Multi-Dimensional Urbanization Coordinated Evolution Process and Ecological Risk Response in the Yangtze River Delta
Abstract
:1. Introduction
2. Coupling Mechanism of Urbanization Coordination and Ecological Risk
2.1. Technical Roadmap of This Research
2.2. Interaction of Urbanization and Ecological Risk
3. Materials and Methods
3.1. Study Area
3.2. Data Sources and Processing
3.3. Methods
3.3.1. Urbanization Evaluation Index System
3.3.2. Ecological Risk Assessment
3.3.3. Coupling Coordination Degree Model
3.3.4. Change Trend Analysis
4. Results
4.1. Spatio-Temporal Development Process of Urbanization’s Coupling Coordination Degree in the Yangtze River Delta
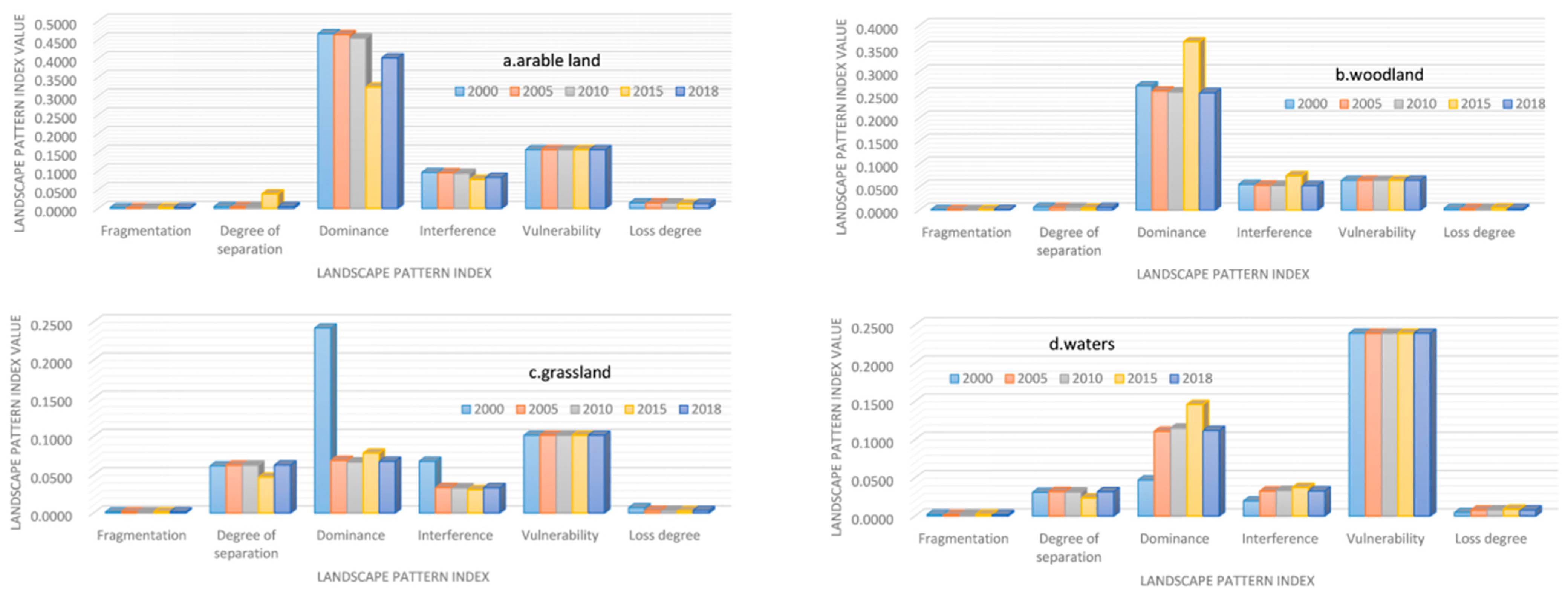
4.2. Spatiotemporal Evolution Characteristics of Ecological Risk in the Yangtze River Delta
4.3. Ecological Risk Response Pattern of the Coupling Coordination Development of Urbanization in the Yangtze River Delta
5. Conclusions and Discussion
5.1. Discussion
5.1.1. Research Applicability
5.1.2. Shortcomings and Future Prospects
5.1.3. Policy Implications
5.2. Conclusions
Author Contributions
Funding
Data Availability Statement
Conflicts of Interest
References
- Friedmann, J. Four theses in the study of China’s Urbanisation. Int. J. Urban Reg. Res. 2006, 30, 440–451. [Google Scholar] [CrossRef]
- Yi, H.; Kreuter, U.P.; Han, D.; Güneralp, B. Social segregation of ecosystem services delivery in the San Antonio region, Texas, through 2050. Sci. Total Environ. 2019, 667, 234–247. [Google Scholar] [CrossRef] [PubMed]
- Hunsaker, C.T.; Graham, R.L.; Suter, I.I.G.W.; Neill, R.V.O.; Barnthouse, L.W.; Gardner, R.H. Assessing ecological risk on a regional scale. J. Environ. Manag. 1990, 14, 325–332. [Google Scholar] [CrossRef]
- Tsuchiya, K.; Iha, K.; Murthy, A.; Lin, D.; Mcgreevy, S.R. Decentralization & local food: Japan’s regional Ecological Footprints indicate localized sustainability strategies. J. Clean. Prod. 2021, 292, 126043. [Google Scholar]
- Wang, S.J.; Cui, Z.T.; Lin, J.J.; Xie, J.Y.; Su, K. Coupling and coordination of Urbanisation and ecological resilience in the Pearl River Delta. Acta Geograph. Sin. 2021, 76, 973–991. (In Chinese) [Google Scholar]
- Zhang, W.; Chang, W.J.; Zhu, Z.C.; Zeng, H. Landscape ecological risk assessment of Chinese coastal cities based on land use change. Appl. Geogr. 2020, 117, 102174. [Google Scholar] [CrossRef]
- Tang, L.; Wang, L.; Li, Q.Y.; Zhao, J.Z. A framework designation for the assessment of urban ecological risks. Int. J. Sust. Dev. World. 2018, 25, 387–395. [Google Scholar] [CrossRef] [Green Version]
- Liang, L.W.; Wang, Z.B.; Li, J.X. The effect of Urbanisation on environmental pollution in rapidly developing urban agglomerations. J. Clean. Prod. 2019, 237, 117649. [Google Scholar] [CrossRef]
