Spatio-Temporal Evolution of Land Use Transition in the Background of Carbon Emission Trading Scheme Implementation: An Economic–Environmental Perspective
Abstract
:1. Introduction
2. Methodology
2.1. Introduction of CETS Pilot Regions
2.2. Study Strategy
2.3. Indicators and Data
2.3.1. Evaluation System of Land Use Transition
2.3.2. Data Source
2.4. Method
2.4.1. Entropy Method
2.4.2. Analysis Method
2.4.3. Design of the Spatial Weight Matrix
3. Results
3.1. Results of the Entropy Method
3.2. Spatio-Temporal Evolution Analysis of Land Use Transition
3.2.1. The Economic Effects of CETS on Land Use Transition
3.2.2. The Environmental Effects of CETS on Land Use Transition
3.3. Test of Spatial Spillover Effects
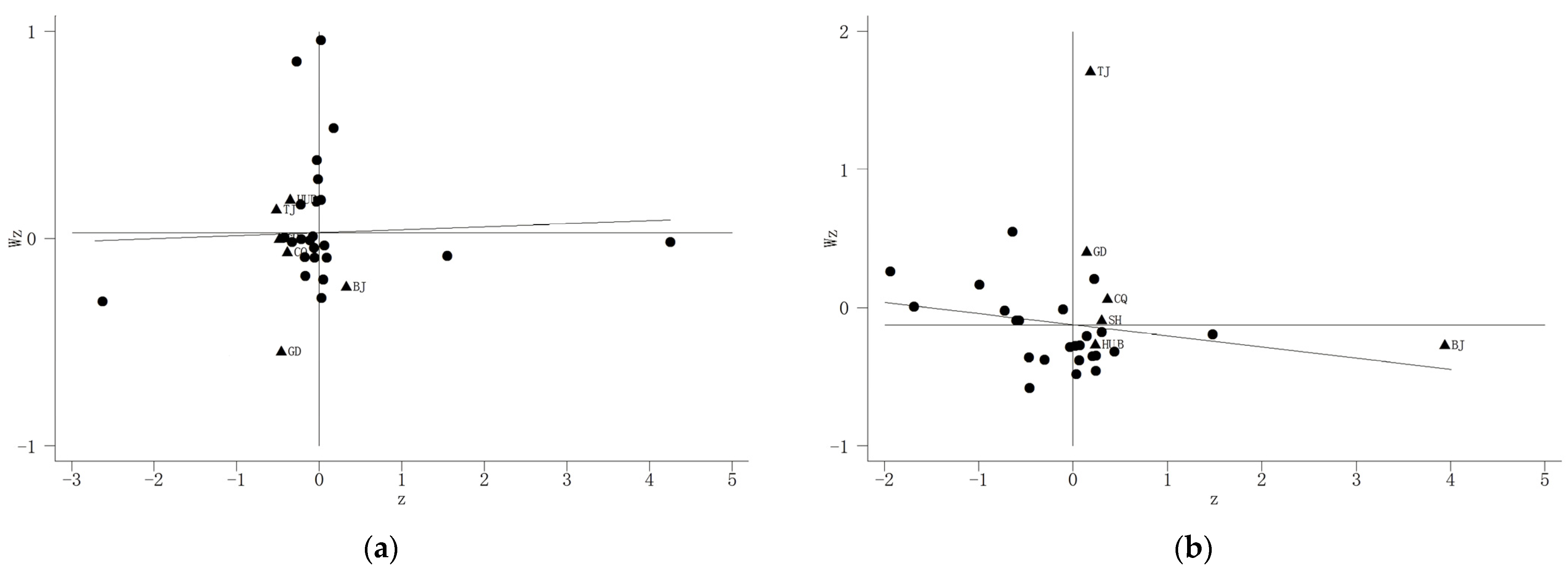
3.3.1. Test for Spillover Effects from the Economic Effects of CETS
3.3.2. Test for Spillover Effects from the Environmental Effects of CETS
4. Discussion and Policy Inspiration
4.1. Discussion on Hypothesis 1
4.2. Discussion on Hypothesis 2
4.3. Policy Implication
Author Contributions
Funding
Institutional Review Board Statement
Informed Consent Statement
Data Availability Statement
Conflicts of Interest
Appendix A
| Abbreviations | Full Name | Abbreviations | Full Name |
|---|---|---|---|
| AH | Anhui Province | JX | Jiangxi Province |
| BJ | Beijing City | LN | Liaoning Province |
| CQ | Chongqing City | NMG | Inner Mongolia Autonomous Region |
| FJ | Fujian Province | NX | Ningxia Hui Autonomous Region |
| GD | Guangdong Province | QH | Qinghai Province |
| GS | Gansu Province | SC | Sichuan Province |
| GX | Guangxi Province | SD | Shandong Province |
| GZ | Guizhou Province | SH | Shanghai City |
| HEB | Hebei Province | SHX | Shaanxi Province |
| HEN | Henan Province | SX | Shanxi Province |
| HLJ | Heilongjiang Province | TJ | Tianjin Province |
| HN | Hainan Province | TW | Taiwan Province |
| HUB | Hubei Province | XJ | Xinjiang Uygur Autonomous Region |
| HUN | Hunan Province | XZ | Tibet Autonomous Region |
| JL | Jilin Province | YN | Yunnan Province |
| JS | Jiangsu Province | ZJ | Zhejiang Province |
References
- Liu, X.; Zou, B.; Feng, H.; Liu, N.; Zhang, H. Anthropogenic factors of PM2.5 distributions in China’s major urban agglomerations: A spatial-temporal analysis. J. Clean. Prod. 2020, 264, 121709. [Google Scholar] [CrossRef]
- Ethan, C.J.; Mokoena, K.K.; Yu, Y.; Shale, K.; Fan, Y.; Rong, J.; Liu, F. Association between PM2.5 and mortality of stomach and colorectal cancer in Xi’an: A time-series study. Environ. Sci. Pollut. Res. 2020, 27, 22353–22363. [Google Scholar] [CrossRef] [PubMed]
- Li, H.; Lu, J.; Li, B. Does pollution-intensive industrial agglomeration increase residents’ health expenditure? Sustain. Cities Soc. 2020, 56, 102092. [Google Scholar] [CrossRef]
- Liu, L.; Chen, C.; Zhao, Y.; Zhao, E. China’s carbon-emissions trading: Overview, challenges and future. Renew. Sustain. Energy Rev. 2015, 49, 254–266. [Google Scholar] [CrossRef]
