Identifying Critical Thresholds in the Impacts of Invasive Alien Plants and Dune Paths on Native Coastal Dune Vegetation
Abstract
1. Introduction
2. Materials and Methods
2.1. Study Area
2.2. Vegetation Sampling
2.3. Statistical Analyses
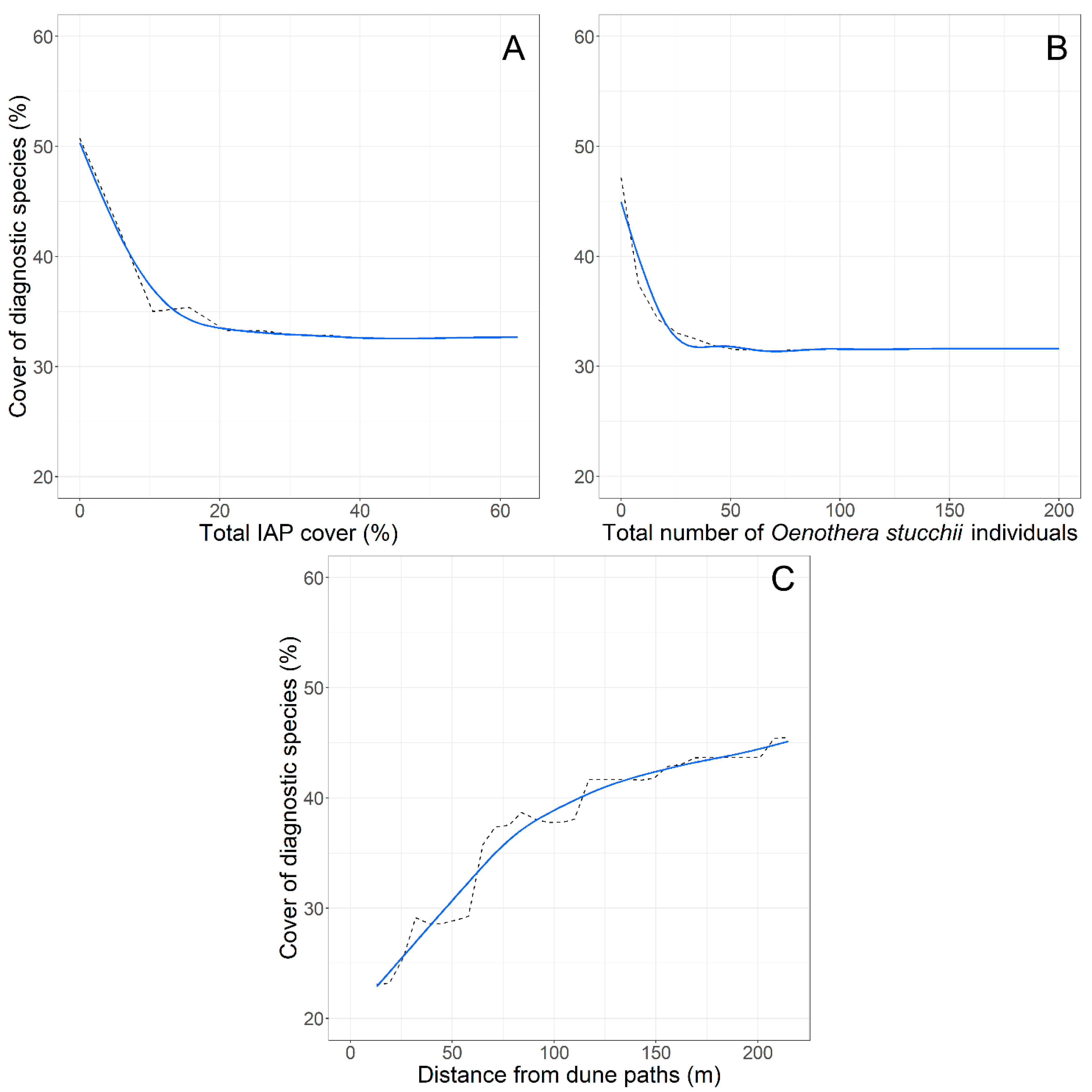
3. Results
4. Discussion
5. Conclusions
Supplementary Materials
Author Contributions
Funding
Data Availability Statement
Acknowledgments
Conflicts of Interest
References
- Genovesi, P.; Shine, C. European Strategy on Invasive Alien Species: Convention on the Conservation of European Wildlife and Habitats (Bern Convention); Nature and Environment, 137; Council of Europe Publishing: Bern, Switzerland, 2004; pp. 1–68. [Google Scholar]
- Vilá, M.; Espinar, J.L.; Hejda, M.; Hulme, P.E.; Jarošík, V.; Maron, J.L.; Pergl, J.; Schaffner, U.; Sun, Y.; Pyšek, P. Ecological impacts of invasive alien plants: A meta-analysis of their effects on species, communities and ecosystems. Ecol. Lett. 2011, 14, 702–708. [Google Scholar] [CrossRef] [PubMed]
- Pyšek, P.; Jarosik, V.; Hulme, P.E.; Pergl, J.; Hejda, M.; Schaffner, U.; Vila, M. A global assessment of invasive plant impacts on resident species, communities and ecosystems: The interaction of impact measure,; invading species’ traits and environment. Glob. Chang. Biol. 2012, 18, 1725–1737. [Google Scholar] [CrossRef]
- Maes, J. A Model for the Assessment of Habitat Conservation Status in the EU. JRC Scientific and Policy Report; Publication Office of the European Commission: Luxembourg City, Luxembourg, 2013; pp. 1–45. [Google Scholar]
- Milanović, M.; Knapp, S.; Pyšek, P.; Kühn, I. Linking traits of invasive plants with ecosystem services and disservices. Ecosyst. Serv. 2020, 42, 101072. [Google Scholar] [CrossRef]
- Gigante, D.; Acosta, A.T.R.; Agrillo, E.; Armiraglio, S.; Assini, S.; Attorre, F.; Bagella, S.; Buffa, G.; Casella, L.; Giancola, C.; et al. Habitat conservation in Italy: The state of the art in the light of the first European red list of terrestrial and freshwater habitats. Rend. Lincei. Sci. Fis. Nat. 2018, 29, 251–265. [Google Scholar] [CrossRef]
- Chytrý, M.; Maskell, L.C.; Pino, J.; Pyšek, P.; Vilá, M.; Font, X.; Smart, S.M. Habitat Invasions by Alien Plants: A Quantitative Comparison among Mediterranean, Subcontinental and Oceanic Regions of Europe. J. Appl. Ecol. 2008, 45, 448–458. [Google Scholar] [CrossRef]
- Chytrý, M.; Pyšek, P.; Wild, J.; Pino, J.; Maskell, L.C.; Vilá, M. European Map of Alien Plant Invasions Based on the Quantitative Assessment across Habitats. Divers. Distrib. 2009, 15, 98–107. [Google Scholar] [CrossRef]
- Sperandii, M.G.; Barták, V.; Carboni, M.; Acosta, A.T.R. Getting the measure of the biodiversity crisis in Mediterranean coastal habitats. J. Ecol. 2021, 109, 1224–1235. [Google Scholar] [CrossRef]
- Ciccarelli, D. Mediterranean Coastal Sand Dune Vegetation: Influence of Natural and Anthropogenic Factors. Environ. Manag. 2014, 54, 194–204. [Google Scholar] [CrossRef]
- Della Bella, A.; Fantinato, E.; Scarton, F.; Buffa, G. Mediterranean developed coasts: What future for the foredune restoration? J. Coast Conserv. 2021, 25, 49. [Google Scholar] [CrossRef]
- Delgado-Fernandez, I.; O’Keefe, N.; Davidson-Arnott, R.G. Natural and human controls on dune vegetation cover and disturbance. Sci. Total Environ. 2019, 672, 643–656. [Google Scholar] [CrossRef]
