Influence of Gate Dams on Yellow River Delta Wetlands
Abstract
1. Introduction
2. Study Area
3. Methodology
3.1. Delft 3D Model
3.2. Hydrus 1D Model
4. Results
4.1. Variation of Surface Water and Salt in Different Scenarios
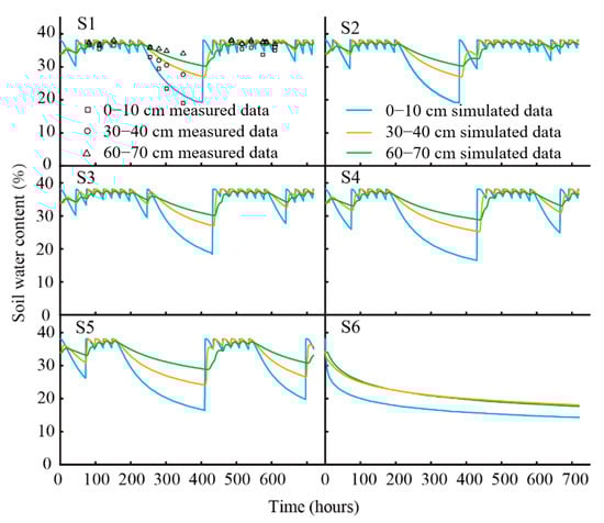
4.2. Variation of Soil Water Content in the Soil Profile
4.3. Variation of Salt Content in the Soil Profile
5. Discussion
5.1. The Simulation of the Delft 3D and Hydrus 1D Models
5.2. The Effects of Dam and Gate Valves on Surface Water and Salt
5.3. The Soil Water and Soil Salt Changes in Different Scenarios
6. Conclusions
Author Contributions
Funding
Institutional Review Board Statement
Informed Consent Statement
Data Availability Statement
Acknowledgments
Conflicts of Interest
References
- Li, J.; Hughes, A.C.; Dudgeon, D. Mapping wader biodiversity along the East Asian-Australasian flyway. PLoS ONE 2019, 14, e0210552. [Google Scholar]
- Zhou, F.W.; Ma, T.T.; Li, X.W.; Cui, B.S. The simulation and assessment of the ecosystem services in the coastal wetlands of the Yellow River Delta based on InVEST model. Wetl. Sci. 2015, 13, 667–674. [Google Scholar]
- Chen, K.; Xiao, N.; Wang, B.; Li, J. The effects of petroleum exploitation on water quality bio-assessment and benthic macro-invertebrate communities in the Yellow River Delta wetland, Dongying. Shengtai Xuebao Acta Ecol. Sin. 2012, 32, 1970–1978. [Google Scholar] [CrossRef]
- Brown, C.; Pezeshki, S.; DeLaune, R. The effects of salinity and soil drying on nutrient uptake and growth of Spartina alterniflora in a simulated tidal system. Environ. Exp. Bot. 2006, 58, 140–148. [Google Scholar] [CrossRef]
- Donders, T.H.; Gorissen, P.M.; Sangiorgi, F.; Cremer, H.; Wagner-Cremer, F.; McGee, V. Three-hundred-year hydrological changes in a subtropical estuary, Rookery Bay (Florida): Human impact versus natural variability. Geochem. Geophys. Geosyst. 2008, 9, Q07V06. [Google Scholar] [CrossRef]
- Li, P.; Ke, Y.H.; Wang, D.W.; Ji, H.Y.; Chen, S.L.; Chen, M.M.; Lyu, M.Y.; Zhou, D.M. Human impact on suspended particulate matter in the Yellow River Estuary, China: Evidence from remote sensing data fusion using an improved spatiotemporal fusion method. Sci. Total Environ. 2021, 750, 18. [Google Scholar] [CrossRef]
- Chi, Y.; Sun, J.K.; Sun, Y.G.; Liu, S.J.; Fu, Z.Y. Multi-temporal characterization of land surface temperature and its relationships with normalized difference vegetation index and soil moisture content in the Yellow River Delta, China. Glob. Ecol. Conserv. 2020, 23, e01092. [Google Scholar] [CrossRef]
- Talukdar, S.; Pal, S. Impact of dam on inundation regime of flood plain wetland of punarbhaba river basin of barind tract of Indo-Bangladesh. Int. Soil Water Conserv. Res. 2017, 5, 109–121. [Google Scholar] [CrossRef]