- Liu, H.; Wang, Y.; Jiang, J.; Wu, P. How green is the “Belt and Road Initiative”?—Evidence from Chinese OFDI in the energy sector. Energy Policy 2020, 145, 111709. [Google Scholar] [CrossRef]
- Tang, Y.; Wang, K.; Ji, X.; Xu, H.; Xiao, Y. Assessment and Spatial-Temporal Evolution Analysis of Urban Land Use Efficiency under Green Development Orientation: Case of the Yangtze River Delta Urban Agglomerations. Land 2021, 10, 715. [Google Scholar] [CrossRef]
- Guo, X.; Fang, C. Integrated Land Use Change Related Carbon Source/Sink Examination in Jiangsu Province. Land 2021, 10, 1310. [Google Scholar] [CrossRef]
- Cao, J.; Karplus, V.J. Firm-level determinants of energy and carbon intensity in China. Energy Policy 2014, 75, 167–178. [Google Scholar] [CrossRef]
- Stern, N. A Blueprint for a Safer Planet: How to Manage Climate Change and Create a New Era of Progress and Prosperity; Random House: New York, NY, USA, 2009. [Google Scholar]
- Ba, F.; Thiers, P.R.; Liu, Y. The evolution of China’s emission trading mechanisms: From international offset market to domestic Emission Trading Scheme. Environ. Plan. C Politics Space 2018, 36, 1214–1233. [Google Scholar] [CrossRef]
- Tang, Y.; Yang, Y.; Xu, H. The Impact of China Carbon Emission Trading System on Land Use Transition: A Macroscopic Economic Perspective. Land 2022, 11, 41. [Google Scholar] [CrossRef]
- Ji, X.; Wang, K.; Ji, T.; Zhang, Y.; Wang, K. Coupling Analysis of Urban Land Use Benefits: A Case Study of Xiamen City. Land 2020, 9, 155. [Google Scholar] [CrossRef]
- Wang, K.; Tang, Y.; Chen, Y.; Shang, L.; Ji, X.; Yao, M.; Wang, P. The Coupling and Coordinated Development from Urban Land Using Benefits and Urbanization Level: Case Study from Fujian Province (China). Int. J. Environ. Res. Public Health 2020, 17, 5647. [Google Scholar] [CrossRef] [PubMed]
- Askariyeh, M.H.; Venugopal, M.; Khreis, H.; Birt, A.; Zietsman, J. Near-Road Traffic-Related Air Pollution: Resuspended PM2.5 from Highways and Arterials. Int. J. Environ. Res. Public Heal. 2020, 17, 2851. [Google Scholar] [CrossRef] [PubMed]
- Liu, Y.; Lei, J.; Zhang, Y. A Study on the Sustainable Relationship among the Green Finance, Environment Regulation and Green-Total-Factor Productivity in China. Sustainability 2021, 13, 11926. [Google Scholar] [CrossRef]
- De Jong, L.; De Bruin, S.; Knoop, J.; van Vliet, J. Understanding land-use change conflict: A systematic review of case studies. J. Land Use Sci. 2021, 16, 223–239. [Google Scholar] [CrossRef]
- Polasky, S.; Kling, C.L.; Levin, S.A.; Carpenter, S.R.; Daily, G.C.; Ehrlich, P.R.; Heal, G.M.; Lubchenco, J. Role of economics in analyzing the environment and sustainable development. Proc. Natl. Acad. Sci. USA 2019, 116, 5233–5238. [Google Scholar] [CrossRef] [Green Version]
- Yandri, P.; Priyarsono, D.S.; Fauzi, A.; Dharmawan, A.H. Contemporary Studies on Suburban (Indonesia) Today: Critique on Classical-Neoclassical Regional Economics Based Institutional Economics Perspectives. J. Ekon. Pembang. 2018, 19, 80. [Google Scholar] [CrossRef] [Green Version]
