Analysis of Dynamic Spatiotemporal Changes in Actual Evapotranspiration and Its Associated Factors in the Pearl River Basin Based on MOD16
Abstract
1. Introduction
2. Materials and Methods
2.1. Study Area
2.2. Data
2.3. Analysis Method
2.3.1. Data Processing
2.3.2. Data Verification
2.3.3. Trend Analysis
2.3.4. Correlation Analysis
3. Results
3.1. Temporal Change in Evapotranspiration (ET) in the Pearl River Basin (PRB)
3.2. Spatial Distribution of the ET in the PRB
3.3. Spatial Change Trend in ET in the PRB
3.4. ET Factors in the PRB
4. Discussion
4.1. Analysis of Temporal Changes in ET
4.2. Analysis of the Spatial Distribution of ET
4.3. Analysis of the ET Factors
5. Conclusions
- (1)
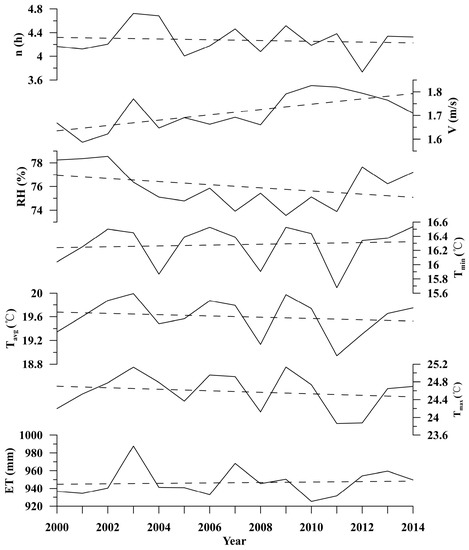
- ET fluctuated and slightly increased from 2000 to 2014, with a maximum of approximately 987.71 mm in 2003 and minimum of approximately 925.19 mm in 2010. Over time and space, annual ET averaged approximately 946.56 mm/a. ET exhibited slight decreasing trends in spring and winter and slight increasing trends in summer and autumn. Specifically, the maximum ET of approximately 344.25 mm occurred in summer, was 2.80 times the winter ET, and accounted 36.37% of the annual ET. Moreover, monthly ET displayed a certain regularity change.
- (2)
- The spatial ET distribution in the PRB exhibited obvious spatial heterogeneity. Notably, the west was generally a low-value region, and the central and eastern regions exhibited a mix of moderate and high values. Longzhou, Baise, Wuzhou and Heyuan were the four centers of high ET. Additionally, annual ET varied from −13.9 mm/a to 12.81 mm/a, and 46.25% of the basin exhibited an increasing trend.
- (3)
- The factors that influenced ET varied in different regions and at different times. Annual ET was mainly affected by the temperature, while monthly ET was mainly affected by the temperature (February–March and September–November) and RH. In addition, affected by the actual environmental condition, the quality of the correlation between RH and ET varied in different months and regions. The spatial variations in ET and its associated factors are affected by the complex effects of climatic conditions that vary at different elevations and latitudes and under different topographic conditions.
