Numerical Simulation of Hydrodynamics and Reaeration over a Stepped Spillway by the SPH Method
Abstract
:1. Introduction
1.1. Previous Research on the Stepped Spillway
1.2. Smooth Particle Hydrodynamics Method
2. SPH Model for Reaeration
2.1. Hydrodynamic Equations
2.2. The Advection-Diffusion Equation for DO
2.3. Time Integration
3. Model Framework and Simulation Method
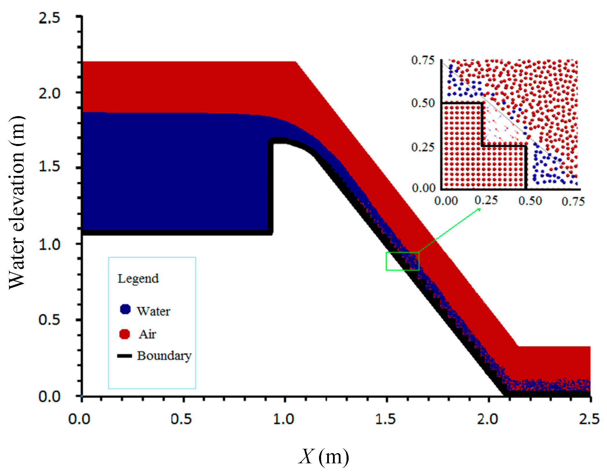
4. Validation for the Hydrodynamics over the Stepped Spillway
4.1. Description of Chanson’s Experiment
4.2. Set-Up Parameters
4.3. Discussion about the Hydrodynamics Characteristics
5. Validation for Reaeration over the Stepped Spillway
5.1. Description of Cheng’s Experiment
5.2. Set-up Parameters
5.3. Discussion about the Reaeration
6. Conclusions
Acknowledgments
Author Contributions
Conflicts of Interest
References
- Zhang, W.; Zhu, D.Z. Near-field mixing downstream of a multiport diffuser in a shallow river. J. Environ. Eng. 2011, 137, 230–240. [Google Scholar] [CrossRef]
- Rajaratnam, N. Skimming flow in stepped spillways. J. Hydraul. Eng. 1990, 116, 587–591. [Google Scholar] [CrossRef]
- Rice, C.E.; Kadavy, K.C. Model study of a roller compacted concrete stepped spillway. J. Hydraul. Eng. 1996, 122, 292–297. [Google Scholar] [CrossRef]
- Ruff, J.F.; Frizell, K.H. Air concentration measurements in highly-turbulent flow on a steeply-sloping chute. In Proceedings of the American Society of Civil Engineers Hydraulic Engineering Conference, Buffalo, NY, USA, 1–5 August 1994; Volume 2, pp. 999–1003. [Google Scholar]
- Chanson, H.; Toombes, L. Experimental investigations of air entrainment in transition and skimming flows down a stepped chute. Can. J. Civ. Eng. 2002, 29, 145–156. [Google Scholar] [CrossRef]
- Moog, D.B.; Jirka, G.H. Air-water gas transfer in uniform channel flow. J. Hydraul. Eng. 1999, 125, 3–10. [Google Scholar] [CrossRef]
- Cheng, X. Study on Reaeration of Sluicing Structure in River; Sichuan University: Chengdu, China, 2004. [Google Scholar]
- Cheng, X.; Luo, L.; Chen, Y.; Zhao, W. Re-Aeration Law of Water Flow over Spillways. J. Hydrodyn. Ser. B 2006, 18, 231–236. [Google Scholar]
- Chen, Q.; Dai, G.; Liu, H. Numerical simulation of overflow in stepped spillway. J. Hydraul. Eng. 2002, 33, 20–26. [Google Scholar]
- Wei, Z.; Dalrymple, R.A.; Hérault, A.; Bilotta, G.; Rustico, E.; Yeh, H. SPH modeling of dynamic impact of tsunami bore on bridge piers. Coast. Eng. 2015, 104, 26–42. [Google Scholar] [CrossRef]
- Wei, Z.; Dalrymple, R.A.; Rustico, E.; Hérault, A.; Bilotta, G. Simulation of nearshore tsunami breaking by Smoothed Particle Hydrodynamics method. J. Waterw. Port, Coast. Ocean Eng. 2016, 142, 05016001. [Google Scholar] [CrossRef]
- Federico, I.; Marrone, S.; Colagrossi, A.; Aristodemo, F.; Antuono, M. Simulating 2D open-channel flow through an SPH model. Eur. J. Mech. B/Fluids 2012, 34, 35–46. [Google Scholar] [CrossRef]
- Liu, X.; Lin, P.Z.; Shao, S.D. An ISPH simulation of coupled structure interaction with free surface flows. J. Fluids Struct. 2014, 48, 46–61. [Google Scholar] [CrossRef]
- Aristodemo, F.; Marrone, S.; Federico, I. SPH modeling of plane jets into water bodies through an inflow/outflow. Ocean Eng. 2015, 105, 160–175. [Google Scholar] [CrossRef]
