Acacia Plantation Development and the Configuration of Tree Farmers’ Agricultural Assets and Land Management—A Survey in Central Vietnam
Abstract
1. Introduction
2. Background
2.1. The Study Area within Geographic-Historic Context
2.2. Acacia Plantation Development: Outset, ‘Reforestation’ Programs, and Forestland Allocation
2.3. The Rise of Wood Certification Schemes: Developing New Markets—With More ‘Sustainability’?
3. Methods
3.1. Questionnaire-Based Survey
| District→ | Phú Lộc (70) | Hương Trà (70) | A Lưới (40) | |||||||
| Commune→ | Lộc Bổn | Lộc Sơn | Xuân Lộc | Bình Điền | Hương Hồ | Hương Thọ | Hương Lâm | Đông Sơn | Hồng Thượng | |
| Farmer Type↓ | Total | |||||||||
| Total | 180 | 23 | 23 | 24 | 29 | 21 | 20 | 9 | 16 | 15 |
| Nc-woodchip | 62 | 5 | 10 | 4 | 16 | 7 | 6 | 4 | 4 | 6 |
| Nc-sawlog | 28 | 6 | 1 | 7 | 3 | 5 | 2 | 0 | 2 | 2 |
| FSC-sawlog | 90 | 12 | 12 | 13 | 10 | 9 | 12 | 5 | 10 | 7 |
| FSC‹start› | 63 | 4 | 9 | 11 | 9 | 3 | 5 | 5 | 10 | 7 |
| FSC‹exploit› | 27 | 8 | 3 | 2 | 1 | 6 | 7 | 0 | 0 | 0 |
3.2. Data Treatment and Analyses
4. Results and Discussion
4.1. The Respondents’ Profiles
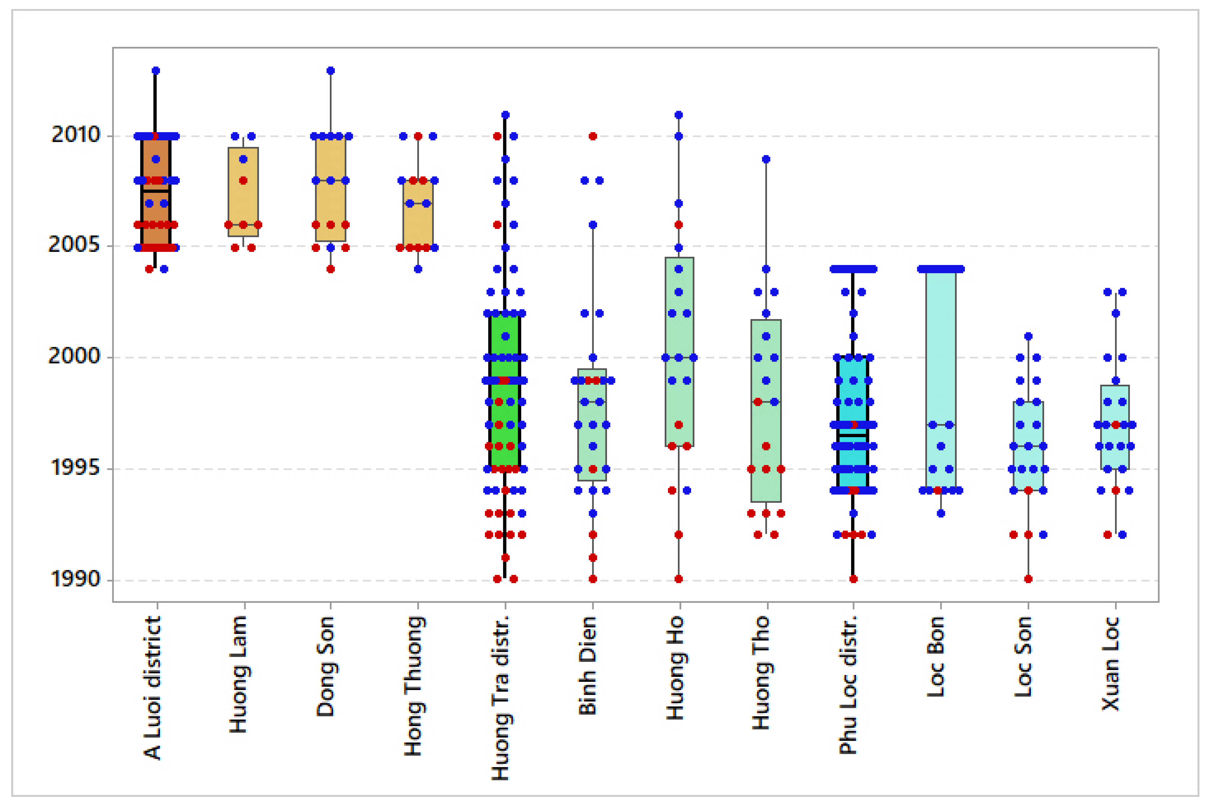
4.2. Establishment of Plantation Forestry: Timing, Facilitative Processes, and Early Opportunities
4.3. Motivations for Acacia Planting, and Ownership Transfers of Plantation Lands
4.4. Plantation Development: Local Terrain, Land Conversion, and Antecedent Land Uses
4.5. Overview of Tree Farmers’ Plantation Land Assets in 2018 and in Relation to FSC Membership
4.6. Configurations of Tree Farmers’ Plantation Land Assets: Spatial-Temporal Development Factors
4.7. Additional Land Assets Stocked with Non-Acacia Crops, Owned and Managed by the Acacia Tree Farmers
4.8. Configurations of Tree Farmers’ Acacia Plantation Stocks and Rotation Cycles
4.9. Complementary Products and Income Opportunities from Acacia Plantations
4.10. Configurations of Acacia Plantation Management: Stand Thinning and Tree Pruning
4.11. Configurations of Acacia Plantation Management: Plot Weeding
4.12. Who Buys, Harvests, and Transports the Acacia Wood Products?
4.13. Configurations of Plantation Management: Harvesting Time, Soil Protection, Replanting, Fertilizer Uses
4.14. Maintenance of Natural Vegetation and Planting of Native Tree Species
5. Concluding Notes and Corollaries
Supplementary Materials
Author Contributions
Funding
Institutional Review Board Statement
Informed Consent Statement
Data Availability Statement
Acknowledgments
Conflicts of Interest
| 1 | Plan No.204/KH-UBND dated 28/12/2016 of the provincial People’s Committee, entitled ‘Development of large timber/sawlog plantation in Thừa Thiên Huế Province for 2017–2020′. |
| 2 | Maps prepared around 1966 show the area of this commune mostly as forest and bushland. |
| 3 | Forestland is in essence lent by the state over a defined period, usually 50 years. |
| 4 | A Voluntary Partnership Agreement with the European Union, under the EU’s FLEGT Initiative (European Union Forest Law Enforcement, Governance and Trade Action Plan), was signed in October 2018. Similarly, the Lacey Act (year 2008) in the US and the Illegal Logging Prohibition Act (2012) in Australia require the Vietnamese government to ensure that timber products exported to the US/Australia are not from illegal logging sources. |
| 5 | In some ethnographies the Pa Cô are described as a sub-group of the Tà Ôi [104]. |
| 6 | This could be a position as commune leader, director of agricultural cooperative, cadastral registrar, chairman of commune farmers’ association, and/or FSC team leader. |
| 7 | Prior to FLA eucalypt and rubber plantations were set up on state-owned or communal lands. |
| 8 | According to Nambiar et al. [96] eucalypt species (especially Eucalyptus camaldulensis) had initially been promoted by replantation programs in Southern Vietnam. Severe problems with leaf blight disease (Cylindrocladium quinqueseptatum [111]) in eucalypt plantations, however, caused a shift towards Acacia mangium which also showed very good growth results on degraded soils [112,113]. |
| 9 | Some respondents noted that the soils of some plantation sites in Hương Lâm and Đông Sơn Communes were still affected by chemical residuals of Agent Orange from the war [40]. |
| 10 | Mostly the younger and lesser educated and those who had not participated in plantation programs and associated trainings. |
| 11 | Data indicate that (in addition to factors of ‘FSC’) sawlog producers who sold products to a mill without intermediaries tended to be better educated and own relatively large tracts of plantation lands; they had often been supported by programs of NGOs (especially WWF), and/or had received support and training in FSC certification. |
| 12 | |
| 13 | Data analyses indicate that (in addition to ‘age’ factors) the respondents tended to be farmers who had not been engaged in planting programs; had started planting acacias relatively recently; had not received support/training from NGOs; did not own permanent (separate from acacia plots) cassava crop fields (i.e., mostly in the uplands); and/or whose acacia plots were located in comparatively steep terrain. |
| 14 | Data analyses indicate that (in addition to factors ‘FSC’, ‘honorary position’, ‘plot distance’) the respondents were mostly farmers who had received fertilizers through support programs and/or who were thinning their plantations. |
| 15 | Data analyses indicate that (in addition to the other factors) many respondents owned plots with ‘long-rotation acacia’ and/or that many had depended on the plantation lands for gaining their livelihoods already before starting to plant acacias. |
| 16 | Standard NPK fertilizer was the only fertilizer mentioned, usually (90% of fertilizer users) with a mixed N:P:K concentration of 16:16:8 (at a price of 0.44 USD kg−1), but sometimes (10%) of 10:10:5 (0.31 USD kg−1). Numbers are percentages, i.e., 16:16:8 represents 16% nitrogen, 16% phosphorus pentoxide, 8% potassium oxide, and 60% inert material. |
| 17 | In Vietnam, however, the trend now seems to go mostly towards ‘more growth’ of the economic forestry sector, which increasingly overrides/outpaces such mitigation effects [60]. |
| 18 | Note that plantation programs (e.g., Program 327, which was called the ‘Regreening the Bare Hills Program’) often referred to ‘bare hills’ that needed to be ‘reforested’. From an economic perspective, such descriptions (‘bare hill’) may not be incorrect in terms of wood production. This is, however, not in agreement with an assessment of biodiversity, because the often relatively species-rich ‘bush’ vegetation which was usually found on ‘bare hills’ was replaced by vegetation composed of only exotic acacia [18,25,43,115]. |
| 19 | Forestry literature may, for example, focus on ‘sustainable management’ of ecological/productive ‘system units’ (e.g., an acacia plot) [44,95,129,170], yet largely disregard external conditions and processes. Economic literature may refer to the ‘sustainability’ of timber supply (or ‘sustainable growth’ of the wood industry sector) [7,8,16,96], yet largely disregard local realities/complexities. This may cross with interpretations/perspectives of literature that focus on ‘sustainable local livelihoods’ [13,53,59,171,172]—literature which may be disinterested (or altogether discount) ‘inefficiencies’, or ‘leverages out of poverty’ through ‘innovation’ and developmental transitions. With regard to so-called ‘sustainability’, specific goals of local communities, business, and industry representatives, public policy, or development agencies thus often tug in somewhat different directions. |
| 20 | ‘Sustainable development’ has been succinctly described by WCED [173] as “development that meets the needs of the present without compromising the ability of future generations to meet their own needs”. |
| 21 | Kuhlmann & Farrington [174] note that nowadays ‘sustainability’ is usually seen in three ‘dimensions’, namely social, economic and environmental. They point out, however, that the idea of separate ‘dimensions’ is a later introduction (enshrined in the UN Agenda for Development of 1997), whereas WCED [173] essentially considered the economy as integral to a single social dimension. Kuhlmann and Farrington [174] proposed societal ‘well being’ as a central concept for reference. This does, however, evidently not resolve complexity/diversity of different views/needs/priorities within societies. |
| 22 | Based on personal field observations by the authors during 2020 and 2021, and as can be seen from sequential images shown in Google EarthTM. |
