Assessment of the Impact of Climate Change on Drought Characteristics in the Hwanghae Plain, North Korea Using Time Series SPI and SPEI: 1981–2100
Abstract
1. Introduction
2. Materials and Methods
2.1. Downscaled Climate Data in Study Area
2.2. Assessment of Drought Condition Using the SPI and SPEI
2.2.1. Calculation of the Standardized Precipitation Index (SPI)
2.2.2. Calculation of Standardized Precipitation Evapotranspiration Index (SPEI)
2.3. Analysis of Severity, Duration, and Intensity of Time Series SPI and SPEI Using Runs Theory
3. Results
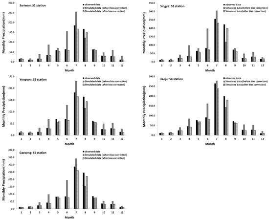
3.1. Downscaled Climate Data under RCP 4.5 Scenario Using the Monthly Bias Correction
3.2. Estimation of Multiple Timescale SPI and SPEI for 1981–2100
3.3. Analysis of Seasonal SPI and SPEI
3.4. Analysis of Non-Exceedance Probability and Return Period of Seasonal SPI and SPEI
3.5. Assessment of Drought Severity, Duration, and Intensity through Applying Time Series SPI and SPEI
4. Conclusions
Acknowledgments
Author Contributions
Conflicts of Interest
References
- United Nation Development Programme (UNDP). Reducing Disaster Risk: A Challenge for Development; United Nation Development Programme: Geneva, Switzerland, 2004. [Google Scholar]
- Food and Agriculture Organization/World Food Programme (FAO/WFP). Special Report, FAO/WFP Crop and Food Supply Assessment Mission to the Democratic People’s Republic of Korea; Food and Agriculture Organization/World Food Programme: Rome, Italy, 2001. [Google Scholar]
- Schewe, J.; Heinke, J.; Gerten, D.; Haddeland, I.; Arnell, N.W.; Clark, D.B.; Dankers, R.; Eisner, S.; Fekete, B.M.; Colón-González, F.J.; et al. Multimodel assessment of water scarcity under climate change. Proc. Natl. Acad. Sci. USA 2014, 111, 3245–3250. [Google Scholar] [CrossRef] [PubMed]
- Jang, M.W.; Yoo, S.H.; Choi, J.Y. Analysis of Spring Drought Using NOAA/AVHRR NDVI for North Korea. J. Korean Soc. Agric. Eng. 2007, 49, 21–33. (In Korean) [Google Scholar] [CrossRef]
- Nam, W.H.; Yoo, S.H.; Jang, M.W.; Choi, J.Y. Application of meteorological drought indices for North Korea. J. Korean Soc. Agric. Eng. 2008, 50, 3–15. (In Korean) [Google Scholar] [CrossRef]
- Yoo, S.H.; Nam, W.H.; Jang, M.W.; Choi, J.Y. Assessment and Classification of Meteorological Drought Severity in North Korea. J. Korean Soc. Agric. Eng. 2008, 50, 3–15. [Google Scholar] [CrossRef]
- Intergovernmental Panel on Climate Change (IPCC). Climate Change 2013: The Physical Basis. Contributions of Working Group I to the Fifth Assessment Report of the Intergovernmental Panel on Climate Change; Cambridge University Press: Cambridge, UK, 2013. [Google Scholar]
- Ho, C.K.; Stephenson, D.B.; Collins, M.; Ferro, C.A.T.; Brown, S.J. A source of additional uncertainty in climate change projections. Bull. Am. Meteorol. Soc. 2012, 93, 21–26. [Google Scholar] [CrossRef]
- Liu, Z.; Törnros, T.; Menzel, L. A probabilistic prediction network for hydrological drought identification and environmental flow assessment. Water Resour. Res. 2016, 52, 6243–6262. [Google Scholar] [CrossRef]
- Madadgar, S.; Moradkhani, H. A Bayesian framework for probabilistic seasonal drought forecasting. J. Hydrometeorol. 2013, 14, 1685–1705. [Google Scholar] [CrossRef]
