Uncertainty of the Soil–Water Characteristic Curve and Its Effects on Slope Seepage and Stability Analysis under Conditions of Rainfall Using the Markov Chain Monte Carlo Method
Abstract
:1. Introduction
2. Materials
2.1.Test Data of the Soil–Water Characteristic Curve
2.2. Slope Properties
3.Methods
3.1. SWCC Model
3.2. Bayesian Approach
3.3. Uncertainty Estimation
- (1)
- In this study, the prior distributions of the model parameters were assumed to be lognormal distributions;
- (2)
- The likelihood function was determined by measured data of the SWCC;
- (3)
- The posterior PDF was used as the target distribution function, and the samples were generated from posterior PDF using DRAM;
- (4)
- The samples at the beginning stage were discarded, and the remaining samples used to represent the posterior distribution;
- (5)
- The confidence intervals of the SWCC and its model parameters corresponding to different percentiles (PCT) were obtained.
3.4. Water Flow through Unsaturated Soil
3.5. Calculation Theory of the Safety Factor
4. Results and Discussion
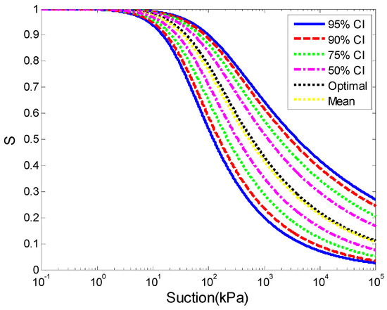
4.1. The Results of Uncertainty Estimation
4.2. Influence of the SWCC with Different Confidence on Seepage Analysis
4.2.1. Pore-Water Pressure Profiles with Different Percentiles
4.2.2. Pore-Water Pressure Profiles after Same Rainfall Duration
4.2.3. Gradient of the Pore-Water Pressure
4.3. Influence of the SWCC with Different Confidence on Stability Analysis
5. Conclusions
- (1)
- Assuming the Van Genuchten model as a fitting model of the SWCC, and taking the model parameters of Van Genuchten as random variables, the posterior distribution of the model parameters of Van Genuchten could be effectively sampled by the DRAM algorithm. The proposed Bayesian approach could be effectively applied to estimate a SWCC with a given level of confidence for the specific soil.
- (2)
- Based on the confidence interval of the SWCC, a new approach for evaluating the effect of uncertainty of the SWCC on seepage and stability analysis of an unsaturated soil slope under rainfall was proposed. It was found that, under the same conditions of saturated permeability coefficient and rainfall, the pore-water pressure profile was dependent on the confidence interval and was significantly influenced by the change of PCT. For the same conditions of rainfall, the higher the PCT value, the greater the reduction of negative pore-water pressures from the initial condition; and the deeper and faster the wetting front will advance due to the greater water storage capacity of the soil. Hence, a SWCC with a higher PCT leads to a lower safety factor for the slope.
- (3)
- The uncertainty of the SWCC was important for stability analysis under rainfall. We want to study the reliability analysis for the slope using the Bayesian approach and MCMC method in future research.
Acknowledgments
Author Contributions
Conflicts of Interest
References
- Han, Z.; Vanapalli, S.K. Stiffness and shear strength of unsaturated soils in relation to soil-water characteristic curve. Géotechnique 2016. [Google Scholar] [CrossRef]
- Zhou, A.N.; Sheng, D.; Carter, J.P. Modelling the effect of initial density on soil-water characteristic curves. Géotechnique 2015, 62, 669–680. [Google Scholar] [CrossRef]
- Fredlund, D.G.; Xing, A.; Huang, S. Predicting the permeability function for unsaturated soils using the soil-water characteristic curve. Can. Geotech. J. 1994, 31, 533–546. [Google Scholar] [CrossRef]
- Iyer, K.; Jayanth, S.; Gurnani, S.; Singh, D.N. Influence of initial water content and specimen thickness on the swcc of fine-grained soils. Int. J. Geomech. 2013, 13, 894–899. [Google Scholar] [CrossRef]
- Jiang, Y.; Chen, W.; Wang, G.; Sun, G.; Zhang, F. Influence of initial dry density and water content on the soil–water characteristic curve and suction stress of a reconstituted loess soil. Bull. Eng. Geol. Environ. 2017, 76, 1085–1095. [Google Scholar] [CrossRef]