| 23 | In Vietnam further state-led tree planting campaigns are still (or again—perhaps in a somewhat different form) high on the policy agenda [199]. Within this context, the ‘concept’ of a ‘forest transition’ is increasingly referred to as a relatable form of policy objective [10] rather than as a somewhat controversial academic theory/hypothesis [200,201]. |
References
- McElwee, P. Forests Are Gold: Trees, People, and Environmental Rule in Vietnam; University of Washington Press: Seattle, WA, USA, 2016. [Google Scholar]
- Cochard, R.; Dung, T.N.; Waeber, P.O.; Kull, C.A. Extent and causes of forest cover changes in Vietnam’s provinces 1993–2013: A review and analysis of official data. Environ. Rev. 2017, 25, 199–217. [Google Scholar] [CrossRef]
- Sikor, T. Tree plantations, politics of possession and the absence of land grabs in Vietnam. J. Peasant. Stud. 2012, 39, 1077–1101. [Google Scholar] [CrossRef]
- To, P.X.; Mahanty, S.; Wells-Dang, A.; To, D.W. From “Land to the Tiller” to the “New Landlords”? The Debate over Vietnam’s Latest Land Reforms. Land 2019, 8, 120. [Google Scholar] [CrossRef]
- Maraseni, T.N.; Hoang, L.S.; Cockfield, G.; Hung, V.D.; Tran, D.N. The financial benefits of forest certification: Case studies of acacia growers and a furniture company in Central Vietnam. Land Use Policy 2017, 69, 56–63. [Google Scholar] [CrossRef]
- Tham, L.T.; Darr, D.; Pretzsch, J. Analysis of Acacia hybrid timber value chains: A case study of woodchip and furniture production in central Vietnam. For. Policy Econ. 2021, 125, 102401. [Google Scholar] [CrossRef]
- Cuong, N.D.; Michael, K.; Volker, M. Land Use Spatial Optimization for Sustainable Wood Utilization at the Regional Level: A Case Study from Vietnam. Forests 2021, 12, 245. [Google Scholar] [CrossRef]
- Nambiar, S.E.K. Strengthening Vietnam’s forestry sectors and rural development: Higher productivity, value, and access to fairer markets are needed to support small forest growers. Trees For. People 2021, 3, 100052. [Google Scholar] [CrossRef]
- Frey, G.E.; Cubbage, F.W.; Ha, T.T.T.; Davis, R.R.; Carle, J.B.; Thon, V.X.; Dzung, N.V. Financial analysis and comparison of smallholder forest and state forest enterprise plantations in Central Vietnam. Int. For. Rev. 2018, 20, 181–198. [Google Scholar] [CrossRef]
- Van Khuc, Q.; Le, T.-A.T.; Nguyen, T.H.; Nong, D.; Bao, T.Q.; Meyfroidt, P.; Tran, T.; Duong, P.B.; Nguyen, T.T.; Tran, T.; et al. Forest Cover Change, Households’ Livelihoods, Trade-Offs, and Constraints Associated with Plantation Forests in Poor Upland-Rural Landscapes: Evidence from North Central Vietnam. Forests 2020, 11, 548. [Google Scholar] [CrossRef]
- United Nations THE 17 GOALS|Sustainable Development. Available online: https://sdgs.un.org/goals (accessed on 27 August 2021).
- McElwee, P.; Nghi, T.H. Assessing the Social Benefits of Tree Planting by Smallholders in Vietnam: Lessons for Large-Scale Reforestation Programs. Ecol. Restor. 2021, 39, 52–63. [Google Scholar] [CrossRef]
- Nylund, J.E.; Kröger, M. Cleavage in the understanding of sustainability: Sustainable pulp industry versus sustained local livelihoods. Scand. J. For. Res. 2012, 27, 229–240. [Google Scholar] [CrossRef]
- Kenney-Lazar, M.; Wong, G.; Baral, H.; Russel, A.J.M. Greening rubber? Political ecologies of plantation sustainability in Laos and Myanmar. Geoforum 2018, 92, 96–105. [Google Scholar] [CrossRef]
- Xu, Y. Politics of inclusion and exclusion in the Chinese industrial tree plantation sector: The global resource rush seen from inside China. J. Peasant. Stud. 2018, 46, 767–791. [Google Scholar] [CrossRef]
- WWF. From Humble Beginnings in Central Vietnam, Community Leaders Create a National Model for Sustainable Forestry. 2019. Available online: https://www.wwf.mg/?uNewsID=352770 (accessed on 14 May 2021).
- Osborne, Z. In Vietnam, small farmers and timber magnates forge uneasy alliance. Mongabay. 2017. Available online: https://news.mongabay.com/2017/11/in-vietnam-small-farmers-and-timber-magnates-forge-uneasy-alliance/ (accessed on 14 May 2021).
- Biggs, D.A. Footprints of War: Militarized Landscapes in Vietnam; University of Washington Press: Seattle, WA, USA, 2018. [Google Scholar]
- Goscha, C. Vietnam: A New History; Basic Books: New York, NY, USA, 2016. [Google Scholar]
- Doling, T. Exploring Hue: Heritage of the Nguyen Dynasty Heartland; The Gioi Publishers: Hanoi, Vietnam, 2018. [Google Scholar]
- GSO. General Statistics Office of Vietnam. 2021. Available online: https://www.gso.gov.vn/en/homepage/ (accessed on 30 December 2020).
- Nguyen, H.H.T.; Hoshino, S.; Hashimoto, S. Costs comparison between FSC and non FSC Acacia plantations in Quang Tri Province, Vietnam. Int. J. Environ. Sci. Dev. 2015, 6, 947. [Google Scholar]
- DARD. Forestry Handbook; Department of Agriculture and Rural Development, Hue City. Transportation Publisher: Hue City, Vietnam, 2017. (In Vietnamese) [Google Scholar]
- TTH-FOSDA. Activities of TTH-FOSDA in the Period 2016–2020; Unpublished Summary Report; Thua Thien Hue Forest Owners Sustainable Development Association: Hue City, Vietnam, 2021. [Google Scholar]
- Biggs, D. Clearing, “Wasting,” and Regreening: An Environmental History of Bare Hills in Central Vietnam. J. Asian Stud. 2018, 77, 1037–1058. [Google Scholar] [CrossRef]
- Pietrzak, R. Forestry-Based Livelihoods in Central Vietnam: An Examination of the Acacia Commodity Chain: A Case from Thua Thien Hue Province, Vietnam. Master’s Thesis, Wilfrid Laurier University, Waterloo, ON, Canada, 2010. [Google Scholar]
- Århem, N. Forests, Spirits and High Modernist Development. A Study of Cosmology and Change among the Katuic Peoples in the Uplands of Laos and Vietnam. In Uppsala Studies in Cultural Anthropology; Acta Universitatis Upsaliensis: Uppsala, Sweden, 2014; Volume 55, 463p. [Google Scholar]
- Hickey, G.C. Shattered World: Adaptation and Survival among Vietnam’s Highland Peoples during the Vietnam War; University of Pennsylvania Press: Philadelphia, PA, USA, 1993. [Google Scholar]
- Do, T.N.; Bruun, O. Interacting cultural and environmental change: The Co (Cua) minority of Central Vi-etnam. In On the Frontiers of Climate and Environmental Change. Vulnerabilities and Adaptations in Central Vietnam; Bruun, O., Casse, T., Eds.; Springer: Heidelberg, Germany, 2013; pp. 219–239. [Google Scholar]
- Robert, A. Dynamiques Paysagères et Guerre Dans la Province de Thua Thien Hue (Viet Nam Central). Entre Défoliation, Déforestation et Reconquêtes Végétales. Ph.D. Thesis, Université Paris-Sorbonne, Paris, France, 2011. [Google Scholar]
- Nguyen, T.H.V.; Kull, C. Land acquisition through Bricolage? Politics of smallholder acacia plantation expansion in upland Central Vietnam. J. Peasant. Stud. 2021. under review. [Google Scholar]
- Baas, L. Development from Resettlement? Comparing Differences in Food Security and Coping Strategies between Resettled Households in Thua Thien-Hue Province, Vietnam. Master’s Thesis, Utrecht University, Utrecht, The Netherlands, 2019. [Google Scholar]
- Nguyen, H.T.; Pham, T.H.; De Bruyn, L.L. Impact of Hydroelectric Dam Development and Resettlement on the Natural and Social Capital of Rural Livelihoods in Bo Hon Village in Central Vietnam. Sustainability 2017, 9, 1422. [Google Scholar] [CrossRef]
- Beckman, M. Converging and conflicting interests in adaptation to environmental change in central Vietnam. Clim. Dev. 2011, 3, 32–41. [Google Scholar] [CrossRef]
- McElwee, P. Shifting justifications: An environmental history of combatting swidden cultivation in Vietnam. J. Southeast Asian Stud. 2021. under review. [Google Scholar]
- Nguyen, T.T.P.; Masuda, M.; Iwanaga, S. The effect of forestland allocation to the livelihoods of local people in the North Central Coast of Vietnam: A case in Nam Dong district. Tropics 2016, 24, 169–180. [Google Scholar] [CrossRef]
- Bayrak, M.M.; Tran, N.T.; Burgers, P. Restructuring space in the name of development: The sociocultural impact of the Forest Land Allocation Program on the indigenous Co Tu people in Central Vietnam. J. Political Ecol. 2015, 20, 37–52. [Google Scholar] [CrossRef][Green Version]
- Bayrak, M.M.; Tran, N.T.; Burgers, P. Formal and indigenous forest management systems in Central Vietnam. Implications and challenges for REDD+. In Shifting Cultivation and Environmental Change: Indigenous People, Agriculture and Forest Conservation; Cairns, M.F., Ed.; Routledge: Abingdon, UK, 2015; pp. 319–334. [Google Scholar]
