The Impact of China’s Grassland Ecological Compensation Policy on the Income Gap between Herder Households? A Case Study from a Typical Pilot Area
Abstract
:1. Introduction
2. Materials and Methods
2.1. Study Site
2.2. Data Acquisition
2.3. Processing and Analysis
3. Results
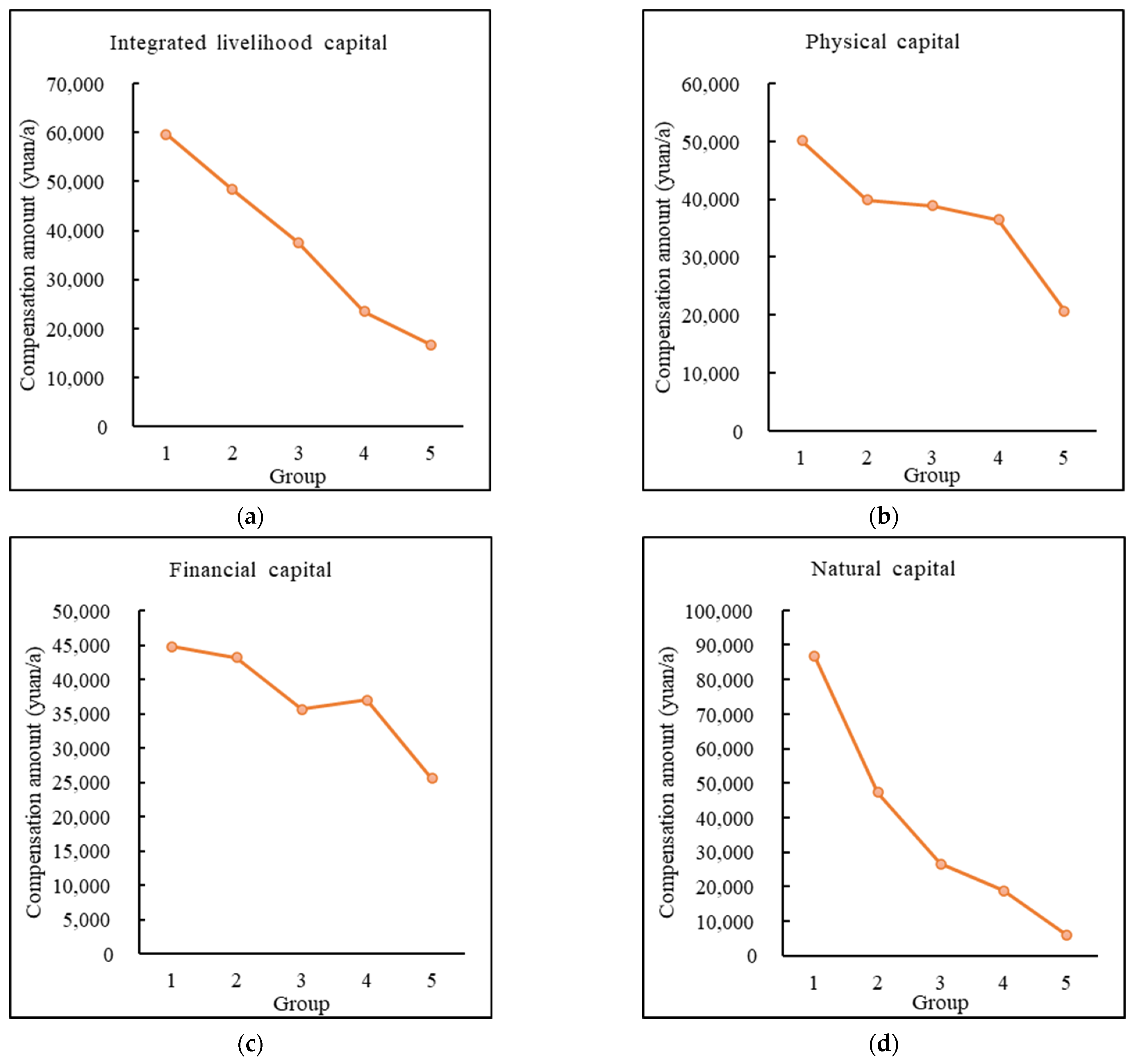
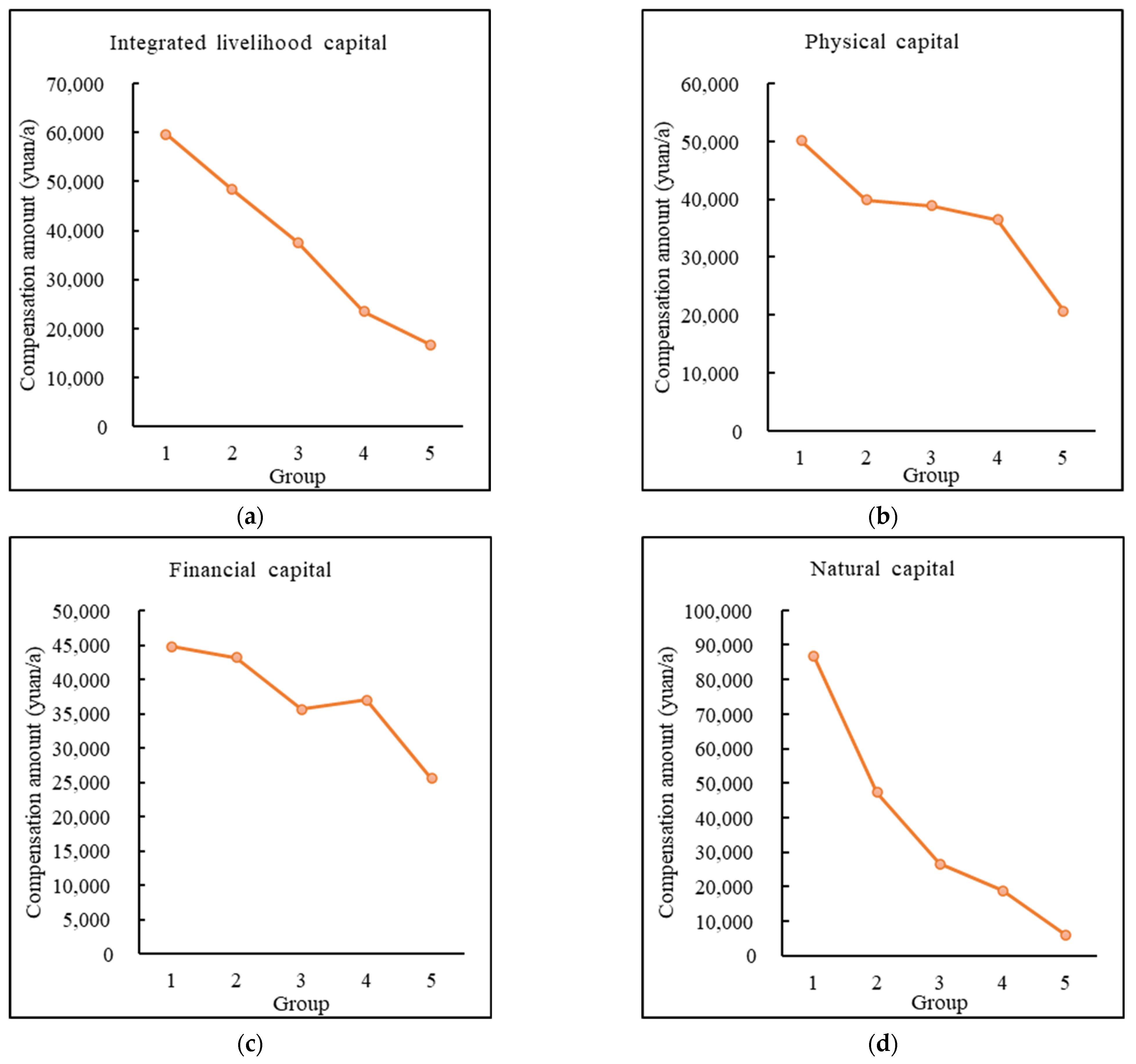
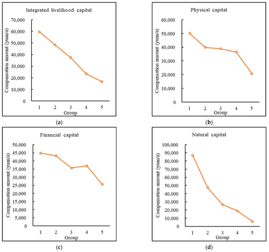
3.1. Unbalanced Distribution of Compensation Funds
3.2. Impacts on Income Gap
4. Discussion
- Overloading is not effectively restricted
- 2.