- Gallage, C.P.K.; Uchimura, T. Effects of dry density and grain size distribution on soil-water characteristic curves of sandy soils. Soils Found. 2010, 50, 161–172. [Google Scholar] [CrossRef]
- Hong, W.T.; Jung, Y.S.; Kang, S.; Lee, J.S. Estimation of soil-water characteristic curves in multiple-cycles using membrane and TDR system. Materials 2016, 9, 1019. [Google Scholar] [CrossRef] [PubMed]
- Elkady, T.Y.; Al-Mahbashi, A.M.; Al-Refeai, T.O. Stress-dependent soil-water characteristic curves of lime-treated expansive clay. J. Mater. Civ. Eng. 2013, 27, 04014127. [Google Scholar] [CrossRef]
- Gao, H.; Shao, M. Effects of temperature changes on soil hydraulic properties. Soil Tillage Res. 2015, 153, 145–154. [Google Scholar] [CrossRef]
- Li, X.; Li, J.H.; Zhang, L.M. Predicting bimodal soil–water characteristic curves and permeability functions using physically based parameters. Comput. Geotech. 2014, 57, 85–96. [Google Scholar] [CrossRef]
- Wijaya, M.; Leong, E.C. Equation for unimodal and bimodal soil–water characteristic curves. Soils Found. 2016, 56, 291–300. [Google Scholar] [CrossRef]
- Zhou, W.H.; Yuen, K.V.; Tan, F. Estimation of soil–water characteristic curve and relative permeability for granular soils with different initial dry densities. Eng. Geol. 2014, 179, 1–9. [Google Scholar] [CrossRef]
- Calamak, M.; Yanmaz, A.M.; Kentel, E. Probabilistic evaluation of the effects of uncertainty in transient seepage parameters. J. Geotech. Geoenviron. Eng. 2017, 143. [Google Scholar] [CrossRef]
- Kokkwang, P.; Santoso, A.; Sertong, Q. Probabilistic analysis of soil-water characteristic curves. J. Geotech. Geoenviron. Eng. 2010, 136, 445–455. [Google Scholar]
- Chiu, C.F.; Yan, W.M.; Yuen, K.V. Reliability analysis of soil–water characteristics curve and its application to slope stability analysis. Eng. Geol. 2012, 135–136, 83–91. [Google Scholar] [CrossRef]
- Mishra, S.; Parker, J.C.; Singhal, N. Estimation of soil hydraulic properties and their uncertainty from particle size distribution data. J. Hydrol. 1989, 108, 1–18. [Google Scholar] [CrossRef]
- Phoon, K.K.; Santoso, A.; Cheng, Y. Probabilistic Analysis of Soil Water Characteristic Curves from Sandy Clay Loam. In The Challenge of Sustainability in the Geoenvironment, Geotechnical Special Publication, Proceedings of GeoCongress: New Orleans, LA, USA, 9‒12 March 2008; ASCE: Reston, VA, USA, 2008; pp. 917–925. [Google Scholar]
- Zhai, Q.; Rahardjo, H. Quantification of uncertainties in soil–water characteristic curve associated with fitting parameters. Eng. Geol. 2013, 163, 144–152. [Google Scholar] [CrossRef]
- Zhang, L.L.; Zhang, J.; Zhang, L.M.; Tang, W.H. Back analysis of slope failure with markov chain monte carlo simulation. Comput. Geotech. 2010, 37, 905–912. [Google Scholar] [CrossRef]
- Medard, B.; Gumiere, S.J. Bayesian uncertainty analysis of the distributed hydrological model hydrotel. J. Hydrol. Eng. 2012, 17, 1021–1032. [Google Scholar]
- Haario, H.; Laine, M.; Mira, A.; Saksman, E. Dram: Efficient adaptive mcmc. Stat. Comput. 2006, 16, 339–354. [Google Scholar] [CrossRef]
- Gaume, E.; Gaál, L.; Viglione, A.; Szolgay, J.; Kohnová, S.; Blöschl, G. Bayesian mcmc approach to regional flood frequency analyses involving extraordinary flood events at ungauged sites. J. Hydrol. 2010, 394, 101–117. [Google Scholar] [CrossRef]
- Huang, J.; Kelly, R.; Li, D.; Zhou, C.; Sloan, S. Updating reliability of single piles and pile groups by load tests. Comput. Geotech. 2016, 73, 221–230. [Google Scholar] [CrossRef]
- Wang, Y.; Au, S.K.; Cao, Z. Bayesian approach for probabilistic characterization of sand friction angles. Eng. Geol. 2010, 114, 354–363. [Google Scholar] [CrossRef]
- Kelly, R.; Huang, J. Bayesian updating for one-dimensional consolidation measurements. Can. Geotech. J. 2016, 52, 1318–1330. [Google Scholar] [CrossRef]
- Rahimi, A.; Rahardjo, H.; Leong, E.C. Effect of hydraulic properties of soil on rainfall-induced slope failure. Eng. Geol. 2010, 114, 135–143. [Google Scholar] [CrossRef]