- Matesanz, S.; Valladares, F. Ecological and evolutionary responses of Mediterranean plants to global change. Environ. Exp. Bot. 2014, 103, 53–67. [Google Scholar] [CrossRef]
- Malavasi, M.; Carboni, M.; Cutini, M.; Carranza, M.L.; Acosta, A.T.R. Landscape fragmentation; land-use legacy and propagule pressure promote plant invasion on coastal dunes: A patch-based approach. Landsc. Ecol. 2014, 29, 1541–1550. [Google Scholar] [CrossRef]
- Giulio, S.; Acosta, A.T.R.; Carboni, M.; Campos, J.A.; Chytrý, M.; Loidi, J.; Pergl, J.; Pyšek, P.; Isermann, M.; Janssen, J.A.M.; et al. Alien flora across European coastal dunes. Appl. Veg. Sci. 2020, 23, 317–327. [Google Scholar] [CrossRef]
- van der Maarel, E. Some remarks on the functions of European coastal ecosystems. Phytocoenologia 2003, 33, 187–202. [Google Scholar] [CrossRef]
- García-Mora, M.R.; Gallego-Fernández, J.B.; García-Novo, F. Plant functional types in coastal foredunes in relation to environmental stress and disturbance. J. Veg. Sci. 1999, 10, 27–34. [Google Scholar] [CrossRef]
- Drius, M.; Jones, L.; Marzialetti, F.; de Francesco, M.C.; Stanisci, A.; Carranza, M.L. Not just a sandy beach. The multi-service value of Mediterranean coastal dunes. Sci. Total Environ. 2019, 668, 1139–1155. [Google Scholar] [CrossRef]
- Carboni, M.; Santoro, R.; Acosta, A.T. Dealing with Scarce Data to Understand How Environmental Gradients and Propagule Pressure Shape Fine-scale Alien Distribution Patterns on Coastal Dunes. J. Veg. Sci. 2011, 22, 751–765. [Google Scholar] [CrossRef]
- Basnou, C.; Iguzquiza, J.; Pino, J. Examining the Role of Landscape Structure and Dynamics in Alien Plant Invasion from Urban Mediterranean Coastal Habitats. Landsc. Urban Plan 2015, 136, 156–164. [Google Scholar] [CrossRef]
- Lozano, V.; Marzialetti, F.; Carranza, M.L.; Chapman, D.; Branquart, E.; Dološ, K.; Große-Stoltenberg, A.; Fiori, M.; Capece, P.; Brundu, G. Modelling Acacia saligna Invasion in a Large Mediterranean Island Using PAB Factors: A Tool for Implementing the European Legislation on Invasive Species. Ecol. Indic. 2020, 116, 106516. [Google Scholar] [CrossRef]
- Cao Pinna, L.; Axmanová, I.; Chytrý, M.; Malavasi, M.; Acosta, A.T.R.; Giulio, S.; Attorre, F.; Bergmeier, E.; Biurrun, I.; Campos, J.A.; et al. The Biogeography of Alien Plant Invasions in the Mediterranean Basin. J. Veg. Sci. 2021, 32, e12980. [Google Scholar] [CrossRef]
- Malavasi, M.; Santoro, R.; Cutini, M.; Acosta, A.T.R.; Carranza, M.L. The impact of human pressure on landscape patterns and plant species richness in Mediterranean coastal dunes. Plant Biosyst. 2016, 150, 73–82. [Google Scholar] [CrossRef]
- Acosta, A.; Carranza, M.L.; Ciaschetti, G.; Conti, F.; Di Martino, L.; D’Orazio, G.; Frattaroli, A.; Izzi, C.F.; Pirone, G.; Stanisci, A. Specie vegetali esotiche negli ambienti costieri sabbiosi di alcune regioni dell’Italia centrale/Alien plant species in sandy coastal environment in some regions of central Italy. Webbia 2007, 62, 77–84. [Google Scholar] [CrossRef]
- Pizzo, L.; Buffa, G. Principali specie vegetali alloctone e invasive presenti negli habitat Natura 2000 delle dune del litorale nord adriatico (NE Italia)/Main alien invasive species occurring in Nature 2000 habitats of North Adriatic coastal dunes. Boll. Mus. St. Nat. 2014, 65, 23–45. [Google Scholar]
- Celesti-Grapow, L.; Alessandrini, A.; Arrigoni, P.V.; Assini, S.; Banfi, E.; Barni, E.; Bovio, M.; Brundu, G.; Cagiotti, M.R.; Camarda, I.; et al. Non-native flora of Italy: Species distribution and threats. Plant Biosyst. 2010, 144, 12–28. [Google Scholar] [CrossRef]