- Taylor, K.E.; Stouffer, R.J.; Meehl, G.A. An overview of CMIP5 and the experiment design. Bull. Am. Meteorol. Soc. 2012, 93, 485–498. [Google Scholar] [CrossRef]
- Baek, H.J.; Lee, J.; Lee, H.S.; Hyun, Y.K.; Cho, C.; Kwon, W.-T.; Marzin, C.; Gan, S.-Y.; Kim, M.-J.; Choi, D.-H.; et al. Climate change in the 21st century simulated by HadGEM2-AO under Representative Concentration Pathways. Asia-Pac. J. Atmos. Sci. 2013, 49, 603–618. [Google Scholar] [CrossRef]
- Benestad, R.E. Downscaling precipitation extremes. Theor. Appl. Climatol. 2010, 100, 1–21. [Google Scholar] [CrossRef]
- Sunyer Pinya, M.A.; Hundecha, Y.; Lawrence, D.; Madsen, H.; Willems, P.; Martinkova, M.; Vormoor, K.; Bürger, G.; Hanel, M.; Kriauiuniene, J.; et al. Inter-comparison of statistical downscaling methods for projection of extreme precipitation in Europe. Hydrol. Earth Syst. Sci. 2015, 19, 1827–1847. [Google Scholar] [CrossRef]
- Andrew, W.R.; Ines, A.V.M.; Hansen, J.W. Downscaling of seasonal precipitation for crop simulation. J. Appl. Meteorol. Climatol. 2007, 46, 677–693. [Google Scholar]
- Diaz-Nieto, J.; Wilby, R.L. A comparison of statistical downscaling and climate change factor methods: Impacts on low flows in the River Thames, United Kingdom. Clim. Chang. 2005, 69, 245–268. [Google Scholar] [CrossRef]
- Korea Meteorological Administration (KMA). Understanding of Climate Change and Application of Climate Change Scenarios; National Institute of Meteorological Research: Seoul, South Korea, 2010. (In Korean) [Google Scholar]
- Dubrovsky, M.; Svoboda, M.D.; Trnka, M.; Hayes, M.J.; Wilhite, D.A.; Zalud, Z.; Hlavinka, P. Application of relative drought indices in assessing climate change impacts on drought conditions in Czechia. Theor. Appl. Climatol. 2009, 96, 117–155. [Google Scholar] [CrossRef]
- Arnell, N.W. Climate change and global water resources: SRES emissions and socio-economic scenarios. Glob. Environ. Chang. 2004, 14, 31–52. [Google Scholar] [CrossRef]
- Fung, F.; Lopez, A.; New, M. Water availability in +2C and +4C worlds. Philos. Trans. Ser. A 2011, 369, 99–116. [Google Scholar] [CrossRef] [PubMed]
- Milly, P.C.D.; Dunne, K.A.; Vecchia, A.V. Global pattern of trends in streamflow and water availability in a changing climate. Nature 2005, 438, 347–350. [Google Scholar] [CrossRef] [PubMed]
- Vörösmarty, C.J.; Green, P.; Salisbury, J.; Lammers, R.B. Global water resources: Vulnerability from climate change and population growth. Science 2000, 289, 284–288. [Google Scholar] [CrossRef] [PubMed]
- Beguería, S.; Vicente-Serrano, S.M.; Reig, F.; Latorre, B. Standardized precipitation evapotranspiration index (SPEI) revisited: Parameter fitting, evapotranspiration models, tools, datasets and drought monitoring. Int. J. Climatol. 2014, 34, 3001–3023. [Google Scholar] [CrossRef]
- McKee, T.B.; Doesken, N.J.; Kleist, J. The relationship of drought frequency and duration to time scales. In Proceedings of the Eighth Conference on Applied Climatology, Anahei, CA, USA, 17–22 January 1993; American Meteorological Society: Anaheim, CA, USA, 1993; pp. 179–184. [Google Scholar]
- Palmer, W.C. Meteorological Drought; US Department of Commerce, Weather Bureau: Washington, DC, USA, 1965; Volume 30.
