Next Article in Journal
BMP Optimization to Improve the Economic Viability of Farms in the Upper Watershed of Miyun Reservoir, Beijing, China
Previous Article in Journal
Correction: Messer, T.L.; Burchell, M.R.; Birgand, F. Comparison of Four Nitrate Removal Kinetic Models in Two Distinct Wetland Restoration Mesocosm Systems. Water 2017, 9, 517
 
 
Font Type:
Arial Georgia Verdana
Font Size:
Aa Aa Aa
Line Spacing:
Column Width:
Background:
Article

Comparative Study on Influences of Bank Slope Ecological Revetments on Water Quality Purification Pretreating Low-Polluted Waters

1
School of Energy and Environment, Southeast University, Nanjing 210096, China
2
Shanghai SMI Raw Water Co., Ltd., Shanghai 200125, China
*
Author to whom correspondence should be addressed.
Water 2017, 9(9), 636; https://doi.org/10.3390/w9090636
Submission received: 12 July 2017 / Revised: 4 August 2017 / Accepted: 21 August 2017 / Published: 24 August 2017

Abstract

:
To improve aquatic environmental quality and maintain channel stability against soil erosion, ecological bank slope revetments for surface water bodies were developed using a combination of prefabricated porous concrete spheres and vegetation methods, and a model set-up consisting of two equal-sized ditches with different types of bank slope revetments was constructed to evaluate the purification effects of ecological and hard revetments on water quality. The slope of one ditch was embanked with ecological revetments as an experimental treatment, while the other was embanked with hard revetments as a control. Pollutant removal from the ecological bank revetment ditch was significantly better in terms of the overall removal efficiencies of the chemical oxygen demand of manganese (CODMn), ammonia, total nitrogen (TN), and total phosphorus (TP), with two- to four-fold greater removal compared with that from hard slope revetments under the same operational conditions. Nutrient pollutants, including ammonia, TN, and TP had higher removal efficiencies than that for CODMn in both experimental ditches. The dependence of the first-order rate constant (k20) and temperature coefficient ( θ ) obtained from the Arrhenius equation indicated that the removal efficiencies for ammonia, TN, and TP were higher with greater rate constants (k20) in the experimental ditch. In the ecological revetment ditch, the k20 values for CODMn, ammonia, TN, and TP were 0.054, 0.378, 0.222, and 0.266 respectively, around three-fold the values observed in the hard revetment ditch, but there was no obvious difference in θ values between the two ditches. The k20 values of TN and TP in both ditches showed significant positive correlations with seasonal shifts, as the removal of nutrient pollutants is highly sensitive to water temperatures.

1. Introduction

In recent years, the deterioration of aquatic environments in China has become a growing environmental problem due to accelerating development in many regions. Many rivers and lakes have been experiencing a major water contamination threat resulting from untreated wastewater and fragmentation of aquatic ecosystems [1]. As a fundamental part of aquatic ecosystems, riverine slopes are transitional zones (or ecotones) between terrestrial and aquatic ecosystems and are thus generally regarded as aquatic-terrestrial ecosystems, which provide abundant ecosystem services [2,3]. Water and other materials, energy, and organisms meet within the river corridor and interact over both space and time. This movement fulfills critical functions for life such as cycling of nutrients, filtering contaminants from runoff, absorbing and gradually releasing floodwaters, maintaining fish and wildlife habitat, recharging ground water, and maintaining stream flow [4,5]. Because of their specific hydrological, hydrochemical and ecological conditions, riverine slopes play an important role in the development of aquatic and terrestrial ecosystems, acting as a buffer between the water and surrounding terrain. However, with economic development and urbanization, some rivers and lakes are forced to adjust their geomorphic properties through erosion to compensate for an increase in peak flow rates and changes in sediment yield [6,7]. Human activity has profoundly affected rivers and lakes and contributed to changes in the dynamic equilibrium of aquatic ecosystems [8,9]. Rivers and their corridors evolve in concert with and in response to surrounding ecosystems. Changes within the surrounding ecosystem will impact the physical, chemical, and biological process occurring within a river corridor [10,11,12]. Traditional water works for surface water bodies were designed to protect land against overflow or flooding and to protect flat land from diffuse surface water flow. For instance, the bank slopes of rivers and lakes are embanked with stone, conventional concrete, or other hard materials for channel stabilization to prevent soil erosion and lateral migration [13], and water is enclosed within a limited river course or lake basin. The extensive application of hard bank stabilization inevitably led to negative ecological effects without any benefits for the aquatic environment, since aquatic ecosystems are thoroughly separated from terrestrial habitats in these systems. Interaction and exchange of materials, energy and information between water and riverine floodplains is significantly reduced, or even totally eliminated [14,15,16]. As a result of these hard bank slope revetments degrading or destroying the aquatic habitats of the stream, decreases in biodiversity and the abundance of aquatic biota are commonly observed in such ecosystems, subsequently the self-purification capacity of environment was languishing over time, until completely eliminated eventually [17].
Increasing degradation of ecological conditions in surface water bodies due to human activities has prompted widespread restoration efforts. A Chinese national policy aimed at improving aquatic environments recognizes that effective ecological management of waterways is a crucial component of pollution control practices. It is necessary to convert these traditional hard banks into ecological revetments to restore natural river corridor scenery and provide habitats for microbial life as well as aquatic and land plants, in addition to providing other functions such as flood control and shipping [18,19]. Thus, in an effort to reduce the effects of hard revetments on waterways, some eco-friendly materials and techniques have been designed to emphasize stabilization of the bank slope and suitability for plant survival, as well as connections to the original natural aquatic environment, and to avoid changing the native ecosystem [20,21]. Many independent processes for bank slope ecological revetment design have been developed and applied in waterways, including geotextile bags [22,23], slope bio-management [24], gabions [25,26], and porous perforated bricks [27]. Notably, previous studies on ecological revetments have usually focused on bank stabilization rather than the role of porosity and suitability for plant survival [28]. These processes suffer from various operational problems more or less [29]. For instance, geotextile bags provide a suitable habitat for small herbage and are simple to use but are limited by impact strength, durability, and high costs. Gabion and porous perforated brick provide sufficient space for macrophyte survival and high strength, but they also have high capital and operational requirements.
To improve aquatic environmental quality and stabilize channels against soil erosion, we have continued to seek cost-effective and eco-friendly bank ecological revetment techniques. In this study, ecological revetments combining porous concrete and vegetation were utilized. A single grading crushed granite with a nominal diameter of 15–25 mm, cement with a strength grade of 325, fly ash, and a naphthalene formaldehyde water-reducing agent were used in the manufacture of the porous concrete, the typical mix proportions for porous concrete fabricated have been made available in recent years [30], then porous concrete mixture was prefabricated into spheres and laid on the bank slope for stability reinforcement and ecological restoration, to which terrestrial and aquatic microbes and plants can subsequently attach. After natural caring of the porous concrete standard samples for 28 d, the total opening porosity ratio was in the grange of 15–25%, and the compressive strength was not less than 10 MPa [31]. Compared with hard revetments, the greatest benefits of ecological slope revetments via porous concrete are their capacity to increase resistance over time, and that the plants used in these structures grow and spread over the ecological revetments, thus holding them in place. This process provides long-term protection of surface water bodies that is capable of self-regeneration and provides a faster method for habitat restoration and environmental improvement. In addition, porous concrete has also found increasing application in water purification, the indigenous microorganism attached on aggregate particles in porous concrete were believed to play important roles in pollutants removal [30,32,33]. With the dual goals of ecological water conservancy and water quality improvements, the application of porous concrete has received worldwide attention all over the word.
Over the years, the Huangpu River provides the major source of water for Shanghai, the largest city in China, however, the water quality of the Huangpu River have showed a decreasing trend of deterioration recently [30,31,34], and concentration values of CODMn, ammonia, and TP in the Huangpu River frequently exceeded 6.0, 1.0, and 0.2 mg/L, respectively, which were standard limited values of water quality grade III for potable water sources according to China Environmental Quality Standards for Surface Water (GB3838-2002) [35]. Therefore, a pre-treating drinking water had to be exerted on raw water from the Huangpu River aiming to guaranteeing drinking water safety. It was in this context, a proposal concerning water quality improvement and bank slope steady was put forward, and a reservoir with bank slope ecological revetments was employed to pretreated raw water from the Huangpu River. The main purpose of the study was to evaluate the purification effects of different types of bank slope revetments on water quality to improve the drinking water security and protection of water sources. Therefore, an experimental model was constructed in the vicinity of the Huangpu River, Shanghai, China in 2014, with operation beginning in 2015. In this study, the purification effects of ecological slope revetments and hard bank revetments on water quality were evaluated comprehensively using the experimental model set-up.