- Jonsson, P.; Andreasson, P.; Hellström, J.G.I.; Jonsén, P.; Lundström, T.S. Smoothed Particle Hydrodynamic simulation of hydraulic jump using periodic open boundaries. Appl. Math. Model. 2016, 40, 8391–8405. [Google Scholar] [CrossRef]
- Colagrossi, A.; Landrini, M. Numerical simulation of interfacial flows by smoothed particle hydrodynamics. J. Comput. Phys. 2003, 191, 448–475. [Google Scholar] [CrossRef]
- Grenier, N.; Touzé, D.L.; Colagrossi, A.; Antuono, M.; Colicchio, G. Viscous bubbly flows simulation with an interface SPH model. Ocean Eng. 2013, 69, 88–102. [Google Scholar] [CrossRef]
- Das, A.K.; Das, P.K. Bubble evolution and necking at a submerged orifice for the complete range of orifice tilt. AIChE J. 2013, 59, 630–642. [Google Scholar] [CrossRef]
- Tartakovsky, A.M.; Meakin, P.; Scheibe, T.D.; West, R.M. Simulations of reactive transport and precipitation with smoothed particle hydrodynamics. J. Comput. Phys. 2007, 222, 654–672. [Google Scholar] [CrossRef]
- Aristodemo, F.; Federico, I.; Veltri, P.; Panizzo, A. Two-phase SPH modelling of advective diffusion processes. Environ. Fluid Mech. 2010, 10, 451–470. [Google Scholar] [CrossRef]
- Cleary, P.W.; Monaghan, J.J. Conduction Modelling Using Smoothed Particle Hydrodynamics. J. Comput. Phys. 1999, 148, 227–264. [Google Scholar] [CrossRef]
- Monaghan, J.J. Smoothed particle hydrodynamics. Annu. Rev. Astron. Astrophys. 1992, 30, 543–574. [Google Scholar] [CrossRef]
- Monaghan, J.J. Simulating Free Surface Flows with SPH. J. Comput. Phys. 1994, 110, 339–406. [Google Scholar] [CrossRef]
- Monaghan, J.J.; Kocharyan, A. SPH simulation of multi-phase flow. Comput. Phys. Commun. 1995, 87, 225–235. [Google Scholar] [CrossRef]
- Liu, G.R.; Liu, M.B. Smoothed Particle Hydrodynamics: A Meshfree Particle Method; World Scientific: Singapore, 2003. [Google Scholar]
- Monaghan, J.J. On the problem of penetration in particle methods. J. Comput. Phys. 1989, 82, 1–15. [Google Scholar] [CrossRef]
- Issa, R.; Lee, E.S.; Violeau, D.; Laurence, D.R. Incompressible separated flows simulations with the smoothed particle hydrodynamics gridless Method. Int. J. Numer. Methods Fluids 2005, 47, 1101–1106. [Google Scholar] [CrossRef]
- Nugent, S.; Posch, H.A. Liquid drops and surface tension with smoothed particle applied mechanics. Phys. Rev. E Stat. Phys. Plasmas Fluids Relat. Interdiscip. Top. 2000, 62 4 Pt A, 4968–4975. [Google Scholar] [CrossRef]
- Zarrati, A.R. Mathematical modeling of air-water mixtures in open channels. J. Hydraul. Res. 1994, 32, 707–720. [Google Scholar] [CrossRef]
- Banerjee, S.; MacIntyre, S. The air–water interface: Turbulence and scalar exchange. Adv. Ocean Coast. Eng. 2004, 9, 181–237. [Google Scholar]
- Price, D.J. Resolving high Reynolds numbers in smoothed particle hydrodynamics simulations of subsonic turbulence. Mon. Not. R. Astron. Soc. 2012, 420, L33–L37. [Google Scholar] [CrossRef]
- Verlet, L. Computer “Experiments” on Classical Fluids. I. Thermodynamical Properties of Lennard-Jones Molecules. Phys. Rev. 1967, 159, 98–103. [Google Scholar] [CrossRef]
- Morris, J.P.; Fox, P.J.; Zhu, Y. Modeling low Reynolds number incompressible flows using SPH. J. Comput. Phys. 1997, 136, 214–226. [Google Scholar] [CrossRef]