- Li, W.J.; Wang, Y.; Xie, S.Y.; Cheng, X. Coupling coordination analysis and spatiotemporal heterogeneity between Urbanisation and ecosystem health in Chongqing municipality. China. Sci. Total Environ. 2021, 791, 148311. [Google Scholar] [CrossRef]
- Rezapour, S.; Moghaddam, S.S.; Nouri, A.; Aqdam, K.K. Urbanization influences the distribution, enrichment, and ecological health risk of heavy metals in croplands. Sci. Rep. 2022, 12, 3868. [Google Scholar] [CrossRef]
- Yin, R.; Wang, Z.; Chai, J.; Gao, Y.; Xu, F. The Evolution and Response of Space Utilization Efficiency and Carbon Emissions: A Comparative Analysis of Spaces and Regions. Land 2022, 11, 438. [Google Scholar] [CrossRef]
- Liu, H.M.; Fang, C.L.; Fang, K. The Coupled Human and Natural Cube: A novel framework analyzing the multiple interactions between human and nature. J. Geogr. Sci. 2020, 30, 355–377. [Google Scholar] [CrossRef]
- Mo, W.B.; Wang, Y.; Zhang, Y.X.; Zhuang, D.F. Impacts of road network expansion on landscape ecological risk in a megacity, China: A case study of Beijing. Sci. Total Environ. 2016, 574, 1000–1011. [Google Scholar] [CrossRef] [PubMed] [Green Version]
- Liu, X.; Zhang, Z.; Li, M.X.; Fu, Y.H.; Hui, Y. Spatial conflict simulation of land-use based on human-land-landscape elements intercoordination: A case study in Tianjin, China. Environ. Monit. Assess. 2022, 194, 317. [Google Scholar] [CrossRef]
- Kroll, F.; Müller, F.; Haase, D.; Fohrer, N. Rural–urban gradient analysis of ecosystem services supply and demand dynamics. Land Use Policy 2012, 29, 521–535. [Google Scholar] [CrossRef]
- Chen, M.X. Research progress and scientific issues in the field of Urbanisation. Geogr. Res. 2015, 34, 614–630. (In Chinese) [Google Scholar]
- Pumain, D. Alternative explanations of hierarchical differentiation in urban systems. In Hierarchy in Natural and Social Sciences; Methods Series 3; (Chapter 7); Pumain, D., Ed.; Springer: Berlin/Heidelberg, Germany, 2006; pp. 169–222. [Google Scholar]
- Du, Y.Y.; Wan, Q.; Liu, H.M.; Liu, H.; Kapsar, K.; Peng, J. How does Urbanisation influence PM 2.5 concentrations? Perspective of spillover effect of multi-dimensional Urbanisation impact. J. Clean. Prod. 2019, 220, 974–983. [Google Scholar] [CrossRef]
- Chen, M.X.; Ye, C.; Lu, D.D.; Sui, Y.W.; Guo, S.S. Cognition and construction of the theoretical connotation of new Urbanisation with Chinese characteristics. Acta Geogr. Sin. 2019, 74, 633–647. (In Chinese) [Google Scholar]
- Fan, Q.Y.; Yang, S. The spatial characteristics and formation mechanism of the coordinated development of Urbanisation in the Yangtze River Delta. Prog. Geogr. Sci. 2021, 40, 124–134. (In Chinese) [Google Scholar] [CrossRef]