- Grassland transfer
- Setting limits on the allocation of funds
- 2.
- Strengthening policy supervision
- 3.
- Strengthening policy targeting
Author Contributions
Funding
Institutional Review Board Statement
Informed Consent Statement
Data Availability Statement
Acknowledgments
Conflicts of Interest
References
- Haberl, H.; Erb, K.-H.; Krausmann, F.; Gaube, V.; Bondeau, A.; Plutzar, C.; Gingrich, S.; Lucht, W.; Fischer-Kowalski, M. From the Cover: Quantifying and mapping the human appropriation of net primary production in earth’s terrestrial ecosystems. Proc. Natl. Acad. Sci. USA 2007, 104, 12942–12947. [Google Scholar] [CrossRef] [PubMed] [Green Version]
- Running, S.W. A measurable planetary boundary for the biosphere. Science 2012, 337, 1458–1459. [Google Scholar] [CrossRef] [Green Version]
- Borer, E.; Harpole, W.; Adler, P.; Arnillas, C.; Bugalho, M.; Cadotte, M.; Caldeira, M.; Campana, S.; Dickman, C.; Dickson, T.; et al. Nutrients cause grassland biomass to outpace herbivory. Nat. Commun. 2020, 11, 6036. [Google Scholar] [CrossRef] [PubMed]
- Ni, J. Forage Yield-Based Carbon Storage in Grasslands of China. Clim. Chang. 2004, 67, 237–246. [Google Scholar] [CrossRef]
- Yang, Y.; Fang, J.; Ma, W.; Smith, P.; Mohammat, A.; Wang, S.; Wang, W.E.I. Soil carbon stock and its changes in northern China’s grasslands from 1980s to 2000s. Glob. Chang. Biol. 2010, 16, 3036–3047. [Google Scholar] [CrossRef]
- Tang, Z.; Fang, J.; Chi, X.; Yang, Y.; Ma, W.; Mohhamot, A.; Guo, Z.; Liu, Y.; Gaston, K.J. Geography, environment, and spatial turnover of species in China’s grasslands. Ecography 2012, 35, 1103–1109. [Google Scholar] [CrossRef]
- Ni, J. Estimating net primary productivity of grasslands from field biomass measurements in temperate northern China. Plant Ecol. Former. Veg. 2004, 174, 217–234. [Google Scholar] [CrossRef]
- Costanza, R.; d’Arge, R.; de Groot, R.; Farber, S.; Grasso, M.; Hannon, B.; Limburg, K.; Naeem, S.; O’Neill, R.V.; Paruelo, J.; et al. The value of the world’s ecosystem services and natural capital. Nature 1997, 387, 253–260. [Google Scholar] [CrossRef]
- Ni, J.; Sykes, M.T.; Prentice, I.C.; Cramer, W. Modelling the vegetation of China using the process-based equilibrium terrestrial biosphere model BIOME3. Glob. Ecol. Biogeogr. 2000, 9, 463–479. [Google Scholar] [CrossRef] [Green Version]
- Ni, J. Carbon storage in grassland of China. J. Arid. Environ. 2002, 50, 205–218. [Google Scholar] [CrossRef]
- Zhou, H.; Zhao, X.; Tang, Y.; Gu, S.; Zhou, L. Alpine grassland degradation and its control in the source region of the Yangtze and Yellow Rivers, China. Grassl. Sci. 2005, 51, 191–203. [Google Scholar] [CrossRef]
- Li, S.; Verburg, P.H.; Lv, S.; Wu, J.; Li, X. Spatial analysis of the driving factors of grassland degradation under conditions of climate change and intensive use in Inner Mongolia, China. Reg. Environ. Chang. 2011, 12, 461–474. [Google Scholar] [CrossRef]
- Xiong, Q.; Xiao, Y.; Halmy, M.W.A.; Dakhil, M.A.; Liang, P.; Liu, C.; Zhang, L.; Pandey, B.; Pan, K.; El Kafraway, S.B.; et al. Monitoring the impact of climate change and human activities on grassland vegetation dynamics in the northeastern Qinghai-Tibet Plateau of China during 2000–2015. J. Arid. Land 2019, 11, 637–651. [Google Scholar] [CrossRef] [Green Version]