- Jakobsen, J.; Rasmussen, K.; Leisz, S.; Folving, R.; Quang, N.V. The effects of land tenure policy on rural livelihoods and food sufficiency in the upland village of Que, North Central Vietnam. Agric. Syst. 2007, 94, 309–319. [Google Scholar] [CrossRef]
- Le, L.T.H.; Dat, N.D.; Minh, N.H.; Nguyen, K.-A. Characteristics of PCDD/Fs in soil and sediment samples collected from A-So former airbase in Central Vietnam. Sci. Total. Environ. 2019, 661, 27–34. [Google Scholar] [CrossRef] [PubMed]
- Biggs, D. Frame DS1050-1006DF129: 20 March 1969. Environ. Hist. 2014, 19, 271–280. [Google Scholar] [CrossRef]
- Tran, D.; Rambo, A.T.; Nguyen, T.L. Farming with Fire and Water: The Human Ecology of a Composite Swiddening Community in Vietnam’s Northern Mountains; Kyoto University Press: Kyoto, Japan, 2009. [Google Scholar]
- McElwee, P. Reforesting “bare hills” in Vietnam: Social and environmental consequences of the 5 million hectare re-forestation program. Ambio 2009, 38, 325–333. [Google Scholar] [CrossRef]
- Nambiar, S.E.K.; Harwood, C.E.; Nguyen, D.K. Acacia plantations in Vietnam: Research and knowledge application to secure a sustainable future. South. For. 2015, 77, 1–10. [Google Scholar] [CrossRef]
- Koutika, L.-S.; Richardson, D.M. Acacia mangium Willd: Benefits and threats associated with its increasing use around the world. For. Ecosyst. 2019, 6, 2. [Google Scholar] [CrossRef]
- Le, D.K.; Ha, H.T. Research and development of acacia hybrids for commercial planting in Vietnam. Vietnam. J. Sci. Technol. Eng. 2017, 59, 36–42. [Google Scholar] [CrossRef]
- Cuong, T.; Chinh, T.T.Q.; Zhang, Y.; Xie, Y. Economic Performance of Forest Plantations in Vietnam: Eucalyptus, Acacia mangium, and Manglietia conifera. Forests 2020, 11, 284. [Google Scholar] [CrossRef]
- Dang, T.K.P.; Turnhout, E.; Arts, B. Changing forestry discourses in Vietnam in the past 20 years. For. Policy Econ. 2012, 25, 31–41. [Google Scholar] [CrossRef]
- De Jong, W.; Do Dinh, S.; Trieu, V.H. Forest Rehabilitation in Vietnam. Histories, Realities and Future; Center for International Forestry Research (CIFOR): Bogor, Indonesia, 2006. [Google Scholar]
- Ohlsson, B.; Sandewall, M.; Sandewall, R.K.; Nguyen, H.P. Government plans and farmers’ intentions: A study on forest land use planning in Vietnam. Ambio 2005, 34, 248–255. [Google Scholar] [CrossRef]
- Sam, D.D.; van Hung, T.; Mau, M.P.N.; De Jong, W. Review of Forest Rehabilitation Initiatives in Vietnam; Project Report Phase 1; Forest Science Institute of Vietnam and Center for International Forest Research: Hanoi, Vietnam, 2004. [Google Scholar]
- Iwanaga, S.; Duong, D.T.; van Minh, N. Impact of policies on raw material procurement in the Vietnamese timber processing industry: A case study of sawmills in Hue City. J. For. Res. 2020, 25, 59–68. [Google Scholar] [CrossRef]
- Thulstrup, A.W. Livelihood resilience and adaptive capacity: Tracing changes in household access to capital in Central Vietnam. World Dev. 2015, 74, 352–362. [Google Scholar] [CrossRef]
- Sandewall, M.; Ohlsson, B.; Sandewall, R.K.; Viet, L.S. The expansion of farm-based plantation forestry in Vietnam. Ambio 2010, 39, 567–579. [Google Scholar] [CrossRef]
- Van den Broeck, K.; Tarp, F.; Markussen, T. The Forgotten Property Rights: Restrictions on Land Use in Vietnam; University of Copenhagen: Copenhagen, Denmark, 2009. [Google Scholar]
- Haas, J.C.; Loft, L.; Pham, T.T. How fair can incentive-based conservation get? The interdependence of distributional and contextual equity in Vietnam’s Payments for Forest Environmental Services Program. Ecol. Econ. 2019, 160, 205–214. [Google Scholar] [CrossRef]
- Tham, L.T.; Darr, D.; Pretzsch, J. Contribution of small-scale acacia hybrid timber production and commercialization for livelihood development in Central Vietnam. Forests 2020, 11, 1335. [Google Scholar] [CrossRef]
- Kim, C.V.; van Rompaey, A.; Govers, G.; Vanacker, V.; Schmook, B.; Nguyen, H. Land transitions in Northwest Vietnam: An integrated analysis of bio-physical and socio-cultural factors. Hum. Ecol. 2013, 41, 37–50. [Google Scholar]
- Thulstrup, A.W.; Casse, T.; Nielsen, T.T. The Push for Plantations: Drivers, Rationales and Social Vulnerability in Quang Nam Province, Vietnam. In On the Frontiers of Climate and Environmental Change. Vulnerabilities and Adaptations in Central Vietnam; Bruun, O., Casse, T., Eds.; Springer: Heidelberg, Germany, 2013; pp. 71–89. [Google Scholar]
- Cochard, R.; Nguyen, V.H.T.; Dung, T.N.; Kull, C.A. Vietnam’s forest cover changes 2005–2016: Veering from transition to (yet more) transaction? World Dev. 2020, 135, 10501. [Google Scholar] [CrossRef]
- Van, Y.T.; Cochard, R. Tree species diversity and utilities in a contracting lowland hillside rainforest fragment in Central Vietnam. For. Ecosyst. 2017, 4, 1–19. [Google Scholar] [CrossRef]
- Arvola, A.; Brockhaus, M.; Kallio, M.; Pham, T.T.; Chi, D.T.L.; Long, H.T.; Nawir, A.A.; Phimmavong, S.; Mwamakimbullah, R.; Jacovelli, P. What drives smallholder tree growing? Enabling conditions in a changing policy environment. For. Policy Econ. 2020, 116, 102173. [Google Scholar] [CrossRef]
- Bayrak, M.M. State forest governance in Vietnam: Where are the local communities? In Population, Development, and the Environment; James, H., Ed.; Palgrave Macmillan: Singapore, 2019; pp. 273–295. [Google Scholar]
- Asia Perspective. Vietnam’s Export of Wood and Wooden Furniture Recovers after COVID-19. 2020. Available online: https://asiaperspective.net/2020/12/22/vietnam-export-wood-wooden-furniture-recovers-covid-19/ (accessed on 10 May 2021).
- To, P.X.; Cao, C.T.; le Tran, H. Vietnam Imports and Exports Wood and Wood Products: Current Situation in 2019 and Trends in 2020; Forest Trends: Washinton, DC, USA, 2020; Available online: https://goviet.org.vn/upload/aceweb/content/Vietnam%202019%20report.pdf (accessed on 15 May 2021). (In Vietnamese)
- North, J. Vietnam: World Woodchip Champion. Vietnam’s Hardwood Chips Power Asia’s Pulp Mills, but Supply Is Under Stress; Fastmarkets RISI: Boston, MA, USA, 2019; Available online: https://insights.risiinfo.com/vietnam-hardwood-chip-exports/index.html#section-UXmdddCgln (accessed on 11 May 2021).
- Tatarski, M. Coronavirus Outbreak hits Vietnam’s Timber Sector. Mongabay. 2020. Available online: https://news.mongabay.com/2020/02/coronavirus-outbreak-hits-vietnams-timber-sector/ (accessed on 10 May 2021).
- Phong, T.D. Export of Woodchips: Leading the World, But not in Charge. 2019. Available online: http://songhanhexport.com.vn/export-of-woodchips-leading-the-world-but-not-in-charge (accessed on 10 May 2021).
- Norman, M. Trends in Timber Product Exports and Imports from Vietnam and the Mekong Region; Forest Trends: Washington, DC, USA, 2016; Available online: https://www.forest-trends.org/wp-content/uploads/imported/vietnam-and-mekong-export-and-import-trends__marigold-norman-forest-trends-pdf.pdf (accessed on 14 May 2021).
- Meyfroidt, P.; Lambin, E.F. Forest transition in Vietnam and displacement of deforestation abroad. Proc. Natl. Acad. Sci. USA 2009, 106, 16139–16144. [Google Scholar] [CrossRef]
- To, P.X.; Mahanty, S. Vietnam’s cross-border timber crackdown and the quest for state legitimacy. Political Geogr. 2019, 75, 102066. [Google Scholar] [CrossRef]
- Roe, B.; Eastin, I.; Ganguly, I. The impact of timber legality regulations on business practices in Vietnam. For. Chron. 2014, 90, 651–659. [Google Scholar] [CrossRef]
- MARD. Forest Sector Development Program; Ministry of Agriculture and Rural Development: Hanoi, Vietnam, 2015. [Google Scholar]
- Quang, N.V.; Phuc, T.X.; Treanor, B.N.; Quyen, N.T.; Cam, C.T. Linking Smallholder Plantations to Global Markets: Lessons from the IKEA Model in Vietnam; Forest Trends: Washington, DC, USA, 2018; Available online: https://mrlg.org/wp-content/uploads/2019/06/IKEA-case-study-15-June_Final.pdf (accessed on 20 May 2021).
- Hoang, H.T.N.; Hashino, S.; Onitsuka, K.; Maraseni, T. Cost analysis of FSC forest certification and opportunities to cover the costs: A case study of Quang Tri FSC group in Central Vietnam. J. For. Res. 2018, 24, 137–142. [Google Scholar] [CrossRef]
- Pistorius, T.; Hoang, H.D.T.; Tennigkeit, T.; Merger, E.; Wittmann, N.; Conway, D. Business Models for the Restoration of Short-Rotation Acacia Plantations in Vietnam. A Project Supported by the German International Climate Initiative; UNIQUE Forestry Land Use: Freiburg im Breisgau, Germany, 2016; Available online: https://www.unique-landuse.de/images/publications/vereinheitlicht/Acacia-Business-Models-Vietnam.pdf (accessed on 11 May 2021).