- Li, D.X.; Xie, T.; Ma, X.; Cui, B.S.; Wu, X.; Che, C.G.; Zhang, X.T. Temporal and spatial pattern evolution of hydrological connectivity of the old track of Yellow River in Diaokouhe from 1985 to 2015. Environ. Ecol. 2020, 2, 10–16. [Google Scholar]
- Alcérreca-Huerta, J.; Callejas-Jiménez, M.; Carrillo, L.; Castillo, M. Dam implications on salt-water intrusion and land use within a tropical estuarine environment of the Gulf of Mexico. Sci. Total Environ. 2019, 652, 1102–1112. [Google Scholar] [CrossRef]
- Pal, S.; Talukdar, S.; Ghosh, R. Damming effect on habitat quality of riparian corridor. Ecol. Indic. 2020, 114, 106300. [Google Scholar] [CrossRef]
- Maavara, T.; Chen, Q.W.; Van Meter, K.; Brown, L.E.; Zhang, J.H.; Ni, J.R.; Zarfl, C. River dam impacts on biogeochemical cycling. Nat. Rev. Earth Environ. 2020, 1, 103–116. [Google Scholar] [CrossRef]
- Yi, Y.J.; Zhou, Y.; Song, J.; Zhang, S.H.; Cai, Y.P.; Yang, W.; Yang, Z.F. The effects of cascade dam construction and operation on riparian vegetation. Adv. Water Resour. 2019, 131, 103206. [Google Scholar] [CrossRef]
- Zhao, Q.H.; Liu, S.L.; Deng, L.; Dong, S.K.; Cong; Wang; Yang, Z.F.; Yang, J.J. Landscape change and hydrologic alteration associated with dam construction. Int. J. Appl. Earth Obs. Geoinf. 2012, 16, 17–26. [Google Scholar] [CrossRef]
- Pivari, D.; Pagliani, B.; Lemos, L.; Lima, D.; Gravena, W. Monitoring a critical population of the Bolivian river dolphin, Inia boliviensis, before and after closing the floodgates of a hydroelectric dam in the Amazon Basin, Brazil: A quantitative analysis. J. Nat. Conserv. 2021, 64, 126082. [Google Scholar] [CrossRef]
- Weinstein, M.P.; Guo, Q.Z.; Santasieri, C. Protecting People and Property While Restoring Coastal Wetland Habitats. Estuaries Coasts 2021, 44, 1710–1721. [Google Scholar] [CrossRef]
- Boys, C.A.; Pease, B. Opening the floodgates to the recovery of nektonic assemblages in a temperate coastal wetland. Mar. Freshw. Res. 2016, 68, 1023–1035. [Google Scholar] [CrossRef][Green Version]
- Eertman, R.H.; Kornman, B.A.; Stikvoort, E.; Verbeek, H. Restoration of the Sieperda tidal marsh in the Scheldt estuary, the Netherlands. Restor. Ecol. 2002, 10, 438–449. [Google Scholar] [CrossRef]
- Hu, Q.; Yang, Y.; Han, S.; Yang, Y.; Ai, Z.; Wang, J.; Ma, F. Identifying changes in irrigation return flow with gradually intensified water-saving technology using HYDRUS for regional water resources management. Agric. Water Manag. 2017, 194, 33–47. [Google Scholar] [CrossRef]
- Luo, M.; Wang, Q.; Qiu, D.D.; Shi, W.; Ning, Z.H.; Cai, Y.Z.; Song, Z.F.; Cui, B.S. Hydrological connectivity characteristics and ecological effects of a typical tidal channel system in the Yellow River Delta. J. Beijing Norm. Univ. Nat. Sci. 2018, 54, 17–24. [Google Scholar]
