Defining the Peri-Urban: A Multidimensional Characterization of Spatio-Temporal Land Use along an Urban–Rural Gradient in Dar es Salaam, Tanzania
Abstract
1. Introduction
2. Methodology
2.1. Study Area
2.2. Data
2.3. Expert Interviews
2.4. Spatial Pattern Analysis along a Peri-Urban Gradient
3. Results
3.1. Peri-Urban Characteristics and Processes
“Most of the peri urban area [have] poor infrastructure, especially roads. And in urban area[s] there [area the requirements of] poor people. Basic needs, especially hospital[s], clean water, even electricity. Even schools. Especially government and private schools are [lacking] in peripheral areas. ”(Interviewee #2).
“… These were the areas which were formerly very green, and used as the lands of the city. Food production was [done] in these areas. Now people moving in are clearing the green area, they clear the trees, [so there is] no more land for farming. It is only residential. So, it is […] transforming them into urban [areas]. Even [if] there had been natural resources found in those areas, they are no longer there. It is only houses, houses, houses.”(Interviewee #6).
“Yes, there is a challenge […] and issues [with] urban planning. Some [urban settlements] are planned and others are built without any plan so as time goes on, the issues of urban planning become[s] difficult.”(Interviewee #5).
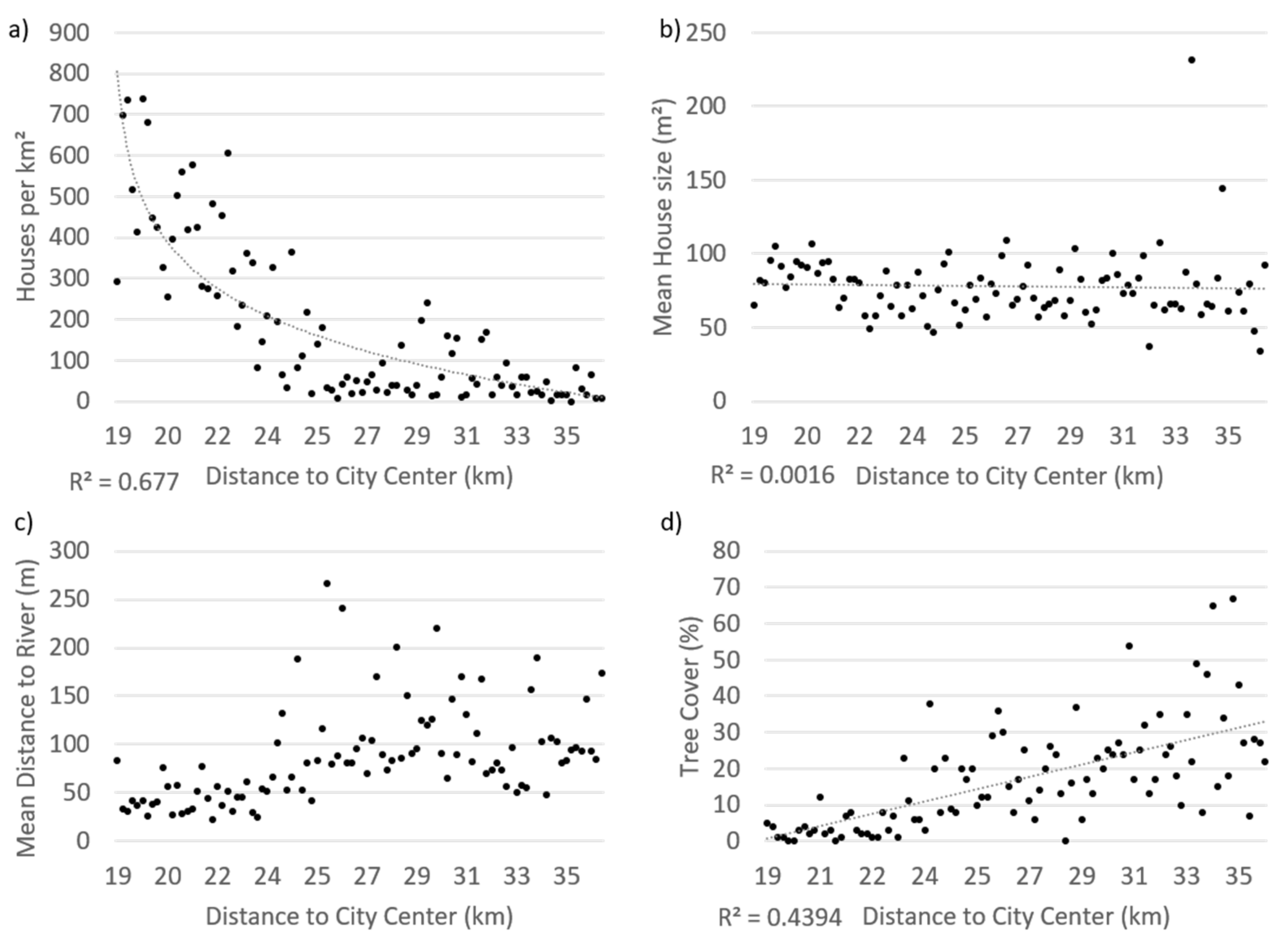
3.2. Spatial Patterns along a Peri-Urban Gradient
4. Discussion
5. Conclusions
Author Contributions
Funding
Institutional Review Board Statement
Informed Consent Statement
Data Availability Statement
Acknowledgments
Conflicts of Interest
Appendix A
| # | Date | Function |
|---|---|---|
| 1 | 12 September 2017 | Town Planner |
| 2 | 18 September 2017 | Community Development Officer |
| 3 | 20 September 2017 | Executive Officer |
| 4 | 20 September 2017 | School Principal |
| 5 | 21 September 2017 | Community Development Officer |
| 6 | 29 September 2017 | Researcher |
Appendix B. Interview Guidelines
- Introduction of project …
- Anonymity agreement, recording
- Function of the expert
- Current position and area of responsibility
- How would you describe peri-urban areas?
- What are the characteristics and functions?
- What are challenges?
- What is the major structural change occurring?
- Peri-urban farms: What are specific characteristics/how are they organized?
- What is the difference to rural farms?
- What are biophysical characteristics/limitations? (natural elements)
- What are limiting/relevant socio-economic characteristics?
- How is the peri-urban connected to …… rural areas?… urban areas?
- What are people’s (farmer, residents) motivation to settle in peri-urban areas?
- Where do they come from?
- What are people’s long-term plans?
- What are strategies to achieve long term plans?
