- Gao, J.J.; Tian, H.Z.; Cheng, K.; Lu, L.; Wang, Y.X.; Wu, Y.; Zhu, C.Y.; Liu, K.Y.; Zhou, J.R.; Liu, X.G.; et al. Seasonal and spatial variation of trace elements in multi-size airborne particulate matters of Beijing, China: Mass concentration, enrichment characteristics, source apportionment, chemical speciation and bioavailability. Atmos. Environ. 2014, 99, 257–265. [Google Scholar] [CrossRef]
- Ren, J.H.; Fan, J.; He, P.L.; Tang, J.; Liao, Q.L.; Xu, W.W.; Hao, S.F. Pollution characteristics and source apportionment of heavy metals in soil around a typical industrial enterprises. Environ. Pollut. Control 2023, 45, 855–861+869. [Google Scholar] [CrossRef]
- Hu, Y.N.; Cheng, H.F. Application of Stochastic Models in Identification and Apportionment of Heavy Metal Pollution Sources in the Surface Soils of a Large-Scale Region. Environ. Sci. Technol. 2013, 47, 3752–3760. [Google Scholar] [CrossRef] [PubMed]
- Guo, H.; Sun, Y.J.; Wang, X.L. Spatial distribution characteristics and source analysis of soil heavy metals in county-level city. Acta Sci. Circumstantiae 2022, 42, 287–297. [Google Scholar] [CrossRef]
- Martín, J.A.R.; Arias, M.L.; Corbí, J.M.G. Heavy metals contents in agricultural topsoils in the Ebro basin (Spain). Application of the multivariate geoestatistical methods to study spatial variations. Environ. Pollut. 2006, 144, 1001–1012. [Google Scholar] [CrossRef]
- Zhou, M.; Liao, B.; Shu, W.S.; Yang, B.; Lan, C.Y. Pollution Assessment and Potential Sources of Heavy Metals in Agricultural Soils around Four Pb/Zn Mines of Shaoguan City, China. Soil Sediment Contam. 2015, 24, 76–89. [Google Scholar] [CrossRef]
- Chai, L.; Wang, X.; Ma, L. Sources appointment of heavy metals in cultivated soils of Lanzhou based on PMF models. China Environ. Sci. 2020, 40, 3919–3929. [Google Scholar] [CrossRef]
- Liu, Y. Study on the Spatial Distribution of Soil Lead Content in California Based on Ordinary Kriging Interpolation. Agric. Technol. Equip. 2022, 39, 41–43. [Google Scholar] [CrossRef]
- Natasha, N.; Shahid, M.; Murtaza, B.; Bibi, I.; Khalid, S.; Al-Kahtani, A.A.; Naz, R.; Ali, E.F.; Niazi, N.K.; Rinklebe, J.; et al. Accumulation pattern and risk assessment of potentially toxic elements in selected wastewater-irrigated soils and plants in Vehari, Pakistan. Environ. Res. 2022, 214, 114033. [Google Scholar] [CrossRef]
- Wang, Z.Q.; Hong, C.; Xing, Y.; Wang, K.; Li, Y.F.; Feng, L.H.; Ma, S.L. Spatial distribution and sources of heavy metals in natural pasture soil around copper-molybdenum mine in Northeast China. Ecotoxicol. Environ. Saf. 2018, 154, 329–336. [Google Scholar] [CrossRef] [PubMed]
- Yang, Z.J.; Jing, F.; Chen, X.M.; Liu, W.; Guo, B.L.; Lin, G.Z.; Huang, R.H.; Liu, W.X. Spatial distribution and sources of seven available heavy metals in the paddy soil of red region in Hunan Province of China. Environ. Monit. Assess. 2018, 190, 611. [Google Scholar] [CrossRef] [PubMed]
- Liao, Z.Y.; Li, J.Q.; Shen, Z.J.; Li, C.X.; Luo, C.Z.; Mei, N.; Zhang, C.; Wang, D.Y. Assessment and Source Analysis of Heavy Metal Pollution in Arable Land Around an lron Ore Mining Area in Chongqing. Environ. Sci. 2023, 1–16. [Google Scholar] [CrossRef]