- Lazzaro, L.; Bolpagni, R.; Buffa, G.; Gentili, R.; Lonati, M.; Stinca, A.; Acosta, A.T.R.; Adorni, M.; Aleffi, M.; Allegrezza, M.; et al. Impact of invasive alien plants on native plant communities and Natura 2000 habitats: State of the art; gap analysis and perspectives in Italy. J. Environ. Manag. 2020, 274, 111140. [Google Scholar] [CrossRef]
- Tozzi, F.P.; Carranza, M.L.; Frate, L.; Stanisci, A. The impact of Acacia saligna on the composition and structure of the Mediterranean maquis. Biodiversity 2021, 22, 53–66. [Google Scholar] [CrossRef]
- Santoro, R.; Carboni, M.; Carranza, M.L.; Acosta, A.T.R. Focal species diversity patterns can provide diagnostic information on plant invasions. J. Nat. Conserv. 2012, 20, 85–91. [Google Scholar] [CrossRef]
- Del Vecchio, S.; Pizzo, L.; Buffa, G. The response of plant community diversity to alien invasion: Evidence from a sand dune time series. Biodivers. Conserv. 2014, 24, 371–392. [Google Scholar] [CrossRef]
- Cascone, S.; Sperandii, M.G.; Cao Pinna, L.; Marzialetti, F.; Carranza, M.L.; Acosta, A.T.R. Exploring Temporal Trends of Plant Invasion in Mediterranean Coastal Dunes. Sustainability 2021, 13, 13946. [Google Scholar] [CrossRef]
- Buffa, G.; Del Vecchio, S.; Fantinato, E.; Milano, V. Local versus landscape-scale effects of anthropogenic land-use on forest species richness. Acta Oecol. 2018, 86, 49–56. [Google Scholar] [CrossRef]
- Del Vecchio, S.; Slaviero, A.; Fantinato, E.; Buffa, G. The use of plant community attributes to detect habitat quality in coastal environments. AoB PLANTS 2016, 8, plw040. [Google Scholar] [CrossRef]
- Fantinato, E. The impact of (mass) tourism on coastal dune pollination networks. Biol. Conserv. 2019, 236, 70–78. [Google Scholar] [CrossRef]
- Prisco, I.; Acosta, A.T.R.; Stanisci, A. A bridge between tourism and nature conservation: Boardwalks effects on coastal dune vegetation. J. Coast. Conserv. 2021, 25, 14. [Google Scholar] [CrossRef]
- Šilc, U.; Caković, D.; Küzmič, F.; Stešević, D. Trampling impact on vegetation of embryonic and stabilised sand dunes in Montenegro. J. Coast. Conserv. 2016, 21, 15–21. [Google Scholar] [CrossRef]
- de Salamanca, E.Á. Synanthropisation of coastal vegetation in southern Spain. Mediterr. Bot. 2022, online first, 1–18. [Google Scholar] [CrossRef]
- Downey, P.O.; Richardson, D.M. Alien plant invasions and native plant extinctions: A six-threshold framework. AoB Plants 2016, 8, plw047. [Google Scholar] [CrossRef]
- Gooden, B.; French, K.; Turner, P.J.; Downey, P.O. Impact threshold for an alien plant invader; Lantana camara, L.; on native plant communities. Biol. Conserv. 2009, 142, 2631–2641. [Google Scholar] [CrossRef]
- Bradley, B.A.; Laginhas, B.B.; Whitlock, R.; Allen, J.M.; Bates, A.E.; Bernatchez, G.; Sorte, C.J.B. Disentangling the abundance-impact relationship for invasive species. Proc. Natl. Acad. Sci. USA 2019, 116, 9919–9924. [Google Scholar] [CrossRef]
- Bezzi, A.; Fontolan, G. Foredune classification and morphodynamic processes along the Veneto coast (N. Adriatic; Italy). In MEDCOAST ’03; Ozhan, E., Ed.; MEDCOAST Secretariat: Ankara, Turkey, 2003; pp. 1425–1434. [Google Scholar]
- Acosta, A.T.R.; Carranza, M.L.; Izzi, C.F. Are there habitats that contribute best to plant species diversity in coastal dunes? Biodivers. Conserv. 2009, 18, 1087–1098. [Google Scholar] [CrossRef]