2. Materials and Methods

2.1. Experimental Set-Up

The experimental model set-up consisted of two equal-sized ring ditches (see in Figure 1). The ditch cross-section was trapezoidal to simulate the shape of natural rivers. Each ditch had a 4.0 m upper width, 1.0 m bottom width, and 0.8 m water depth, and was around 0.2 m below the surround ground level. The perimeter of the outer side of the ring ditch was 54.7 m, and the inner circumference was 29.5 m. Identical 1.0 kw propellers were installed in each ditch to simulate natural water flow. One of the ditches (Ditch A) was an experimental treatment embanked by special ecological techniques involving porous concrete and aquatic plants, whereas the other ditch (Ditch B) was used as a control group with a hard embankment made of conventional concrete without any aquatic plants.
The special ecological bank slope revetments for Ditch A (i.e., the experimental ditch) were constructed as follows: porous concrete spheres were prefabricated from porous concrete with a diameter of 250 mm. Two orthometric through-holes were provided in the interior of the sphere, and the spheres were linked by 12 mm galvanized steel cable run through the holes to anchor them on the slope embankments. Square spaces were naturally produced between adjacent spheres and were approximately 100 mm per side (see in Figure 2a). The typical open-void ratio and compressive strength of hardened porous concrete used in the bank slope revetment were approximately 20% and 12.7 MPa, respectively, and its water permeability coefficient was approximately 1.9 cm/s. Topsoil was packed into the square spaces of the bank slope revetment to improve plant growth during the initial experimental phase (see Figure 2b). For both water purification and landscape effects, plants with fibrous roots were grown on the slope revetments; Vallisneria nata, Typha orientalis Presl, Canna coccinea, Bermuda grass, and ryegrass were planted from the bottom to the top of the revetment, because their well-developed root systems allow them to survive and because they provide attractive scenery. The plant community structure from top to bottom consisted of the herbage zone, aquatic plant zone, and submerged plant zone. Plant communities in the special riverine ecosystem were primarily responsible for water quality improvement and ecological restoration, as biofilms developed over the broad surface, and the continuous internal pores further increased the stability of the revetment for ecological processes.

2.2. Experimental Conditions

The experimental set-up had been running for over 1 year for start-up and development of the special bank slope ecosystem. In that time, Ditch A developed a strong ecosystem, with many plants thriving on the ecological revetment (see in Figure 2c), and some small animals, such as crabs, frogs, and toads, were found in the spaces between the porous concrete spheres. Unlike Ditch A (experimental group), no reptiles or amphibians were attracted to the hard bank revetment of Ditch B (control group).
Raw water was pumped from the Huangpu River, and some pollution-related water quality descriptors are summarized in Table 1. When the water level in the two ditches reached 0.8 m, the pump was powered off automatically, and the water propellers started to circulate flow, which continuously recirculated through the two ditches at different speeds. The average flow rate in Ditch A was 0.23 m/s, lower than that in Ditch B because of the surface roughness of the ecological revetments, and the flow rate in Ditch B was approximately 0.39 m/s because of the smoothness of the hard slope revetment. Four experimental runs (n = 4) were conducted in the two ditches with different revetments in January, May, August, and November 2016. Each experimental run lasted 6 d. During the each run, the initial water samplings with three replicate were collected simultaneously from Ditch A and Ditch B in ten minutes after the water propellers both started to circulate flow, then three replicate water samples were daily collected from two ditches at the same time every day, and eventually, total 7 water samples were collected from one ditch during an experimental run. The monitored parameters included permanganate index (chemical oxygen demand of manganese, CODMn), ammonia, total nitrogen (TN), and total phosphorus (TP) in accordance with standard methods [36]. Additionally, dissolved oxygen (DO) and water temperature were synchronously measured on site by a DO analyzer (JPB-607A, Inesa Analytical Instrument Co., LTD, Shanghai, China). An experimental run terminated at the 6th day, to drain water off, maintain ecological revetments, and make preparations for the next experimental run.
Unlike the traditional hard bank slope revetments of normal concrete, the connections between surface water and the surrounding natural aquatic environment were greatly highlighted by the ecological bank slope revetments. Compared to the initial water level of 0.8 m in both the ditches of each experimental run, the water levels in experimental group (Ditch A) at the hydraulic retention time (HRT) of 6 d was around 0.65 m owing to evaporation and seepage processes, while the water level in control group (Ditch B) reduced to 0.75 m with an HRT of 6 d because of relatively a little evaporation.