- Wei, G.; Sun, P.J.; Jiang, S.N.; Shen, Y.; Liu, B.L.; Zhang, Z.K.; Ouyang, X. The Driving Influence of Multi-Dimensional Urbanisation on PM2.5 Concentrations in Africa: New Evidence from Multi-Source Remote Sensing Data, 2000–2018. Int. J. Environ. Res. Public Health 2021, 18, 9389. [Google Scholar] [CrossRef]
- Li, X.; Li, S.; Zhang, Y.; O’Connor, P.J.; Zhang, L.; Yan, J. Landscape Ecological Risk Assessment under Multiple Indicators. Land 2021, 10, 739. [Google Scholar] [CrossRef]
- Luo, F.H.; Liu, Y.X.; Peng, J.; Wu, J.S. Assessing urban landscape ecological risk through an adaptive cycle framework. Landsc. Urban Plan. 2018, 180, 125–134. [Google Scholar] [CrossRef]
- Wang, J.; Bai, W.Q.; Tian, G. Research progress on ecological risk assessment of land use. J. Nat. Resour. 2020, 35, 576–585. (In Chinese) [Google Scholar]
- Wang, H.; Liu, X.M.; Zhao, C.Y.; Chang, Y.P.; Liu, Y.Y.; Zang, F. Spatial-temporal pattern analysis of landscape ecological risk assessment based on land use/land cover change in Baishuijiang National nature reserve in Gansu Province, China. Ecol. Indic. 2021, 124, 107454. [Google Scholar] [CrossRef]
- Wu, Z.J.; Lin, C.; Shao, H.; Feng, X.J.; Chen, X.; Wang, S.M. Ecological risk assessment and difference analysis of pit ponds under different ecological service functions-A case study of Jianghuai ecological Economic Zone. Ecol. Indic. 2021, 129, 107860. [Google Scholar] [CrossRef]
- Schanze, J. Flood Risk Management-A Basic Framework, Flood Risk Management: Hazards, Vulnerability and Mitigation Measures; Springer: Berlin/Heidelberg, Germany, 2006. [Google Scholar]
- Ranjan, R.; Marshall, E.; Shortle, J. Optimal renewable resource management in the presence of endogenous risk of invasion. J. Environ. Manag. 2008, 89, 273–283. [Google Scholar] [CrossRef]
- Zhu, Q.; Xu, L.; Wang, W.; Liu, W.; Liu, C.; Jiang, G. Occurrence, spatial distribution and ecological risk assessment of phthalate esters in water, soil and sediment from Yangtze River Delta, China. Sci. Total Environ. 2022, 806, 150966. [Google Scholar] [CrossRef]
- Dagnino, A.; Sforzini, S.; Dondero, F.; Fenoglio, S.; Bona, E.; Jensen, J.; Viarengo, A. A weight-of-evidence approach for the integration of environmental triad data to assess ecological risk and biological vulnerability. Integr. Environ. Assess. Manag. 2008, 4, 314–326. [Google Scholar] [CrossRef]
- Obery, A.M.; Landis, W.G. A regional multiple stressor risk assessment of the codorus creek watershed applying the Relative Risk Model. Hum. Ecol. Risk Assess. 2002, 8, 405–428. [Google Scholar] [CrossRef]
- Xie, H.L.; Wang, P.; Huang, H.S. Ecological Risk Assessment of Land Use Change in the Poyang Lake Eco-economic Zone, China. Int. J. Environ. Res. Public Health. 2013, 10, 328–346. [Google Scholar] [CrossRef] [Green Version]
- Shang, T.C. Eco-tourism system management and ecological risk analysis. Arid. Land Resour. Environ. 2008, 22, 91–94. (In Chinese) [Google Scholar]