- Crowther, J.; Zimmer, H.; Le Thi, H.; Quang, T.L.; Nichols, J.D. Forestry in Vietnam: The potential role for native timber species. For. Policy Econ. 2020, 116, 102182. [Google Scholar] [CrossRef]
- Hardiyanto, E.B.; Nambiar, E.K.S. Productivity of successive rotations of Acacia mangium plantations in Sumatra, Indonesia: Impacts of harvest and inter-rotation site management. New For. 2014, 45, 557–575. [Google Scholar] [CrossRef]
- Midgley, S.J.; Stevens, P.R.; Arnold, R.J. Hidden assets: Asia’s smallholder wood resources and their contribution to supply chains of commercial wood. Aust. For. 2017, 80, 10–25. [Google Scholar] [CrossRef]
- FSC. The FSC National Forest Stewardship Standard of Vietnam; FSC International Center, Performance and Standards Unit. Forest Stewardship Council: Bonn, Germany, 2018. [Google Scholar]
- van Noordwijk, M.; Leimona, B. Eco-certification and the commoditization of ecosystem services. In Co-Investment in Ecosystem Services: Global Lessons from Payment and Incentive Schemes; Namirembe, S., Leimona, B., van Noordwijk, M., Minang, P., Eds.; World Agroforestry Centre (ICRAF): Nairobi, Kenya, 2017; pp. 1–15. [Google Scholar]
- Pirard, R.; Dal Secco, L.; Warman, R. Do timber plantations contribute to forest conservation? Environ. Sci. Policy 2016, 57, 122–130. [Google Scholar] [CrossRef]
- Rahman, S.A.; Jacobsen, J.B.; Healey, J.R.; Roshetko, J.M.; Sunderland, T. Finding alternatives to swidden agriculture: Does agroforestry improve livelihood options and reduce pressure on existing forest? Agrofor. Syst. 2016, 91, 185–199. [Google Scholar] [CrossRef]
- Salignac, F.; Bhatia, B.; Tallontire, A. The nature of fair trade exchanges and their outcomes: Producer voices in Vietnam and India. Bus. Strat. Dev. 2021, 1–12. [Google Scholar] [CrossRef]
- Hoang, H.T.N.; Hoshino, S.; Hashimoto, S. Forest stewardship council certificate for a group of planters in Vietnam: SWOT analysis and implications. J. For. Res. 2015, 20, 35–42. [Google Scholar] [CrossRef]
- Auer, M.R. Group Forest Certification for Smallholders in Vietnam: An Early Test and Future Prospects. Hum. Ecol. 2012, 40, 5–14. [Google Scholar] [CrossRef]
- Gerber, J.-F. Conflicts over industrial tree plantations in the South: Who, how and why? Glob. Environ. Chang. 2011, 21, 165–176. [Google Scholar] [CrossRef]
- Flanagan, A.C.; Midgley, S.J.; Stevens, P.R. Smallholder tree farmers and forest certification in Southeast Asia: Alternative approaches to deliver more benefits to growers. Aust. For. 2020, 83, 52–65. [Google Scholar] [CrossRef]
- Malkamäki, A.; D’Amato, D.; Hogarth, N.; Kanninen, M.; Pirard, R.; Toppinen, A.; Zhou, W. A systematic review of the socio-economic impacts of large-scale tree plantations, worldwide. Glob. Environ. Chang. 2018, 53, 90–103. [Google Scholar] [CrossRef]
- Villamor, G.B.; Catacutan, D.C.; Truong, V.A.T.; Thi, L.D. Tree-cover transition in Northern Vietnam from a gender-specific land-use preferences perspective. Land Use Policy 2017, 61, 53–62. [Google Scholar] [CrossRef]
- Richards, M. Gender and Wood-Based Value Chains in Vietnam; Forest Trend: Hanoi, Vietnam, 2019. [Google Scholar]
- Poynton, S. Beyond Certification; Dō Sustainability: Oxford, UK, 2015. [Google Scholar]
- Mithöfer, D.; van Noordwijk, M.; Leimona, B.; Cerutti, P.O. Certify and shift blame, or resolve issues? Environmentally and socially responsible global trade and production of timber and tree crops. Int. J. Biodivers. Sci. Ecosyst. Serv. Manag. 2016, 13, 72–85. [Google Scholar] [CrossRef][Green Version]
- Dupuis, E.M.; Ball, T. How not what: Teaching sustainability as process. Sustain. Sci. Pr. Policy 2013, 9, 64–75. [Google Scholar] [CrossRef]
- Van Bich, N. Inter-Rotational Strategies for Sustaining Site Fertility and Productivity of Acacia and Eucalyptus Plantations Planted on Steep Slopes in Northern Vietnam. Ph.D. thesis, University of Tasmania, Hobart, Australia, 2019. [Google Scholar]
- Nambiar, S.E.K.; Harwood, C.E.; Mendham, D.S. Paths to sustainable wood supply to the pulp and paper industry in Indonesia after diseases have forced a change of species from acacia to eucalypts. Aust. For. 2018, 81, 148–161. [Google Scholar] [CrossRef]
- Lee, S.S. Observations on the successes and failures of acacia plantations in Sabah and Sarawak and the way forward. J. Trop. For. Sci. 2018, 30, 468–475. [Google Scholar] [CrossRef]
- Thu, P.Q.; Griffiths, M.W.; Pegg, G.S.; McDonald, J.M.; Wylie, F.R.; King, J.; Lawson, S.A. Healthy Plantations: A Field Guide to Pests and Pathogens of Acacia, Eucalyptus and Pinus in Vietnam; Department of Employment, Economic Development and Innovation: Queensland, Australia, 2010. [Google Scholar]
- Harwood, C.E.; Nambiar, E.K.S.; Dinh, P.X.; Toan, L.X.; Quang, L.T. Managing wood production from small grower acacia hybrid plantations on eroded soils in central Vietnam. Aust. For. 2017, 80, 286–293. [Google Scholar] [CrossRef]
- Locatelli, T.; Nicoll, B. Wind Damage Risk for Acacia Plantations in Thua Thien Hue Province of Vietnam; UNIQUE Forestry and Land Use: Freiburg im Breisgau, Germany, 2017; Available online: https://www.unique-landuse.de/images/publications/vereinheitlicht/2017-09_Wind_Study_Vietnam_final.pdf (accessed on 14 May 2021).
- Zhunusova, E.; Sen, L.T.H.; Schröder, J.-M.; Le, T.H.S.; Dieter, M.; Günter, S. Smallholder Decision-Making on Sawlog Production: The Case of Acacia Plantation Owners in Central Vietnam. Forests 2019, 10, 969. [Google Scholar] [CrossRef]
- TTH-FOSDA. Activities of TTH-FOSDA in the Period 2016–2018; Unpublished summary report; Thua Thien Hue Forest Owners Sustainable Development Association: Hue City, Vietnam, 2018. [Google Scholar]
- Bryman, A. Social Research Methods; Oxford University Press: Oxford, UK, 2016. [Google Scholar]
- Van, D.N.; Son, C.T.; Hung, L. Ethnic Minorities in Vietnam; The Gioi Publishers: Hanoi, Vietnam, 2016. [Google Scholar]
- Nguyen, L.D.; Raabe, K.; Grote, U. Rural-urban migration, household vulnerability, and welfare in Vietnam. World Dev. 2013, 71, 79–93. [Google Scholar] [CrossRef]
- Epprecht, M.; Müller, D.; Minot, N. How remote are Vietnam’s ethnic minorities? An analysis of spatial patterns of poverty and inequality. Ann. Reg. Sci. 2009, 46, 349–368. [Google Scholar] [CrossRef]
- Le, H.D.; Tran, T.M.A.; Pham, H.T. Key factors influencing forest tree planting decisions of households: A case study in Hoa Binh province, Vietnam. For. Trees Livelihoods 2020, 30, 57–73. [Google Scholar] [CrossRef]
- Dinh, H.H.; Nguyen, T.T.; Hoang, V.-N.; Wilson, C. Economic incentive and factors affecting tree planting of rural households: Evidence from the Central Highlands of Vietnam. J. For. Econ. 2017, 29, 14–24. [Google Scholar] [CrossRef]
- Clement, F.; Amezaga, J.M. Linking reforestation policies with land use change in northern Vietnam: Why local factors matter. Geoforum 2008, 39, 265–277. [Google Scholar] [CrossRef]
- Voigtlaender, M.; Laclau, J.-P.; Gonçalves, J.L.M.; Piccolo, M.C.; Moreira, M.Z.; Nouvellon, Y.; Ranger, J.; Bouillet, J.-P. Introducing Acacia mangium trees in Eucalyptus grandis plantations: Consequences for soil organic matter stocks and nitrogen mineralization. Plant Soil 2012, 352, 99–111. [Google Scholar] [CrossRef]
- Booth, T.H.; Jovanovic, T.; Old, K.M.; Dudzinski, M.J. Climatic mapping to identify high-risk areas for Cylindrocladium quinqueseptatum leaf blight on eucalypts in mainland South East Asia and around the world. Environ. Pollut. 2000, 108, 365–372. [Google Scholar] [CrossRef]
- Sang, P.M.; Lamb, M.; Schmidt, S. Carbon sequestration and soil fertility of tropical tree plantations and secondary forest established on degraded land. Plant Soil 2013, 362, 187–200. [Google Scholar] [CrossRef]
- Nambiar, S.E.K.; Harwood, C.E. Productivity of acacia and eucalypt Plantations in Southeast Asia. 1. Bio-physical determinants of production: Opportunities and challenges. Int. For. Rev. 2014, 16, 225–247. [Google Scholar] [CrossRef]
- DARD. Some Results of the Forest Sector Development Project—DAWB3; Department of Agriculture and Rural: Hue City, Vietnam, 2014. Available online: https://snnptnt.thuathienhue.gov.vn/?gd=20&cn=1&id=492&tc=218 (accessed on 14 July 2021). (In Vietnamese)
- Nikolic, N.; Schultze-Kraft, R.; Nikolic, M.; Böcker, R.; Holz, I. Land Degradation on Barren Hills: A Case Study in Northeast Vietnam. Environ. Manag. 2008, 42, 19–36. [Google Scholar] [CrossRef] [PubMed]
- Woo, S.Y.; Thai, H.T.; Park, P.S. Stand structure and natural regeneration of degraded forestland in the northern mountainous region of Vietnam. Landsc. Ecol. Eng. 2010, 7, 251–261. [Google Scholar] [CrossRef]
- Rerkasem, K.; Lawrence, D.; Padoch, C.; Schmidt-Vogt, D.; Ziegler, A.D.; Bruun, T.B. Consequences of Swidden Transitions for Crop and Fallow Biodiversity in Southeast Asia. Hum. Ecol. 2009, 37, 347–360. [Google Scholar] [CrossRef]
- McElwee, P. You Say Illegal, I Say Legal. J. Sustain. For. 2004, 19, 97–135. [Google Scholar] [CrossRef]
- Maraseni, T.N.; Son, H.L.; Cockfield, G.; Duy, H.V.; Nghia, T.D. Comparing the financial returns from acacia plantations with different plantation densities and rotation ages in Vietnam. For. Policy Econ. 2017, 83, 80–87. [Google Scholar] [CrossRef]