2.3. Data Analysis

Based on the concentration removal rate and HRT, the purification effects of different slope revetments and ambient operational conditions were compared. The pollutant removal efficiency was determined using the average influent and effluent concentrations of the major water quality parameters listed above, from which the removal efficiency (RE, %) can be calculated using the following equation:
R E = ( C 0 C ) C 0 × 100 %
Similar to the continuous stirred-tank reactor flow pattern, the first-order kernel model (K-C) was also employed to evaluate the purification effects of different types of slope revetments in the model ditches using the following formulas:
d C d t = k   C
C = C 0 e ( k · t )
k =   1 t ln C C 0  
where, C = the concentration at time t (mg/L); C 0 = the initial concentration in raw water (mg/L), k = the removal rate constant (d−1), and t = the hydraulic retention time (d).
These formulas imply that the microecological and biochemical processes in model ditches were synchronous, and thus pollutant removal depended primarily on kt and tHRT. The coefficient of determination (R2) was used to measure the difference between the values predicted by the model and observed values and was calculated using Office Excel (Office 2010, Microsoft (China) Co., LTD, Beijing, China). The values obtained ranged from 0 to 1, with an R2 value near 1 corresponding to a close match.
Generally, k in the above formulas is considered a constant, with the exception of possible seasonal effects. These effects are often described by a modified Arrhenius temperature dependence of the rate constant [37]:
k T = k 20 θ ( t 20 )
ln k T = ln k 20 + ( T 10 ) ln θ
where, k T = the removal rate constant at T (°C); k 20 = the removal rate constant at 20 °C; T = temperature (°C); θ = non-dimensional temperature coefficient.

3. Results and Discussions

3.1. Purification Effects of Different Bank Slope Revetments

The CODMn, ammonia, TN, and TP concentrations and removal efficiencies of different HRTs in the four experimental runs are summarized in Table 2. The influence of bank slope revetments on pollutant removal can be observed clearly, and the ecological slope revetments led to better performance than that of the hardened slope revetments. The average removal efficiencies of CODMn, ammonia, TN, and TP in Ditch A under different ambient conditions were 12.7%, 62.6%, 39.8%, and 58.5%, respectively, with an HRT of 2 d. On the other hand, the average removal efficiencies of CODMn, ammonia, TN, and TP in the control Ditch B were 6.1%, 16.8%, 13.8%, and 38.6%, respectively. The highest removal efficiencies over the entire experimental run were observed for ammonia and TP in both ditches. The main difference in pollutant removal between Ditch A and Ditch B is in the means of pollutant removal with ambient temperature and climatic factors, and those factors had only small influences in Ditch B because of the absence of ecological interactions. Compared with the average pollutant removal rates obtained from Ditch B with hardened slope revetments, those obtained from Ditch A with ecological slope revetments were higher by 6.6% for CODMn, 45.8% for ammonia, 26.0% for TN, and 19.9% for TP, with an HRT of 2 d. Thus, the overall average pollutant removal rate in Ditch A was approximately twice as great as that in Ditch B. The increase in HRT from 1 to 6 d led to significant increases in the average removal efficiencies, which were 25.5% for CODMn, 87.7% for ammonia, 68.5% for TN, and 79.0% for TP in Ditch A, but there was no obvious effect on pollutant removal in Ditch B.