- Jia, J.; Bai, J.H.; Wang, W.; Zhang, G.L.; Wang, X.; Zhao, Q.Q.; Zhang, S. Changes of Biogenic Elements in Phragmites australis and Suaeda salsa from Salt Marshes in Yellow River Delta, China. Chin. Geogr. Sci. 2018, 28, 411–419. [Google Scholar] [CrossRef]
- Feng, J.G.; Li, Q.W.; Liang, C.; Zhang, X.Y.; Yue, Y.; Gao, J.Q. Landscape index analysis of hydrological connectivity dynamics in the Yellow River Delta. J. Beijing Norm. Univ. Nat. Sci. 2021, 57, 12–21. [Google Scholar]
- Soil Survey Staff. Soil Taxonomy: A Basic System of Soil Classification for Making and Interpreting Soil Surveys; U.S. Department of Agriculture: Washington, DC, USA, 1975. [Google Scholar]
- Horstman, E.; Dohmen-Janssen, M.; Hulscher, S. Modeling tidal dynamics in a mangrove creek catchment in Delft3D. Coast. Dyn. 2013, 2013, 833–844. [Google Scholar]
- Ramos, V.; Carballo, R.; Ringwood, J.V. Application of the actuator disc theory of Delft3D-FLOW to model far-field hydrodynamic impacts of tidal turbines. Renew. Energy 2019, 139, 1320–1335. [Google Scholar] [CrossRef]
- Khanam, M.; Navera, U.K. Hydrodynamic and morphological analysis of Gorai River using delft 3d mathematical model. In Proceedings of the 3rd International Conference on Civil Engineering for Sustainable Development (ICCESD 2016), Khulna, Bangladesh, 12–14 February 2016; pp. 647–658. [Google Scholar]
- Dong, C.; Zhan, C.; Shi, H.; Li, X.; Wang, Q. Numerical study on the difference of geomorphic dynamics between the current and abandoned estuary coasts of the Yellow River. Mar. Geol. Front. 2019, 35, 14–24. [Google Scholar]
- Reynolds, W.; Elrick, D.; Topp, G. A reexamination of the constant head well permeameter method for measuring saturated hydraulic conductivity above the water table1. Soil Sci. 1983, 136, 250. [Google Scholar] [CrossRef]
- O’Kelly, B.C. Accurate determination of moisture content of organic soils using the oven drying method. Dry. Technol. 2004, 22, 1767–1776. [Google Scholar] [CrossRef]
- van Genuchten, M.T. A Closed-form Equation for Predicting the Hydraulic Conductivity of Unsaturated Soils. Soil Sci. Soc. Am. J. 1980, 44, 892–898. [Google Scholar] [CrossRef]
- Mualem, Y. A new model for predicting the hydraulic conductivity of unsaturated porous media. Water Resour. Res. 1976, 12, 513–522. [Google Scholar] [CrossRef]
- Symonds, A.M.; Vijverberg, T.; Post, S.; Van Der Spek, B.-J.; Henrotte, J.; Sokolewicz, M. Comparison between Mike 21 FM, Delft3D and Delft3D FM flow models of western port bay, Australia. Coast. Eng. 2016, 2, 1–12. [Google Scholar] [CrossRef]