- Who are the relevant actors, decision makers, and authorities?
- What is the role of different institutions?
- What responsibilities do they have?
- How do actors interact?
- What are current policy and planning strategies?
- How are strategies implemented in practice?
- What are the formal/informal aspects, regulations?
- How does the city react towards the increasing population pressure and rising demand for settlements?
- How does lifestyle, e.g., household type, affect land use decisions?
- What are future expectations, trends?
- Additional comments?
References
- United Nations Human Settlements Programme. The state of African cities 2014. In Re-Imagining Sustainable Urban Transitions; Un-Habitat: Nairobi, Kenya, 2014; ISBN 9789211325980. [Google Scholar]
- Peri-Urban Futures. Scenarios and Models for Land Use Change in Europe; Nilsson, K., Pauleit, S., Bell, S., Aalbers, C., Eds.; Springer: Berlin, Germany, 2013; ISBN 978-3-642-30529-0. [Google Scholar]
- Karg, H.; Hologa, R.; Schlesinger, J.; Drescher, A.; Kranjac-Berisavljevic, G.; Glaser, R. Classifying and Mapping Periurban Areas of Rapidly Growing Medium-Sized Sub-Saharan African Cities: A Multi-Method Approach Applied to Tamale, Ghana. Land 2019, 8, 40. [Google Scholar] [CrossRef]
- Nuhu, S. Peri-Urban Land Governance in Developing Countries: Understanding the Role, Interaction and Power Relation Among Actors in Tanzania. Urban Forum 2019, 30, 1–16. [Google Scholar] [CrossRef]
- Lambin, E.F.; Turner, B.L.; Geist, H.J.; Agbola, S.B.; Angelsen, A.; Bruce, J.W.; Coomes, O.T.; Dirzo, R.; Fischer, G.; Folke, C.; et al. The causes of land-use and land-cover change: Moving beyond the myths. Glob. Environ. Chang. 2001, 11, 261–269. [Google Scholar] [CrossRef]
- Schlesinger, J.; Drescher, A. Agricultural land use and the urban-rural gradient: An analysis of landscape metrics in Moshi, Tanzania. Afr. Geogr. Rev. 2016, 37, 14–29. [Google Scholar] [CrossRef]
- Doan, P.L.; Oduro, C.Y. Patterns of Population Growth in Peri-Urban Accra, Ghana. Int. J. Urban Reg. Res. 2011, 36, 1306–1325. [Google Scholar] [CrossRef]
- Banu, N.; Fazal, S. Livelihood and Wellbeing in the Urban Fringe; Springer Nature: Berlin/Heidelberg, Germany, 2016; ISBN1 978-3-319-39659-0. ISBN2 978-3-319-39660-6. [Google Scholar]
- Urban-Rural Interfaces: Linking People and Nature; Laband, D.N., Lockaby, B.G., Zipperer, W.C., Eds.; American Society of Agronomy: Madison, WI, USA; Crop Science Society of America: Fitchburg, WI, USA; Soil Science Society of America: Madison, WI, USA, 2012; ISBN 978-0-89118-615-1. [Google Scholar]
- The Peri-Urban Interface: Approaches to Sustainable Natural and Human Resource Use; McGregor, D.F.M., Simon, D., Thompson, D.A., Eds.; Earthscan: London, UK; Sterling, VA, USA, 2006; ISBN1 978-1-84407-187-6. ISBN2 978-1-84407-188-3. [Google Scholar]