- Vicente-Serrano, S.M.; Beguería, S.; López-Moreno, J.I. A multiscalar drought index sensitive to global warming: The standardized precipitation evapotranspiration index. J. Clim. 2010, 23, 1696–1718. [Google Scholar] [CrossRef]
- Koutroulis, A.G.; Vrochidou, A.E.K.; Tsanis, I.K. Spatiotemporal characteristics of meteorological drought for the island of Crete. J. Hydrometeorol. 2011, 12, 206–226. [Google Scholar] [CrossRef]
- Rossi, G. Drought mitigation measures: A comprehensive framework. In Drought and Drought Mitigation in Europe; Voght, J., Somma, F., Eds.; Kluwer Academic Publishers: Dordrecht, The Netherlands, 2000; pp. 233–246. [Google Scholar]
- Wilhite, D.A.; Svoboda, M.D.; Hayes, M.J. Understanding the complex impacts of drought: A key to enhancing drought mitigation and preparedness. Water Resour. Manag. 2007, 21, 763–774. [Google Scholar] [CrossRef]
- Dai, A. Drought under global warming: A review. Wiley Interdiscip. Rev. Clim. Chang. 2011, 2, 45–65. [Google Scholar] [CrossRef]
- Kwak, J.W.; Lee, S.D.; Kim, Y.S.; Kim, H.S. Return period estimation of droughts using drought variables from standardized precipitation index. J. Korean Water Resour. Assoc. 2013, 46, 795–805. (In Korean) [Google Scholar] [CrossRef]
- Loukas, A.; Vasiliades, L.; Tzabiras, J. Climate change effects on drought severity. Adv. Geosci. 2008, 17, 23–29. [Google Scholar] [CrossRef]
- Mavromatis, T. Drought index evaluation for assessing future wheat production in Greece. Int. J. Climatol. 2007, 27, 911–924. [Google Scholar] [CrossRef]
- So, J.M.; Sohn, K.H.; Bae, D.H. Estimation and assessment of bivariate joint drought index based copula functions. J. Korean Water Resour. Assoc. 2014, 47, 171–182. (In Korean) [Google Scholar] [CrossRef]
- Yoo, J.Y.; Choi, M.H.; Kim, T.W. Spatial analysis of drought characteristics in Korea using cluster analysis. J. Korean Water Resour. Assoc. 2010, 43, 15–24. (In Korean) [Google Scholar] [CrossRef]
- Yoo, J.Y.; Song, H.Y.; Kim, T.W.; Ahn, J.H. Evaluation of short-term drought using daily standardized precipitation index and ROC analysis. J. Korean Soc. Civ. Eng. 2013, 33, 1851–1860. (In Korean) [Google Scholar] [CrossRef]
- Paulo, A.A.; Rosa, R.D.; Pereira, L.S. Climate trends and behaviour of drought indices based on precipitation and evapotranspiration in Portugal. Nat. Hazards Earth Syst. Sci. 2012, 12, 1481–1491. [Google Scholar] [CrossRef]
- Potop, V. Evolution of drought severity and its impact on corn in the Republic of Moldova. Theor. Appl. Climatol. 2011, 105, 469–483. [Google Scholar] [CrossRef]
- Sohn, S.J.; Joong-Bae, A.; Chi-Yung, T. Six month–lead downscaling prediction of winter to spring drought in South Korea based on a multimodel ensemble. Geophys. Res. Lett. 2013, 40, 579–583. [Google Scholar] [CrossRef]
- Wolf, J.F.; Abatzoglou, J. The suitability of drought metrics historically and under climate change scenarios. In Proceedings of the 47th Annual Water Resources Conference, Albuquerque, NM, USA, 7–10 November 2011; pp. 7–10. [Google Scholar]
- Svoboda, M.; Hayes, M.; Wood, D. Standardized Precipitation Index User Guide; World Meteorological Organization: Geneva, Switzerland, 2012. [Google Scholar]