- Huang, X.; Luo, G.; Chen, C.; Peng, J.; Zhang, C.; Zhou, H.; Yao, B.; Ma, Z.; Xi, X. How precipitation and grazing influence the ecological functions of drought-prone grasslands on the northern slopes of the Tianshan Mountains, China? J. Arid. Land 2020, 13, 88–97. [Google Scholar] [CrossRef]
- Bremer, L.L.; Farley, K.A.; Lopez-Carr, D. What factors influence participation in payment for ecosystem services programs? An evaluation of Ecuador’s SocioPáramo program. Land Use Policy 2014, 36, 122–133. [Google Scholar] [CrossRef]
- Bremer, L.L.; Farley, K.A.; Lopez-Carr, D.; Romero, J. Conservation and livelihood outcomes of payment for ecosystem services in the Ecuadorian Andes: What is the potential for ‘win–win’? Ecosyst. Serv. 2014, 8, 148–165. [Google Scholar] [CrossRef]
- Home, R.; Balmer, O.; Jahrl, I.; Stolze, M.; Pfiffner, L. Motivations for implementation of ecological compensation areas on Swiss lowland farms. J. Rural. Stud. 2014, 34, 26–36. [Google Scholar] [CrossRef]
- Ouyang, Z.; Zheng, H.; Xiao, Y.; Polasky, S.; Liu, J.; Xu, W.; Wang, Q.; Zhang, L.; Rao, E.; Jiang, L.; et al. Improvements in ecosystem services from investments in natural capital. Science 2016, 352, 1455–1459. [Google Scholar] [CrossRef] [PubMed]
- Hou, C.; Zhang, M.; Wang, M.; Fu, H.; Zhang, M. Factors Influencing Grazing Behavior by Using the Consciousness-Context-Behavior Theory—A Case Study from Yanchi County, China. Land 2021, 10, 1157. [Google Scholar] [CrossRef]
- Gao, X.; Shen, J.; He, W.; Sun, F.; Zhaofang, Z.; Guo, W.; Zhang, X.; Kong, Y. An evolutionary game analysis of governments’ decision-making behaviors and factors influencing watershed ecological compensation in China. J. Environ. Manag. 2019, 251, 109592. [Google Scholar] [CrossRef]
- Liu, M.; Yang, L.; Bai, Y.; Min, Q. The impacts of farmers’ livelihood endowments on their participation in eco-compensation policies: Globally important agricultural heritage systems case studies from China. Land Use Policy 2018, 77, 231–239. [Google Scholar] [CrossRef]
- Liu, M.; Liu, W.; Yang, L.; Jiao, W.; He, S.; Min, Q. A dynamic eco-compensation standard for Hani Rice Terraces System in southwest China. Ecosyst. Serv. 2019, 36, 100897. [Google Scholar] [CrossRef]
- Liu, M.; Yang, L.; Min, Q. Water-saving irrigation subsidy could increase regional water consumption. J. Clean. Prod. 2019, 213, 283–288. [Google Scholar] [CrossRef]
- Xu, W.; Xiao, Y.; Zhang, J.; Yang, W.; Zhang, L.; Hull, V.; Wang, Z.; Zheng, H.; Liu, J.; Polasky, S.; et al. Strengthening protected areas for biodiversity and ecosystem services in China. Proc. Natl. Acad. Sci. USA 2017, 114, 1601–1606. [Google Scholar] [CrossRef] [Green Version]
- Yang, C.; Wang, M.; Meng, Z.; Yang, X. A Study of the Effects of the Grassland Ecological Protection Subsidiary-Award Policy on Chinas Grassland Ecology. In Proceedings of the International Conference on Sustainable Energy & Environmental Engineering, Shenzhen, China, 20–21 December 2016. [Google Scholar]
- Liu, M.; Dries, L.; Heijman, W.; Huang, J.; Zhu, X.; Hu, Y.; Chen, H. The Impact of Ecological Construction Programs on Grassland Conservation in Inner Mongolia, China. Land Degrad. Dev. 2018, 29, 326–336. [Google Scholar] [CrossRef] [Green Version]
- Li, P.; Bennett, J. Understanding herders’ stocking rate decisions in response to policy initiatives. Sci. Total Environ. 2019, 672, 141–149. [Google Scholar] [CrossRef] [PubMed]