- Meeus, S.; Gulinck, H. Alternative Approaches for Describing Semi Urban Areas; USAMV: Cluj-Napoca, Romania, 2015. [Google Scholar]
- Zasada, I. Multifunctional peri-urban agriculture—A review of societal demands and the provision of goods and services by farming. Land Use Policy 2011, 28, 639–648. [Google Scholar] [CrossRef]
- Zasada, I.; Loibl, W.; Berges, R.; Steinnocher, K.; Köstl, M.; Piorr, A.; Werner, A. Rural–Urban Regions: A Spatial Approach to Define Urban–Rural Relationships in Europe. In Peri-Urban Futures: Scenarios and Models for Land Use Change in Europe; Nilsson, K., Pauleit, S., Bell, S., Aalbers, C., Nielsen, T.A.S., Eds.; Springer: Berlin/Heidelberg, Germany, 2013; pp. 45–68. ISBN1 978-3-642-30528-3. ISBN2 978-3-642-30529-0. [Google Scholar]
- Surya, B. The Processes Analysis of Urbanization, Spatial Articulation, Social Change and Social Capital Difference in the Dynamics of New Town Development in the Fringe Area of Makassar City (Case Study: In Metro Tanjung Bunga Area, Makassar City). Procedia Soc. Behav. Sci. 2016, 227, 216–231. [Google Scholar] [CrossRef][Green Version]
- Dekolo, S.O.; Oduwaye, L.; Nwokoro, I. Urban Sprawl and Loss of Agricultural Land in Peri-urban Areas of Lagos. Reg. Stat. 2015, 5, 20–33. [Google Scholar] [CrossRef]
- Iaquinta, D.L.; Drescher, A.W. Defining the peri-urban: Rural-urban linkages and institutional connections. Land Reform Land Settl. Coop. 2000, 2000, 8–26. [Google Scholar]
- Ravetz, J.; Fertner, C.; Nielsen, T.S. The Dynamics of Peri-Urbanization. In Peri-Urban Futures: Scenarios and Models for Land Use Change in Europe; Nilsson, K., Pauleit, S., Bell, S., Aalbers, C., Eds.; Springer: Berlin, Germany, 2013; pp. 13–44. ISBN 978-3-642-30529-0. [Google Scholar]
- Wandl, A.; Magoni, M. Sustainable Planning of Peri-Urban Areas: Introduction to the Special Issue. Plan. Pr. Res. 2016, 32, 1–3. [Google Scholar] [CrossRef]
- Gonçalves, J.; Gomes, M.C.; Ezequiel, S.; Moreira, F.; Loupa-Ramos, I. Differentiating peri-urban areas: A transdisciplinary approach towards a typology. Land Use Policy 2017, 63, 331–341. [Google Scholar] [CrossRef]
- Shaw, B.J.; Van Vliet, J.; Verburg, P.H. The peri-urbanization of Europe: A systematic review of a multifaceted process. Landsc. Urban Plan. 2020, 196, 103733. [Google Scholar] [CrossRef]
- Tacoli, C. Rural-urban interactions: A guide to the literature. Environ. Urban. 1998, 10, 147–166. [Google Scholar] [CrossRef]
- Zivanovic-Miljkovic, J.; Crncevic, T.; Maric, I. Land use planning for sustainable development of peri-urban zones. Spatium 2012, 2012, 15–22. [Google Scholar] [CrossRef]
- Nagendra, H.; Bai, X.; Brondizio, E.S.; Lwasa, S. The urban south and the predicament of global sustainability. Nat. Sustain. 2018, 1, 341–349. [Google Scholar] [CrossRef]
- Mbiba, B.; Huchzermeyer, M. Contentious development: Peri-urban studies in sub-Saharan Africa. Prog. Dev. Stud. 2002, 2, 113–131. [Google Scholar] [CrossRef]