3.2. Differences in Water Purification Effects Due to Operational Conditions

The concentrations and removal efficiencies of CODMn, ammonia, TN, and TP during four experimental runs under different operational conditions are shown in Table 2. During all experimental runs, the removal rates for CODMn, ammonia, TN, and TP in Ditch A were much higher than those in Ditch B. The removal efficiencies for ammonia, TN, and TP in Ditch A were highest, while the CODMn removal efficiency was lowest in both ditches. When the HRT in Ditch A increased to 6 d, the highest removal efficiencies for ammonia, TN, and TP observed in May and August were 95%, 89%, and 90%, respectively, whereas the highest CODMn removal efficiency was approximately 30%, measured during the August experimental run.
As shown in Table 2, it was apparent that both ambient operational conditions and bank slope revetments had important influences on water purification in Ditch A. Compared with the removal rate of Ditch A in winter (January experimental run), the removal rates during the next two experimental runs (May and August) were significantly greater. With the increase in HRT from 1 to 6 d under the same hydraulic conditions in May and August, the initial removal rate increased rapidly. The increase in HRT from 3 to 6 d led to sustainable increases in the removal efficiencies of ammonia, TN, and TP, and maximum removal efficiencies of 95% for ammonia, 89% for TN, and 90% for TP were achieved in Ditch A. In general, suitable climatic conditions from May to November boosted plant growth and biological diversity on the ecological slope revetment, which played a vital role in pollutant removal in Ditch A. Nutrient pollutants, including ammonia, TN, and TP, were effectively removed at shorter HRTs of 1 to 3 d in the experimental runs in May, August, and November, wherein the average removal efficiencies of ammonia, TN, and TP were 80%, 76%, and 77%, respectively. Adsorption due to biochemical reactions in the microenvironment always plays a powerful role in the removal of nutrient pollutants, and the increase in HRT from 3 to 6 d led to a sustainable increase in the removal efficiencies of nutrient pollutants. Porous concrete has a high porosity that is quite similar to that of the soil surface, with grid structures and small open pores, which provided the ecological slope revetment with a large surface area that could support the survival of plants and microorganisms. Its use in ecological bank slope revetment construction allowed these treatments to adsorb suspended solids well and to contain some alkaline substances, such as cement and lime, which greatly increased N and P removal. Plants and microorganisms that grow attached to the revetment have strong ammonia and nutrient pollutant purification abilities. Unlike the removal of nutrient pollutants, under the same operational conditions, the average CODMn removal efficiencies in Ditch A were 22% with an HRT of 3 d and 28% with an HRT of 6 d, respectively. These removal rates were much higher than those in Ditch B, but somewhat lower than those for ammonia, TN, and TP. Little influence of ambient conditions on CODMn removal in Ditch A was observed during the same experimental runs. Some references [31,34] have found that small molecules dominated the total dissolved organic matter (DOM) in the Huangpu River, with pesticides, herbicides, and phytohormones detected at high levels, and these small compounds contributed more than 55% of the dissolved organic pollutants in raw water from the Huangpu River. In general, the absorption process and biochemical reactions on ecological revetments were insufficient to remove these small organic compounds [38] and thus led to a lower CODMn removal rate than that for nutrient pollutants in the same experimental runs.
For Ditch A, which had ecological slope revetments, as is the case in constructed wetlands used for water treatment, the plants created an environment that is conducive to nitrification, denitrification, and microbial polyphosphate activity, which significantly improved the removal of pollutants in Ditch A. However, it is worth noting that plant growth exhibited dramatic seasonal changes. The pollutant concentration removal rates during the experimental run in January were lower than those during other experimental runs. The maximum removal efficiencies of CODMn, ammonia, TN, and TP with an HRT of 6 d were 18%, 75%, 42%, and 57%, respectively. In January (typical winter), the ambient temperature in Shanghai was always below 5 °C, and most plants on the ecological slope revetments withered and died, but plant roots were firmly attached to the ecological revetment, which can significantly promote the absorption and degradation of organic matter and nutrient pollutants, as most water quality improvement is undertaken on porous concrete by attached bacteria. In the absence of plants and with low microbial activities due to low temperature in the special revetment ecosystem, the removal efficiency of pollutants was reduced, even though the pollutant removal rates in Ditch A were much greater than those in Ditch B with hard slope revetments.
Compared with the removal rate in Ditch A, which had ecological slope revetments, the removal rate in Ditch B was significantly lower due to the hardened slope revetment. The average pollutant concentration removal efficiencies for CODMn, ammonia, TN, and TP with an HRT of 6 d were 9.6%, 37.1%, 28.5%, and 54.2%, respectively, much lower than those in Ditch A under the same operational conditions. During all experimental runs, the ambient conditions and HRTs had a minor influence on pollutant removal in Ditch B. When the HRT increased from 1 to 6 d under the same experimental conditions, the concentration removal rate initially increased within 3 d and subsequently remained relatively stable for the rest of the experiment, with no apparent difference in pollutant removal among the four experimental runs in January, May, August, and November. Due to the high initial TN and TP concentrations of raw water and low removal efficiencies in Ditch B, floating algae grew rapidly from 3 to 6 d, and the maximum density of phytoplankton reached 1.59 × 106 cells/L, leading to a slight increase in the concentration of CODMn with an HRT of 6 d, rather than a decrease. When the HRT was short, the water flow rate was relatively high, and the impact on water purification in Ditch B was significant. In this situation, ammonia and TP had been previously absorbed by an alkaline substance leached from the concrete slope revetment. Over a long HRT, these previously absorbed N, P, organic matter, and other substances were re-released into the water, causing a phytoplankton bloom that greatly reduced the purification ability of Ditch B, resulting in decreased treatment efficiency.