Acknowledgments
Author Contributions
Conflicts of Interest
References
- Anderson, M.C.; Norman, J.M.; Mecikalski, J.R.; Otkin, J.A.; Kustas, W.P. A climatological study of evapotranspiration and moisture stress across the continental United States based on thermal remote sensing: 2. Surface moisture climatology. J. Geophys. Res. Atmos. 2007, 112. [Google Scholar] [CrossRef]
- Allen, R.G.; Pereira, L.S.; Howell, T.A.; Jensen, M.E. Evapotranspiration information reporting: I. Factors governing measurement accuracy. Agric. Water Manag. 2011, 98, 899–920. [Google Scholar] [CrossRef]
- Bisquert, M.; Sánchez, J.M.; López-Urrea, R.; Caselles, V. Estimating high resolution evapotranspiration from disaggregated thermal images. Remote Sens. Environ. 2016, 187, 423–433. [Google Scholar] [CrossRef]
- Ma, Q.; Zhang, J.; Sun, C.; Guo, E.; Zhang, F.; Wang, M. Changes of reference evapotranspiration and its relationship to dry/wet conditions based on the aridity index in the Songnen Grassland, Northeast China. Water (Switz.) 2017, 9, 316. [Google Scholar] [CrossRef]
- Guo, D.; Westra, S.; Maier, H.R. Sensitivity of potential evapotranspiration to changes in climate variables for different Australian climatic zones. Hydrol. Earth Syst. Sci. 2017, 21, 2107–2126. [Google Scholar] [CrossRef]
- Katul, G.G.; Oren, R.; Manzoni, S.; Higgins, C.; Parlange, M.B. Evapotranspiration: A process driving mass transport and energy exchange in the soil-plant-atmosphere-climate system. Rev. Geophys. 2012, 50. [Google Scholar] [CrossRef]
- Li, Z.L.; Tang, R.; Wan, Z.; Bi, Y.; Zhou, C.; Tang, B.; Yan, G.; Zhang, X. A review of current methodologies for regional evapotranspiration estimation from remotely sensed data. Sensors 2009, 9, 3801–3853. [Google Scholar] [CrossRef] [PubMed]
- Thomas, A. Spatial and temporal characteristics of potential evapotranspiration trends over China. Int. J. Climatol. 2000, 20, 381–396. [Google Scholar] [CrossRef]
- French, A.N.; Hunsaker, D.J.; Thorp, K.R. Remote sensing of evapotranspiration over cotton using the tseb and metric energy balance models. Remote Sens. Environ. 2015, 158, 281–294. [Google Scholar] [CrossRef]
- Hu, G.; Jia, L.; Menenti, M. Comparison of mod16 and lsa-saf msg evapotranspiration products over Europe for 2011. Remote Sens. Environ. 2015, 156, 510–526. [Google Scholar] [CrossRef]
- Zhang, D.; Liu, X.; Zhang, Q.; Liang, K.; Liu, C. Investigation of factors affecting intra-annual variability of evapotranspiration and streamflow under different climate conditions. J. Hydrol. 2016, 543, 759–769. [Google Scholar] [CrossRef]
- Rana, G.; Katerji, N. Measurement and estimation of actual evapotranspiration in the field under Mediterranean Climate: A review. Eur. J. Agron. 2000, 13, 125–153. [Google Scholar] [CrossRef]
- Roderick, M.L.; Rotstayn, L.D.; Farquhar, G.D.; Hobbins, M.T. On the attribution of changing pan evaporation. Geophys. Res. Lett. 2007, 34. [Google Scholar] [CrossRef]
- Chen, Y.; Xia, J.; Liang, S.; Feng, J.; Fisher, J.B.; Li, X.; Li, X.; Liu, S.; Ma, Z.; Miyata, A.; et al. Comparison of satellite-based evapotranspiration models over terrestrial ecosystems in China. Remote Sens. Environ. 2014, 140, 279–293. [Google Scholar] [CrossRef]
- Liaqat, U.W.; Choi, M.; Awan, U.K. Spatio-temporal distribution of actual evapotranspiration in the indus basin irrigation system. Hydrol. Process. 2015, 29, 2613–2627. [Google Scholar] [CrossRef]