- Chen, H.M.; Zheng, C.R.; Tu, C.; Zhu, Y.G. Heavy Metal Pollution in Soils in China: Status and Countermeasures. AMBIO J. Hum. Environ. 1999, 28, 130–134+207. [Google Scholar]
- Yang, S.Y.; He, M.J.; Zhi, Y.Y.; Chang, S.X.; Liu, X.M.; Xu, J.M. An integrated analysis on source-exposure risk of heavy metals in agricultural soils near intense electronic waste recycling activities. Environ. Int. 2019, 133, 105239. [Google Scholar] [CrossRef]
- Rachwal, M.; Magieral, T.; Wawer, M. Coke industry and steel metallurgy as the source of soil contamination by technogenic magnetic particles, heavy metals and polycyclic aromatic hydrocarbons. Chemosphere 2015, 138, 863–873. [Google Scholar] [CrossRef]
- Sun, L.; Guo, D.K.; Liu, K.; Meng, H.; Zheng, Y.J.; Yuan, F.Q.; Zhu, G.H. Levels, sources, and spatial distribution of heavy metals in soils from a typical coal industrial city of Tangshan, China. Catena 2019, 175, 101–109. [Google Scholar] [CrossRef]
- Song, T.J.; Su, X.S.; He, J.; Liang, Y.K.; Zhou, T. Source apportionment and health risk assessment of heavy metals in agricultural soils in Xinglonggang, Northeastern China. Hum. Ecol. Risk Assess. 2018, 24, 509–521. [Google Scholar] [CrossRef]
- Zhao, X.T.; Hui, C.M.; Zhu, S.H.; Liu, W.Y.; Cai, C.L.; Zhang, W.J.; Tu, D.D.; Zhu, L.Y. Response of Soil Organic Matter Content and Its Infrared Spectral Characteristics to Different Planting Durations of Dendrocalamus brandisii. Acta Agric. Univ. Jiangxiensis 2022, 44, 1448–1456. [Google Scholar] [CrossRef]
- Li, Z.Y.; Xiao, M.; Ren, D.; Ren, S.; Xiong, B. Heavy metal source analysis of the farmland soil of Zhijiang and Dangyang. Acta Sci. Circumstantiae 2023, 43, 398–406. [Google Scholar] [CrossRef]
- Hanesch, M.; Scholger, R.; Dekkers, M.J. The application of fuzzy C-means cluster analysis and non-linear mapping to a soil data set for the detection of polluted sites. Phys. Chem. Earth Part A Solid Earth Geod. 2001, 26, 885–891. [Google Scholar] [CrossRef]
- Lago-Vila, M.; Rodriguez-Seijo, A.; Arenas-Lago, D.; Andrade, L.; Vega, M.F.A. Heavy metal content and toxicity of mine and quarry soils. J. Soils Sediments 2017, 17, 1331–1348. [Google Scholar] [CrossRef]





| Item | Analysis Methods | Test Standard | Testing Equipment | MDL (mg/kg) |
|---|---|---|---|---|
| pH | Precision pH meter | NY/T1377-2007 [18] | PHS-3 Cacidimeter | / |
| SOM | VOL | NY/T1121.6-2006 [19] | Buret | 0.12 g/kg |
| As | HG-AFS | GB/T22105-2008 [20] | AFS-830a Dual Channel Atomic Fluorescence Photometer | 0.1 |
| Cd | ICP-MS | GB/T22105-2008 | NexION 300X ICP Plasma Mass Spectrometer | 0.02 |
| Cr | XRF | GB/T14506.30-2010 [21] | ZSX Primus II X-Ray Fluorescence Spectrometer | 4 |
| Hg | HG-AFS | GB/T22105-2008 | AFS-830a Dual Channel Atomic Fluorescence Photometer | 0.002 |
| Pb | XRF | GB/T14506.30-2010 | ZSX Primus II X-Ray Fluorescence Spectrometer | 0.06 |
| Zn | XRF | GB/T14506.30-2010 | ZSX Primus II X-Ray Fluorescence Spectrometer | 1 |
| Item | Min. | Max. | Mean | S.D | C.V (%) | B.VG | NG | S.VC | NC |
|---|---|---|---|---|---|---|---|---|---|
| pH | 7.69 | 9.11 | 8.32 | 0.19 | 2.29 | - | - | - | - |
| SOM g/kg | 8.92 | 79.1 | 21.79 | 7.76 | 35.59 | - | - | - | - |
| As | 9.14 | 47.1 | 14.15 | 5.45 | 38.5 | 21.4 | 17 | 30 | 6 |