- Peng, L.; Dong, B.; Wang, P.; Sheng, S.W.; Sun, L.; Fang, L.; Li, H.R.; Liu, L.P. Research on ecological risk assessment in land use model of Shengjin Lake in Anhui province, China. Environ. Geochem. Health 2019, 41, 2665–2679. [Google Scholar] [CrossRef] [PubMed]
- Li, W.J.; Wang, Y.; Xie, S.Y.; Sun, R.H.; Cheng, X. Impacts of landscape multifunctionality change on landscape ecological risk in a megacity, China: A case study of Beijing. Ecol. Indic. 2020, 117, 106681. [Google Scholar] [CrossRef]
- Lin, Y.Y.; Hu, X.S.; Zheng, X.X.; Hou, X.Y.; Zhang, Z.X.; Zhou, X.N.; Qiu, R.Z.; Lin, J.G. Spatial variations in the relationships between road network and landscape ecological risks in the highest forest coverage region of China. Ecol. Indic. 2019, 96, 392–403. [Google Scholar] [CrossRef]
- Xie, H.L.; Wen, J.M.; Chen, Q.R.; Wu, Q. Evaluating the landscape ecological risk based on GIS: A case-study in the Poyang Lake region of China. Land Degrad. Dev. 2021, 32, 2762–2774. [Google Scholar] [CrossRef]
- Xu, G.; Zhou, Z.Z.; Jiao, L.M.; Zhao, R. Compact Urban Form and Expansion Pattern Slow Down the Decline in Urban Densities: A Global Perspective. Land Use Policy 2020, 94, 104563. [Google Scholar] [CrossRef]
- Yi, Y.; Zhang, C.; Zhang, G. Effects of Urbanisation on Landscape Patterns in the Middle Reaches of the Yangtze River Region. Land 2021, 10, 1025. [Google Scholar] [CrossRef]
- Steffen, L.; Dagmar, H.; Birgit, K. A modeling approach assessing ecosystem service trade-offs. Ecol. Indic. 2014, 42, 73–94. [Google Scholar]
- Fang, C.L.; Cui, X.G.; Liang, L.W. Theory of Urbanisation and ecological environment coupling circle and coupler control. Acta Geogr. Sin. 2019, 74, 2529–2546. (In Chinese) [Google Scholar]
- Li, Z.Y.; Luan, W.X.; Zhang, Z.C.; Su, M. Relationship between urban construction land expansion and population/economic growth in Liaoning Province, China. Land Use Policy 2020, 99, 105022. [Google Scholar] [CrossRef]
- Yu, M.; Yang, Y.J.; Chen, F.; Zhu, F.W.; Qu, J.F.; Zhang, S.L. Response of agricultural multifunctionality to farmland loss under rapidly urbanizing processes in Yangtze River Delta, China. Sci. Total Environ. 2019, 666, 1–11. [Google Scholar] [CrossRef] [PubMed]
- Brondizio, E.S.; Vogt, N.D.; Mansur, A.V.; Anthony, E.J.; Costa, S.; Hetrick, S. A conceptual framework for analyzing deltas as coupled social-ecological systems: An example from the Amazon River Delta. Sustain. Sci. 2016, 11, 591–609. [Google Scholar] [CrossRef]
- Abdullah, A.Y.M.; Masrur, A.; Adnan, M.S.G.; Baky, M.A.A.; Hassan, Q.K.; Dewan, A. Spatio-Temporal Patterns of Land Use/Land Cover Change in the Heterogeneous Coastal Region of Bangladesh between 1990 and 2017. Remote Sens. 2019, 11, 790. [Google Scholar] [CrossRef] [Green Version]