- Zeng, R.; Cai, X. Assessing the temporal variance of evapotranspiration considering climate and catchment storage factors. Adv. Water Resour. 2015, 79, 51–60. [Google Scholar] [CrossRef]
- Roderick, M.L.; Farquhar, G.D. The cause of decreased pan evaporation over the past 50 years. Science 2002, 298, 1410–1411. [Google Scholar] [PubMed]
- Gao, G.; Chen, D.; Xu, C.Y.; Simelton, E. Trend of estimated actual evapotranspiration over China during 1960–2002. J. Geophys. Res. Atmos. 2007, 112, D11120. [Google Scholar] [CrossRef]
- Cong, Z.T.; Yang, D.W.; Ni, G.H. Does evaporation paradox exist in China? Hydrol. Earth Syst. Sci. 2009, 13, 357–366. [Google Scholar] [CrossRef]
- Tabari, H.; Marofi, S.; Aeini, A.; Talaee, P.H.; Mohammadi, K. Trend analysis of reference evapotranspiration in the western half of iran. Agric. For. Meteorol. 2011, 151, 128–136. [Google Scholar] [CrossRef]
- Espadafor, M.; Lorite, I.J.; Gavilán, P.; Berengena, J. An analysis of the tendency of reference evapotranspiration estimates and other climate variables during the last 45 years in Southern Spain. Agric. Water Manag. 2011, 98, 1045–1061. [Google Scholar] [CrossRef]
- Łabędzki, L.; Bąk, B.; Smarzyńska, K. Spatio-temporal variability and trends of penman-monteith reference evapotranspiration (fao-56) in 1971–2010 under climatic conditions of Poland. Pol. J. Environ. Stud. 2014, 23, 2083–2091. [Google Scholar] [CrossRef]
- Li, C.; Wu, P.T.; Li, X.L.; Zhou, T.W.; Sun, S.K.; Wang, Y.B.; Luan, X.B.; Yu, X. Spatial and temporal evolution of climatic factors and its impacts on potential evapotranspiration in loess plateau of northern Shaanxi, China. Sci. Total Environ. 2017, 589, 165–172. [Google Scholar] [CrossRef] [PubMed]
- Matin, M.A.; Bourque, C.P.A. Assessing spatiotemporal variation in actual evapotranspiration for semi-arid watersheds in Northwest China: Evaluation of two complementary-based methods. J. Hydrol. 2013, 486, 455–465. [Google Scholar] [CrossRef]
- Zhang, B.; Xu, D.; Liu, Y.; Li, F.; Cai, J.; Du, L. Multi-scale evapotranspiration of summer maize and the controlling meteorological factors in North China. Agric. For. Meteorol. 2016, 216, 1–12. [Google Scholar] [CrossRef]
- Gao, Z.; He, J.; Dong, K.; Li, X. Trends in reference evapotranspiration and their causative factors in the West Liao River Basin, China. Agric. For. Meteorol. 2017, 232, 106–117. [Google Scholar] [CrossRef]
- Wang, Z.; Xie, P.; Lai, C.; Chen, X.; Wu, X.; Zeng, Z.; Li, J. Spatiotemporal variability of reference evapotranspiration and contributing climatic factors in china during 1961–2013. J. Hydrol. 2017, 544, 97–108. [Google Scholar] [CrossRef]
- Gong, L.; Xu, C.-Y.; Chen, D.; Halldin, S.; Chen, Y.D. Sensitivity of the penman–monteith reference evapotranspiration to key climatic variables in the Changjiang (Yangtze River) Basin. J. Hydrol. 2006, 329, 620–629. [Google Scholar] [CrossRef]
- Yang, H.; Yang, D. Climatic factors influencing changing pan evaporation across China from 1961 to 2001. J. Hydrol. 2012, 414–415, 184–193. [Google Scholar] [CrossRef]
- Zhao, L.; Xia, J.; Sobkowiak, L.; Li, Z. Climatic characteristics of reference evapotranspiration in the Hai River Basin and their attribution. Water (Switz.) 2014, 6, 1482–1499. [Google Scholar] [CrossRef]
- Jhajharia, D.; Dinpashoh, Y.; Kahya, E.; Singh, V.P.; Fakheri-Fard, A. Trends in reference evapotranspiration in the humid region of Northeast India. Hydrol. Process. 2012, 26, 421–435. [Google Scholar] [CrossRef]