| Cd | 0.39 | 31 | 2.5 | 4.16 | 166.06 | 0.094 | 205 | 0.6 | 166 |
| Cr | 55.5 | 96.8 | 69.89 | 5.35 | 7.66 | 70.2 | 77 | 250 | 0 |
| Hg | 0.07 | 10.1 | 0.75 | 1.33 | 175.82 | 0.02 | 205 | 3.4 | 8 |
| Pb | 30.4 | 2238 | 185.59 | 317.1 | 170.86 | 18.8 | 205 | 170 | 45 |
| Zn | 122 | 9376 | 691.15 | 1243.55 | 179.93 | 69.4 | 205 | 300 | 76 |
| Pollution Index | PAs | PCd | PCr | PHg | PPb | PZn | PN | |
|---|---|---|---|---|---|---|---|---|
| Index | Min. | 0.3 | 0.65 | 0.22 | 0.02 | 0.18 | 0.41 | 0.51 |
| Max. | 1.57 | 51.67 | 0.39 | 2.97 | 13.16 | 31.25 | 38.27 | |
| Mean | 0.47 | 4.17 | 0.28 | 0.22 | 1.09 | 2.3 | 3.12 | |
| Pollution evaluation grade | No | 97.07 | 19.02 | 100 | 96.1 | 78.05 | 62.93 | 10.73 |
| Light | 2.93 | 45.37 | 0 | 2.93 | 5.37 | 14.63 | 27.8 | |
| Medium | 0 | 9.27 | 0 | 0.98 | 7.32 | 2.93 | 33.17 | |
| Strong | 0 | 6.83 | 0 | 0 | 5.85 | 7.32 | 5.37 | |
| Extremely | 0 | 19.51 | 0 | 0 | 3.41 | 12.2 | 22.93 | |
| Item | Min. | Max. | Mean | Percentage of Grading Points (%) | ||||||
|---|---|---|---|---|---|---|---|---|---|---|
| ≤0 | 0~1 | 1~2 | 2~3 | 3~4 | 4~5 | >5 | ||||
| As | −1.81 | 0.55 | −1.25 | 97.56 | 2.44 | 0 | 0 | 0 | 0 | 0 |
| Cd | 1.47 | 7.78 | 3.23 | 0 | 0 | 14.63 | 48.78 | 13.17 | 8.29 | 15.12 |
| Cr | −0.92 | −0.12 | −0.6 | 100 | 0 | 0 | 0 | 0 | 0 | 0 |
| Hg | 1.22 | 8.4 | 3.71 | 0 | 0 | 4.88 | 35.61 | 29.76 | 10.73 | 19.02 |
| Pb | 0.11 | 6.31 | 1.74 | 0 | 40.49 | 31.22 | 8.29 | 9.27 | 7.32 | 3.41 |
| Zn | 0.23 | 6.49 | 1.76 | 0 | 41.46 | 30.73 | 8.29 | 8.78 | 6.83 | 3.9 |
Disclaimer/Publisher’s Note: The statements, opinions and data contained in all publications are solely those of the individual author(s) and contributor(s) and not of MDPI and/or the editor(s). MDPI and/or the editor(s) disclaim responsibility for any injury to people or property resulting from any ideas, methods, instructions or products referred to in the content. |
© 2023 by the authors. Licensee MDPI, Basel, Switzerland. This article is an open access article distributed under the terms and conditions of the Creative Commons Attribution (CC BY) license (https://creativecommons.org/licenses/by/4.0/).
Share and Cite
Ma, Y.; Yao, X.; Wang, J.; Duan, H.; Hu, J.; Wu, T. Characteristics and Sources of Heavy Metal Pollution in Cropland near a Typical Lead–Zinc Processing Plant in Xieping Village, Hui County, China. Land 2023, 12, 1945. https://doi.org/10.3390/land12101945
Ma Y, Yao X, Wang J, Duan H, Hu J, Wu T. Characteristics and Sources of Heavy Metal Pollution in Cropland near a Typical Lead–Zinc Processing Plant in Xieping Village, Hui County, China. Land. 2023; 12(10):1945. https://doi.org/10.3390/land12101945
Chicago/Turabian StyleMa, Yuxin, Xiaojun Yao, Jiahui Wang, Hongyu Duan, Jiayu Hu, and Tongyu Wu. 2023. "Characteristics and Sources of Heavy Metal Pollution in Cropland near a Typical Lead–Zinc Processing Plant in Xieping Village, Hui County, China" Land 12, no. 10: 1945. https://doi.org/10.3390/land12101945
APA StyleMa, Y., Yao, X., Wang, J., Duan, H., Hu, J., & Wu, T. (2023). Characteristics and Sources of Heavy Metal Pollution in Cropland near a Typical Lead–Zinc Processing Plant in Xieping Village, Hui County, China. Land, 12(10), 1945. https://doi.org/10.3390/land12101945