- Li, X.; Li, D.; Xu, H.; Wu, C.Q. Intercalibration between DMSP/OLS and VIIRS nighttime light images to evaluate city light dynamics of Syria’s major human settlement during Syrian Civil War. Int. J. Remote Sens. 2017, 38, 5934–5951. [Google Scholar] [CrossRef]
- Cai, J.; Li, X.P.; Liu, L.J.; Chen, Y.Z.; Wang, W.X.; Lu, S.H. Coupling and coordinated development of new Urbanisation and agro-ecological environment in China. Sci. Total Environ. 2021, 776, 145837. [Google Scholar] [CrossRef] [PubMed]
- Li, H.; Song, W. Evolution of rural settlements in the Tongzhou District of Beijing under the new-type Urbanisation policies. Habitat Int. 2020, 101, 102198. [Google Scholar] [CrossRef]
- Liu, W.J.; Jiao, F.C.; Ren, L.J.; Xu, X.G.; Wang, J.C.; Wang, X. Coupling coordination relationship between Urbanisation and atmospheric environment security in Jinan City. J. Clean. Prod. 2018, 204, 1–11. [Google Scholar] [CrossRef]
- Liu, Y.; Zhou, G.; Liu, D.; Yu, H.S.; Zhu, L.Y.; Zhang, J. The interaction of population, industry and land in process of Urbanisation in China: A case study in Jilin province. Chin. Geogr. Sci. 2018, 28, 529–542. [Google Scholar] [CrossRef] [Green Version]
- Xu, D.; Hou, G.L. The Spatiotemporal Coupling Characteristics of Regional Urbanisation and Its Influencing Factors:Taking the Yangtze River Delta as an Example. Sustainability 2019, 11, 822. [Google Scholar] [CrossRef] [Green Version]
- Xu, X.; Zhao, Y.; Xia, S.Y.; Zhang, X.L. Investigation of multi-scale spatio-temporal pattern of oldest-old clusters in China on the basis of spatial scan statistics. PLoS ONE 2019, 14, e0219695. [Google Scholar] [CrossRef] [Green Version]
- Liao, Y.L.; Wang, J.F.; Meng, B.; Wang, X.H. A method of spatialization of demographic data. Acta Geogr. Sin. 2007, 62, 1110–1119. (In Chinese) [Google Scholar]
- Wetterhall, F.; Halldin, S.; Xu, C.Y. Statistical precipitation downscaling in central Sweden with the analogue method. J. Hydrol. 2005, 306, 174–190. [Google Scholar] [CrossRef]
- Arshad, A.; Zhang, W.C.; Zhang, Z.J.; Wang, S.H.; Zhang, B.; Cheemae, M.J.L.M.; Shalamzariab, M.J. Reconstructing high-resolution gridded precipitation data using an improved downscaling approach over the high altitude mountain regions of Upper Indus Basin (UIB). Sci. Total Environ. 2021, 784, 147140. [Google Scholar] [CrossRef] [PubMed]
- Yue, T.X.; Wang, Y.A.; Liu, J.Y.; Chen, S.P.; Qiu, D.S.; Deng, X.Z.; Liu, M.L.; Tian, Y.Z.; Su, B.P. Surface modeling of human population distribution in China. Ecol. Model. 2005, 181, 461–478. [Google Scholar] [CrossRef]
- Feng, Z.; Tang, Y.; Yang, Y.; Zhang, D. Relief degree of land surface and its influence on population distribution in China. J. Geog. Sci. 2008, 18, 237–246. [Google Scholar] [CrossRef]