- Aucelli, P.P.C.; Di Paola, G.; Rizzo, A.; Rosskopf, C. Present day and future scenarios of coastal erosion and flooding processes along the Italian Adriatic coast: The case of Molise region. Environ. Earth Sci. 2018, 77, 1–19. [Google Scholar] [CrossRef]
- ARPAV. I Suoli della Provincia di Venezia/Soils of Venice Province; Grafiche Erredici: Padova, Italy, 2008. [Google Scholar]
- Stanisci, A.; Conti, F. Aspetti vegetazionali di un settore costiero molisano-abruzzese/Vegetation features of coastal dunes in Molise and Abruzzo regions. Ann. Bot. 1990, 48, 85–94. [Google Scholar]
- Buffa, G.; Fantinato, E.; Pizzo, L. Effects of disturbance on sandy coastal ecosystems of N-Adriatic coasts (Italy). In Biodiversity Enrichment in a Diverse World Rijeka; Lameed, G.A., Ed.; InTech: Rijeka, Croatia, 2012; pp. 339–372. [Google Scholar] [CrossRef]
- Malavasi, M.; Santoro, R.; Cutini, M.; Acosta, A.T.R.; Carranza, M.L. What has happened to coastal dunes in the last half century? A multitemporal coastal landscape analysis in Central Italy. Landsc. Urban Plan. 2013, 119, 54–63. [Google Scholar] [CrossRef]
- Frattaroli, A.R.; Acosta, A.; Ciaschetti, G.; Di Martino, L.; Pirone, G.; Stanisci, A. Indagine sulla qualità ambientale della costa dell’Abruzzo meridionale e del Molise (Adriatico centrale) su base floristico-vegetazionale/Research on environmental quality of coastal dunes in Southern Abruzzo and Molise (central Adriatic). Fitosociologia 2007, 44, 117–127. [Google Scholar]
- Stanisci, A.; Acosta, A.; Carranza, M.L.; Feola, S.; Giuliano, M. Gli habitat di interesse comunitario sul litorale molisano e il loro valore naturalistico su base floristica/The habitats of European concern of Molise coastal dunes and their naturalistic value based on flora. Fitosociologia 2007, 44, 171–175. [Google Scholar]
- Stanisci, A.; Acosta, A.T.R.; Carranza, M.L.; de Chiro, M.; Del Vecchio, S.; Di Martino, L.; Frattaroli, A.R.; Fusco, S.; Izzi, C.F.; Pirone, G.; et al. EU Habitats Monitoring along the Coastal Dunes of the LTER Sites of Abruzzo and Molise (Italy). Plant Sociol. 2014, 51, 51–56. [Google Scholar] [CrossRef]
- Sburlino, G.; Buffa, G.; Filesi, L.; Gamper, U.; Ghirelli, L. Phytocoenotic diversity of the N-Adriatic coastal sand dunes—The herbaceous communities of the fixed dunes and the vegetation of the interdunal wetlands. Plant Sociol. 2013, 50, 57–77. [Google Scholar] [CrossRef]
- Del Vecchio, S.; Fantinato, E.; Janssen, J.A.M.; Bioret, F.; Acosta, A.; Prisco, I.; Tzonev, R.; Marcenò, C.; Rodwell, J.; Buffa, G. Biogeographic variability of coastal perennial grasslands at the European scale. Appl. Veg. Sci. 2018, 21, 312–321. [Google Scholar] [CrossRef]
- Pesaresi, S.; Galdenzi, D.; Biondi, E.; Casavecchia, S. Bioclimate of Italy: Application of the worldwide bioclimatic classification system. J. Maps 2014, 10, 538–553. [Google Scholar] [CrossRef]
- Desiato, F.; Lena, F.; Toreti, A. SCIA: A system for a better knowledge of the Italian climate. Boll. Di Geofis. Teor. Ed Appl. 2007, 48, 351–358. [Google Scholar]
- Desiato, F.; Fioravanti, G.; Fraschetti, P.; Perconti, W.; Toreti, A. Climate indicators for Italy: Calculation and dissemination. Adv. Sci. Res. 2011, 6, 147–150. [Google Scholar] [CrossRef]
- SCIA: Sistema Nazionale per L’elaborazione e Diffusione di Dati Climatici/National System for Computation and Distribution of Climate Data. Available online: http://www.scia.isprambiente.it/wwwrootscia/Home_new.html (accessed on 20 September 2022).