- Blackburn, D.; Huong, V.D.; Thanh, N.D.; Mendham, D. Solid wood property variations in early-age Acacia plantation trees grown in southern Vietnam. South. For. J. For. Sci. 2021, 83, 19–27. [Google Scholar] [CrossRef]
- Sikor, T.; Baggio, J. Can Smallholders Engage in Tree Plantations? An Entitlements Analysis from Vietnam. World Dev. 2014, 64 (Suppl. S1), S101–S112. [Google Scholar] [CrossRef]
- Huizinga, M. Impact of Forest Land Allocation on Rural Livelihoods of Katu and Kinh Households in Nam Dong district, Central Vietnam. Master’s Thesis, Utrecht University, Utrecht, The Netherlands, 2012. [Google Scholar]
- Permadi, D.B.; Burton, M.; Pandit, R.; Race, D.; Ma, C.; Mendham, D.; Hardiyanto, E.B. Socio-economic factors affecting the rate of adoption of acacia plantations by smallholders in Indonesia. Land Use Policy 2018, 76, 215–223. [Google Scholar] [CrossRef]
- Nguyen, H.T.; Ariyawardana, A.; Ratnasiri, S. Forest plantation owners’ willingness to pay for hybrid nursery stock: The case of Acacia hybrids in Central Vietnam. For. Policy Econ. 2020, 116, 102184. [Google Scholar] [CrossRef]
- Saharjo, B.H.; Watanabe, H. Estimation of litter fall and seed production of Acacia mangium in a forest plantation in South Sumatra, Indonesia. For. Ecol. Manag. 2000, 130, 265–268. [Google Scholar] [CrossRef]
- Harwood, C.E.; Hardiyanto, E.B.; Yong, W.C. Genetic improvement of tropical acacias: Achievements and challenges. South. For. 2015, 77, 11–18. [Google Scholar] [CrossRef]
- Hung, T.T.; Almeida, A.C.; Eyles, A.; Mohammed, C. Predicting productivity of Acacia hybrid plantations for a range of climates and soils in Vietnam. For. Ecol. Manag. 2016, 367, 97–111. [Google Scholar] [CrossRef]
- Beadle, C.L.; Trieu, D.T.; Harwood, C.E. Thinning increases sawlog values in fast-growing plantations of acacia hybrid in Vietnam. J. Trop. For. Sci. 2013, 25, 42–51. [Google Scholar]
- Huong, V.D.; Nambiar, E.S.; Quang, L.T.; Mendham, D.S.; Dung, P.T. Improving productivity and sustainability of successive rotations of Acacia auriculiformis plantations in South Vietnam. South. For. 2015, 77, 51–58. [Google Scholar] [CrossRef]
- Huong, V.D.; Mendham, D.S.; Close, D.C. Growth and physiological responses to intensity and timing of thinning in short rotation tropical Acacia hybrid plantations in South Vietnam. For. Ecol. Manag. 2016, 380, 233–241. [Google Scholar] [CrossRef]
- Blackburn, D.; Huong, V.D.; Mendham, D. Returns to Vietnamese smallholder farmers from managing acacia plantations for sawn wood over 4–10 year rotations. For. Policy Econ. 2020, 121, 102318. [Google Scholar] [CrossRef]
- Huong, V.D.; Nambiar, E.K.S.; Hai, N.X.; Ha, K.M.; Van Dang, N. Sustainable Management of Acacia auriculiformis Plantations for Wood Production over Four Successive Rotations in South Vietnam. Forests 2020, 11, 550. [Google Scholar] [CrossRef]
- Chi, N.M.; Thu, P.Q.; Hinh, T.X.; Dell, B. Management of Ceratocystis manginecans in plantations of Acacia through optimal pruning and site selection. Australas. Plant Pathol. 2019, 48, 343–350. [Google Scholar] [CrossRef]
- Harwood, C.E.; Nambiar, E.K.S. Sustainable Plantation Forestry in South-East Asia; Australian Centre for International Agricultural Research, ACIAR Monograph: Canberra, Australia, 2014. [Google Scholar]
- Wang, F.; Zou, B.; Li, H.; Li, Z. The effect of understory removal on microclimate and soil properties in two sub-tropical lumber plantations. J. For. Res. 2013, 19, 238–243. [Google Scholar] [CrossRef]
- Xiong, Y.; Xia, H.; Li, Z.; Cai, X.; Fu, S. Impacts of litter and understory removal on soil properties in a subtropical Acacia mangium plantation in China. Plant Soil 2008, 304, 179–188. [Google Scholar] [CrossRef]
- Thanh, V.D.T. Role of middlemen in the supply of the processing industry in the Central South region of Vietnam. Cah. Agric. 2009, 18, 329–336. [Google Scholar]
- Hung, T.T.; Doyle, R.; Eyles, A.; Mohammed, C. Comparison of soil properties under tropical Acacia hybrid plantation and shifting cultivation land use in northern Vietnam. South. For. J. For. Sci. 2016, 79, 9–18. [Google Scholar] [CrossRef]
- Dong, T.L.; Doyle, R.; Beadle, C.L.; Corkrey, S.; Quat, N.X. Impact of short-rotation Acacia hybrid plantations on soil properties of degraded lands in Central Vietnam. Soil Res. 2014, 52, 271–281. [Google Scholar] [CrossRef]
- Wang, F.; Li, Z.; Xia, H.; Zou, B.; Li, N.; Liu, J.; Zhu, W. Effects of nitrogen-fixing and non-nitrogen fixing tree species on soil properties and nitrogen transformation during forest restoration in southern China. Soil Sci. Plant Nutr. 2010, 56, 297–306. [Google Scholar] [CrossRef]
- Schiavo, J.A.; Busato, J.G.; Martins, M.A.; Canellas, L.P. Recovery of degraded areas revegetated with Acacia mangium and Eucalyptus with special reference to organic matter humification. Sci. Agrícola 2009, 66, 353–360. [Google Scholar] [CrossRef]
- Bruun, T.B.; de Neergaard, A.; Lawrence, D.; Ziegler, A.D. Environmental Consequences of the Demise in Swidden Cultivation in Southeast Asia: Carbon Storage and Soil Quality. Hum. Ecol. 2009, 37, 375–388. [Google Scholar] [CrossRef]
- Yamashita, N.; Ohta, S.; Hardjono, A. Soil changes induced by Acacia mangium plantation establishment: Comparison with secondary forest and Imperata cylindrica grassland soils in South Sumatra, Indonesia. For. Ecol. Manag. 2008, 254, 362–370. [Google Scholar] [CrossRef]
- Dubiez, E.; Freycon, V.; Marien, J.-N.; Peltier, R.; Harmand, J.-M. Long term impact of Acacia auriculiformis woodlots growing in rotation with cassava and maize on the carbon and nutrient contents of savannah sandy soils in the humid tropics (Democratic Republic of Congo). Agrofor. Syst. 2019, 93, 1167–1178. [Google Scholar] [CrossRef]
- Sidle, R.C.; Ziegler, A.D.; Negishi, J.N.; Nik, A.R.; Siew, R.; Turkelboom, F. Erosion processes in steep terrain—Truths, myths, and uncertainties related to forest management in Southeast Asia. For. Ecol. Manag. 2006, 224, 199–225. [Google Scholar] [CrossRef]
- Cochard, R. Natural hazards mitigation services of carbon-rich ecosystems. In Ecosystem Services and Carbon Sequestration in the Biosphere; Lal, R., Lorenz, K., Hüttl, R.F., Schneider, B.U., von Braun, J., Eds.; Springer: Heidelberg, Germany, 2013; Chapter 11; pp. 221–293. [Google Scholar] [CrossRef]
- Sun, D.; Zhang, W.; Lin, Y.; Liu, Z.; Shen, W.; Zhou, L.; Rao, X.; Liu, S.; Cai, X.-A.; He, D.; et al. Soil erosion and water retention varies with plantation type and age. For. Ecol. Manag. 2018, 422, 1–10. [Google Scholar] [CrossRef]
- Podwojewski, P.; Orange, D.; Jouquet, P.; Valentin, C.; Nguyen, V.T.; Janeau, J.; Tran, D.T. Land-use impacts on surface runoff and soil detachment within agricultural sloping lands in Northern Vietnam. Catena 2008, 74, 109–118. [Google Scholar] [CrossRef]
- Dung, B.X.; Kolyan, C.; Linh, N.T.M.; Ravor, S. Runoff Generation and Soil Erosion at Different Age of Acacia Plantation in Hoa Binh Province, Vietnam. VNU J. Sci. Earth Environ. Sci. 2019, 35. [Google Scholar] [CrossRef]
- Dung, B.X.; Kim, T.D.T. Runoff and soil erosion response to clear cutting period of acacia plantation in a headwater mountain of Vietnam. Appl. Res. Sci. Technol. 2021, 1, 12–25. [Google Scholar]
- Malmer, A. Hydrological effects and nutrient losses of forest plantation establishment on tropical rainforest land in Sabah, Malaysia. J. Hydrol. 1996, 174, 129–148. [Google Scholar] [CrossRef]
- Pham, N.T.T.; Nguyen, H.Q.; Ngo, A.D.; Le, H.T.T.; Nguyen, C.T. Investigating the impacts of typhoon-induced floods on the agriculture in the central region of Vietnam by using hydrological models and satellite data. Nat. Hazards 2018, 92, 189–204. [Google Scholar] [CrossRef]
- Van Bich, N.; Mendham, D.; Evans, K.J.; Dong, T.L.; Vo Dai, H.; van Thanh, H.; Mohammed, C.L. Effect of residue management and fertilizer application on the productivity of a Eucalyptus hybrid and Acacia mangium planted on sloping terrain in northern Vietnam. South. For. 2019, 81, 201–212. [Google Scholar] [CrossRef]
- Mendham, D.S.; White, D.A. A review of nutrient, water and organic matter dynamics of tropical acacias on mineral soils for improved management in Southeast Asia. Aust. For. 2019, 82 (Suppl. S1), 45–56. [Google Scholar] [CrossRef]
- Van Do, T.; Thang, N.T.; Lam, V.T.; Van Thuyet, D.; Trung, P.D.; Quy, T.H.; Phuong, N.T.T.; Huyen, L.T.T.; Thinh, N.H.; Van Tuan, N.; et al. Monitoring fine root growth to identify optimal fertilization timing in a forest plantation: A case study in Northeast Vietnam. PLoS ONE 2019, 14, e0225567. [Google Scholar] [CrossRef]
- Saharjo, B.H. The effects of fire on the properties of soil in Acacia mangium plantations in South Sumatra, Indonesia. J. Trop. For. Sci. 1999, 11, 459–469. [Google Scholar]
- Cochard, R.; Van, Y.T.; Ngo, D.T. Determinants and correlates of above-ground biomass in a secondary hillside rainforest in Central Vietnam. New For. 2018, 49, 429–455. [Google Scholar] [CrossRef]
- Thang, N.T.; Lam, V.T.; Son, N.H.; Van Do, T.; Van Thuyet, D.; Trung, P.D.; Sam, P.D.; Quy, T.H.; Phuong, N.T.T.; Huyen, L.T.T.; et al. Changes in fine root growth dynamics in response to phosphorus application in an Acacia mangium plantation in Vietnam. New For. 2019, 51, 835–847. [Google Scholar] [CrossRef]