3.3. First-Order Modeling Analysis of Water Purification Effects

In this study, a first-order decay model was applied to determine the decay rate constant (k) based on the decay results of major water quality indicators from these two simulated ditches. Table 3 shows the values of the reaction coefficients k for CODMn, ammonia, TN, and TP during different experimental runs, as well as the coefficient of determination (R2) for the assessment of goodness of fit. According to Table 3, this approach provided good accuracy for matching experimental and predicted CODMn, ammonia, TN, and TP in the two model ditches.
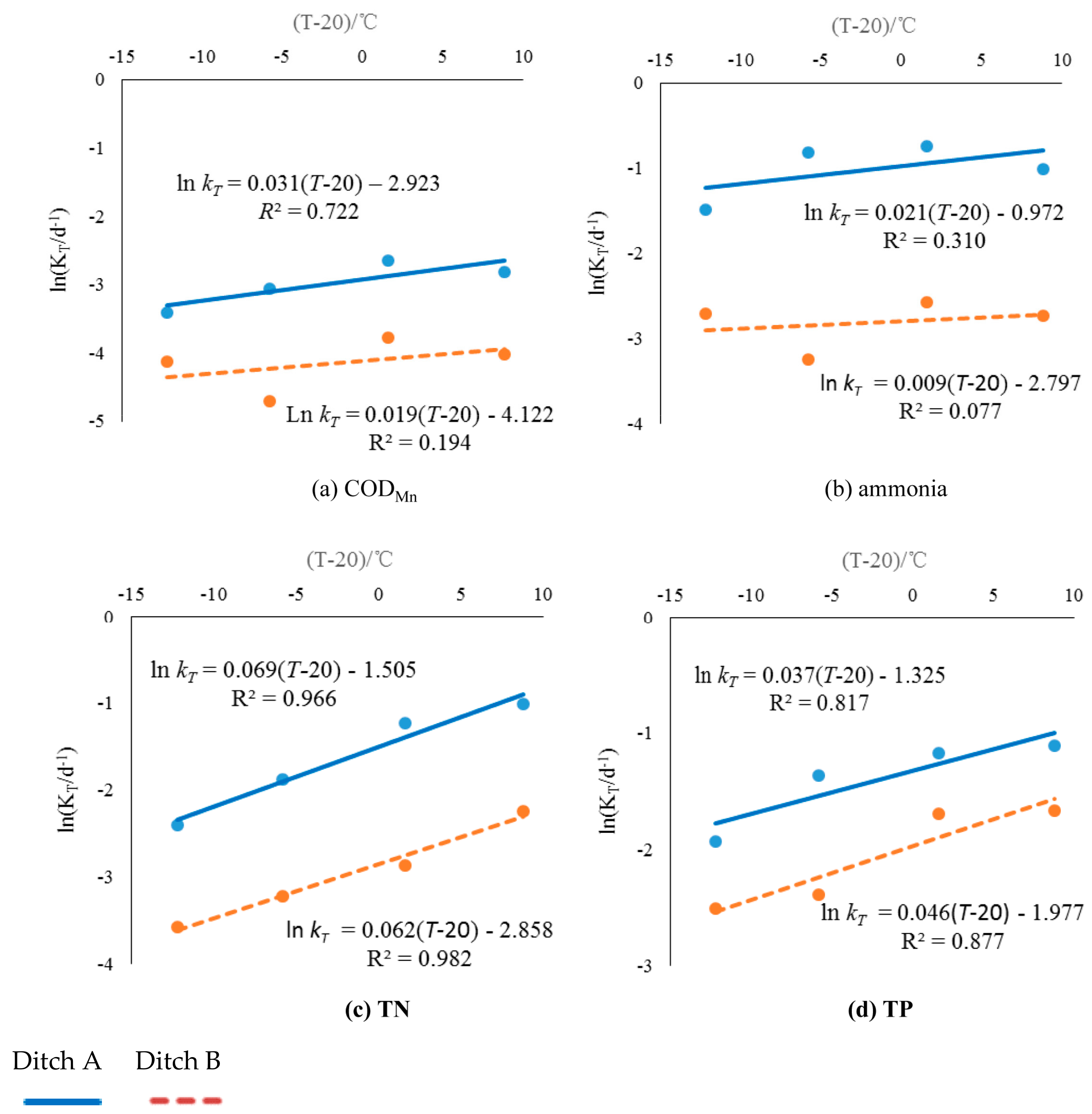
To facilitate comparison of the reaction rates under different ambient conditions for Ditch A and Ditch B, the daily reaction rate (k) in this study was converted to the reaction rate (k20), which is presented in Figure 3 and Table 4. The calculated k20 and θ values for Ditch A with ecological bank slope revetments were 0.054 d−1 and 1.031 for CODMn, 0.378 d−1 and 1.011 for ammonia, 0.222 d−1 and 1.071 for TN, 0.266 d−1 and 1.038 for TP, respectively, and the results were quite similar to the value ranges observed in constructed wetlands [39]. The k20 medians (ranges) for the constructed wetlands were 0.154 (0–0.822) for TP and 0.184 (0.034–0.985) for TN, while the θ values were 1.006 (0.852–1.086) for TP and 1.056 (0.953–1.130) for TN [40,41]. The coefficients of determination (R2) for the Ditch A modified Arrhenius equations were 0.722 for CODMn, 0.310 for ammonia, 0.966 for TN, and 0.817 for TP. In comparison, the calculated k20 and R2 for Ditch B with hard bank slope revetments were 0.016 d−1 and 0.194 for CODMn, 0.061 d−1 and 0.077 for ammonia, 0.057 d−1 and 0.982 for TN, and 0.138 d−1 and 0.877 for TP, respectively, all of which were much lower than those for Ditch A, suggesting that ecological revetments significantly improved water quality via N, P, and organic matter removal. While the θ values for Ditch B were close to those for Ditch A, both the k20 and θ fell within the ranges of the constructed wetlands values. Therefore, all regression assumptions of the first-order kernel model (K-C) were satisfied, in particular those that facilitate TN and TP removal in the two model ditches.
The modified Arrhenius relationship (Equations (5) and (6)) was typically used to adjust the removal rate coefficient for temperature effects on pollutant removals, and the relationships between removal reaction rate (kT) and water temperature was shown in Figure 3. The θ value in the modified Arrhenius equation indicates sensitivity of the reaction rate constant to changes in temperature.
Obviously, pollutants removals had different temperature dependence in two model ditches with different bank slope revetments. Water temperature had more significantly effects on TN and TP removal reaction rates with higher coefficients of determination than those of CODMn and ammonia, and Ditch A had higher θ values for CODMn, ammonia, and TN, but not for TP. Therefore, the CODMn, ammonia, and TN reaction rates (k) of Ditch A were more sensitive to temperature variation than were those of Ditch B. The θ values and coefficients of determination (R2) for ammonia in the two ditches were low, but the k20 value in Ditch A was much greater than that in Ditch B, which may illustrate that the special ecological revetments were effective for ammonia removal, with a minor temperature influence as evidenced by seasonal shifts. Large values of k20 and θ for TP in both ditches indicate that an alkaline substance leached from concrete was involved in P removal, and that seasonality and temperature were critical factors controlling the performance of the ecological revetments.
During all the experimental runs, the DO were measured in both ditches with average concentration values of more than 6.0 mg/L owing to continuous oxygenation of water propellers. For processes requiring oxygen, such as part organic matter reduction and nitrification, there was an implied subsidy, the removal of CODMn and ammonia was a little insensitive to temperature with season. In addition, the porous concrete and soils were capable of absorbing both cations (such as ammonium and metal) and anions (such as phosphate) [39], therefore, the larger values of kT for pollutant removal were obtained easily in Ditch A than that in Ditch B. Nitrogen retention by an experimental ditch was regulated by nitrogen microbial reactions and plant uptake. Generally, mineralization of organic nitrogen (ammonification), nitrification, and denitrification were more sensitive to temperature [39,40,41]. Nitrogen uptake by vegetation was a maximum during peak growing season, followed by decrease in the fall, even cessation in winter. Therefore, a large slope of relationship line was obtained for TN removal, and similar responses for TN removal were also observed in constructed wetlands and hydroponic vegetable filter bed [41,42]. Phosphorus removal in the experimental ditches was regulated by physical (sedimentation and entrainment) and biological processes (uptake by vegetation, periphyton, and microorganisms), and the slope of the line was second only to that of the TN.