- Prisco, I.; Berardo, F.; Carranza, M.L.; Frate, L.; Fusco, S.; Iannotta, F.; Loy, A.; Roscioni, F.; Stanisci, A. SOS Dune: Le Buone Pratiche del Progetto Life Maestrale/SOS Dunes:The Best Practices of LIFE Project Maestrale. Layman’s Report; Aracne Editrice: Roma, Italy, 2017; ISBN 978-88-255-0224-4. [Google Scholar]
- de Francesco, M.C.; Chiuchiarelli, I.; Frate, L.; Carranza, M.L.; Pagliani, T.; Stanisci, A. Towards new marine-coastal Natura 2000 sites in the central Adriatic Sea. In Eighth International Symposium “Monitoring of Mediterranean Coastal Areas. Problems and Measurement Techniques; Bonora, L., Carboni, D., De Vincenzi, M., Eds.; University Press: Firenze, Italy, 2020. [Google Scholar] [CrossRef]
- Prisco, I.; Acosta, A.T.R.; Ercole, S. An overview of the Italian coastal dune EU habitats. Ann. Bot. 2012, 2, 39–48. [Google Scholar] [CrossRef]
- Biondi, E.; Blasi, C.; Burrascano, S.; Casavecchia, S.; Copiz, R.; Del Vico, E.; Galdenzi, D.; Gigante, D.; Lasen, C.; Spampinato, G.; et al. Manuale Italiano di Interpretazione degli Habitat della Direttiva 92/43/CEE/Italian Manual for the Interpretation of Habitats Listed in the Directive 92/43CEE; Published by Italian Botany Society and Ministry of Environment and Protection of the Ierritory and Sea. 2009. Available online: http://vnr.unipg.it/habitat/index.jsp (accessed on 22 September 2022).
- Pirone, G.; Ciaschetti, G.; Di Martino, L.; Cianfaglione, K.; Giallonardo, T.; Frattaroli, A.R. Contribution to the knowledge of the coastal vegetation of Abruzzo (central Adriatic). Plant Sociol. 2014, 51, 57–64. [Google Scholar] [CrossRef]
- Silan, G.; Del Vecchio, S.; Fantinato, E.; Buffa, G. Habitat quality assessment through a multifaceted 458 approach: The case of the habitat 2130* in Italy. Plant Sociol. 2017, 54, 13–22. [Google Scholar] [CrossRef]
- Rivieccio, G.; Aleffi, M.; Angiolini, C.; Bagella, S.; Bazan, G.; Bonini, F.; Caria, M.C.; Casavecchia, S.; Castello, M.; Dagnino, D.; et al. New national and regional Annex I Habitat records: From #26 to #36. Plant Sociol. 2021, 58, 77–98. [Google Scholar] [CrossRef]
- Acosta, A.T.R.; Ercole, S. Gli Habitat delle Coste Sabbiose Italiane: Ecologia e Problematiche di Conservazione/Habitats of Italian Sandy Coasts: Ecology and Conservation Issues; Serie Rapporti; ISPRA: Roma, Italy, 2015. [Google Scholar]
- Montagnani, C.; Gentili, R.; Smith, M.; Guarino, M.F.; Citterio, S. The Worldwide Spread, Success, and Impact of Ragweed (Ambrosia spp.). CRC Crit. Rev. Plant Sci. 2017, 36, 1–40. [Google Scholar] [CrossRef]
- Canullo, R.; Falinska, K. Ecologia Vegetale. La struttura gerarchica della vegetazione/Plant Ecology. In The Hierarchical Structure of Vegetation; Liguori Editore: Napoli, Italy, 2003; ISBN 9788820734145. [Google Scholar]
- Mihulka, S.; Pyšek, P.; Martínková, J.; Jarošík, V. Invasiveness of Oenothera congeners alien to Europe: Jack of all trades; master of invasion? Perspect. Plant Ecol. 2006, 8, 83–96. [Google Scholar] [CrossRef]
- Del Vecchio, S.; Mattana, E.; Ullian, T.; Buffa, G. Functional seed traits and germination patterns predict species coexistence in NE Mediterranean foredune communities. Ann. Bot. 2021, 127, 361–370. [Google Scholar] [CrossRef]
- Hilton, M.; Konlechner, T.; McLachlan, K.; Lim, D.; Lord, J. Long-lived seed banks of Ammophila arenaria prolong dune restoration programs. J. Coast. Conserv. 2019, 23, 461–471. [Google Scholar] [CrossRef]
- Saeed, A.; Hussain, A.; Khan, M.I.; Arif, M.; Maqbool, M.M.; Mehmood, H.; Iqbal, M.; Alkahtani, J.; Elshikh, M.S. The influence of environmental factors on seed germination of Xanthium strumarium L.: Implications for management. PLoS ONE 2020, 15, e0241601. [Google Scholar] [CrossRef]
- Guarino, R.; Chytrý, M.; Attorre, F.; Landucci, F.; Marcenò, C. Alien plant invasions in Mediterranean habitats: An assessment for Sicily. Biol. Invasions 2021, 23, 3091–3107. [Google Scholar] [CrossRef]
- Ullah, R.; Khan, N.; Hewitt, N.; Ali, K.; Jones, D.A.; Khan, M.E.H. Invasive Species as Rivals: Invasive Potential and Distribution Pattern of Xanthium strumarium L. Sustainability 2022, 14, 7141. [Google Scholar] [CrossRef]
- Buffa, G.; Gaetan, C.; Piccoli, S.; Del Vecchio, S.; Fantinato, E. Using fine-scale field data modelling for planning the management of invasions of Oenothera stucchii in coastal dune systems. Ecol. Indic. 2021, 125, 107564. [Google Scholar] [CrossRef]
- Zhang, Y.; Tang, J.; Ren, G.; Zhao, K.; Wang, X. Global potential distribution prediction of Xanthium italicum based on Maxent model. Sci. Rep. 2021, 11, 16545. [Google Scholar] [CrossRef] [PubMed]
- Italian Ministry of Ecological Transition. EC Habitat Maps and Forms. Available online: https://www.mite.gov.it/pagina/schede-e-cartografie (accessed on 22 September 2022).