- McVicar, T.R.; Roderick, M.L.; Donohue, R.J.; Li, L.T.; Van Niel, T.G.; Thomas, A.; Grieser, J.; Jhajharia, D.; Himri, Y.; Mahowald, N.M.; et al. Global review and synthesis of trends in observed terrestrial near-surface wind speeds: Implications for evaporation. J. Hydrol. 2012, 416–417, 182–205. [Google Scholar] [CrossRef]
- Fan, Z.X.; Thomas, A. Spatiotemporal variability of reference evapotranspiration and its contributing climatic factors in Yunnan Province, SW China, 1961–2004. Clim. Chang. 2013, 116, 309–325. [Google Scholar] [CrossRef]
- Choi, M.; Kustas, W.P.; Anderson, M.C.; Allen, R.G.; Li, F.; Kjaersgaard, J.H. An intercomparison of three remote sensing-based surface energy balance algorithms over a corn and soybean production region (iowa, u.S.) during smacex. Agric. For. Meteorol. 2009, 149, 2082–2097. [Google Scholar] [CrossRef]
- Ershadi, A.; McCabe, M.F.; Evans, J.P.; Walker, J.P. Effects of spatial aggregation on the multi-scale estimation of evapotranspiration. Remote Sens. Environ. 2013, 131, 51–62. [Google Scholar] [CrossRef]
- García, M.; Sandholt, I.; Ceccato, P.; Ridler, M.; Mougin, E.; Kergoat, L.; Morillas, L.; Timouk, F.; Fensholt, R.; Domingo, F. Actual evapotranspiration in drylands derived from in-situ and satellite data: Assessing biophysical constraints. Remote Sens. Environ. 2013, 131, 103–118. [Google Scholar] [CrossRef]
- Allen, R.G.; Pereira, L.S.; Howell, T.A.; Jensen, M.E. Evapotranspiration information reporting: II. Recommended documentation. Agric. Water Manag. 2011, 98, 921–929. [Google Scholar] [CrossRef]
- Chu, R.; Li, M.; Shen, S.; Islam, A.R.M.T.; Cao, W.; Tao, S.; Gao, P. Changes in reference evapotranspiration and its contributing factors in Jiangsu, a major economic and agricultural province of Eastern China. Water (Switz.) 2017, 9, 486. [Google Scholar] [CrossRef]
- Tegos, A.; Malamos, N.; Koutsoyiannis, D. A parsimonious regional parametric evapotranspiration model based on a simplification of the penman-monteith formula. J. Hydrol. 2015, 524, 708–717. [Google Scholar] [CrossRef]
- Allan, R.G.; Pereira, L.S.; Raes, D.; Smith, M. Crop Evapotranspiration: Guidelines for Computing Crop Water Requirements; Irrigation and Drainage Paper 56; FAO: Rome, Italy, 1998. [Google Scholar]
- Bindhu, V.M.; Narasimhan, B.; Sudheer, K.P. Development and verification of a non-linear disaggregation method (nl-distrad) to downscale modis land surface temperature to the spatial scale of landsat thermal data to estimate evapotranspiration. Remote Sens. Environ. 2013, 135, 118–129. [Google Scholar] [CrossRef]
- Mahmoud, S.H.; Alazba, A.A. A coupled remote sensing and the surface energy balance based algorithms to estimate actual evapotranspiration over the western and southern regions of Saudi Arabia. J. Asian Earth Sci. 2016, 124, 269–283. [Google Scholar] [CrossRef]
- Kalma, J.D.; McVicar, T.R.; McCabe, M.F. Estimating land surface evaporation: A review of methods using remotely sensed surface temperature data. Surv. Geophys. 2008, 29, 421–469. [Google Scholar] [CrossRef]
- Yang, G.; Pu, R.; Zhao, C.; Xue, X. Estimating high spatiotemporal resolution evapotranspiration over a winter wheat field using an ikonos image based complementary relationship and lysimeter observations. Agric. Water Manag. 2014, 133, 34–43. [Google Scholar] [CrossRef]