- Zilberman, D. Agricultural Economics as a Poster Child of Applied Economics: Big Data & Big Issues 1. Am. J. Agric. Econ. 2019, 101, 353–364. [Google Scholar]
- Grainger, A. The Future Role of the Tropical Rain Forests in the World Forest Economy; University of Oxford: Oxford, UK, 1986. [Google Scholar]
- Grainger, A. The forest transition: An alternative approach. Area 1995, 27, 242–251. [Google Scholar]
- Mather, A.S.; Fairbairn, J.; Needle, C.L. The course and drivers of the forest transition: The case of France. J. Rural Stud. 1999, 15, 65–90. [Google Scholar] [CrossRef]
- Mather, A.S.; Needle, C.L. The forest transition: A theoretical basis. Area 1998, 30, 117–124. [Google Scholar] [CrossRef]
- Tuan, Y.F. Geography, phenomenology and the study of human nature. Can. Geogr. 1971, 15, 181–192. [Google Scholar] [CrossRef]
- Long, H.L. Land Use Transitions and Rural Restructuring in China; Springer: Singapore, 2020. [Google Scholar]
- Wen, Y.; Zhang, Z.; Liang, D.; Xu, Z. Rural residential land transition in the Beijing-Tianjin-Hebei region: Spatial-temporal patterns and policy implications. Land Use Policy 2020, 96, 104700. [Google Scholar] [CrossRef]
- Tong, W.; Kazak, J.; Qi, H.; Vries, B.D. A framework for path-dependent industrial land transition analysis using vector data. Eur. Plan. Stud. 2019, 27, 1391–1412. [Google Scholar]
- Lambin, E.F.; Meyfroidt, P. Land use transition: Socio-ecological feedback versus socio-economic change. Land Use Policy 2010, 27, 108–118. [Google Scholar] [CrossRef]
- Long, H.L.; Qu, Y. Land use transitions and land management: A mutual feedback perspective. Land Use Policy 2017, 34, 1607–1618. [Google Scholar] [CrossRef]
- Long, H.; Li, T. The coupling characteristics and mechanism of farmland and rural housing land transition in China. J. Geogr. Sci. 2012, 22, 548–562. [Google Scholar] [CrossRef]
- Yang, Y.; Bao, W.; Li, Y.; Wang, Y.; Chen, Z. Land use transition and its eco-environmental effects in the Beijing–Tianjin–Hebei urban agglomeration: A production–living–ecological perspective. Land 2020, 9, 285. [Google Scholar] [CrossRef]
- Amin, A.; Fazal, S.; Mujtaba, A.; Singh, S.K. Effects of land transformation on water quality of Dal Lake, Srinagar, India. J. Indian Soc. Remote Sens. 2014, 42, 119–128. [Google Scholar] [CrossRef]
- Asabere, S.B.; Acheampong, R.A.; Ashiagbor, G.; Beckers, S.C.; Keck, M.; Erasmi, S.; Schanze, J.; Sauer, D. Urbanization, land use transformation and spatio-environmental impacts: Analyses of trends and implications in major metropolitan regions of Ghana. Land Use Policy 2020, 96, 104707. [Google Scholar] [CrossRef]
- Liu, Y.Q.; Long, H.L. Land use transitions and their dynamic mechanism: The case of the Huang-Huai-Hai Plain. J. Geogr. Sci. 2016, 26, 515–530. [Google Scholar] [CrossRef] [Green Version]
- Van Vliet, J.; de Groot, H.L.F.; Rietveld, P.; Verburg, P.H. Manifestations and underlying drivers of agricultural land use change in Europe. Landsc. Urban Plan 2015, 133, 24–36. [Google Scholar] [CrossRef] [Green Version]