- Haveman, R.; Janssen, J.A.M. The analysis of long-term changes in plant communities using large databases: The effect of stratified resampling. J. Veg. Sci. 2008, 19, 355–362. [Google Scholar] [CrossRef]
- Gigante, D.; Attorre, F.; Venanzoni, R.; Acosta, A.; Agrillo, E.; Aleffi, M.; Alessi, N.; Allegrezza, M.; Angelini, P.; Angiolini, C.; et al. A methodological protocol for Annex I Habitats monitoring: The contribution of Vegetation science. Plant Sociol. 2016, 53, 77–87. [Google Scholar] [CrossRef]
- Braun-Blanquet, J. Pflanzensoziologie, Grundzüge der Vegetationskunde, 3rd ed.; Springer-Verlag: Berlin, Germany, 1964. [Google Scholar] [CrossRef]
- Westhoff, V.; Van Der Maarel, E. The Braun-Blanquet approach. In Classification of Plant Communities; Springer: Berlin/Heidelberg, Germany, 1978; pp. 287–399. [Google Scholar]
- Pignatti, S.; La Rosa, M.; Guarino, R. Flora d’Italia Flora of Italy; Edagricole: Bologna, Italy, 2017–2019. [Google Scholar]
- Santoro, R.; Jucker, T.; Carranza, M.L.; Acosta, A.T.R. Assessing the Effects of Carpobrotus Invasion on Coastal Dune Soils. Does the Nature of the Invaded Habitat Matter? Commun. Ecol. 2011, 12, 234–240. [Google Scholar] [CrossRef]
- European Commission. Interpretation Manual of European Union Habitats. Directorate-General for the Environment; European Commission: Brussels, Belgium, 2013. [Google Scholar]
- Prisco, I.; Stanisci, A.; Acosta, A.T.R. Mediterranean Dunes on the Go: Evidence from a Short Term Study on Coastal Herbaceous Vegetation. Estuar. Coast. Shelf Sci. 2016, 182, 40–46. [Google Scholar] [CrossRef]
- Richardson, D.M.; Pyšek, P.; Rejmánek, M.; Barbour, M.G.; Panetta, F.D.; West, C.J. Naturalization and Invasion of Alien Plants: Concepts and Definitions. Divers. Distrib. 2000, 6, 93–107. [Google Scholar] [CrossRef]
- Pyšek, P.; Hulme, P.E.; Simberloff, D.; Bacher, S.; Blackburn, T.M.; Carlton, J.T.; Dawson, W.; Essl, F.; Foxcroft, L.C.; Genovesi, P.; et al. Scientists’ Warning on Invasive Alien Species. Biol. Rev. Camb. Philos. Soc. 2020, 95, 1511–1534. [Google Scholar] [CrossRef]
- Celesti-Grapow, L.; Pretto, F.; Brundu, G.; Carli, E.; Blasi, C. Plant Invasion in Italy. An Overview; Palombi & Partner S.r.l.: Rome, Italy, 2009. [Google Scholar]
- Galasso, G.; Conti, F.; Peruzzi, L.; Ardenghi, N.M.G.; Banfi, E.; Celesti-Grapow, L.; Albano, A.; Alessandrini, A.; Bacchetta, G.; Ballelli, S.; et al. An Updated Checklist of the Vascular Flora Alien to Italy. Plant Biosyst. 2018, 152, 556–592. [Google Scholar] [CrossRef]
- Prasad, A.M.; Iverson, L.R.; Liaw, A. Newer classification and regression tree techniques: Bagging and random forests for ecological prediction. Ecosystems 2006, 9, 181–199. [Google Scholar] [CrossRef]
- Cutler, D.R.; Edwards Jr, T.C.; Beard, K.H.; Cutler, A.; Hess, K.T.; Gibson, J.; Lawler, J.J. Random forests for classification in ecology. Ecology 2007, 8, 2783–2792. [Google Scholar] [CrossRef]
- Probst, P.; Wright, M.N.; Boulesteix, A.L. Hyperparameters and tuning strategies for random forest. Wiley Interdiscip. Rev. Data Min. Knowl. Discov. 2019, 9, e1301. [Google Scholar] [CrossRef]
- R Core Team. R: A Language and Environment for Statistical Computing; R Foundation for Statistical Computing: Vienna, Austria, 2022. [Google Scholar]
- Kuhn, M. Classification and Regression Training. R Package Version 6.0-93. 2022. Available online: https://CRAN.R-project.org/package=caret> (accessed on 1 July 2022).
- Wickham, H. Ggplot2: Elegant Graphics for Data Analysis; Springer: New York, NY, USA, 2016. [Google Scholar]
- Liaw, A.; Wiener, M. Classification and Regression by randomForest. R News 2002, 2, 18–22. [Google Scholar]
- Oksanen, J.; Simpson, G.; Blanchet, F.; Kindt, R.; Legendre, P.; Minchin, P.; O’Hara, R.; Solymos, P.; Stevens, M.; Szoecs, E.; et al. Vegan: Community Ecology Package. R Package Version 2.6-2. 2022. Available online: https://CRAN.R-project.org/package=vegan (accessed on 1 July 2022).