- Mendham, D.S.; Hardiyanto, E.B.; Wicaksono, A.; Nurudin, M. Nutrient management of contrasting Acacia mangium genotypes and weed management strategies in South Sumatra, Indonesia. Aust. For. 2017, 80, 127–134. [Google Scholar] [CrossRef]
- Amat, J.P.; Tuu, B.P.; Robert, A.; Huu, N.T. Can fast-growing species form high-quality forests in Vietnam? Examples in Thua Thien-Hue province. Bois Forêts Trop. 2010, 305, 67–76. [Google Scholar] [CrossRef]
- Giardina, C.P.; Sanford, R.; Døckersmith, I.C.; Jaramillo, V.J. The effects of slash burning on ecosystem nutrients during the land preparation phase of shifting cultivation. Plant Soil 2000, 220, 247–260. [Google Scholar] [CrossRef]
- Cordell, D.; White, S. Life’s Bottleneck: Sustaining the World’s Phosphorus for a Food Secure Future. Annu. Rev. Environ. Resour. 2014, 39, 161–188. [Google Scholar] [CrossRef]
- To, P.X.; Mahanty, S.; Dressler, W.H. ‘A new landlord’ (địa chủ mới)? Community, land conflict and State Forest Companies (SFCs) in Vietnam. For. Policy Econ. 2015, 58, 21–28. [Google Scholar] [CrossRef]
- To, P.; Dressler, W.; Mahanty, S. REDD+ for Red Books? Negotiating rights to land and livelihoods through carbon governance in the Central Highlands of Vietnam. Geoforum 2017, 81, 163–173. [Google Scholar] [CrossRef]
- To, P.X.; Dressler, W. Rethinking ‘success’: The politics of payment for forest ecosystem services in Vietnam. Land Use Policy 2019, 81, 582–593. [Google Scholar] [CrossRef]
- Mertz, O.; Mertens, C.F. Land Sparing and Land Sharing Policies in Developing Countries—Drivers and Linkages to Scientific Debates. World Dev. 2017, 98, 523–535. [Google Scholar] [CrossRef]
- Nájera, A.; Simonetti, J.A. Enhancing Avifauna in Commercial Plantations. Conserv. Biol. 2010, 24, 319–324. [Google Scholar] [CrossRef]
- Ramírez, P.A.; Simonetti, J.A. Conservation opportunities in commercial plantations: The case of mammals. J. Nat. Conserv. 2011, 19, 351–355. [Google Scholar] [CrossRef]
- Millan, C.H.; Develey, P.F.; Verdade, L.M. Stand-level management practices increase occupancy by birds in exotic Eucalyptus plantations. For. Ecol. Manag. 2015, 336, 174–182. [Google Scholar] [CrossRef]
- Wiersum, K.F. 200 years of sustainability in forestry: Lessons from history. Environ. Manag. 1995, 19, 321–329. [Google Scholar] [CrossRef]
- Kyeyune, V.; Turner, S. Yielding to high yields? Critiquing food security definitions and policy implications for ethnic minority livelihoods in upland Vietnam. Geoforum 2016, 71, 33–43. [Google Scholar] [CrossRef]
- Trædal, L.T.; Vedeld, P. Cultivating forests: The role of forest land in household livelihood adaptive strategies in the Bac Kan Province of northern Vietnam. Land Use Policy 2018, 73, 249–258. [Google Scholar] [CrossRef]
- WCED. Our Common Future. World Commission on Environment and Development (WCED); Oxford University Press: Oxford, UK, 1987. [Google Scholar]
- Kuhlmann, T.; Farrington, J. What is sustainability? Sustainability 2010, 2, 3436–3448. [Google Scholar] [CrossRef]
- Dong, T.L. Using Acacia as a nurse crop for re-establishing native-tree species plantation on degraded lands in Vietnam. Ph.D. Thesis, University of Tasmania, Hobart, Australia, 2014. [Google Scholar]
- McNamara, S.; Tinh, D.V.; Erskine, P.D.; Lamb, D.; Yates, D.; Brown, S. Rehabilitating degraded forest land in central Vietnam with mixed native species plantings. For. Ecol. Manag. 2006, 233, 358–365. [Google Scholar] [CrossRef]
- Kuusipalo, J.; Ådjers, G.; Jafarsidik, Y.; Otsamo, A.; Tuomela, K.; Vuokko, R. Restoration of natural vegetation in degraded Imperata cylindrica grassland: Understorey development in forest plantations. J. Veg. Sci. 1995, 6, 205–210. [Google Scholar] [CrossRef]
- Wong, G.Y.; Moeliono, M.; Bong, I.W.; Pham, T.T.; Sahide, M.A.K.; Naito, D.; Brockhaus, M. Social forestry in Southeast Asia: Evolving interests, discourses and the many notions of equity. Geoforum 2020, 117, 246–258. [Google Scholar] [CrossRef]
- Vera, F. The shifting baseline syndrome in restoration ecology. In Restoration and History. The Search for a Usable Environmental past; Hall, M., Ed.; Routledge: Abingdon, UK, 2009. [Google Scholar]
- Cochard, R. Consequences of deforestation and climate change on biodiversity. In Land Use, Climate Change and Biodiversity Modeling: Perspectives and Applications; Trisurat, Y., Shrestha, R., Alkemade, R., Eds.; IGI Global: Hershey, PA, USA, 2011; Chapter 2; pp. 30–55. [Google Scholar]
- Nasution, A.; Glen, M.; Beadle, C.; Mohammed, C. Ceratocystis wilt and canker—a disease that compromises the growing of commercial Acacia-based plantations in the tropics. Aust. For. 2019, 82 (Suppl. S1), 80–93. [Google Scholar] [CrossRef]
- Teshome, D.T.; Zharare, G.E.; Naidoo, S. The Threat of the Combined Effect of Biotic and Abiotic Stress Factors in Forestry Under a Changing Climate. Front. Plant Sci. 2020, 11. [Google Scholar] [CrossRef] [PubMed]
- Liebhold, A.M. Forest pest management in a changing world. Int. J. Pest Manag. 2012, 58, 289–295. [Google Scholar] [CrossRef]
- Van, D.T.; Lee, D.K.; Van, T.H. Rehabilitation of the native tree species in the forest plantations and denuded hills of Namlau commune in Sonla province, Vietnam. For. Sci. Technol. 2005, 1, 51–58. [Google Scholar] [CrossRef]
- Van Tien, P.; Trinh, P.T.; Luong, L.H.; Nhat, L.M.; Duc, D.M.; Hieu, T.T.; Cuong, T.Q.; Nhan, T.T. The 13 October 2020, deadly rapid landslide triggered by heavy rainfall in Phong Dien, Thua Thien Hue, Vietnam. Landslides 2021, 18, 2329–2333. [Google Scholar] [CrossRef]
- Gia, C. Deforestation, Construction to Blame for Central Vietnam Landslides. VN Express International. 2020. Available online: https://e.vnexpress.net/news/news/deforestation-construction-to-blame-for-central-vietnam-landslides-4185723.html (accessed on 11 August 2021).
- Tran, P.; Shaw, R. Towards an integrated approach of disaster and environment management: A case study of Thua Thien Hue province, central Viet Nam. Environ. Hazards 2007, 7, 271–282. [Google Scholar] [CrossRef]
- Thu, T.P.; Moeliono, M.; Wong, G.; Brockhaus, M.; Dung, L.N. The politics of swidden: A case study from Nghe An and Son La in Vietnam. Land Use Policy 2018, 99, 103050. [Google Scholar] [CrossRef]
- Ziegler, A.D.; Bruun, T.B.; Guardiloa-Claramonte, M.; Giambelluca, T.W.; Lawrence, D.; Nguyen Thanh, L. Environmental consequences of the demise in swidden cultivation in montane mainland Southeast Asia: Hydrology and geomorphology. Hum. Ecol. 2009, 37, 361–373. [Google Scholar] [CrossRef]
- Henley, D. Swidden farming as an agent of environmental change: Ecological myth and historical reality in Indonesia. Environ. Hist. 2011, 17, 525–554. [Google Scholar] [CrossRef]
- Ty, P.H.; Van Westen, A.C.M.; Zoomers, A. Compensation and Resettlement Policies after Compulsory Land Acquisition for Hydropower Development in Vietnam: Policy and Practice. Land 2013, 2, 678–704. [Google Scholar] [CrossRef]
- Polesny, Z.; Verner, V.; Vlkova, M.; Lojka, B.; Banout, J.; Valicek, P.; Mazancova, J. Non-timber forest products utilization in Phong Dien Nature Reserve, Vietnam: Who collects, who consumes, who sells? Bois Forêts Trop. 2014, 322, 39–49. [Google Scholar] [CrossRef]
- Boissière, M.; Sheil, D.; Basuki, I. A booming trade? How collection of war residues affects livelihoods and forest in Vietnam. Int. For. Rev. 2011, 13, 404–415. [Google Scholar] [CrossRef]
- Sovu; Tigabu, M.; Savadogo, P.; Odén, P.C.; Xayvongsa, L. Recovery of secondary forests on swidden cultivation fallows in Laos. For. Ecol. Manag. 2009, 258, 2666–2675. [Google Scholar] [CrossRef]
- Dung, N.T.; Webb, E.L. Reconciling science and indigenous knowledge in selecting indicator species for forest monitoring. In Redefining Diversity and Dynamics of Natural Resources Management in Asia, Volume 3. Natural Resource Dynamics and Social Ecological Systems in Central Vietnam: Development, Resource Changes and Conservation Issues; Thang, T.N., Dung, N.T., Hulse, D., Sharma, S., Shivakoti, G., Eds.; Elsevier: Amsterdam, The Netherlands, 2016; pp. 125–138. [Google Scholar]
- Nghia, N.H. Forest Rehabilitation in Vietnam. In Keep Asia Green. Volume 1: Southeast Asia; IUFRO World Series Volume, 20-1; Lee, D.K., Ed.; International Union of Forest Research Organizations (IUFRO): Vienna, Austria, 2007; pp. 209–242. [Google Scholar]
- De Jong, W.; Chokkalingam, U.; Perera, G.A.D. The evolution of swidden fallow secondary forests in Asia. J. Trop. For. Sci. 2001, 13, 800–815. [Google Scholar]
- Dawson, I.K.; Leakey, R.; Clement, C.R.; Weber, J.C.; Cornelius, J.P.; Roshetko, J.M.; Vinceti, B.; Kalinganire, A.; Tchoundjeu, Z.; Masters, E.; et al. The management of tree genetic resources and the livelihoods of rural communities in the tropics: Non-timber forest products, smallholder agroforestry practices and tree commodity crops. For. Ecol. Manag. 2014, 333, 9–21. [Google Scholar] [CrossRef]
- Tatarski, M. ‘Drastic Forest Development’: Vietnam to Plant 1 Billion Trees—but How? Mongabay. 2021. Available online: https://news.mongabay.com/2021/05/drastic-forest-development-vietnam-to-plant-1-billion-trees-but-how/ (accessed on 10 August 2021).