- Appiah, D.O.; Schröder, D.; Forkuo, E.K.; Bugri, J. Application of Geo-Information Techniques in Land Use and Land Cover Change Analysis in a Peri-Urban District of Ghana. ISPRS Int. J. Geo Inf. 2015, 4, 1265–1289. [Google Scholar] [CrossRef]
- Shaw, R.; Das, A. Identifying peri-urban growth in small and medium towns using GIS and remote sensing technique: A case study of English Bazar Urban Agglomeration, West Bengal, India. Egypt. J. Remote Sens. Space Sci. 2018, 21, 159–172. [Google Scholar] [CrossRef]
- Mpofu, G.; Darkoh, M.K.; Gwebu, T.D. Peri-urbanization landuse dynamics: An analysis of evolving patterns and their impacts on Gabane Village, Botswana. GeoJournal 2017, 83, 725–741. [Google Scholar] [CrossRef]
- Banzhaf, E.; Grescho, V.; Kindler, A. Monitoring urban to peri-urban development with integrated remote sensing and GIS information: A Leipzig, Germany case study. Int. J. Remote Sens. 2009, 30, 1675–1696. [Google Scholar] [CrossRef]
- Van Vliet, J.; Verburg, P.H.; Grădinaru, S.R.; Hersperger, A.M. Beyond the urban-rural dichotomy: Towards a more nuanced analysis of changes in built-up land. Comput. Environ. Urban Syst. 2019, 74, 41–49. [Google Scholar] [CrossRef]
- Pryor, R.J. Defining the Rural-Urban Fringe. Soc. Forces 1968, 47, 202–215. [Google Scholar] [CrossRef]
- Andreasen, M.H.; Agergaard, J.; Møller-Jensen, L. Suburbanisation, homeownership aspirations and urban housing: Exploring urban expansion in Dar es Salaam. Urban Stud. 2017, 54, 2342–2359. [Google Scholar] [CrossRef]
- Chirisa, I.; Mazhindu, E.; Bandauko, E. Peri-Urban Developments and Processes in Africa with Special Reference to Zimbabwe; Springer Nature: Berlin/Heidelberg, Germany, 2016; p. 978. ISBN1 978-3-319-34230-6. ISBN2 978-3-319-34231-3. [Google Scholar]
- Msangi, D.E. Land Acquisition for Urban Expansion; Institutionen för stad och land, Sveriges lantbruksuniversitet: Uppsala, Sweden, 2011. [Google Scholar]
- Briggs, J.; Mwamfupe, D. The changing nature of the peri-urban zone in Africa: Evidence from Dar-es-Salaam, Tanzania. Scott. Geogr. J. 1999, 115, 269–282. [Google Scholar] [CrossRef]
- Lupala, J.M. Urban Types in Rapidly Urbanising Cities: Analysis of Formal and Informal Settlement in Dar es Sa-laam, Tanzania; Universitetsservice US AB: Stockholm, Sweden, 2002. [Google Scholar]
- Kombe, W.J. Land use dynamics in peri-urban areas and their implications on the urban growth and form: The case of Dar es Salaam, Tanzania. Habitat Int. 2005, 29, 113–135. [Google Scholar] [CrossRef]
- Eckert, S. Urban Expansion and its impact on urban agriculture-remote sensing based change analysis of Kizinga and Mzinga Valley-Dar Es Salaam, Tanzania. EARSeL eProceedings 2011, 10, 46–55. [Google Scholar]