- Liu, Y.; Yao, C.; Wang, G.; Bao, S. An integrated sustainable development approach to modeling the eco-environmental effects from Urbanisation. Ecol. Indic. 2011, 11, 1599–1608. [Google Scholar] [CrossRef]
- Li, Y.; Zhang, X.; Cao, Z.; Liu, Z.J.; Lu, Z.; Liu, Y.S. Towards the progress of ecological restoration and economic development in China’s Loess Plateau and strategy for more sustainable development. Sci. Total Environ. 2021, 756, 143676. [Google Scholar]
- Zhang, J.J.; Zhu, W.B.; Zhu, L.Q.; Cui, Y.P.; He, S.S.; Ren, H. Grid-based terrain undulation characteristics of western Henan mountainous area and its impact on population and economy. Acta Geogr. Sin. 2018, 73, 1093–1106. (In Chinese) [Google Scholar]
- Ortiz, B.P.; Cabrera, B.P.; Bogaert, J. landscape patterns in urban-rural interfaces. J. Urban Manag. 2021, 10, 46–56. [Google Scholar] [CrossRef]
- Liu, Y.X.; Wu, W.H.; Wen, X.J.; Zhang, D.H. The Urbanisation process of the energy zone in Shanxi, Shaanxi and Mongolia and its impact on the ecological environment. Geogr. Res. 2013, 32, 2009–2020. (In Chinese) [Google Scholar]
- Zhong, Y.; Lin, A.W.; He, L.J.; Zhou, Z.G.; Yuan, M.X. Spatiotemporal Dynamics and Driving Forces of Urban Land-Use Expansion: A Case Study of the Yangtze River Economic Belt, China. Remote Sens. 2020, 12, 287. [Google Scholar] [CrossRef] [Green Version]
- Zhang, N. Scale issues in ecology: Connotation and analytical methods. Acta Ecol. Sin. 2006, 7, 2340–2355. (In Chinese) [Google Scholar]
- Jin, X.; Jin, Y.; Mao, X. Ecological risk assessment of cities on the Tibetan Plateau based on land use/land cover changes-Case study of Delingha City. Ecol. Indic. 2019, 101, 185–191. [Google Scholar] [CrossRef]
- Peng, J.; Dang, W.X.; Liu, Y.X.; Zong, M.L.; Hu, X.X. Research progress and prospects of landscape ecological risk assessment. Acta Geogr. Sin. 2015, 70, 664–677. (In Chinese) [Google Scholar]
- Jiang, L.; Bai, L.; Wu, Y.M. Analysis on the coordination of China’s provincial economy, resources and environment—On the three-system coupling formula and its extended form. J. Nat. Resour. 2017, 32, 788–799. (In Chinese) [Google Scholar]
- Hermann, H. Advanced Synergetics: Instability Hierarchies of Self-Organizing Systems and Devices; Springer: Berlin/Heidelberg, Germany, 1983. [Google Scholar]
- Xie, X.; Fang, B.; Xu, H.; He, S.; Li, X. Study on the coordinated relationship between Urban Land use efficiency and ecosystem health in China. Land Use Policy 2021, 102, 1–10. [Google Scholar] [CrossRef]
- Guo, X.Y.; Mu, X.Q.; Ding, Z.S.; Qin, D.L. The non-linear impact and driving mechanism of multi-dimensional Urbanisation in the Yangtze River Delta on PM2.5 concentration. Acta Geogr. Sin. 2021, 76, 1274–1293. (In Chinese) [Google Scholar]