- Hu, Y.; Huang, J.; Hou, L. Impacts of the Grassland Ecological Compensation Policy on Household Livestock Production in China: An Empirical Study in Inner Mongolia. Ecol. Econ. 2019, 161, 248–256. [Google Scholar] [CrossRef]
- Yin, Y.; Hou, Y.; Langford, C.; Bai, H.; Hou, X. Herder stocking rate and household income under the Grassland Ecological Protection Award Policy in northern China. Land Use Policy 2019, 82, 120–129. [Google Scholar] [CrossRef]
- Gao, L.; Kinnucan, H.W.; Zhang, Y.; Qiao, G. The effects of a subsidy for grassland protection on livestock numbers, grazing intensity, and herders’ income in inner Mongolia. Land Use Policy 2016, 54, 302–312. [Google Scholar] [CrossRef] [Green Version]
- Zhang, J.; Brown, C.; Qiao, G.; Zhang, B. Effect of Eco-compensation Schemes on Household Income Structures and Herder Satisfaction: Lessons from the Grassland Ecosystem Subsidy and Award Scheme in Inner Mongolia. Ecol. Econ. 2019, 159, 46–53. [Google Scholar] [CrossRef]
- Sicular, T.; Ximing, Y.; Gustafsson, B.; Shi, L. The Urban? Rural Income Gap and Inequality in China. Rev. Income Wealth 2007, 53, 93–126. [Google Scholar] [CrossRef] [Green Version]
- Huang, Z.; Xu, H.; Li, J.; Luo, N. Has highway construction narrowed the urban–rural income gap? Evidence from Chinese cities. Pap. Reg. Sci. 2020, 99, 705–723. [Google Scholar] [CrossRef]
- Magnani, E. The Environmental Kuznets Curve, environmental protection policy and income distribution. Ecol. Econ. 2000, 32, 431–443. [Google Scholar] [CrossRef]
- Dinda, S.; Coondoo, D. Income and emission: A panel data-based cointegration analysis. Ecol. Econ. 2006, 57, 167–181. [Google Scholar] [CrossRef] [Green Version]
- Zhou, A.; Li, J. Impact of income inequality and environmental regulation on environmental quality: Evidence from China. J. Clean. Prod. 2020, 274, 123008. [Google Scholar] [CrossRef]
- Druckman, A.; Jackson, T. Measuring resource inequalities: The concepts and methodology for an area-based Gini coefficient. Ecol. Econ. 2008, 65, 242–252. [Google Scholar] [CrossRef] [Green Version]
- Oladosu, G.; Rose, A. Income distribution impacts of climate change mitigation policy in the Susquehanna River Basin Economy. Energy Econ. 2007, 29, 520–544. [Google Scholar] [CrossRef]
- Ding, W.; Jimoh, S.; Hou, Y.; Hou, X.; Zhang, W. Influence of Livelihood Capitals on Livelihood Strategies of Herdsmen in Inner Mongolia, China. Sustainability 2018, 10, 3325. [Google Scholar] [CrossRef] [Green Version]
- Wang, M.; Li, M.; Jin, B.; Yao, L.; Ji, H. Does Livelihood Capital Influence the Livelihood Strategy of Herdsmen? Evidence from Western China. Land 2021, 10, 763. [Google Scholar] [CrossRef]
- Kolluru, M.; Semenenko, T. Income Inequalities in EU Countries: Gini Indicator Analysis. Economics 2021, 9, 125–142. [Google Scholar] [CrossRef]
- Adams, R.H. Worker Remittances and Inequality in Rural Egypt. Econ. Dev. Cult. Chang. 1989, 38, 45–71. [Google Scholar] [CrossRef]
- McKenzie, D.; Rapoport, H. Network effects and the dynamics of migration and inequality: Theory and evidence from Mexico. J. Dev. Econ. 2007, 84, 1–24. [Google Scholar] [CrossRef] [Green Version]
- Shi, C. The Impact of Land Transfer on Rural Household Income Gap: Exacerbation or Alleviation? Res. Econ. Manag. 2020, 41, 79–92. [Google Scholar] [CrossRef]
- Yao, Y.; Jiang, L. Urbanization forces driving rural urban income disparity: Evidence from metropolitan areas in China. J. Clean. Prod. 2021, 312, 127748. [Google Scholar] [CrossRef]