- Bisquert, M.; Sánchez, J.M.; Caselles, V. Evaluation of disaggregation methods for downscaling modis land surface temperature to landsat spatial resolution in barrax test site. IEEE J. Sel. Top. Appl. Earth Obs. Remote Sens. 2016, 9, 1430–1438. [Google Scholar] [CrossRef]
- Jarchow, C.J.; Nagler, P.L.; Glenn, E.P.; Ramírez-Hernandez, J.; Rodríguez-Burgueño, E. Evapotranspiration by remote sensing: An analysis of the colorado river delta before and after the minute 319 pulse flow to mexico. Ecol. Eng. 2017, 106, 725–732. [Google Scholar] [CrossRef]
- Moran, M.S.; Rahman, A.F.; Washburne, J.C.; Goodrich, D.C.; Weltz, M.A.; Kustas, W.P. Combining the penman-monteith equation with measurements of surface temperature and reflectance to estimate evaporation rates of semiarid grassland. Agric. For. Meteorol. 1996, 80, 87–109. [Google Scholar] [CrossRef]
- Bateni, S.M.; Liang, S. Estimating surface energy fluxes using a dual-source data assimilation approach adjoined to the heat diffusion equation. J. Geophys. Res. Atmos. 2012, 117, D17118. [Google Scholar] [CrossRef]
- Mu, Q.; Heinsch, F.A.; Zhao, M.; Running, S.W. Development of a global evapotranspiration algorithm based on modis and global meteorology data. Remote Sens. Environ. 2007, 111, 519–536. [Google Scholar] [CrossRef]
- Mu, Q.; Zhao, M.; Running, S.W. Improvements to a modis global terrestrial evapotranspiration algorithm. Remote Sens. Environ. 2011, 115, 1781–1800. [Google Scholar] [CrossRef]
- Trambauer, P.; Dutra, E.; Maskey, S.; Werner, M.; Pappenberger, F.; Van Beek, L.P.H.; Uhlenbrook, S. Comparison of different evaporation estimates over the african continent. Hydrol. Earth Syst. Sci. 2014, 18, 193–212. [Google Scholar] [CrossRef]
- Autovino, D.; Minacapilli, M.; Provenzano, G. Modelling bulk surface resistance by modis data and assessment of mod16a2 evapotranspiration product in an irrigation district of southern italy. Agric. Water Manag. 2016, 167, 86–94. [Google Scholar] [CrossRef]
- Wambura, F.J.; Dietrich, O.; Lischeid, G. Evaluation of spatio-temporal patterns of remotely sensed evapotranspiration to infer information about hydrological behaviour in a data-scarce region. Water (Switz.) 2017, 9, 333. [Google Scholar] [CrossRef]
- Kim, H.W.; Hwang, K.; Mu, Q.; Lee, S.O.; Choi, M. Validation of modis 16 global terrestrial evapotranspiration products in various climates and land cover types in Asia. KSCE J. Civ. Eng. 2012, 16, 229–238. [Google Scholar] [CrossRef]
- Wu, G.; Liu, Y.; Zhao, X.; Chun, Y.E. Spatio-temporal variations of evapotranspiration in Poyang Lake Basin using mod16 products. Sci. Geogr. Sin. 2013, 33, 1125–1131. [Google Scholar]
- He, T.; Shao, Q. Spatial-temporal variation of terrestrial evapotranspiration in china from 2001 to 2010 using mod16 products. J. Geo-Inf. Sci. 2014, 16, 979–988. [Google Scholar]
- Li, W.; Yi, X.; Cai, D.; Zhang, G.; Liu, S. Analysis of drought characteristics in hainan island based on mod16 evapotranspiration data. J. Nat. Disasters 2016, 25, 176–183. [Google Scholar]
- Zhang, Y.; Chiew, F.H.S.; Zhang, L.; Li, H. Use of remotely sensed actual evapotranspiration to improve rainfall-runoff modeling in southeast australia. J. Hydrometeorol. 2009, 10, 969–980. [Google Scholar] [CrossRef]
- Zhang, Q.; Singh, V.P.; Peng, J.; Chen, Y.D.; Li, J. Spatial–temporal changes of precipitation structure across the Pearl River Basin, China. J. Hydrol. 2012, 440, 113–122. [Google Scholar] [CrossRef]