- Jin, X.; Xu, X.; Xiang, X.; Bai, Q.; Zhou, Y. System-dynamic analysis on socio-economic impacts of land consolidation in China. Habitat Int. 2016, 56, 166–175. [Google Scholar] [CrossRef]
- Faiz, M.A.; Liu, D.; Fu, Q.; Naz, F.; Hristova, N.; Li, T.; Niaz, M.A.; Khan, Y.N. Assessment of dryness conditions according to transitional ecosystem patterns in an extremely cold region of China. J. Clean. Prod. 2020, 255, 120348. [Google Scholar] [CrossRef]
- Tang, K.; Liu, Y.; Zhou, D.; Qiu, Y. Urban carbon emission intensity under emission trading system in a developing economy: Evidence from 273 Chinese cities. Environ. Sci. Pollut. Res. 2021, 28, 5168–5179. [Google Scholar] [CrossRef]
- Yang, X.; Jiang, P.; Pan, Y. Does China’s carbon emission trading policy have an employment double dividend and a Porter effect? Energy Policy 2020, 142, 111492. [Google Scholar] [CrossRef]
- Zhang, Y.; Li, S.; Luo, T.; Gao, J. The effect of emission trading policy on carbon emission reduction: Evidence from an integrated study of pilot regions in China. J. Clean. Prod. 2020, 265, 121843. [Google Scholar] [CrossRef]
- Hu, Y.; Ren, S.; Wang, Y.; Chen, X. Can carbon emission trading scheme achieve energy conservation and emission reduction? Evidence from the industrial sector in China. Energy Econ. 2020, 85, 104590. [Google Scholar] [CrossRef]
- Froese, R.; Schilling, J. The Nexus of Climate Change, Land Use, and Conflicts. Curr. Clim. Change Rep. 2019, 5, 24–35. [Google Scholar] [CrossRef] [Green Version]
- Ge, D.; Wang, Z.; Tu, S.; Long, H.; Yan, H.; Sun, D.; Qiao, W. Coupling analysis of greenhouse-led farmland transition and rural transformation development in China’s traditional farming area: A case of Qingzhou City. Land Use Policy 2019, 86, 113–125. [Google Scholar] [CrossRef]
- Chang, B.; Chen, L. Land Economic Efficiency and Improvement of Environmental Pollution in the Process of Sustainable Urbanization: Case of Eastern China. Land 2021, 10, 845. [Google Scholar] [CrossRef]
- Liu, Y.; Long, H.; Li, T.; Tu, S. Land use transitions and their effects on water environment in Huang-Huai-Hai Plain, China. Land Use Policy 2015, 47, 293–301. [Google Scholar] [CrossRef]
- Turner, B.L.; Lambin, E.F.; Reenberg, A. The emergence of land change science for global environmental change and sustainability. Proc. Natl. Acad. Sci. USA 2007, 104, 20666–20671. [Google Scholar] [CrossRef] [PubMed] [Green Version]
- Lv, M.; Bai, M. Evaluation of China’s carbon emission trading policy from corporate innovation. Financ. Res. Lett. 2021, 39, 101565. [Google Scholar] [CrossRef]
- Duan, B.; Ji, X. Can Carbon Finance Optimize Land Use Efficiency? The Example of China’s Carbon Emissions Trading Policy. Land 2021, 10, 953. [Google Scholar] [CrossRef]
- Xia, Q.; Li, L.; Dong, J.; Zhang, B. Reduction Effect and Mechanism Analysis of Carbon Trading Policy on Carbon Emissions from Land Use. Sustainability 2021, 13, 9558. [Google Scholar] [CrossRef]
- Moulds, S.; Buytaert, W.; Mijic, A. A spatio-temporal land use and land cover reconstruction for India from 1960–2010. Sci. Data 2018, 5, 180159. [Google Scholar] [CrossRef]