- Waldman, S.; Baston, S.; Nemalidinne, R.; Chatzirodou, A.; Venugopal, V.; Side, J. Implementation of tidal turbines in MIKE 3 and Delft3D models of Pentland Firth & Orkney Waters. Ocean Coast. Manag. 2017, 147, 21–36. [Google Scholar]
- Noshadi, M.; Fahandej-Saadi, S.; Sepaskhah, A.R. Application of SALTMED and HDRUS-1D models for simulations of soil water content and soil salinity in controlled groundwater depth. J. Arid Land 2020, 12, 447–461. [Google Scholar] [CrossRef]
- Ma, M.M.; Lin, Q.; Xu, S.H. Water Infiltration Characteristics of Layered Soil under Influences of Different Factors and Estimation of Hydraulic Parameters. Acta Pedol. Sin. 2020, 57, 347–358. [Google Scholar]
- Werner, A.D.; Lockington, D.A. The potential for soil salinization above aquifers influenced by seawater intrusion. In Proceedings of the 13th International Soil Conservation Organisation Conference, Brisbane, Australia, 4–8 July 2004; pp. 1–6. [Google Scholar]
- Bricker, J.D.; Schwanghart, W.; Adhikari, B.R.; Moriguchi, S.; Roeber, V.; Giri, S. Performance of models for flash flood warning and hazard assessment: The 2015 Kali Gandaki landslide dam breach in Nepal. Mt. Res. Dev. 2017, 37, 5–15. [Google Scholar] [CrossRef]
- Karamouz, M.; Mahani, F.F. DEM Uncertainty Based Coastal Flood Inundation Modeling Considering Water Quality Impacts. Water Resour. Manag. 2021, 35, 3083–3103. [Google Scholar] [CrossRef]
- Wu, F.J.; Wu, G.F.; Dong, P.; Zhang, K.F. An investigation of the pollutants discharge control strategies in Xiangshan bay based on 3D hydrodynamic and water quality numerical modelling. Mar. Freshw. Res. 2021, 40, 24–33. [Google Scholar]
- Des, M.; Fernandez-Novoa, D.; deCastro, M.; Gomez-Gesteira, J.L.; Sousa, M.C.; Gomez-Gesteira, M. Modeling salinity drop in estuarine areas under extreme precipitation events within a context of climate change: Effect on bivalve mortality in Galician Rias Baixas. Sci. Total Environ. 2021, 790, 148147. [Google Scholar] [CrossRef]
- Djabelkhir, K.; Lauvernet, C.; Kraft, P.; Carluer, N. Development of a dual permeability model within a hydrological catchment modeling framework: 1D application. Sci. Total Environ. 2017, 575, 1429. [Google Scholar] [CrossRef]
- Robinson, H.K.; Hasenmueller, E.A.; Chambers, L.G. Soil as a reservoir for road salt retention leading to its gradual release to groundwater. Appl. Geochem. 2017, 83, 72–85. [Google Scholar] [CrossRef]
- Li, J.; Alinaghian, S.; Joksimovic, D.; Chen, L.H. An Integrated Hydraulic and Hydrologic Modeling Approach for Roadside Bio-Retention Facilities. Water 2020, 12, 1248. [Google Scholar] [CrossRef]
- Franklin, P.A.; Hodges, M. Modified tide gate management for enhancing instream habitat for native fish upstream of the saline limit. Ecol. Eng. 2015, 81, 233–242. [Google Scholar] [CrossRef]