- Joetzjer, E.; Douville, H.; Delire, C.; Ciais, P.; Decharme, B.; Tyteca, S. Evaluation of drought indices at interannual to climate change timescales: A case study over the Amazon and Mississippi river basins. Hydrol. Earth Syst. Sci. Discuss. 2012, 9, 13231–13249. [Google Scholar] [CrossRef]
- Redmond, K.T. Integrated climate monitoring for drought detection. In Drought: A Global Assessment; Wilhite, D.A., Ed.; Routledge: Abingdon, UK, 2000; Volume 1, pp. 245–255. [Google Scholar]
- Edwards, D.C.; McKee, T.B. Characteristics of 20th Century Drought in the United States at Multiple Time Scales; Climatology Report 97-2; Colorado State University: Fort Collins, CO, USA, 1997. [Google Scholar]
- Mishra, A.K.; Singh, V.P. A review of drought concepts. J. Hydrol. 2010, 391, 202–216. [Google Scholar] [CrossRef]
- Quiring, S.M.; Ganesh, S. Evaluating the utility of the Vegetation Condition Index (VCI) for monitoring meteorological drought in Texas. Agric. For. Meteorol. 2010, 150, 330–339. [Google Scholar] [CrossRef]
- Vicente-Serrano, S.M. Differences in spatial patterns of drought on different time scales: An analysis of the Iberian Peninsula. Water Resour. Manag. 2006, 20, 37–60. [Google Scholar] [CrossRef]
- Hayes, M.J.; Svoboda, M.D.; Wilhite, D.A.; Vanyarkho, O.V. Monitoring the 1996 drought using the standardized precipitation index. Bull. Am. Meteorol. Soc. 1999, 80, 429–438. [Google Scholar] [CrossRef]
- Dracup, J.A.; Lee, K.S.; Paulson, E.G. On the statistical characteristics of drought events. Water Resour. Res. 1980, 16, 289–296. [Google Scholar] [CrossRef]
- Yevjevich, V. An Objective Approach to Definitions and Investigations of Continental Hydrologic Drought; Hydrology Paper No. 23; Colorado State University: Fort Collins, CO, USA, 1967. [Google Scholar]
- González, J.; Valdés, J.B. New drought frequency index: Definition and comparative performance analysis. Water Resour. Res. 2006, 42. [Google Scholar] [CrossRef]
- Ministry of Agriculture and Forestry (MAF). Design Criteria of Land and Water Development Plan for Agriculture (Irrigation); Ministry of Agriculture and Forestry: Wellington, New Zealand, 1998.











| Name | ID | Longitude | Latitude |
|---|---|---|---|
| Sariwon | S1 | 125°45′49.60′′ E | 38°31′0.00′′ N |
| Singye | S2 | 126°31′49.60′′ E | 38°30′0.00′′ N |
| Yongyon | S3 | 124°52′49.59′′ E | 38°12′0.00′′ N |
| Haeju | S4 | 125°41′49.60′′ E | 38°2′0.00′′ N |
| Gaesong | S5 | 126°33′49.60′′ E | 37°58′0.00′′ N |
| SPI | Category | Probability of Drought Recurrence | |
|---|---|---|---|
| Number of Times in 100 Years | Severity of Drought Event | ||
| More than 2.00 | Extremely wet | - | - |
| 1.50 to 1.99 | Severely wet | - | - |
| 1.00 to 1.49 | Moderately wet | - | - |
| 0.00 to 0.99 | Near normal | - | - |
| −0.99 to 0.00 | Mildly dry | 33 | 1 in 3 years |
| −1.49 to −1.00 | Moderately dry | 10 | 1 in 10 years |
| −1.99 to −1.50 | Severely dry | 50 | 1 in 20 years |
| Less than −2.00 | Extremely dry | 2.5 | 1 in 50 years |
| Conditional Probability | P(A|B) * | P(B|A) * | |||||
|---|---|---|---|---|---|---|---|
| Lag Time | 1-Month | 3-Month | 6-Month | 1-Month | 3-Month | 6-Month | |
| Periods | 1995 (1981–2010) | 0.99 | 0.99 | 1.00 | 0.47 | 0.41 | 0.36 |
| 2025 (2011–2040) | 0.95 | 0.89 | 0.91 | 0.64 | 0.66 | 0.64 | |
| 2055 (2041–2070) | 0.78 | 0.72 | 0.67 | 0.87 | 0.92 | 0.88 | |