- Perz, S.G. Grand Theory and Context-Specificity in the Study of Forest Dynamics: Forest Transition Theory and Other Directions. Prof. Geogr. 2007, 59, 105–114. [Google Scholar] [CrossRef]
- Van Holt, T.; Binford, M.W.; Portier, K.M.; Vergara, R. A stand of trees does not a forest make: Tree plantations and forest transitions. Land Use Policy 2016, 56, 147–157. [Google Scholar] [CrossRef]
- Le, S.; Bond, J.; Le, P.T.H.; Winkel, A.; Uy, T.C.; van Le, N. The importance of climate change awareness for the adaptive capacity of ethnic minority farmers in the mountainous areas of Thua Thien Hue province. Local Environ. 2021, 26, 1–13. [Google Scholar]
- Sikor, T.; Martin, A.; Fisher, J.; He, J. Toward an Empirical Analysis of Justice in Ecosystem Governance. Conserv. Lett. 2014, 7, 524–532. [Google Scholar] [CrossRef]






| All↓ | Pre-Acacia Agricultural Income Sources | Catalyzers for / Motivation of Acacia Planting | ||||||||||||
| District↓↓ Farmer Type↓↓↓ | Eucalypt Groves | Rubber Groves | Crop Fields | Other / No Info | State Program | Mutual Learning | “Better Soils” | “a Good Income” | ||||||
| Overall | 37% | 6% | 44% | 13% | 29% | 62% | 9% | 7% | ||||||
| in Phú Lộc | 54% | 3% | 43% | 0 | 13% | 70% | 21% | 14% | ||||||
| in Hương Trà | 41% | 13% | 23% | 23% | 34% | 60% | 2% | 3% | ||||||
| in A Lưới | 0 | 0 | 82% | 18% | 48% | 52% | 0 | 0 | ||||||
| Nc-woodchip | 24% | 5% | 56% | 15% | 18% | 74% | 5% | 0 | ||||||
| Nc-sawlog | 46% | 0 | 46% | 8% | 14% | 82% | 4% | 0 | ||||||
| FSC-sawlog | 43% | 9% | 34% | 14% | 41% | 48% | 13% | 13% | ||||||
| All↓ | Support for Acacia Planting | Governmental Support through Programs | ||||||||||||
| District↓↓ Farmer Type↓↓↓ | Government Organization | Nongov. Organiz. | Other | No Help / No Info | Program PAM 4304 | Program 337 | Program 661 | Program WB3 | ||||||
| Overall | 69% | 15% | 3% | 28% | 33% | 13% | 10% | 44% | ||||||
| in Phú Lộc | 79% | 37% | 9% | 12% | 53% | 33% | 26% | 53% | ||||||
| in Hương Trà | 77% | 1% | 0 | 23% | 27% | 0 | 0 | 60% | ||||||
| in A Lưới | 38% | 0 | 0 | 62% | 8% | 3% | 0 | 0 | ||||||
| Nc-woodchip | 53% | 0 | 6% | 41% | 18% | 8% | 8% | 23% | ||||||
| Nc-sawlog | 68% | 0 | 0 | 32% | 36% | 7% | 7% | 25% | ||||||
| FSC-sawlog | 80% | 30% | 2% | 18% | 42% | 19% | 12% | 64% | ||||||
| All↓ | Other Program Aid | Number of Support Programs Noted by Respondents (%) | Number of Support Items Noted by Respondents (%) | |||||||||||
| District↓↓ Farmer Type↓↓↓ | Programs by WWF | Programs by FSC | ||||||||||||
| 0 | 1 | 2 | 3 | 4 | 5–6 | 0 | 1 | 2 | 3 | 4 | 5–6 | |||
| Overall | 25% | 12% | 43 | 15 | 22 | 13 | 1 | 7 | 37 | 23 | 8 | 3 | 1 | 22 |
| in Phú Lộc | 40% | 19% | 27 | 13 | 14 | 26 | 1 | 19 | 27 | 21 | 6 | 7 | 3 | 36 |
| in Hương Trà | 24% | 13% | 31 | 20 | 42 | 7 | 0 | 0 | 33 | 19 | 13 | 0 | 0 | 36 |
| in A Lưới | 0 | 0 | 90 | 10 | 0 | 0 | 0 | 0 | 60 | 33 | 5 | 2 | 0 | 0 |
| Nc-woodchip | 0 | 0 | 63 | 21 | 13 | 3 | 0 | 0 | 55 | 34 | 10 | 1 | 0 | 0 |
| Nc-sawlog | 0 | 0 | 43 | 39 | 18 | 0 | 0 | 0 | 46 | 29 | 18 | 0 | 7 | 0 |
| FSC-sawlog | 50% | 24% | 29 | 3 | 29 | 23 | 2 | 14 | 21 | 13 | 5 | 6 | 0 | 56 |
| All↓ | Needing a Loan for Planting | Specific Support Items (Provided through Programs) Noted by Respondents | ||||||||||||
| District↓↓ Farmer Type↓↓↓ | Offering a Loan | Seedling Provision | Fertilizer Provision | Training Program | Product Selling | Help to Certify | Plant Diseases | |||||||
| Overall | 76% | 49% | 41% | 18% | 35% | 31% | 29% | 7% | ||||||
| in Phú Lộc | 81% | 44% | 59% | 21% | 51% | 43% | 47% | 0 | ||||||
| in Hương Trà | 70% | 67% | 36% | 24% | 36% | 37% | 27% | 19% | ||||||
| in A Lưới | 75% | 28% | 18% | 0 | 5% | 0 | 0 | 0 | ||||||
| Nc-woodchip | 82% | 31% | 16% | 0 | 5% | 0 | 6% | 0 | ||||||
| Nc-sawlog | 75% | 32% | 29% | 0 | 18% | 0 | 14% | 0 | ||||||
| FSC-sawlog | 71% | 68% | 61% | 36% | 61% | 62% | 49% | 14% | ||||||
| All↓ | Main Reasons to Continue Planting Acacias | Buying and Selling Plots | ||||||||||||
| District↓↓ Farmer Type↓↓↓ | “Good Income” | “Investment Return” | “Close Market” | “Easy to Manage” | “Low Investment” | Sell Plots of Acacia | Buy Plots of Acacia | Change (ha/farmer) | ||||||
| Overall | 54% | 9% | 9% | 18% | 9% | 6% | 11% | 0.5 ±2.4 | ||||||
| in Phú Lộc | 51% | 11% | 13% | 10% | 14% | 1% | 17% | 1.12 ±3.5 | ||||||
| in Hương Trà | 71% | 10% | 10% | 4% | 4% | 11% | 10% | 0.15 ±1.3 | ||||||
| in A Lưới | 30% | 5% | 0 | 55% | 10% | 3% | 0 | –0.1 ±0.3 | ||||||
| Nc-woodchip | 52% | 16% | 6% | 19% | 6% | 10% | 2% | –0.1 ± 0.6 | ||||||
| Nc-sawlog | 36% | 7% | 18% | 7% | 32% | 4% | 4% | 0.02 ± 0.4 | ||||||
| FSC-sawlog | 62% | 6% | 8% | 20% | 4% | 3% | 19% | 1.06 ± 3.2 | ||||||
| Program PAM 4304 | Program 337 | Program 661 | Program WB3 | Programs by WWF | Programs by FSC | |
|---|---|---|---|---|---|---|
| Implementation Time 1 | 1992–2000 | 1993–1998 | 1998–2010 | 2005–2014 | 2015–2020 | 2016-now |
| Project Volume in US$ 1 | 20.3 million | 213 million | >2000 million | 4.7 million | n.a. | 0.53 million |
| Funding Agencies 2 | WFP | GoV, WB | GoV, WB | WB, JICA | IK, WWF | WWF, SP, USAID |
| Implementing Agencies 2 | DARD, SFEs (n.a.) | DARD, SFEs | DARD, SFEs | DARD, SFEs | WWF | WWF 3, SP, USAID |
| Afforestation Area in ha 1 | n.a. | ~0.4 mil. (?) | ~2.45 mil. | 12′800 ha | 5142 ha | 5172 ha |
| Number of Households 1 | n.a. | n.a. | ~1.2 mil. hh | 8750 hh | 1000 hh | 1028 hh |
| Objective: FLA | yes (***) | yes (**) | yes (***) | yes (**) | no | no |
| Objective: Tree Planting | yes (***) | yes(***) | yes(***) | yes (***) | no | yes (***) |
| Objective: Certification | no | no | no | yes (**) | yes (**) | yes (***) |
| Object.: Forest Protection | n.a. | yes (***) | yes (***) | (no)4 | yes (***) | yes (***) |
| Loans Provided | yes (*) | yes (***) | yes (***) | yes (***) | no | no |
| Tree Nurseries | yes (**) | yes (***) | yes (***) | yes (**) | yes (**) | yes (***) 5 |
| Fertilizer Provided | yes (**) | no | no | n.a. | no | no |
| Training / Information | yes (*) | yes (**) | yes (**) | yes (**) | yes (***) | yes (***) |
| Product Selling | no | yes (**) | n.a. | yes (**) | no | yes (***) |
| Product Certification | no | no | yes (*) | yes (**) | no | yes (***) |
| Other | n.a. | yes (**) 6 | yes (**) 6 | yes (**) 6 | no | yes (**) 7 |
| All↓ District↓↓ Farmer Type↓↓↓ | Plantation Terrain: Percentage Cover in Relative Steepness Category (Inclination in Degrees) | Pre-Acacia Land Cover (Percentage Area) | ||||||
| Bushland | Crop Fields | Bare Land | Natural Forest | |||||
| <4° | ~4°–10° | ~10°–30° | >30° | |||||
| Overall | 11% | 45% | 41% | 3% | 83% | 13% | 1% | 3% |
| in Phú Lộc | 13% | 51% | 32% | 4% | 78% | 20% | 2% | 0 |
| in Hương Trà | 14% | 43% | 42% | 1% | 97% | 2% | 1% | 0 |
| in A Lưới | 0 | 22% | 74% | 4% | 64% | 12% | 0 | 24% |