4. Conclusions

The ecological bank slope revetments combined porous concrete and vegetation methods to improve surface water quality, and they displayed high removal efficiencies for nutrients and organic pollutants. In our model ditch experimental set-up, with an HRT of 2 d, the overall average removal efficiencies of CODMn, ammonia, TN, and TP in the ditch with ecological bank revetments were 12.5%, 62.6%, 39.8%, and 58.5%, respectively. Increasing HRT from 1 to 6 d led to an increase in the average removal efficiencies to 25.5% for CODMn, 87.7% for ammonia, 68.5% for TN, and 79.0% for TP. The pollutant removal rates in the ecological bank revetment ditch were 2–4-fold higher than those in the ditch with hard slope revetments under the same operational conditions. The nutrient pollutants ammonia, TN, and TP were removed more effectively than was CODMn in the experimental ditch with ecological slope revetments. The dependence of the first-order rate constant (k20) and temperature coefficient ( θ ) obtained from the Arrhenius equation illustrated that the removal efficiencies for ammonia, TN, and TP increased with the rate constant (k20). For the ditch with ecological revetments, the k20 and θ values were 0.054 and 1.031 for CODMn, 0.378 and 1.021 for ammonia, 0.222 and 1.071 for TN, and 0.266 and 1.038 for TP, respectively, all of which were greater than those observed in the ditch with hard revetments, but there was no significant difference in θ values between the two ditches. The k20 values of TN and TP in the two ditches showed a significant positive correlation with seasonal changes, as pollutant removal is highly sensitive to water temperature changes. The θ values of CODMn and ammonia in the hard slope revetment ditch were 1.019 and 1.009, respectively, suggesting that there was no difference in CODMn and ammonia removal between seasons, and the removal efficiencies were generally quite low. Therefore, the type of revetments installed in a surface water body has a strong effect on pollutant removal. The compound ecological bank revetment consisting of porous concrete and vegetation is a promising alternative for environmental water quality improvement in developing regions.

Acknowledgments

This study was financially supported by Natural Science Foundation of Jiangsu, China (BK20161146) and National Science-technology Support Plan Projects of China (2015BAL01B01).

Author Contributions

Yifeng Wu conceived and designed the experiments; Yifeng Wu and Hongliang Dai performed the experiments and analyzed the data; Jianyong Wu provided data support; Yifeng Wu, Hongliang Dai, and Jianyong Wu contributed reagents/materials/analysis tools; Yifeng Wu wrote the paper.

Conflicts of Interest

The authors declare no conflict of interest.