- Greenwell, B.M. An R Package for Constructing Partial Dependence Plots. R J. 2017, 9, 421–436. [Google Scholar]
- O’Loughlin, L.S.; Panetta, F.D.; Gooden, B. Identifying thresholds in the impacts of an invasive groundcover on native vegetation. Sci. Rep. 2021, 11, 20512. [Google Scholar] [CrossRef]
- Prober, S.M.; Thiele, K.R.; Speijers, J. Competing drivers lead to non-linear native: Exotic relationships in endangered temperate grassy woodlands. Biol. Invasions 2016, 18, 3001–3014. [Google Scholar] [CrossRef]
- Stešević, D.; Luković, M.; Caković, D.; Ružić, N.; Bubanja, N.; Šilc, U. Distribution of alien species along sand dune plant communities zonation. Period. Biol. 2017, 119, 239–249. [Google Scholar] [CrossRef]
- Valdesolo, T.; Del Vecchio, S.; Buffa, G. Patterns of Seed Dispersal in Coastal Dune Plant Communities. Sustainability 2022, 14, 10983. [Google Scholar] [CrossRef]
- Prisco, I.; Carboni, M.; Acosta, A.T.R. The Fate of Threatened Coastal Dune Habitat in Italy under Climate Change Scenarios. PLoS ONE 2013, 8, e68850. [Google Scholar] [CrossRef]
- MedECC. Climate and Environmental Change in the Mediterranean Basin—Current Situation and Risks for the Future. First Mediterranean Assessment Report; UNEP/MAP: Marseille, France, 2020; p. 632. ISBN 978-2-9577416-0-1. [Google Scholar] [CrossRef]
- Barbier, E.B.; Hacker, S.D.; Kennedy, C.; Koch, E.W.; Stier, A.C.; Silliman, B.R. The Value of Estuarine and Coastal Ecosystem Services. Ecol. Monog. 2011, 81, 169–193. [Google Scholar] [CrossRef]
- Drius, M.; Carranza, M.L.; Stanisci, A.; Jones, L. The Role of Italian Coastal Dunes as Carbon Sinks and Diversity Sources. A Multi-Service Perspective. Appl. Geog. 2016, 75, 127–136. [Google Scholar] [CrossRef]
- Biel, R.G.; Hacker, S.D.; Ruggiero, P.; Cohn, N.; Seabloom, E.W. Coastal Protection and Conservation on Sandy Beaches and Dunes: Context-Dependent Tradeoffs in Ecosystem Service Supply. Ecosphere 2017, 8, e01791. [Google Scholar] [CrossRef]
- Stanisci, A.; Acosta, A.T.R.; Di Iorio, A.; Vergalito, M. Leaf and root trait variability of alien and native species along Adriatic coastal dunes (Italy). Plant Biosyst. 2010, 144, 47–52. [Google Scholar] [CrossRef]
- Carboni, M.; Münkemüller, T.; Lavergne, S.; Choler, P.; Borgy, B.; Violle, C.; Essl, F.; Roquet, C.; Munoz, F.; DivGrass Consortium. What it takes to invade grassland ecosystems: Traits; introduction history and filtering processes. Ecol. Lett. 2016, 19, 219–229. [Google Scholar] [CrossRef]
- Lambdon, P.W.; Lloret, F.; Hulme, P.E. Do alien plants on Mediterranean islands tend to invade different niches from native species? Biol. Invasions 2008, 10, 703–716. [Google Scholar] [CrossRef]
- Sargent, R.D.; Ackerly, D.D. Plant–pollinator interactions and the assembly of plant communities. Trends Ecol. Evol. 2008, 23, 123–130. [Google Scholar] [CrossRef] [PubMed]
- Fantinato, E.; Del Vecchio, S.; Giovanetti, M.; Acosta, A.T.R.; Buffa, G. New insights into plants co-existence in species-rich communities: The pollination interaction perspective. J. Veg. Sci. 2018, 29, 6–14. [Google Scholar] [CrossRef]
- Fenollosa, E.; Roach, D.A.; Munné-Bosch, S. Death and Plasticity in Clones Influence Invasion Success. Trends Plant Sci. 2016, 21, 551–553. [Google Scholar] [CrossRef]
- Campoy, J.G.; Roiloa, S.R.; Santiso, X.; Retuerto, R. Ecophysiological differentiation between two invasive species of Carpobrotus competing under different nutrient conditions. Am. J. Bot. 2019, 106, 1454–1465. [Google Scholar] [CrossRef]
- Campoy, J.G.; Lema, M.; Fenollosa, E.; Munné-Bosch, S.; Retuerto, R. Functional responses to climate change may increase invasive potential of Carpobrotus edulis. Am. J. Bot. 2021, 108, 1902–1916. [Google Scholar] [CrossRef]
- Farris, E.; Pisanu, S.; Ceccherelli, G.; Filigheddu, R. Human trampling effects on Mediterranean coastal dune plants. Plant Biosyst. 2013, 147, 1043–1051. [Google Scholar] [CrossRef]
- Pinna, M.S.; Bacchetta, G.; Cogoni, D.; Fenu, G. Is vegetation an indicator for evaluating the impact of tourism on the conservation status of Mediterranean coastal dunes? Sci. Total Environ. 2019, 674, 255–263. [Google Scholar] [CrossRef]
- Sarmati, S.; Bonari, G.; Angiolini, C. Conservation status of Mediterranean coastal dune habitats: Anthropogenic disturbance may hamper habitat assignment. Rend. Fis. Acc. Lincei 2019, 3, 623–636. [Google Scholar] [CrossRef]