- Moffett, K.B.; Gorelick, S.M. Relating salt marsh pore water geochemistry patterns to vegetation zones and hydrologic influences. Water Resour. Res. 2016, 52, 1729–1745. [Google Scholar] [CrossRef]
- Zhao, Q.H.; Liu, S.L.; Deng, L.; Dong, S.K.; Yang, Z.F.; Liu, Q. Determining the influencing distance of dam construction and reservoir impoundment on land use: A case study of Manwan Dam, Lancang River. Ecol. Eng. 2013, 53, 235–242. [Google Scholar] [CrossRef]
- Liu, H.; Lei, T.W.; Zhao, J.; Yuan, C.P.; Fan, Y.T.; Qu, L.Q. Effects of rainfall intensity and antecedent soil water content on soil infiltrability under rainfall conditions using the run off-on-out method. J. Hydrol. 2011, 396, 24–32. [Google Scholar] [CrossRef]
- Zheng, F.L.; Wang, X.N.; Ge, M.; Li, C.Y.; Tan, J.L. Characteristics of Vertical Water Infiltration in A Sierozem Soil Soil Moisture of Farmland Gravel-Sand Mulching Condition. Chin. J. Soil Sci. 2021, 52, 314–321. [Google Scholar]
- Huang, D.N.; Zhao, C.Y.; Zhang, Y.X.; Li, L.; Jiao, M.Y.; Chen, M.M.; Hou, W.T.; Fu, J.X. Simulation on water infiltration and redistribution of sandy soil improved by sludge. Chin. J. Ecol. 2020, 39, 2768–2775. [Google Scholar]
- Li, J.; Han, J.C.; Zhang, Y.Y.; Li, X.M.; Zhang, W.H. Move characteristics of soil salinity in Saline-Alkali land under impounding and draining conditions. Res. Soil Water Conserv. 2015, 22, 116–120. [Google Scholar]
- Bai, J.H.; Wang, X.; Jia, J.; Zhang, G.L.; Wang, Y.Y.; Zhang, S. Denitrification of soil nitrogen in coastal and inland salt marshes with different flooding frequencies. Phys. Chem. Earth 2017, 97, 31–36. [Google Scholar] [CrossRef]
- Xin, P.; Zhou, T.Z.; Lu, C.H.; Shen, C.J.; Zhang, C.M.; D’Alpaos, A.; Li, L. Combined effects of tides, evaporation and rainfall on the soil conditions in an intertidal creek-marsh system. Adv. Water Resour. 2017, 103, 1–15. [Google Scholar] [CrossRef]
- Wang, D.W.; Bai, J.H.; Zhao, Q.Q.; Lu, Q.Q.; Zhang, S.Y. Profile differentiation of soil salinity for natural and anthropogenic disturbance wetlands in the Yellow River Delta. J. Nat. Resour. 2020, 35, 438–448. [Google Scholar]










| Parameter Type | Parameter Name | Unit | Numerical Value |
|---|---|---|---|
| Physical parameters | Hydrodynamic roughness | m | 0.013 |
| Hydrodynamic gravity | m s−2 | 9.81 | |
| Tidal parameters | Water level | m | 0.32–1.42 |
| Water salinity | g kg−1 | 15.6–18.2 |
| Scenario | S1 | S2 | S3 | S4 | S5 | S6 |
|---|---|---|---|---|---|---|
| Dam | - | near the shore | near the shore | near the sea | near the sea | near the sea |
| Sluice valve | - | 6 m | 3 m | 6 m | 3 m | - |
| Soil Layer (cm) | >0.02 (mm) | 0.02–0.002 (mm) | <0.002 (mm) | Bulk Density (g cm−3) | Soil Texture |