- Mkalawa, C.C.; HaiXiao, P. Dar es Salaam city temporal growth and its influence on transportation. Urban Plan. Transp. Res. 2014, 2, 423–446. [Google Scholar] [CrossRef]
- Bhanjee, S.; Zhang, C.H. Mapping Latest Patterns of Urban Sprawl in Dar es Salaam, Tanzania. Pap. Appl. Geogr. 2018, 4, 292–304. [Google Scholar] [CrossRef]
- Willkomm, M.; Follmann, A.; Dannenberg, P. Rule-based, hierarchical land use and land cover classification of urban and peri-urban agriculture in data-poor regions with RapidEye satellite imagery: A case study of Nakuru, Kenya. J. Appl. Remote Sens. 2019, 13, 016517. [Google Scholar] [CrossRef]
- Wenban-Smith, H. Rural-Urban Linkages: Tanzania Case Study. 2014. Available online: http://rimisp.org/wp-content/files_mf/1422298599R_ULinkages_Tanzania_countrycasestudy_Final_edited.pdf (accessed on 22 February 2017).
- Lerner, A.M.; Eakin, H. An obsolete dichotomy? Rethinking the rural-urban interface in terms of food security and production in the global south. Geogr. J. 2011, 177, 311–320. [Google Scholar] [CrossRef] [PubMed]
- Kleemann, J.; Inkoom, J.N.; Thiel, M.; Shankar, S.; Lautenbach, S.; Fürst, C. Peri-urban land use pattern and its relation to land use planning in Ghana, West Africa. Landsc. Urban Plan. 2017, 165, 280–294. [Google Scholar] [CrossRef]
- Take Action for the Sustainable Development Goals. United Nations. Available online: https://www.un.org/sustainabledevelopment/sustainable-development-goals/ (accessed on 12 November 2020).
- National Bureau of Statistics; Ministry of Finance. Basic Facts and Figures on Human Settlements 2012; National Bureau of Statistics; Ministry of Finance: Abuja, Nigeria, 2013. [Google Scholar]
- National Bureau of Statistics. Tanzania in Figures 2017; National Bureau of Statistics: Dodoma, Tanzania, 2017. [Google Scholar]
- Hill, A.; Hühner, T.; Kreibich, V.; Lindner, C. Dar es Salaam, Megacity of Tomorrow: Informal Urban Expansion and the Provision of Technical Infrastructure. In Megacities; Kraas, F., Aggarwal, S., Coy, M., Mertins, G., Eds.; Springer: Heidelberg, Germany, 2014; pp. 165–177. ISBN1 978-90-481-3416-8. ISBN2 978-90-481-3417-5. [Google Scholar]
- OpenStreetMap Contributors. 2018 Planet Dump. Available online: https://planet.openstreetmap.org (accessed on 5 September 2018).
- ESA CCI LAND COVER—S2 Prototype Land Cover 20 m Map of Africa 2016. Available online: http://2016africalandcover20m.esrin.esa.int/ (accessed on 18 March 2019).
- Grippa, T.; Georganos, S.; Zarougui, S.; Bognounou, P.; Diboulo, E.; Forget, Y.; Lennert, M.; VanHuysse, S.; Mboga, N.; Wolff, E. Mapping Urban Land Use at Street Block Level Using OpenStreetMap, Remote Sensing Data, and Spatial Metrics. ISPRS Int. J. Geo Inf. 2018, 7, 246. [Google Scholar] [CrossRef]
- ICPAC Geoportal. Tanzania—Rivers. Available online: http://geoportal.icpac.net/layers/geonode%3Atza_water_lines_dcw (accessed on 7 September 2019).