- Cole, D.N. Experimental Trampling of Vegetation II. Predictors of Resistance and Resilience. J. Appl. Ecol. 1995, 32, 215–224. [Google Scholar] [CrossRef]
- de Francesco, M.C.; Carranza, M.L.; Varricchione, M.; Tozzi, F.P.; Stanisci, A. Natural Protected Areas as Special Sentinels of Littering on Coastal Dune Vegetation. Sustainability 2019, 11, 5446. [Google Scholar] [CrossRef]
- Marzialetti, F.; Bazzichetto, M.; Giulio, S.; Acosta, A.T.R.; Stanisci, A.; Malavasi, M.; Carranza, M.L. Modelling Acacia saligna invasion on the Adriatic coastal landscape: An integrative approach using LTER data. Nat. Conserv. 2019, 34, 127–144. [Google Scholar] [CrossRef]
- Seer, F.K.; Irmler, U.; Schrautzer, J. Beaches under pressure—Effects of human access on vegetation at Baltic Sea beaches. Appl. Veg. Sci. 2016, 19, 225–234. [Google Scholar] [CrossRef]
- Purvis, K.G.; Gramling, J.M.; Murren, C.J. Assessment of Beach Access Paths on Dune Vegetation: Diversity, Abundance, and Cover. J. Coast. Res. 2015, 31, 1222–1228. [Google Scholar] [CrossRef]
- Defeo, O.; McLachlan, A.; Schoeman, D.S.; Schlacher, T.A.; Dugan, J.; Jones, A.; Lastra, M.; Scapini, F. Threats to sandy beach ecosystems: A review. Estuar. Coast. Shelf Sci. 2009, 81, 1–12. [Google Scholar] [CrossRef]



| Mean Cover per Habitat (%) | Presence in Adriatic Sector | ||||||
|---|---|---|---|---|---|---|---|
| Taxon | Family | Habitus | Origin | Shifting Dunes | Transition Dunes | North | South |
| Oenothera stucchii | Onagraceae | Biennial erect leafy forb | North America | 10.94 | 11.68 | x | x |
| Ambrosia psilostachya | Asteraceae | Perennial erect leafy forb | North America | 0.34 | 1.74 | x | x |
| Cenchrus longispinus | Poaceae | Annual erect grass | North America | 0.20 | 0.79 | x | x |
| Xanthium orientale | Asteraceae | Annual erect leafy forb | North America | 0.54 | 0.14 | x | x |
| Erigeron canadensis | Asteraceae | Annual erect leafy forb | North America | 0.25 | 0.19 | x | x |
| Amorpha fruticosa | Fabaceae | Deciduous bush | North America | 0.21 | x | - | |
| Sporobolus pumilus | Poaceae | Perennial grass | North America | 0.09 | x | - | |
| Carpobrotus edulis | Aizoaceae | Perennial succulent mat | South Africa | 0.05 | - | x | |
| Cuscuta campestris | Convolvulaceae | Annual parasite | North America | 0.01 | x | - | |
| Erigeron sumatrensis | Asteraceae | Annual erect leafy forb | Central America | 0.01 | - | x | |
| Senecio inaequidens | Asteraceae | Annual erect leafy forb | South Africa | 0.01 | x | - | |
Disclaimer/Publisher’s Note: The statements, opinions and data contained in all publications are solely those of the individual author(s) and contributor(s) and not of MDPI and/or the editor(s). MDPI and/or the editor(s) disclaim responsibility for any injury to people or property resulting from any ideas, methods, instructions or products referred to in the content. |
© 2022 by the authors. Licensee MDPI, Basel, Switzerland. This article is an open access article distributed under the terms and conditions of the Creative Commons Attribution (CC BY) license (https://creativecommons.org/licenses/by/4.0/).
Share and Cite
de Francesco, M.C.; Tozzi, F.P.; Buffa, G.; Fantinato, E.; Innangi, M.; Stanisci, A. Identifying Critical Thresholds in the Impacts of Invasive Alien Plants and Dune Paths on Native Coastal Dune Vegetation. Land 2023, 12, 135. https://doi.org/10.3390/land12010135
de Francesco MC, Tozzi FP, Buffa G, Fantinato E, Innangi M, Stanisci A. Identifying Critical Thresholds in the Impacts of Invasive Alien Plants and Dune Paths on Native Coastal Dune Vegetation. Land. 2023; 12(1):135. https://doi.org/10.3390/land12010135
Chicago/Turabian Stylede Francesco, Maria Carla, Francesco Pio Tozzi, Gabriella Buffa, Edy Fantinato, Michele Innangi, and Angela Stanisci. 2023. "Identifying Critical Thresholds in the Impacts of Invasive Alien Plants and Dune Paths on Native Coastal Dune Vegetation" Land 12, no. 1: 135. https://doi.org/10.3390/land12010135
APA Stylede Francesco, M. C., Tozzi, F. P., Buffa, G., Fantinato, E., Innangi, M., & Stanisci, A. (2023). Identifying Critical Thresholds in the Impacts of Invasive Alien Plants and Dune Paths on Native Coastal Dune Vegetation. Land, 12(1), 135. https://doi.org/10.3390/land12010135