- Cao, G.Z.; Chen, S.C.; Liu, T. Spatial patterns and changing trends of population inflows in China’s five major urban agglomerations. Acta Geogr. Sin. 2021, 76, 1334–1349. (In Chinese) [Google Scholar]
- Chen, S.; Haase, D.; Xue, B.; Wellmann, T.; Qureshi, S. Integrating Quantity and Quality to Assess Urban Green Space Improvement in the Compact City. Land 2021, 10, 1367. [Google Scholar] [CrossRef]
- Nuissl, H.; Haase, D.; Lanzendorf, M.; Wittmer, H. Environmental impact assessment of urban land use transitions—A context-sensitive approach. Land Use Policy 2009, 26, 414–424. [Google Scholar] [CrossRef]










| Year | 2000 | 2005 | 2010 | 2015 | 2018 | ||||||
|---|---|---|---|---|---|---|---|---|---|---|---|
| Type | Area (km2) | Percent (%) | Area (km2) | Percent (%) | Area (km2) | Percent (%) | Area (km2) | Percent (%) | Area (km2) | Percent (%) | |
| Arable land | 182,941.11 | 52.19 | 179,152.27 | 51.11 | 171,977.93 | 49.06 | 168,954.51 | 48.20 | 166,918.21 | 47.62 | |
| Forest land | 100,643.55 | 28.71 | 100,349.82 | 28.63 | 99,665.73 | 28.43 | 99,519.75 | 28.39 | 98,805.10 | 28.19 | |
| Grassland | 11,559.02 | 3.30 | 11,473.62 | 3.27 | 11,227.37 | 3.20 | 11,141.03 | 3.18 | 11,257.23 | 3.21 | |
| Water Area | 24,431.04 | 6.97 | 24,825.26 | 7.08 | 25,588.71 | 7.30 | 25,717.68 | 7.34 | 25,531.47 | 7.28 | |
| Construction Land | 30,918.76 | 8.82 | 34,697.26 | 9.90 | 41,876.91 | 11.95 | 45,019.11 | 12.84 | 47,803.06 | 13.64 | |
| Utilized land | 60.82 | 0.02 | 56.07 | 0.02 | 217.65 | 0.06 | 202.25 | 0.06 | 239.27 | 0.07 | |
Publisher’s Note: MDPI stays neutral with regard to jurisdictional claims in published maps and institutional affiliations. |
© 2022 by the authors. Licensee MDPI, Basel, Switzerland. This article is an open access article distributed under the terms and conditions of the Creative Commons Attribution (CC BY) license (https://creativecommons.org/licenses/by/4.0/).
Share and Cite
Li, X.; Fang, B.; Yin, M.; Jin, T.; Xu, X. Multi-Dimensional Urbanization Coordinated Evolution Process and Ecological Risk Response in the Yangtze River Delta. Land 2022, 11, 723. https://doi.org/10.3390/land11050723
Li X, Fang B, Yin M, Jin T, Xu X. Multi-Dimensional Urbanization Coordinated Evolution Process and Ecological Risk Response in the Yangtze River Delta. Land. 2022; 11(5):723. https://doi.org/10.3390/land11050723
Chicago/Turabian StyleLi, Xin, Bin Fang, Mengru Yin, Tao Jin, and Xin Xu. 2022. "Multi-Dimensional Urbanization Coordinated Evolution Process and Ecological Risk Response in the Yangtze River Delta" Land 11, no. 5: 723. https://doi.org/10.3390/land11050723
APA StyleLi, X., Fang, B., Yin, M., Jin, T., & Xu, X. (2022). Multi-Dimensional Urbanization Coordinated Evolution Process and Ecological Risk Response in the Yangtze River Delta. Land, 11(5), 723. https://doi.org/10.3390/land11050723