- Zhang, Q.; Xu, C.Y.; Gemmer, M.; Chen, Y.D.; Liu, C. Changing properties of precipitation concentration in the Pearl River Basin, China. Stoch. Environ. Res. Risk Assess. 2009, 23, 377–385. [Google Scholar] [CrossRef]
- Xiucang, L.; Jiang, T.; Wen, S.S.; Wang, Y.J.; Qiu, X.F. Spatio-temporal variation of actual evapotranspiration and its impact factors in the Pearl River Basin, China. J. Trop. Meteorol. 2014, 30. [Google Scholar] [CrossRef]
- Wang, Z.; Qin, J.; Chen, X. Variation characteristics and impact factors of pan evaporation in Pearl River Basin, China. Trans. Chin. Soc. Agric. Eng. 2010, 26, 73–77. [Google Scholar]
- Chen, Y.D.; Zhang, Q.; Xiao, M.; Singh, V.P.; Zhang, S. Probabilistic forecasting of seasonal droughts in the Pearl River Basin, China. Stoch. Environ. Res. Risk Assess. 2016, 30, 2031–2040. [Google Scholar] [CrossRef]
- Xu, C.Y.; Gong, L.; Jiang, T.; Chen, D.; Singh, V.P. Analysis of spatial distribution and temporal trend of reference evapotranspiration and pan evaporation in Changjiang (Yangtze River) catchment. J. Hydrol. 2006, 327, 81–93. [Google Scholar] [CrossRef]
- Zhang, T.; Peng, J.; Liang, W.; Yang, Y.; Liu, Y. Spatial-temporal patterns of water use efficiency and climate controls in China’s loess plateau during 2000–2010. Sci. Total Environ. 2016, 565, 105–122. [Google Scholar] [CrossRef] [PubMed]
- Mann, H.B. Nonparametric tests against trend. Econometrica 1945, 13, 245–259. [Google Scholar] [CrossRef]
- Kendall, M.G. Rank Correlation Methods; Griffin: Oxford, UK, 1948. [Google Scholar]
- Pearson, K. Note on regression and inheritance in the case of two parents. Proc. R. Soc. Lond. 1895, 58, 240–242. [Google Scholar] [CrossRef]
- You, G.; Zhang, Y.; Liu, Y.; Song, Q.; Lu, Z.; Tan, Z.; Wu, C.; Xie, Y. On the attribution of changing pan evaporation in a nature reserve in SW China. Hydrol. Process. 2013, 27, 2676–2682. [Google Scholar] [CrossRef]
- Niu, J.; Chen, J. A wavelet perspective on variabilities of hydrological processes in conjunction with geomorphic analysis over the Pearl River Basin in South China. J. Hydrol. 2016, 542, 392–409. [Google Scholar] [CrossRef]
- Wang, Z.; Chen, X.; Li, Y. Spatio-temporal changes of ndvi in the Pearl River Basin. Ecol. Sci. 2006, 25, 303–307. [Google Scholar]
- Li, X.; Gemmer, M.; Zhai, J.; Liu, X.; Su, B.; Wang, Y. Spatio-temporal variation of actual evapotranspiration in the Haihe River Basin of the past 50 years. Quat. Int. 2013, 304, 133–141. [Google Scholar] [CrossRef]
- Zeng, L.; Song, K.; Zhang, B.; Wang, Z.; Du, J. Analysis of spatiotemporal variations in evapotranspiration and its influencing factors over the songnen plain in the growing season during the period 2000–2008. Resour. Sci. 2010, 32, 2305–2315. [Google Scholar]
- Wang, P.; Yan, J.; Jiang, C.; Cao, Y. Spatial and temporal variations of evapotranspiration and its influencing factors in the loess plateau in Shaanxi-Gansu-Ningxia Region. J. Desert Res. 2016, 36, 499–507. [Google Scholar]
- Zou, M.; Zhong, L.; Ma, Y.; Hu, Y.; Feng, L. Estimation of actual evapotranspiration in the Nagqu River Basin of the Tibetan Plateau. Theor. Appl. Climatol. 2017, 1–9. [Google Scholar] [CrossRef]
- Yin, Y.; Wu, S.; Chen, G.; Dai, E. Attribution analyses of potential evapotranspiration changes in China since the 1960s. Theor. Appl. Climatol. 2010, 101, 19–28. [Google Scholar] [CrossRef]
- Nouri, M.; Homaee, M.; Bannayan, M. Quantitative trend, sensitivity and contribution analyses of reference evapotranspiration in some arid environments under climate change. Water Resour. Manag. 2017, 31, 2207–2224. [Google Scholar] [CrossRef]