| 2085 (2071–2100) | 0.72 | 0.67 | 0.54 | 0.95 | 0.98 | 1.00 | |
| Seasons | Periods | Probability of Non-Exceedance (%) | |||||
|---|---|---|---|---|---|---|---|
| SPI < −1.0 | SPEI < −1.0 | ||||||
| 1-Month | 3-Month | 6-Month | 1-Month | 3-Month | 6-Month | ||
| 1995 (1981–2010) | DJF | 13.3 | 10.0 | 8.9 | 10.0 | 4.4 | 3.3 |
| MAM | 10.0 | 12.2 | 15.6 | 1.1 | 4.4 | 3.3 | |
| JJA | 6.7 | 7.8 | 12.2 | 2.2 | 3.3 | 3.3 | |
| SON | 6.7 | 6.7 | 6.7 | 1.1 | 2.2 | 6.7 | |
| 2025 (2011–2040) | DJF | 8.9 | 13.3 | 20 | 7.8 | 8.9 | 12.2 |
| MAM | 23.3 | 17.8 | 16.7 | 14.4 | 13.3 | 11.1 | |
| JJA | 18.9 | 23.3 | 25.6 | 16.7 | 16.7 | 17.8 | |
| SON | 18.9 | 22.2 | 31.1 | 5.6 | 14.4 | 23.3 | |
| 2055 (2041–2070) | DJF | 16.7 | 12.2 | 12.2 | 16.7 | 16.7 | 14.4 |
| MAM | 16.7 | 12.2 | 11.1 | 22.2 | 21.1 | 14.4 | |
| JJA | 12.2 | 12.2 | 14.4 | 15.6 | 13.3 | 13.3 | |
| SON | 16.7 | 18.9 | 5.6 | 17.8 | 15.6 | 6.7 | |
| 2085 (2071–2100) | DJF | 20 | 23.3 | 16.7 | 21.1 | 28.9 | 33.3 |
| MAM | 21.1 | 16.7 | 12.2 | 24.4 | 26.7 | 24.4 | |
| JJA | 24.4 | 15.6 | 14.4 | 31.1 | 27.8 | 30.0 | |
| SON | 16.7 | 18.9 | 16.7 | 38.9 | 33.3 | 32.2 | |
| Drought Index | Periods | Severity * | Duration * | Intensity * | ||||||
|---|---|---|---|---|---|---|---|---|---|---|
| 1-Month | 3-Month | 6-Month | 1-Month | 3-Month | 6-Month | 1-Month | 3-Month | 6-Month | ||
| SPI | 1995 (1981–2010) | 41.0 | 45.3 | 61.6 | 33 | 33 | 39 | 1.23 | 1.29 | 1.33 |
| 2025 (2011–2040) | 78.8 | 95.5 | 117.3 | 63 | 69 | 84 | 1.26 | 1.33 | 1.31 | |
| 2055 (2041–2070) | 69.5 | 64.0 | 50.1 | 56 | 50 | 39 | 1.25 | 1.25 | 1.30 | |
| 2085 (2071–2100) | 93.7 | 92.3 | 72.3 | 74 | 67 | 54 | 1.27 | 1.35 | 1.35 | |
| SPEI | 1995 (1981–2010) | 15.7 | 15.7 | 18.4 | 13 | 13 | 15 | 1.21 | 1.20 | 1.24 |
| 2025 (2011–2040) | 51.9 | 64.0 | 78.4 | 40 | 48 | 58 | 1.29 | 1.28 | 1.22 | |
| 2055 (2041–2070) | 85.0 | 81.8 | 62.9 | 65 | 60 | 44 | 1.30 | 1.34 | 1.36 | |
| 2085 (2071–2100) | 145.9 | 153.4 | 155.1 | 104 | 105 | 108 | 1.39 | 1.39 | 1.37 | |
© 2017 by the authors. Licensee MDPI, Basel, Switzerland. This article is an open access article distributed under the terms and conditions of the Creative Commons Attribution (CC BY) license (http://creativecommons.org/licenses/by/4.0/).
Share and Cite
Lee, S.-H.; Yoo, S.-H.; Choi, J.-Y.; Bae, S. Assessment of the Impact of Climate Change on Drought Characteristics in the Hwanghae Plain, North Korea Using Time Series SPI and SPEI: 1981–2100. Water 2017, 9, 579. https://doi.org/10.3390/w9080579
Lee S-H, Yoo S-H, Choi J-Y, Bae S. Assessment of the Impact of Climate Change on Drought Characteristics in the Hwanghae Plain, North Korea Using Time Series SPI and SPEI: 1981–2100. Water. 2017; 9(8):579. https://doi.org/10.3390/w9080579
Chicago/Turabian StyleLee, Sang-Hyun, Seung-Hwan Yoo, Jin-Yong Choi, and Seungjong Bae. 2017. "Assessment of the Impact of Climate Change on Drought Characteristics in the Hwanghae Plain, North Korea Using Time Series SPI and SPEI: 1981–2100" Water 9, no. 8: 579. https://doi.org/10.3390/w9080579
APA StyleLee, S.-H., Yoo, S.-H., Choi, J.-Y., & Bae, S. (2017). Assessment of the Impact of Climate Change on Drought Characteristics in the Hwanghae Plain, North Korea Using Time Series SPI and SPEI: 1981–2100. Water, 9(8), 579. https://doi.org/10.3390/w9080579