|---|---|---|---|---|---|
| 0–10 | 12.14 ± 2.49 | 81.67 ± 4.67 | 6.19 ± 2.64 | 1.62 ± 0.13 | Silty loam |
| 10–20 | 13.12 ± 2.26 | 80.34 ± 3.20 | 6.54 ± 1.19 | 1.62 ± 0.07 | Silty loam |
| 20–30 | 13.35 ± 3.18 | 80.70 ± 4.71 | 5.96 ± 2.36 | 1.59 ± 0.11 | Silty loam |
| 30–40 | 10.66 ± 4.66 | 83.00 ± 3.16 | 6.34 ± 1.97 | 1.63 ± 0.08 | Silty loam |
| 40–50 | 30.69 ± 3.15 | 67.84 ± 11.5 | 1.47 ± 0.17 | 1.65 ± 0.10 | Silty loam |
| 50–60 | 25.84 ± 6.24 | 72.64 ± 7.81 | 1.54 ± 0.80 | 1.67 ± 0.12 | Silty loam |
| 60–70 | 28.17 ± 4.87 | 70.20 ± 4.59 | 1.63 ± 0.61 | 1.67 ± 0.05 | Silty loam |
| 70–80 | 19.07 ± 3.91 | 78.79 ± 6.57 | 2.14 ± 0.84 | 1.65 ± 0.03 | Silty loam |
| Soil Layer (cm) | θs (%) | θr (%) | α (cm−1) | n (-) | Ks (cm day−1) | l (-) |
|---|---|---|---|---|---|---|
| 0–10 | 38.0 ± 1.6 | 4.4 ± 0.8 | 0.008 ± 0.004 | 1.56 ± 0.08 | 16.7 ± 3.7 | 0.5 |
| 10–20 | 37.4 ± 0.8 | 4.4 ± 0.6 | 0.008 ± 0.003 | 1.56 ± 0.05 | 15.9 ± 2.9 | 0.5 |
| 20–30 | 37.7 ± 1.2 | 4.5 ± 1.3 | 0.007 ± 0.003 | 1.58 ± 0.04 | 16.2 ± 3.4 | 0.5 |
| 30–40 | 38.0 ± 2.4 | 4.1 ± 1.6 | 0.008 ± 0.006 | 1.56 ± 0.11 | 15.7 ± 6.2 | 0.5 |
| 40–50 | 35.6 ± 2.7 | 2.9 ± 2.1 | 0.015 ± 0.009 | 1.45 ± 0.12 | 21.4 ± 8.3 | 0.5 |
| 50–60 | 36.2 ± 1.1 | 3.0 ± 1.5 | 0.014 ± 0.004 | 1.48 ± 0.04 | 20.3 ± 7.7 | 0.5 |
| 60–70 | 36.8 ± 2.1 | 3.0 ± 0.8 | 0.014 ± 0.005 | 1.46 ± 0.07 | 19.6 ± 4.9 | 0.5 |
| 70–80 | 34.4 ± 3.4 | 3.5 ± 1.1 | 0.011 ± 0.010 | 1.52 ± 0.12 | 19.1 ± 6.1 | 0.5 |
Publisher’s Note: MDPI stays neutral with regard to jurisdictional claims in published maps and institutional affiliations. |
© 2022 by the authors. Licensee MDPI, Basel, Switzerland. This article is an open access article distributed under the terms and conditions of the Creative Commons Attribution (CC BY) license (https://creativecommons.org/licenses/by/4.0/).
Share and Cite
Qu, Z.; Li, Y.; Yu, J.; Yang, J.; Yu, M.; Zhou, D.; Wang, X.; Wang, Z.; Yu, Y.; Ma, Y.; et al. Influence of Gate Dams on Yellow River Delta Wetlands. Land 2022, 11, 706. https://doi.org/10.3390/land11050706
Qu Z, Li Y, Yu J, Yang J, Yu M, Zhou D, Wang X, Wang Z, Yu Y, Ma Y, et al. Influence of Gate Dams on Yellow River Delta Wetlands. Land. 2022; 11(5):706. https://doi.org/10.3390/land11050706
Chicago/Turabian StyleQu, Zhicheng, Yunzhao Li, Junbao Yu, Jisong Yang, Miao Yu, Di Zhou, Xuehong Wang, Zhikang Wang, Yang Yu, Yuanqing Ma, and et al. 2022. "Influence of Gate Dams on Yellow River Delta Wetlands" Land 11, no. 5: 706. https://doi.org/10.3390/land11050706
APA StyleQu, Z., Li, Y., Yu, J., Yang, J., Yu, M., Zhou, D., Wang, X., Wang, Z., Yu, Y., Ma, Y., Zou, Y., & Ling, Y. (2022). Influence of Gate Dams on Yellow River Delta Wetlands. Land, 11(5), 706. https://doi.org/10.3390/land11050706