- Mayring, P. Qualitative Content Analysis. Forum Qual. Soz. Forum Qual. Soc. Res. 2000, 1. [Google Scholar] [CrossRef]
- Appiah, D.O.; Bugri, J.T.; Forkuor, E.K.; Boateng, P.K. Determinants of Peri-Urbanization and Land Use Change Patterns in Peri-Urban Ghana. J. Sustain. Dev. 2014, 7, p95. [Google Scholar] [CrossRef]
- Birch, C.P.; Oom, S.P.; Beecham, J.A. Rectangular and hexagonal grids used for observation, experiment and simulation in ecology. Ecol. Model. 2007, 206, 347–359. [Google Scholar] [CrossRef]
- Parliament of the United Republic of Tanzania. The Land Act 1999; Government Printers: Dar es Salaam, Tanzania, 1999. [Google Scholar]
- Commonwealth Local Government Forum. Country Profile—Tanzania: The Local Government System in Tanzania. 2017. Available online: http://www.clgf.org.uk/default/assets/File/Country_profiles/Tanzania.pdf (accessed on 22 December 2020).
- Ministry of Lands, Housing and Human Settlement Development. Dar es Salaam Master Plan 2016–2036; Ministry of Lands, Housing and Human Settlement Development: Dar es Salaam, Tanzania, 2016. [Google Scholar]
- Peng, J.; Zhao, S.; Liu, Y.; Tian, L. Identifying the urban-rural fringe using wavelet transform and kernel density estimation: A case study in Beijing City, China. Environ. Model. Softw. 2016, 83, 286–302. [Google Scholar] [CrossRef]
- Bhanjee, S. Urban (un)Planning and Social Vulnerability in the Context of Rapid Urbanization and Data Constraints: A Quantitative Study of Dar es Salaam, Tanzania. Ph.D. Thesis, University of Louisville, Louisville, Kentucky, USA, 2019. [Google Scholar]
- Adam, A.G. Land Tenure in the Changing Peri-Urban Areas of Ethiopia: The Case of Bahir Dar City. Int. J. Urban Reg. Res. 2014, 38, 1970–1984. [Google Scholar] [CrossRef]
- Allen, A. Environmental planning and management of the peri-urban interface: Perspectives on an emerging field. Environ. Urban. 2003, 15, 135–148. [Google Scholar] [CrossRef]
- Tacoli, C. The links between urban and rural development. Environ. Urban. 2003, 15, 3–12. [Google Scholar] [CrossRef]
- FAO. Governing tenure rights to commons. In A Guide to Support the Implementation of the Voluntary Guidelines on the Responsible Governance of Tenure of Land, Fisheries and Forests in the Context of National Food Security; Food and Agriculture Organization of the United Nations: Rome, Italy, 2016; ISBN 978-92-5-109483-9. [Google Scholar]
- Nuhu, S. Land-access systems in peri-urban areas in Tanzania: Perspectives from actors. Int. J. Urban Sustain. Dev. 2019, 11, 189–202. [Google Scholar] [CrossRef]
- Namangaya, A.H.; Kiunsi, R. Assessing the influences of service provision on pace and short and medium term development patterns of residential housing in Dar es Salaam. Geogr. Tidsskr. J. Geogr. 2018, 118, 151–159. [Google Scholar] [CrossRef]
- Hedblom, M.; Andersson, E.; Borgström, S. Flexible land-use and undefined governance: From threats to potentials in peri-urban landscape planning. Land Use Policy 2017, 63, 523–527. [Google Scholar] [CrossRef]
- Peri-Urbanisation in Europe: Towards European Policies to Sustain Urban-Rural Futures: Synthesis Report; Piorr, A., Plurel, Eds.; Forest & Landscape, University of Copenhagen: Frederiksberg, Denmark, 2011; ISBN 978-87-7903-534-8. [Google Scholar]
- Magoni, M.; Colucci, A. Protection of Peri-Urban Open Spaces and Food-System Strategies. The Case of Parco delle Risaie in Milan. Plan. Pr. Res. 2015, 32, 40–54. [Google Scholar] [CrossRef]