- Aburas, M.M.; Ahamad, M.S.S.; Omar, N.Q. Spatio-temporal simulation and prediction of land-use change using conventional and machine learning models: A review. Environ. Monit. Assess. 2019, 191, 205. [Google Scholar] [CrossRef]
- Xu, H.; Shi, X.; Wang, K. The Influence of Absorptive Capacity on Regional Innovation—An Empirical Research Based on Knowledge Spillovers. J. Jimei Univ. (Philos. Soc. Sci.) 2018, 21, 49–55. [Google Scholar] [CrossRef]
- Tobler, W.R. A computer movie simulating urban growth in the Detroit region. Econ. Geogr. 1970, 46, 234–240. [Google Scholar] [CrossRef]
- Du, G.; Yu, M.; Sun, C.; Han, Z. Green innovation effect of emission trading policy on pilot areas and neighboring areas: An analysis based on the spatial econometric model. Energy Policy 2021, 156, 112431. [Google Scholar] [CrossRef]
- Li, D.; Liu, L.; Wang, H. The U curve of labor share in GDP during economic development. Econ. Res. J. 2009, 1, 362–382. [Google Scholar]
- Kuznets, S. Quantitative Aspects of the Economic Growth of Nations: II. Industrial Distribution of National Product and Labor Force. Econ. Dev. Cult. Change 1957, 5, 1–111. [Google Scholar] [CrossRef]
- Brunnermeier, S.B.; Cohen, M.A. Determinants of environmental innovation in US manufacturing industries. J. Environ. Econ. Manag. 2003, 45, 278–293. [Google Scholar] [CrossRef]
- Ashford, N.A.; Hall, R.P. The Importance of Regulation-Induced Innovation for Sustainable Development. Sustainability 2011, 3, 270–292. [Google Scholar] [CrossRef] [Green Version]
- Muthuri, J.N.; Moon, J.; Idemudia, U. Corporate innovation and sustainable community development in developing countries. Bus. Soc. 2012, 51, 355–381. [Google Scholar] [CrossRef]
- Wallsten, S.J. The effects of government-industry R&D programs on private R&D: The case of the Small Business Innovation Research program. RAND J. Econ. 2000, 31, 82–100. [Google Scholar]
- De Bruyn, S.M.; van den Bergh, J.C.; Opschoor, J.B. Economic growth and emissions: Reconsidering the empirical basis of environmental Kuznets curves. Ecol. Econ. 1998, 25, 161–175. [Google Scholar] [CrossRef]
- Qian, Y.; Xu, C. Why China’s economic reforms differ: The M-form hierarchy and entry/expansion of the non-state sector. Econ. Transit. 1993, 1, 135–170. [Google Scholar] [CrossRef] [Green Version]
- Gray, W.B.; Shadbegian, R.J. Environmental Regulation, Investment Timing, and Technology Choice. J. Ind. Econ. 1998, 46, 235–256. [Google Scholar] [CrossRef]
- Simpson, R.D.; Bradford, I.R.L. Taxing Variable Cost: Environmental Regulation as Industrial Policy. J. Environ. Econ. Manag. 1996, 30, 282–300. [Google Scholar] [CrossRef]
- Shan, Y.; Guan, D.; Zheng, H.; Ou, J.; Li, Y.; Meng, J.; Mi, Z.; Liu, Z.; Zhang, Q. China CO2 emission accounts 1997–2015. Sci. Data 2018, 5, 170201. [Google Scholar] [CrossRef] [PubMed] [Green Version]
- Shan, Y.; Huang, Q.; Guan, D.; Hubacek, K. China CO2 emission accounts 2016–2017. Sci. Data 2020, 7, 1–9. [Google Scholar] [CrossRef] [PubMed] [Green Version]