- Zhang, L.L.; Fredlund, D.G.; Zhang, L.M.; Tang, W.H. Numerical study of soil conditions under which matric suction can be maintained. Can. Geotech. J. 2004, 41, 569–582. [Google Scholar] [CrossRef]
- Dong, T.; Xiaohui, Q.; Shuihua, J.; Dianqing, L. Influence of different antecedent rainfall and soil water characteristic curve on slope stability. Chin. J. Geotech. Eng. 2015, 37, 148–155. [Google Scholar]
- Cao, C.; Wang, Q.; Chen, J.; Ruan, Y.; Zheng, L.; Song, S.; Niu, C. Landslide susceptibility mapping in vertical distribution law of precipitation area: Case of the Xulong hydropower station reservoir, southwestern china. Water 2016, 8, 270. [Google Scholar] [CrossRef]
- Chien, L.K.; Hsu, C.F.; Yin, L.C. Warning model for shallow landslides induced by extreme rainfall. Water 2015, 7, 4362–4384. [Google Scholar] [CrossRef]
- Huang, F.; Luo, X.; Liu, W. Stability analysis of hydrodynamic pressure landslides with different permeability coefficients affected by reservoir water level fluctuations and rainstorms. Water 2017, 9, 450. [Google Scholar] [CrossRef]
- Bordoni, M.; Meisina, C.; Valentino, R.; Lu, N.; Bittelli, M.; Chersich, S. Hydrological factors affecting rainfall-induced shallow landslides: From the field monitoring to a simplified slope stability analysis. Eng. Geol. 2015, 193, 19–37. [Google Scholar] [CrossRef]
- Gardner, W.R. Some steady-state solutions of the unsaturated moisture flow equation with application to evaporation from a water table. Soil Sci. 1958, 85, 228–232. [Google Scholar] [CrossRef]
- Genuchten, M.T.V. A closed-form equation for predicting the hydraulic conductivity of unsaturated soils. Soil Sci. Soc. Am. J. 1980, 44, 892–898. [Google Scholar] [CrossRef]
- Milly, P.C.D. Estimation of brooks-corey parameters from water retention data. Water Resour. Res. 1987, 23, 1085–1089. [Google Scholar] [CrossRef]
- Fredlund, D.G.; Xing, A. Equations for the soil-water characteristic curve. Can. Geotech. J. 1994, 31, 521–532. [Google Scholar] [CrossRef]
- Krishnapillai, S.H.; Ravichandran, N. New soil-water characteristic curve and its performance in the finite-element simulation of unsaturated soils. Int. J. Geomech. 2012, 12, 209–219. [Google Scholar] [CrossRef]
- Tran, A.P.; Vanclooster, M.; Zupanski, M.; Lambot, S. Joint estimation of soil moisture profile and hydraulic parameters by ground-penetrating radar data assimilation with maximum likelihood ensemble filter. Water Resour. Res. 2014, 50, 3131–3146. [Google Scholar] [CrossRef]
- Baecher, G.B.; Christian, J.T. Reliability and Statistics in Geotechnical Engineering; Wiley: Hoboken, NJ, USA, 2003. [Google Scholar]
- Yan, W.M.; Kaveng, Y.; Gillim, Y. Bayesian probabilistic approach for the correlations of compression index for marine clays. J. Geotech. Geoenviron. Eng. 2009, 136, 1932–1940. [Google Scholar] [CrossRef]
- Yuen, K.V. Recent developments of bayesian model class selection and applications in civil engineering. Struct. Saf. 2010, 32, 338–346. [Google Scholar] [CrossRef]
- Zhou, W.H.; Yuen, K.V.; Tan, F. Estimation of maximum pullout shear stress of grouted soil nails using bayesian probabilistic approach. Int. J. Geomech. 2013, 13, 659–664. [Google Scholar] [CrossRef]
- Huang, J. System reliability of slopes by rfem. Soils Found. Tokyo 2010, 50, 343–353. [Google Scholar] [CrossRef]
- Zhang, L.L.; Zuo, Z.B.; Ye, G.L.; Jeng, D.S.; Wang, J.H. Probabilistic parameter estimation and predictive uncertainty based on field measurements for unsaturated soil slope. Comput. Geotech. 2013, 48, 72–81. [Google Scholar] [CrossRef]
- Juang, C.H.; Luo, Z.; Atamturktur, S.; Huang, H. Bayesian updating of soil parameters for braced excavations using field observations. J. Geotech. Geoenviron. Eng. 2012, 139, 395–406. [Google Scholar] [CrossRef]
- Cuomo, S.; Sala, M.D. Rainfall-induced infiltration, runoff and failure in steep unsaturated shallow soil deposits. Eng. Geol. 2013, 162, 118–127. [Google Scholar] [CrossRef]