| Nc-woodchip | 12% | 41% | 45% | 2% | 65% | 17% | 5% | 13% |
| Nc-sawlog | 11% | 37% | 46% | 6% | 77% | 18% | 0 | 5% |
| FSC-sawlog | 11% | 46% | 40% | 3% | 86% | 12% | 1% | 1% |
| Pre-Acacia Land Cover | Importance of Pre-Acacia Livelihood Support | Pre-Acacia Land Assets for Livelihoods | ||||||
| Type | Relative Cover | None | Minor | Moderate | Significant | Wood | Firewood | Food |
| Weighted Sum | (100%) | 66% | 31% | 4% | 0.4% | 25% | 77% | 32% |
| Bushland | 83% | 76% | 24% | 1% | 0 | 27% | 88% | 21% |
| Crop Fields | 13% | 8% | 79% | 13% | 0 | 0 | 5% | 100% |
| Bare Land | 1% | 100% | 0 | 0 | 0 | 0 | 0 | 0 |
| Natural Forest | 3% | 20% | 27% | 40% | 13% | 92% | 100% | 67% |
| All↓ | Acacia Plantation Land Assets | Land Assets by Product Type, Certification, Ownership | ||||||
| District↓↓ Farmer Type↓↓↓ | Number of Plots | Mean Plot Size (ha) | Mean Total Area (ha) | Woodchip (ha) | Co-Owned Chip (ha) | Sawlog Area (ha) | Sawlog FSC (ha) | Exploited FSC (ha) |
| Overall | 2.4 ± 1.3 | 2.1 ± 1.5 | 5.8 ± 7.1 | 2.7 ± 4.0 | 0.5 ± 2.0 | 3.1 ± 4.9 | 2.3 ± 3.9 | 1.0 ± 3.5 |
| in Phú Lộc | 2.8 ± 1.5 | 2.4 ± 1.8 | 8.1 ± 9.9 | 3.9 ± 5.6 | 1.0 ± 3.0 | 4.2 ± 0.8 | 2.7 ± 5.0 | 1.6 ± 4.8 |
| in Hương Trà | 2.3 ± 1.3 | 1.9 ± 1.0 | 4.8 ± 4.1 | 2.3 ± 2.2 | 0.3 ± 1.5 | 2.5 ± 0.7 | 2.1 ± 3.4 | 1.1 ± 2.9 |
| in A Lưới | 1.7 ± 0.8 | 2.1 ± 1.8 | 3.4 ± 2.8 | 1.3 ± 1.7 | 0 | 2.0 ± 0.6 | 1.7 ± 2.5 | 0 |
| Nc-woodchip | 1.4 ± 0.6 | 1.3 ± 0.6 | 1.8 ± 1.5 | 1.8 ± 1.5 | 0 | na | na | na |
| Nc-sawlog | 2.1 ± 0.7 | 1.9 ± 0.7 | 4.1 ± 2.0 | 2.2 ± 1.8 | 0 | 1.9 ± 1.5 | na | na |
| FSC-sawlog | 3.1 ± 1.4 | 2.8 ± 1.8 | 9.1 ± 8.7 | 3.5 ± 5.3 | 1.1 ± 3.0 | 5.5 ± 5.8 | 4.5 ± 4.6 | 2.1 ± 4.8 |
| All↓ | Acacia Types Planted, Propagation Techniques | Rotation Cycle (years) | Cassava Intercrops | |||||
| District↓↓ Farmer Type↓↓↓ | Hybrid Acacia | Acacia mangium | Hybrid + Mangium | “Seeds > Cuttings” | Woodchip Plots | Sawlog Plots | Planting Intercrop | “Intercrop > No Intercr.” |
| Overall | 75% | 14% | 11% | 31% | 4.4 ± 0.5 | 6.8 ± 0.8 | 18% | 14% |
| in Phú Lộc | 89% | 0 | 11% | 43% | 4.3 ± 0.5 | 6.6 ± 0.7 | 13% | 16% |
| in Hương Trà | 94% | 0 | 6% | 36% | 4.3 ± 0.5 | 6.7 ± 0.7 | 4% | 20% |
| in A Lưới | 20% | 62% | 18% | 0% | 5.1 ± 0.2 | 7.6 ± 0.6 | 50% | 2% |
| Nc-woodchip | 85% | 3% | 11% | 24% | 4.5 ± 0.6 | na | 23% | 16% |
| Nc-sawlog | 86% | 7% | 7% | 21% | 4.4 ± 0.5 | 5.8 ± 0.5 | 14% | 4% |
| FSC-sawlog | 64% | 18% | 18% | 38% | 4.3 ± 0.5 | 7.2 ± 0.6 | 16% | 18% |
| All↓ | Collect Firewood on Plots | Wage Earning and Labor Hiring | Acacia Stand and Plot Management | |||||
| District↓↓ Farmer Type↓↓↓ | Wage Earning | Hired by Others | Hiring Others | Stand Thinning1 | Stand Pruning | Plot Weeding | “No Weed. > Weeding” | |
| Overall | 12% | 59% | 57% | 85% | 36% | 89% | 88% | 28% |
| in Phú Lộc | 17% | 54% | 56% | 77% | 53% | 100% | 89% | 44% |
| in Hương Trà | 13% | 57% | 49% | 93% | 29% | 90% | 99% | 20% |
| in A Lưới | 2% | 73% | 75% | 85% | 18% | 68% | 70% | 13% |
| Nc-woodchip | 32% | 97% | 87% | 77% | 0 | 79% | 85% | 31% |
| Nc-sawlog | 7% | 82% | 61% | 89% | 0 | 96% | 86% | 32% |
| FSC-sawlog | 0 | 27% | 36% | 89% | 71% | 95% | 91% | 30% |
| All↓ | Tree Harvest Season | Post-Harvest Burning of Plant Residues on Plots | “Preserve Vegetation on Plots” | Planting Time Dep. Seedlings | ||||
| District↓↓ Farmer Type↓↓↓ | Dry Season | Season Depends | “No Residue Burning” | Plot Burning | Plot Areas Burnt %1 | “Burning > No Burning” | ||
| Overall | 59% | 39% | 49% | 51% | 85 ± 26 | 24% | 31% | 14% |
| in Phú Lộc | 60% | 34% | 66% | 33% | 74 ± 25 | 31% | 40% | 0% |
| in Hương Trà | 76% | 24% | 49% | 50% | 87 ± 27 | 24% | 30% | 4% |
| in A Lưới | 28% | 72% | 23% | 68% | 92 ± 23 | 10% | 15% | 55% |
| Nc-woodchip | 34% | 65% | 16% | 74% | 99 ± 7 | 3% | 3% | 24% |
| Nc-sawlog | 75% | 21% | 43% | 71% | 81 ± 24 | 7% | 11% | 4% |
| FSC-sawlog | 71% | 27% | 74% | 29% | 62 ± 32 | 43% | 56% | 10% |
| All↓ | Time Delay (days) from Stand Harvesting to Plot Replanting2 | Fertilizer Applications on Plots per Stand Rotation Cycle | Wood Product Buyer | |||||
| District↓↓ Farmer Type↓↓↓ | Sell to Middlemen | Sell to Sawmill | ||||||
| ~<30 d. | 30–60 d. | ~>60 d. | None | One Time | Twice3 | |||
| Overall | 41% | 32% | 27% | 21% | 39% | 40% | 78% | 23% |
| in Phú Lộc | 61% | 32% | 7% | 9% | 34% | 57% | 71% | 32% |
| in Hương Trà | 31% | 40% | 29% | 7% | 49% | 44% | 76% | 24% |
| in A Lưới | 0% | 6% | 94% | 65% | 33% | 2% | 95% | 5% |
| Nc-woodchip | 11% | 51% | 38% | 37% | 45% | 18% | 100% | 0% |
| Nc-sawlog | 30% | 37% | 33% | 7% | 43% | 50% | 89% | 14% |
| FSC-sawlog | 63% | 20% | 17% | 13% | 34% | 52% | 60% | 42% |
| All↓ | Acacia Plots Close to River/Creek | Keeping Native Trees Vegetation | Native Timber Species Planted on or near Plots | Preserve Natural Woodlots | Reasons for Keeping Native Vegetation | |||
| District↓↓ F. Type↓↓↓ | “Erosion Control” | “Delimit Plots” | “Pest Control” | |||||
| Hopea | Homalium | |||||||
| Overall | 42% | 43% | 29% | 11% | 22% | 28% | 17% | 12% |
| in Phú Lộc | 43% | 50% | 40% | 20% | 24% | 34% | 26% | 14% |
| in Hương Trà | 36% | 43% | 30% | 7% | 17% | 29% | 19% | 14% |
| in A Lưới | 50% | 33% | 8% | 0% | 25% | 15% | 0% | 3% |
| Nc-woodchip | 56% | 5% | 0% | 0% | 3% | 2% | 0% | 0% |
| Nc-sawlog | 43% | 29% | 4% | 0% | 29% | 14% | 0% | 0% |
| FSC-sawlog | 31% | 74% | 57% | 21% | 32% | 50% | 34% | 23% |
Publisher’s Note: MDPI stays neutral with regard to jurisdictional claims in published maps and institutional affiliations. |
© 2021 by the authors. Licensee MDPI, Basel, Switzerland. This article is an open access article distributed under the terms and conditions of the Creative Commons Attribution (CC BY) license (https://creativecommons.org/licenses/by/4.0/).
Share and Cite
Cochard, R.; Vu, B.T.; Ngo, D.T. Acacia Plantation Development and the Configuration of Tree Farmers’ Agricultural Assets and Land Management—A Survey in Central Vietnam. Land 2021, 10, 1304. https://doi.org/10.3390/land10121304
Cochard R, Vu BT, Ngo DT. Acacia Plantation Development and the Configuration of Tree Farmers’ Agricultural Assets and Land Management—A Survey in Central Vietnam. Land. 2021; 10(12):1304. https://doi.org/10.3390/land10121304
Chicago/Turabian StyleCochard, Roland, Bien Thanh Vu, and Dung Tri Ngo. 2021. "Acacia Plantation Development and the Configuration of Tree Farmers’ Agricultural Assets and Land Management—A Survey in Central Vietnam" Land 10, no. 12: 1304. https://doi.org/10.3390/land10121304
APA StyleCochard, R., Vu, B. T., & Ngo, D. T. (2021). Acacia Plantation Development and the Configuration of Tree Farmers’ Agricultural Assets and Land Management—A Survey in Central Vietnam. Land, 10(12), 1304. https://doi.org/10.3390/land10121304