- Yang, L.; Li, Y.; Liu, H. Did carbon trade improve green production performance? Evidence from China. Energy Econ. 2021, 96, 105185. [Google Scholar] [CrossRef]
- Zhang, N.; He, S.D.; Wang, J.F.; Chen, Y.; Kang, L. Carbon Intensity and Benchmarking Analysis of Power Industry in Tianjin under the Context of Cap-and-Trade. Res. Environ. Sci. 2018, 31, 187–193. [Google Scholar]









| Dimension | Type | Secondary Indicators | Unit | Direction | Obs | Mean | Std. Dev. | Min | Max |
|---|---|---|---|---|---|---|---|---|---|
| Economic dimension of land use | Economic growth | GDP growth rate | % | + | 240 | 9.70 | 2.80 | 0.50 | 17.40 |
| GDP per capita growth rate | % | + | 240 | 9.01 | 3.30 | −2.40 | 25.30 | ||
| Economic quality | The proportion of added value of tertiary industry | % | + | 240 | 45.79 | 9.09 | 30.70 | 82.70 | |
| Share of science and technology expenditure | % | + | 240 | 1.96 | 1.38 | 0.39 | 6.58 | ||
| Full-time equivalent of R&D personnel | Man-year | + | 240 | 9.70 | 2.80 | 0.50 | 17.40 | ||
| Green development dimension of land use | Pollution emissions | Industrial waste gas emissions intensity | Thousand tons/km2 | - | 240 | 2.30 | 3.84 | 4.05 × 10−5 | 22.01 |
| Industrial wastewater emissions intensity | Thousand tons/km2 | - | 240 | 7.26 | 12.20 | 0.11 | 74.51 | ||
| Industrial soot emissions intensity | Tons/km2 | - | 240 | 3.02 | 3.09 | 0.18 | 22.49 | ||
| Carbon dioxide emission intensity | Thousand tons/km2 | - | 240 | 3.38 | 6.03 | 0.04 | 36.62 | ||
| Governance Initiatives | Industrial output efficiency | Yuan/KWh | + | 240 | 7.82 | 7.18 | 0.75 | 54.58 | |
| Share of investment in pollution control | % | + | 240 | 1.47 | 0.74 | 0.30 | 4.24 |
Publisher’s Note: MDPI stays neutral with regard to jurisdictional claims in published maps and institutional affiliations. |
© 2022 by the authors. Licensee MDPI, Basel, Switzerland. This article is an open access article distributed under the terms and conditions of the Creative Commons Attribution (CC BY) license (https://creativecommons.org/licenses/by/4.0/).
Share and Cite
Wang, P.; Wang, P. Spatio-Temporal Evolution of Land Use Transition in the Background of Carbon Emission Trading Scheme Implementation: An Economic–Environmental Perspective. Land 2022, 11, 440. https://doi.org/10.3390/land11030440
Wang P, Wang P. Spatio-Temporal Evolution of Land Use Transition in the Background of Carbon Emission Trading Scheme Implementation: An Economic–Environmental Perspective. Land. 2022; 11(3):440. https://doi.org/10.3390/land11030440
Chicago/Turabian StyleWang, Peijia, and Ping Wang. 2022. "Spatio-Temporal Evolution of Land Use Transition in the Background of Carbon Emission Trading Scheme Implementation: An Economic–Environmental Perspective" Land 11, no. 3: 440. https://doi.org/10.3390/land11030440
APA StyleWang, P., & Wang, P. (2022). Spatio-Temporal Evolution of Land Use Transition in the Background of Carbon Emission Trading Scheme Implementation: An Economic–Environmental Perspective. Land, 11(3), 440. https://doi.org/10.3390/land11030440