- Marino, M.; Rocchi, B.; Severini, S. Conditional Income Disparity between Farm and Non-farm Households in the European Union: A Longitudinal Analysis. J. Agric. Econ. 2021, 72, 589–606. [Google Scholar] [CrossRef]
- Hu, Z.; Liu, D.; Jin, L. Study on Herdsman-level Heterogeneity of Grassland Overgrazing. J. China Agric. Univ. 2017, 22, 158–167. [Google Scholar] [CrossRef]
- Hu, Z.; Kong, D.; Jin, L. Who Are Small and Medium-sized Holders? Definition and Origin of Small and Midium-sized Houders in the Rangeland. China Agric. Univ. J. Soc. Sci. Ed. 2015, 32, 93–100. [Google Scholar] [CrossRef]





| Indicator | Category | Number of Samples | Proportion (%) |
|---|---|---|---|
| Gender of head of household | Male | 175 | 86.2 |
| Female | 28 | 13.8 | |
| Family’s highest degree | Primary school | 13 | 6.4 |
| Junior high school | 76 | 37.4 | |
| High school and above | 114 | 56.2 | |
| Income level (yuan/a) | Less than 100,000 | 88 | 43.3 |
| 100,000–200,000 | 53 | 26.1 | |
| 200,000–300,000 | 28 | 13.8 | |
| Above 300,000 | 34 | 16.7 | |
| Main type of employment | Animal husbandry | 172 | 84.7 |
| Crop farming | 1 | 0.5 | |
| Retail | 7 | 3.4 | |
| Migrant work | 15 | 7.4 | |
| Other | 8 | 3.9 | |
| Holding grass area (ha) | Less than 200 | 83 | 40.9 |
| 200–400 | 64 | 31.5 | |
| 400–600 | 35 | 17.2 | |
| Above 600 | 21 | 10.3 |
| Capital Type | Capital Weight | Indicator | Indicator Weight |
|---|---|---|---|
| Financial capital | 0.33 | Livestock income | - |
| Employment income | - | ||
| Retail revenue | - | ||
| Other subsidies | - | ||
| Physical capital | 0.26 | Livestock | - |
| Durable goods | - | ||
| Housing | - | ||
| Natural capital | 0.21 | Grazing prohibition grassland | 0.54 |
| Forage balance grassland | 0.46 | ||
| Social capital | 0.16 | Social participation | 0.10 |
| Number of relatives around | 0.59 | ||
| Reciprocity | 0.27 | ||
| Villager relations | 0.04 | ||
| Human capital | 0.04 | Number of laborers | 0.22 |
| Education | 0.54 | ||
| Health | 0.24 |
Publisher’s Note: MDPI stays neutral with regard to jurisdictional claims in published maps and institutional affiliations. |
© 2021 by the authors. Licensee MDPI, Basel, Switzerland. This article is an open access article distributed under the terms and conditions of the Creative Commons Attribution (CC BY) license (https://creativecommons.org/licenses/by/4.0/).
Share and Cite
Li, Z.; Rao, D.; Liu, M. The Impact of China’s Grassland Ecological Compensation Policy on the Income Gap between Herder Households? A Case Study from a Typical Pilot Area. Land 2021, 10, 1405. https://doi.org/10.3390/land10121405
Li Z, Rao D, Liu M. The Impact of China’s Grassland Ecological Compensation Policy on the Income Gap between Herder Households? A Case Study from a Typical Pilot Area. Land. 2021; 10(12):1405. https://doi.org/10.3390/land10121405
Chicago/Turabian StyleLi, Zhidong, Didi Rao, and Moucheng Liu. 2021. "The Impact of China’s Grassland Ecological Compensation Policy on the Income Gap between Herder Households? A Case Study from a Typical Pilot Area" Land 10, no. 12: 1405. https://doi.org/10.3390/land10121405
APA StyleLi, Z., Rao, D., & Liu, M. (2021). The Impact of China’s Grassland Ecological Compensation Policy on the Income Gap between Herder Households? A Case Study from a Typical Pilot Area. Land, 10(12), 1405. https://doi.org/10.3390/land10121405