References

  1. Ministry of Environmental Protection of China. 2015 Report on the State of the Environmental in China; China Environmental Press: Beijing, China, 2016.
  2. Mysak, J.; Horsak, M. Floodplain corridor and slope effects on land mollusc distribution patterns in a riverine valley. Acta Oecol. 2011, 37, 146–154. [Google Scholar] [CrossRef]
  3. Liu, C.; Fan, C.; Shen, Q.; Shao, S.; Zhang, L.; Zhou, Q. Effects of riverine suspended particulate matter on post-dredging metal re-contamination across the sediment-water interface. Chemosphere 2016, 144, 2329–2335. [Google Scholar] [CrossRef] [PubMed]
  4. Sanskrityayn, A.; Suk, H.; Kumar, N. Analytical solutions for solute transport in groundwater and riverine flow using Green’s Function Method and pertinent coordinate transformation method. J. Hydrol. 2017, 517–533. [Google Scholar] [CrossRef]
  5. Sanjaya, K.; Asaeda, T. Assessing the performance of a riparian vegetation model in a river with a low slope and fine sediment. Environ. Technol. 2017, 38, 517–528. [Google Scholar] [CrossRef] [PubMed]
  6. Erwin, S.; Schmidt, J.; Allred, T. Post-Project geomorphic assessment of a large process-based river restoration project. Geomorphology 2016, 45–158. [Google Scholar] [CrossRef]
  7. Chin, A.; Gregory, K. Managing urban river channel adjustments. Geomorphology 2005, 69, 28–45. [Google Scholar] [CrossRef]
  8. Schiemer, F. Building an eco-hydrological framework for the management of large river systems. Ecohydrol. Hydrobiol. 2016, 16, 19–25. [Google Scholar] [CrossRef]
  9. Yang, S.; Millian, J.; Xu, K.; Deng, B.; Zhang, X.; Luo, X. Downstream sedimentary and geomorphic impacts of the Three Gorges Dam on the Yangtze River. Earth Sci. Rev. 2014, 138, 469–486. [Google Scholar] [CrossRef]
  10. Nakayama, T. New perspective for eco-hydrology model to constrain missing role of inland waters on boundless biogeochemical cycle in terrestrial-aquatic continuum. Ecohydrol. Hydrobiol. 2016, 16, 138–148. [Google Scholar] [CrossRef]
  11. Parry, L.; Chapman, P.; Palmer, S.; Wallage, Z.; Wynne, H.; Holden, J. The influence of slope and peatland vegetation type on riverine dissolved organic carbon and water colour at different scales. Sci. Total Environ. 2015, 527–528, 530–539. [Google Scholar] [CrossRef] [PubMed]
  12. Chou, J. Achieving successful river restoration in dense urban areas: Lessons from Taiwan. Sustainability 2016, 8, 1159. [Google Scholar] [CrossRef]
  13. Heibaum, M. Geosynthetics for waterways and flood protection structures—Controlling the interaction of water and soil. Geotext. Geomembr. 2014, 42, 374–393. [Google Scholar] [CrossRef]
  14. Nordstrom, K. Living with shore protection structures: A review. Estuar. Coast. Shelf Sci. 2014, 150, 11–23. [Google Scholar] [CrossRef]
  15. Oda, T.; Nakajima, S.; Sugiharu, T. Relationships between water quality, morphological factors in river basins, the diversity index and the biotic index. Environ. Technol. 1991, 12, 1147–1195. [Google Scholar] [CrossRef]
  16. Wang, L.; Ye, X.; Du, X. Suitability evaluation of river bank filtration along the Second Songhua River, China. Water 2016, 8, 176. [Google Scholar] [CrossRef]
  17. Swanson, S.; Kozlowski, D.; Hall, R.; Heggem, D.; Lin, J. Riparian proper functioning condition assessment to improve watershed management for water quality. J. Soil Water Conserv. 2017, 72, 168–182. [Google Scholar] [CrossRef]
  18. Li, Y.; Simunek, J.; Zhang, Z.; Huang, M.; Ni, L.; Zhu, L.; Hua, J.; Chen, Y. Water flow and nitrate transport through a lakeshore with different revetment materials. J. Hydrol. 2015, 520, 123–133. [Google Scholar] [CrossRef]
  19. Chen, J.; Ho, L. Changes in the streambank landscape and vegetation recovery on a stone revetment using the image spectrum: Case study of the Nan-Shi-Ken stream, Taiwan. Ecol. Eng. 2013, 61, 482–485. [Google Scholar] [CrossRef]
  20. Hu, Y.; Peng, J.; Yuan, S.; Yuan, S.; Shu, X.; Jiang, S.; Pu, Q.; Ma, K.; Yuan, C.; Chen, G.; et al. Influence of ecological restoration on vegetation and soil microbiological properties in Alpine-cold semi-humid desertified land. Ecol. Eng. 2016, 94, 88–94. [Google Scholar] [CrossRef]
  21. Soar, P.; Wallerstein, N.; Throne, C. Quantifying river channel stability at the basin scale. Water 2017, 9, 133. [Google Scholar] [CrossRef]
  22. Oberhagmann, K.; Hossain, M. Geotextile bag revetments for large rivers in Bangladesh. Geotext. Geomembr. 2011, 29, 402–414. [Google Scholar] [CrossRef]
  23. Everaert, G.; Pauwels, I.; Boets, P.; Verdium, E.; Haye, M.; Blom, C.; Goethals, P. Model-based evaluation of ecological bank design and management in the scope of the European Water Framework Directive. Ecol. Eng. 2013, 53, 144–152. [Google Scholar] [CrossRef]
  24. Schwab, A.; Kiehl, K. Analysis of soil seed bank patterns in an oxbow system of a disconnected floodplain. Ecol. Eng. 2017, 100, 46–55. [Google Scholar] [CrossRef]
  25. Thompson, D.; Puklin, L.; Marshall, A. The long-term impact of channel stabilization using gabion structures on Zealand River, New Hampshire. Ecol. Eng. 2016, 95, 779–792. [Google Scholar] [CrossRef]
  26. Beikircher, B.; Florin, F.; Mayr, S. Restoration of rocky slopes based on planted gabions and use of droughTPreconditioned woody species. Ecol. Eng. 2010, 36, 421–426. [Google Scholar] [CrossRef]
  27. Yao, S.; Yue, H.; Li, L. Analysis on Current Situation and Development Trend of Ecological Revetment Works in Middle and Lower Reaches of Yangtze River. Procedia Eng. 2012, 28, 307–313. [Google Scholar]
  28. Im, D.; Kang, H. Two-dimensional physical habitat modeling of effects of habitat structures on urban stream restoration. Water Sci. Eng. 2011, 4, 386–395. [Google Scholar]
  29. Huang, Y.; Zhu, C.; Wu, Y.; Jin, Q. Dynamic comprehensive evaluation and scheme optimization of ecological revetment. China Rural Water Hydropower 2016, 4, 69–73. [Google Scholar]
  30. Wu, Y.; Lu, X.; Jia, Y.; Shi, J. Water quality improvements and community characteristics in simulated rivers using porous concrete embankments. Sustain. Environ. Res. 2010, 20, 317–323. [Google Scholar]
  31. Wu, Y.; Lu, X. Theory Research and Practice of River Bank Special Ecosystem Construction via Porous Concrete and Botanic Measure; China Water & Power Press: Beijing, China, 2016; Volume 12, pp. 55–78. [Google Scholar]
  32. Long, Y.; Bing, Y.; Zhang, Z.; Cui, K.; Pan, X.; Yan, X.; Li, B.; Xie, S.; Guo, Q. Influence of plantation on microbial community in porous concrete treating polluted surface water. Int. Biodeterior. Biodegrad. 2017, 117, 8–13. [Google Scholar] [CrossRef]
  33. Park, B.; Tia, M. An experimental study on the water-purification properties of porous concrete. Cem. Concr. Res. 2004, 34, 177–184. [Google Scholar] [CrossRef]
  34. Wu, Y.; Zhu, G.; Lu, X. Characteristics of DOM and removal of DBPs precursors across O3-BAC integrated treatment for the micro-polluted raw water of the Huangpu River. Water 2013, 5, 1472–1486. [Google Scholar] [CrossRef]
  35. Ministry of Environmental Protection of China. Environmental Quality Standards for Surface Water, GB3838-2002; Ministry of Environmental Protection of China: Beijing, China, 2002.
  36. American Public Health Association. Standard Methods for the Examination of Water and Wastewater; American Water Works Association and Water Environment Federation: Washington, DC, USA, 2012. [Google Scholar]