- Follmann, A.; Hartmann, G.; Dannenberg, P. Multi-temporal transect analysis of peri-urban developments in Faridabad, India. J. Maps 2018, 14, 17–25. [Google Scholar] [CrossRef]
- Liu, J.; Liu, Y.; Yan, M. Spatial and temporal change in urban-rural land use transformation at village scale—A case study of Xuanhua district, North China. J. Rural. Stud. 2016, 47, 425–434. [Google Scholar] [CrossRef]
- Salem, M. Peri-urban dynamics and land-use planning for the Greater Cairo Region in Egypt. In WIT Transactions on The Built Environment, 1st ed.; Brebbia, C.A., Ed.; WIT Press: Southampton, UK, 2015; pp. 109–119. ISBN 978-1-78466-157-1. [Google Scholar]
- Kleemann, J.; Baysal, G.; Bulley, H.N.; Fürst, C. Assessing driving forces of land use and land cover change by a mixed-method approach in north-eastern Ghana, West Africa. J. Environ. Manag. 2017, 196, 411–442. [Google Scholar] [CrossRef]
- Koti, F.; Weiner, D. (Re) Defining Peri-Urban Residential Space Using Participatory GIS in Kenya. Electron. J. Inf. Syst. Dev. Ctries 2006, 25, 1–12. [Google Scholar] [CrossRef]
| 1. | Wards can be sub-divided into urban wards, “mtaa” (Kiswahili for streets) [56]. |








| Variable | Indicator for | Data Source | Processing (1 km2 Grid Cells) |
|---|---|---|---|
| Land Cover/Use | |||
| House Density | Urban density and proxy for population density | Open Street Map [37] | Houses per km2 |
| House Size | Building size | Open Street Map [37] | Mean house size per km2 |
| Tree Coverage | Land degradation | CCI Landcover [38] | Share of tree cover per km2 |
| Proximity | |||
| Road density | Access to transport and infrastructure density | Open Street Map [37] | Road length km per km2 |
| Distance to city center | Proximity to city center (central business district) | Centroid central business district | Hub Distance from cell centroid |
| Distance to main roads | Access to transport and infrastructure density | Open Street Map [37] | Mean distance from house centroids |
| Distance to river | Access to water resources | ICPAC Geoportal [40] | Mean distance from house centroids |
Publisher’s Note: MDPI stays neutral with regard to jurisdictional claims in published maps and institutional affiliations. |
© 2021 by the authors. Licensee MDPI, Basel, Switzerland. This article is an open access article distributed under the terms and conditions of the Creative Commons Attribution (CC BY) license (http://creativecommons.org/licenses/by/4.0/).
Share and Cite
Wolff, S.; Mdemu, M.V.; Lakes, T. Defining the Peri-Urban: A Multidimensional Characterization of Spatio-Temporal Land Use along an Urban–Rural Gradient in Dar es Salaam, Tanzania. Land 2021, 10, 177. https://doi.org/10.3390/land10020177
Wolff S, Mdemu MV, Lakes T. Defining the Peri-Urban: A Multidimensional Characterization of Spatio-Temporal Land Use along an Urban–Rural Gradient in Dar es Salaam, Tanzania. Land. 2021; 10(2):177. https://doi.org/10.3390/land10020177
Chicago/Turabian StyleWolff, Saskia, Makarius V. Mdemu, and Tobia Lakes. 2021. "Defining the Peri-Urban: A Multidimensional Characterization of Spatio-Temporal Land Use along an Urban–Rural Gradient in Dar es Salaam, Tanzania" Land 10, no. 2: 177. https://doi.org/10.3390/land10020177
APA StyleWolff, S., Mdemu, M. V., & Lakes, T. (2021). Defining the Peri-Urban: A Multidimensional Characterization of Spatio-Temporal Land Use along an Urban–Rural Gradient in Dar es Salaam, Tanzania. Land, 10(2), 177. https://doi.org/10.3390/land10020177