- Domínguez, J.M.; Crespo, A.J.C.; Gómez-Gesteira, M.; Marongiu, J.C. Neighbour lists in smoothed particle hydrodynamics. Int. J. Numer. Methods Fluids 2011, 67, 2026–2042. [Google Scholar] [CrossRef]
- Chanson, H.; Toombes, L. Experimental Investigations of Air Entrainment in Transition and Skimming Flows down a Stepped Chute: Application to Embankment Overflow Stepped Spillways; Department of Civil Engineering, University of Queensland: Queensland, Australia, 2001. [Google Scholar]









| Parameters | Water | Air | Description |
|---|---|---|---|
| (kg/m3) | 1000.00 | 1.09 | Density |
| N | 12,238 | 32,524 | Particle number |
| to (s) | 0.01 | 0.01 | Time to output |
| 7 | 1.4 | Isentropic coefficient | |
| g (m/s2) | 9.8 | 9.8 | Gravity |
| v0 (m/s) | 0 | 0 | Initial velocity |
| Kernel radius (m) | 9.8 × 10−3 | 9.8 × 10−3 | Smoothing length |
| c0 | 28.0 | 379.3 | Initial sound speed |
| Resolution (m) | 0.008 | 0.008 | Particle distance |
| Parameters | WES Curve | Design Slope | T (m) | Steps | hs (m) × ls (m) |
|---|---|---|---|---|---|
| Values | y = 0.0304x1.85 | 1:0.75 | (0.4145, 0.2987) | 40 | 0.033 × 0.025 |
| Parameters | H0 (m) | HS (m) | q (m2/s) | Cu (mg/L) | CS (mg/L) |
| Values | 1.06 | 0.8 m | 0.0168 m2/s | 1.29 mg/L | 10.48 mg/L |
| Parameters | Water | Air | Description |
|---|---|---|---|
| (kg/m3) | 1000.00 | 1.09 | Density |
| N | 15,738 | 34,024 | Particle number |
| to (s) | 0.01 | 0.01 | Time to output |
| 7 | 1.4 | Isentropic coefficient | |
| g (m/s2) | 9.8 | 9.8 | Gravity |
| v0 (m/s) | 0 | 0 | Initial velocity |
| Kernel radius (m) | 4.9 × 10−3 | 4.9 × 10−3 | Smoothing length |
| c0 | 35.0 | 474.1 | Initial sound speed |
| Resolution (m) | 0.004 | 0.004 | Particle distance |
| Point | 2 | 3 | 4 | 5 | 6 | 7 |
|---|---|---|---|---|---|---|
| experiment | 2.94 | 3.40 | 4.01 | 4.32 | 4.91 | 5.31 |
| simulation | 2.12 | 3.21 | 3.74 | 4.62 | 4.92 | 5.02 |
| relative error | 27.9% | 5.6% | 6.7% | −6.9% | −0.2% | 5.5% |
| Style | Cs (mg/L) | Cu (mg/L) | Cd (mg/L) | Relative Error | |
|---|---|---|---|---|---|
| experiment | 10.48 | 1.29 | 5.31 | 1.78 | −5.6% |
| simulation | 10.48 | 1.29 | 5.02 | 1.68 |
© 2017 by the authors. Licensee MDPI, Basel, Switzerland. This article is an open access article distributed under the terms and conditions of the Creative Commons Attribution (CC BY) license (http://creativecommons.org/licenses/by/4.0/).
Share and Cite
Wan, H.; Li, R.; Gualtieri, C.; Yang, H.; Feng, J. Numerical Simulation of Hydrodynamics and Reaeration over a Stepped Spillway by the SPH Method. Water 2017, 9, 565. https://doi.org/10.3390/w9080565
Wan H, Li R, Gualtieri C, Yang H, Feng J. Numerical Simulation of Hydrodynamics and Reaeration over a Stepped Spillway by the SPH Method. Water. 2017; 9(8):565. https://doi.org/10.3390/w9080565
Chicago/Turabian StyleWan, Hang, Ran Li, Carlo Gualtieri, Huixia Yang, and Jingjie Feng. 2017. "Numerical Simulation of Hydrodynamics and Reaeration over a Stepped Spillway by the SPH Method" Water 9, no. 8: 565. https://doi.org/10.3390/w9080565
APA StyleWan, H., Li, R., Gualtieri, C., Yang, H., & Feng, J. (2017). Numerical Simulation of Hydrodynamics and Reaeration over a Stepped Spillway by the SPH Method. Water, 9(8), 565. https://doi.org/10.3390/w9080565