  37. Marimon, Z.; Xuan, Z.; Chang, N. System dynamics modeling with sensitivity analysis for floating treatment wetlands in a storm wet pond. Ecol. Model. 2013, 267, 66–79. [Google Scholar] [CrossRef]
  38. Wu, Y.; Lu, X. Characteristics and constituent of dissolved organics in drinking water advanced treatment process. CIESC J. 2011, 62, 805–810. [Google Scholar]
  39. Wang, C.; Sample, D. Assessment of the nutrient removal effectiveness of floating treatment wetlands applied to urban retention ponds. J. Environ. Manag. 2014, 137, 23–35. [Google Scholar] [CrossRef] [PubMed]
  40. Kadlec, R.; Reddy, K. Temperature effects in treatment wetlands. Water Environ. Res. 2001, 73, 543–557. [Google Scholar] [CrossRef] [PubMed]
  41. Saeed, T.; Sun, G. Kinetic modelling of nitrogen and organics removal in vertical and horizontal flow wetlands. Water Res. 2011, 45, 3137–3152. [Google Scholar] [CrossRef] [PubMed]
  42. Yin, Z.; Wu, Y.; Lu, X. Simulation of nitrogen and phosphorous removal in hydroponic vegetable filter bed on first-order kinetics model. J. Southeast Univ. Nat. Sci. Ed. 2016, 46, 812–817. [Google Scholar]
Figure 1. Flow chart and structure of modeling experimental setup. Arrow indicates water flow direction. The cross section of ditch is in the dotted box (unit: mm). 1, water pumps; 2, water propellers; 3, experimental group (Ditch A); 4, control group (Ditch B).
Figure 1. Flow chart and structure of modeling experimental setup. Arrow indicates water flow direction. The cross section of ditch is in the dotted box (unit: mm). 1, water pumps; 2, water propellers; 3, experimental group (Ditch A); 4, control group (Ditch B).
Water 09 00636 g001
Figure 2. The prefabricated sphere of porous concrete and aquatic plant involved in bank slope ecological revetments for Ditch A. (a) porous concrete pavement (b) backfilling soil (c) planting cultivation.
Figure 2. The prefabricated sphere of porous concrete and aquatic plant involved in bank slope ecological revetments for Ditch A. (a) porous concrete pavement (b) backfilling soil (c) planting cultivation.
Water 09 00636 g002
Figure 3. The relationship between k and temperature.
Figure 3. The relationship between k and temperature.
Water 09 00636 g003
Table 1. Raw water quality of Huangpu River during operation.
Table 1. Raw water quality of Huangpu River during operation.
ParameterspHCODMn (mg L−1)Ammonia (mg L−1)TN (mg L−1)TP (mg L−1)
Mean7.606.531.125.120.169
Range7.41–7.825.86–7.080.22–1.243.73–6.720.142–0.228
standard deviation0.1530.1530.4340.6410.0014
Table 2. Purification effects of the ecological slope revetment in different experimental runs.
Table 2. Purification effects of the ecological slope revetment in different experimental runs.
Experimental Run StartWater Sample at Different HRTsCODMnAmmoniaTNTP
Ditch ADitch BDitch ADitch BDitch ADitch BDitch ADitch B
Concentration (mg L−1)Removal Rate (%)Concentration (mg L−1)Removal Rate (%)Concentration (mg L−1)Removal Rate (%)Concentration (mg L−1)Removal Rate (%)Concentration (mg L−1)Removal Rate (%)Concentration (mg L−1)Removal Rate (%)Concentration (mg L−1)Removal Rate (%)Concentration (mg L−1)Removal Rate (%)
21 January0 dInitial concentration: 6.37 mg/LInitial concentration: 2.004 mg/LInitial concentration: 6.086 mg/LInitial concentration: 0.143 mg/L
1 d6.1636.3211.539231.774115.407115.75850.109240.12314
2 d5.68116.0851.320341.621195.017185.429110.080440.10824
3 d5.52136.0061.123441.566224.537255.331120.071500.09434
4 d5.44155.8980.926541.511254.184315.243140.061570.08938
5 d5.28175.9660.631691.402303.842375.139160.059590.09236
6 d5.24185.76100.499751.287363.505425.121160.061570.08739
5 May0 dInitial concentration: 6.46 mg/LInitial concentration: 1.161 mg/LInitial concentration: 5.550 mg/LInitial concentration: 0.184 mg/L
1 d6.0276.3220.472591.046104.083265.52800.055700.08653
2 d5.56146.0170.160860.974163.142435.14570.049730.07161
3 d5.18205.9280.127890.935192.814495.05790.033820.06863
4 d4.44315.77110.078930.916211.773684.379210.028850.05570
5 d4.26345.67120.066940.794321.369754.302220.025860.05670
6 d4.52305.66120.063950.698400.931834.072270.021890.04874
17 August0 dInitial concentration: 5.76 mg/LInitial concentration: 0.603 mg/LInitial concentration: 3.569 mg/LInitial concentration: 0.278 mg/L
1 d5.2695.6810.286530.531121.960452.956170.102630.14448
2 d4.88155.3670.218640.469221.249652.868200.091670.12356
3 d4.16285.18100.165730.448260.756792.343340.082710.10662
4 d4.26265.08120.108820.426290.68812.212380.068760.09865
5 d4.16285.14110.068890.408320.439882.069420.039860.08271
6 d4.03305.2880.066890.406330.395891.829490.027900.07573
15 November0 dInitial concentration: 5.87 mg/LInitial concentration: 1.232 mg/LInitial concentration: 4.937 mg/LInitial concentration: 0.172 mg/L
1 d5.4085.6050.685441.15073.707254.324120.149130.1607
2 d5.24115.5260.417661.112103.302334.074170.087490.15013
3 d4.92165.4670.308751.101112.809433.762240.068600.13223
4 d4.56225.5360.122901.074132.228553.849220.068600.12627
5 d4.52235.5650.111910.992192.078583.735240.051700.11135
6 d4.48245.480.098920.953232.002593.804230.035800.09942
Table 3. The values of k and R2 obtained from the first-order kernel model (the mean water temperature was calculated from a daily water temperature sample collected from each experimental run).
Table 3. The values of k and R2 obtained from the first-order kernel model (the mean water temperature was calculated from a daily water temperature sample collected from each experimental run).
DateMean Water Temperature/°CParameterDitch ADitch B
CODMnAmmoniaTNTPCODMnAmmoniaTNTP
21–27 January7.8k /d−10.0330.2250.0900.1450.0160.0670.0280.081
R20.9200.9810.9980.8560.9070.9680.8880.864
5–11 May21.6k /d−10.0710.4780.2900.3090.0230.0760.0570.184
R20.9010.8770.9850.8220.9420.9500.9450.779
17–23 August28.8k /d−10.0600.3650.3640.3290.0180.0650.1060.189
R20.8680.9640.9590.9080.6500.9010.9720.860
15–21 November14.2k /d−10.0470.4450.1520.2560.0090.0390.0400.092
R20.9410.9550.9560.9570.5800.9550.7370.988
Table 4. Values of k20 and θ obtained from the Arrhenius equation.
Table 4. Values of k20 and θ obtained from the Arrhenius equation.
ParametersDitch ADitch B
CODMnAmmoniaTNTPCODMnAmmoniaTNTP
k20/d−10.0540.3780.2220.2660.0160.0610.0570.138
θ 1.0311.0211.0711.0381.0191.0091.0641.047
R20.7220.3100.9820.8170.1940.0770.9820.877

Share and Cite

MDPI and ACS Style

Wu, Y.; Dai, H.; Wu, J. Comparative Study on Influences of Bank Slope Ecological Revetments on Water Quality Purification Pretreating Low-Polluted Waters. Water 2017, 9, 636. https://doi.org/10.3390/w9090636

AMA Style

Wu Y, Dai H, Wu J. Comparative Study on Influences of Bank Slope Ecological Revetments on Water Quality Purification Pretreating Low-Polluted Waters. Water. 2017; 9(9):636. https://doi.org/10.3390/w9090636

Chicago/Turabian Style

Wu, Yifeng, Hongliang Dai, and Jianyong Wu. 2017. "Comparative Study on Influences of Bank Slope Ecological Revetments on Water Quality Purification Pretreating Low-Polluted Waters" Water 9, no. 9: 636. https://doi.org/10.3390/w9090636

APA Style

Wu, Y., Dai, H., & Wu, J. (2017). Comparative Study on Influences of Bank Slope Ecological Revetments on Water Quality Purification Pretreating Low-Polluted Waters. Water, 9(9), 636. https://doi.org/10.3390/w9090636

Note that from the first issue of 2016, this journal uses article numbers instead of page numbers. See further details here.

Article Metrics

Back to TopTop