- Zhan, T.L.T.; Ng, C.W.W. Analytical analysis of rainfall infiltration mechanism in unsaturated soils. Int. J. Geomech. 2004, 4, 273–284. [Google Scholar] [CrossRef]
- Fredlund, D.G.; Xing, A.; Fredlund, M.D.; Barbour, S.L. The relationship of the unsaturated soil shear to the soil-water chara. Can. Geotech. J. 1996, 33, 440–448. [Google Scholar] [CrossRef]
- Zhang, L.L.; Zheng, Y.F.; Zhang, L.M.; Li, X.; Wang, J.H. Probabilistic model calibration for soil slope under rainfall: Effects of measurement duration and frequency in field monitoring. Géotechnique 2014, 64, 365–378. [Google Scholar] [CrossRef]
- Conte, E.; Troncone, A. A method for the analysis of soil slips triggered by rainfall. Géotechnique 2012, 62, 187–192. [Google Scholar] [CrossRef]
- Conte, E.; Donato, A.; Troncone, A. A simplified method for predicting rainfall-induced mobility of active landslides. Landslides 2017, 14, 35–45. [Google Scholar] [CrossRef]
- Kalenchuk, K.S.; Hutchinson, D.J.; Diederichs, M.S. Downie slide: Numerical simulation of groundwater fluctuations influencing the behaviour of a massive landslide. Bull. Eng. Geol. Environ. 2013, 72, 397–412. [Google Scholar] [CrossRef]
- Fredlund, D.G.; Krahn, J. Comparison of slope stability methods of analysis. Can. Geotech. J. 1977, 14, 429–439. [Google Scholar] [CrossRef]
- Oh, S.; Lu, N. Slope stability analysis under unsaturated conditions: Case studies of rainfall-induced failure of cut slopes. Eng. Geol. 2015, 184, 96–103. [Google Scholar] [CrossRef]
- Bordoni, M.; Bittelli, M.; Valentino, R.; Chersich, S.; Meisina, C. Improving the estimation of complete field soil water characteristic curves through field monitoring data. J. Hydrol. 2017, 552, 283–305. [Google Scholar] [CrossRef]
- Fredlund, D.G.; Rahardjo, H. Soil Mechanics for Unsaturated Soils; Wiley: Hoboken, NJ, USA, 1993; pp. 286–321. [Google Scholar]











| 0.0166 (kPa−1) | 8 × 10−7 | 1.2964 | 1.0 × 10−4 | 0.0026 |
| Percentiles (PCT) | 2.5 | 5 | 12.5 | 25 | 50/Mean | 75 | 87.5 | 95 | 97.5 |
|---|---|---|---|---|---|---|---|---|---|
| a (kPa−1) | 0.0361 | 0.0321 | 0.0271 | 0.0226 | 0.0190 | 0.0138 | 0.0117 | 0.0103 | 0.0093 |
| n | 1.4472 | 1.4167 | 1.3759 | 1.3347 | 1.2962 | 1.2471 | 1.2235 | 1.2030 | 1.1919 |
| Remark | LB of 95%CI | LB of 90%CI | LB of 75%CI | LB of 50%CI | Mean curve | UB of 50%CI | UB of 75%CI | UB of 90%CI | UB of 95%CI |
| Percentiles (PCT) | 2.5 | 5 | 12.5 | 25 | 50 | 75 | 87.5 | 95 | 97.5 |
| Safety factor | 1.790 | 1.782 | 1.744 | 1.679 | 1.562 | 1.329 | 1.239 | 1.187 | 1.162 |
© 2017 by the authors. Licensee MDPI, Basel, Switzerland. This article is an open access article distributed under the terms and conditions of the Creative Commons Attribution (CC BY) license (http://creativecommons.org/licenses/by/4.0/).
Share and Cite
Liu, W.; Luo, X.; Huang, F.; Fu, M. Uncertainty of the Soil–Water Characteristic Curve and Its Effects on Slope Seepage and Stability Analysis under Conditions of Rainfall Using the Markov Chain Monte Carlo Method. Water 2017, 9, 758. https://doi.org/10.3390/w9100758
Liu W, Luo X, Huang F, Fu M. Uncertainty of the Soil–Water Characteristic Curve and Its Effects on Slope Seepage and Stability Analysis under Conditions of Rainfall Using the Markov Chain Monte Carlo Method. Water. 2017; 9(10):758. https://doi.org/10.3390/w9100758
Chicago/Turabian StyleLiu, Weiping, Xiaoyan Luo, Faming Huang, and Mingfu Fu. 2017. "Uncertainty of the Soil–Water Characteristic Curve and Its Effects on Slope Seepage and Stability Analysis under Conditions of Rainfall Using the Markov Chain Monte Carlo Method" Water 9, no. 10: 758. https://doi.org/10.3390/w9100758
APA StyleLiu, W., Luo, X., Huang, F., & Fu, M. (2017). Uncertainty of the Soil–Water Characteristic Curve and Its Effects on Slope Seepage and Stability Analysis under Conditions of Rainfall Using the Markov Chain Monte Carlo Method. Water, 9(10), 758. https://doi.org/10.3390/w9100758