- Mosaedi, A.; Ghabaei Sough, M.; Sadeghi, S.H.; Mooshakhian, Y.; Bannayan, M. Sensitivity analysis of monthly reference crop evapotranspiration trends in Iran: A qualitative approach. Theor. Appl. Climatol. 2017, 128, 857–873. [Google Scholar] [CrossRef]










| Methods | Ks | Ke | Kl | IDW | |
|---|---|---|---|---|---|
| Factors | |||||
| Tmax | 0.999 | 0.985 | 0.983 | 0.984 | |
| Tavg | 1.000 | 0.986 | 0.986 | 0.986 | |
| Tmin | 1.000 | 0.987 | 0.986 | 0.986 | |
| RH | 0.976 | 0.848 | 0.848 | 0.839 | |
| Month | 1 | 2 | 3 | 4 | 5 | 6 | 7 | 8 | 9 | 10 | 11 | 12 |
|---|---|---|---|---|---|---|---|---|---|---|---|---|
| ET | 39.05 | 44.71 | 59.95 | 76.00 | 97.84 | 107.85 | 119.57 | 116.82 | 106.34 | 84.36 | 54.68 | 39.37 |
| Factors | Tmax | Tavg | Tmin | RH | V | n | |||||||
|---|---|---|---|---|---|---|---|---|---|---|---|---|---|
| Month | T | R | T | R | T | R | T | R | T | R | T | R | |
| January | −0.79 | 0.16 | −1.48 | 0.30 | −1.58 | 0.60 * | −0.99 | 0.70 ** | 0.20 | 0.65 ** | −0.89 | 0.52 * | |
| February | 0.40 | 0.73 ** | 0.20 | 0.77 ** | 0.00 | 0.79 ** | −1.58 | 0.24 | 1.68 | −0.05 | 0.40 | 0.48 | |
| March | 0.10 | 0.49 | 0.00 | 0.62 * | −0.20 | 0.72 ** | −1.48 | 0.43 | 1.09 | −0.01 | 0.00 | 0.32 | |
| April | −0.49 | 0.50 | −0.40 | 0.63 * | 0.10 | 0.73 ** | −0.20 | 0.21 | 0.40 | 0.51 | −0.79 | 0.28 | |
| May | 0.20 | 0.16 | 0.30 | 0.25 | 0.59 | 0.30 | 0.00 | 0.35 | 2.38 | −0.05 | −0.79 | −0.16 | |
| June | 0.89 | 0.53 * | 0.79 | 0.35 | 1.09 | −0.04 | −0.79 | −0.64 ** | 1.39 | 0.22 | −0.69 | 0.71 ** | |
| July | 0.59 | 0.45 | 0.40 | 0.50 | 1.39 | 0.40 | −0.79 | −0.66 ** | 2.08 | 0.46 | 0.20 | 0.45 | |
| August | 1.58 | 0.50 | 0.99 | 0.52 * | 0.10 | 0.52 * | −2.38 | −0.50 | 3.17 | 0.22 | 1.48 | 0.22 | |
| September | 0.69 | 0.64 * | 0.79 | 0.67 ** | 1.68 | 0.67 ** | 0.30 | −0.06 | 2.97 | −0.02 | 0.10 | 0.26 | |
| October | 1.09 | 0.80 ** | 0.30 | 0.79 ** | 0.00 | 0.66 ** | −1.78 | −0.10 | 1.09 | −0.34 | 1.48 | 0.20 | |
| November | −0.40 | 0.60 * | 1.19 | 0.87 ** | 1.78 | 0.90 ** | 0.79 | 0.72 ** | 1.39 | −0.24 | −1.09 | −0.40 | |
| December | −1.58 | 0.35 | −1.48 | 0.61 * | −0.89 | 0.69 ** | −1.29 | 0.88 ** | 1.29 | 0.02 | −0.30 | −0.37 | |
© 2017 by the authors. Licensee MDPI, Basel, Switzerland. This article is an open access article distributed under the terms and conditions of the Creative Commons Attribution (CC BY) license (http://creativecommons.org/licenses/by/4.0/).
Share and Cite
Zhang, T.; Chen, Y. Analysis of Dynamic Spatiotemporal Changes in Actual Evapotranspiration and Its Associated Factors in the Pearl River Basin Based on MOD16. Water 2017, 9, 832. https://doi.org/10.3390/w9110832
Zhang T, Chen Y. Analysis of Dynamic Spatiotemporal Changes in Actual Evapotranspiration and Its Associated Factors in the Pearl River Basin Based on MOD16. Water. 2017; 9(11):832. https://doi.org/10.3390/w9110832
Chicago/Turabian StyleZhang, Tao, and Yangbo Chen. 2017. "Analysis of Dynamic Spatiotemporal Changes in Actual Evapotranspiration and Its Associated Factors in the Pearl River Basin Based on MOD16" Water 9, no. 11: 832. https://doi.org/10.3390/w9110832
APA StyleZhang, T., & Chen, Y. (2017). Analysis of Dynamic Spatiotemporal Changes in Actual Evapotranspiration and Its Associated Factors in the Pearl River Basin Based on MOD16. Water, 9(11), 832. https://doi.org/10.3390/w9110832

